An Index-Based Approach to Assess the Water Availability for Irrigated Agriculture in Sub-Saharan Africa
Abstract
1. Introduction
2. Materials and Study Sites
2.1. Data
2.2. Study Region Characteristics
3. Methods
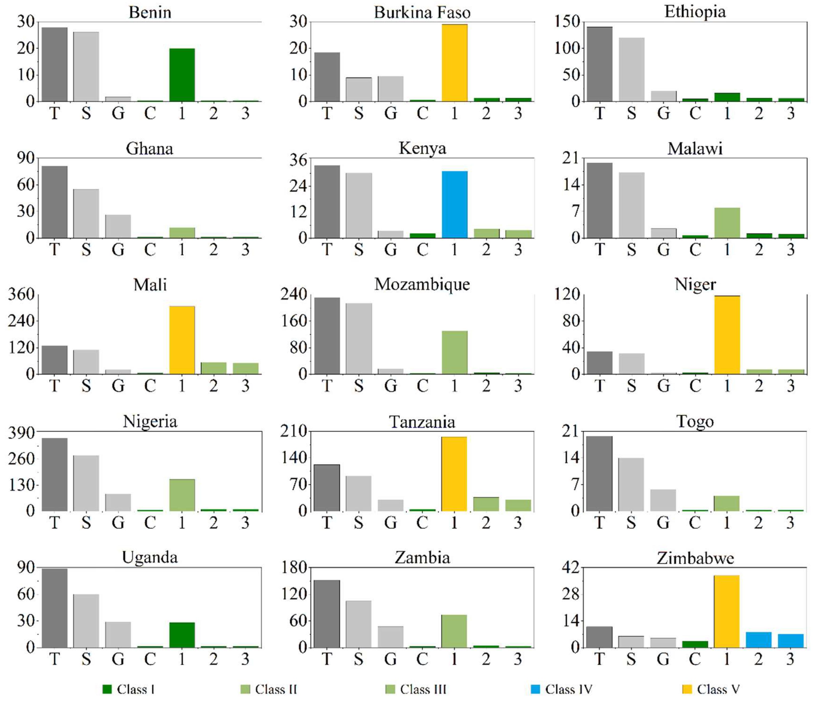
3.1. Country Classification Framework
3.2. Agriculture Development Scenarios
4. Results
4.1. Current Status of Agriculture and Renewable Water Resources
4.2. Potential for Agricultural Development
5. Discussions
6. Conclusions
Supplementary Materials
Author Contributions
Funding
Conflicts of Interest
References
- The World Bank 2013. Available online: https://data.worldbank.org (accessed on 23 February 2018).
- Clover, J. Food security in sub-saharan Africa: Feature. Afr. Secur. Rev. 2003, 12, 5–15. [Google Scholar] [CrossRef]
- Braune, E.; Xu, Y. The role of ground water in Sub-Saharan Africa. Groundwater 2010, 48, 229–238. [Google Scholar] [CrossRef] [PubMed]
- Makurira, H.; Mul, M.; Vyagusa, N.; Uhlenbrook, S.; Savenije, H. Evaluation of community-driven smallholder irrigation in dryland South Pare Mountains, Tanzania: A case study of Manoo micro dam. Phys. Chem. Earth Parts A/B/C 2007, 32, 1090–1097. [Google Scholar] [CrossRef]
- Wondimkun, Y.; Tefera, M. Household water harvesting and small scale irrigation schemes in Amhara Region; Best practices and technologies for small scale agricultural water management in Ethiopia. In Proceedings of the MoARD/MoWR/USAID/IWMI Symposium, Addis Ababa, Ethiopia, 7–9 March 2006; p. 11. [Google Scholar]
- Cooper, P.; Coe, R. Assessing and addressing climate-induced risk in sub-Saharan rainfed agriculture: Foreword to a special issue of experimental agriculture. Exp. Agric. 2011, 47, 179–184. [Google Scholar] [CrossRef]
- Biazin, B.; Sterk, G.; Temesgen, M.; Abdulkedir, A.; Stroosnijder, L. Rainwater harvesting and management in rainfed agricultural systems in sub-Saharan Africa—A review. Phys. Chem. Earth Parts A/B/C 2012, 47, 139–151. [Google Scholar] [CrossRef]
- Zafar, A. The growing relationship between China and Sub-Saharan Africa: Macroeconomic, trade, investment, and aid links. World Bank Res. Obs. 2007, 22, 103–130. [Google Scholar] [CrossRef]
- Binswanger, H.; Pingali, P. Technological priorities for farming in sub-Saharan Africa. World Bank Res. Obs. 1988, 3, 81–98. [Google Scholar] [CrossRef]
- Nakano, Y.; Bamba, I.; Diagne, A.; Otsuka, K.; Kajisa, K. The Possibility of a Rice Green Revolution in Large-Scale Irrigation Schemes in Sub-Saharan Africa; An African Green Revolution; Springer: Berlin, Germany, 2013; pp. 43–70. [Google Scholar]
- Barrios, S.; Bertinelli, L.; Strobl, E. Climatic change and rural-urban migration: The case of sub-Saharan Africa. J. Urban Econ. 2006, 60, 357–371. [Google Scholar] [CrossRef]
- Mrema, G.C.; Baker, D.; Kahan, D. Agricultural Mechanization in Sub-Saharan Africa: Time for a New Look; FAO: Roma, Italy, 2008. [Google Scholar]
- Izac, A.N.; Swift, M.J. On agricultural sustainability and its measurement in small-scale farming in sub-Saharan Africa. Ecol. Econ. 1994, 11, 105–125. [Google Scholar] [CrossRef]
- MacDonald, A.; Davies, J.; Calow, R.; Chilton, J. Developing Groundwater: A Guide for Rural Water Supply; ITDG Publishing: Rugby, UK, 2005; p. 358. [Google Scholar]
- Platteau, J. Physical infrastructure as a constraint on agricultural growth: The case of sub-Saharan Africa. Oxf. Dev. Stud. 1996, 24, 189–219. [Google Scholar] [CrossRef]
- Cervigni, R.; Morris, M. Confronting Drought in Africa's Drylands: Opportunities for Enhancing Resilience; World Bank Publications: Washington, DC, USA, 2016. [Google Scholar]
- MacDonald, A.; Davies, J. A Brief Review of Groundwater for Rural Water Supply in Sub-Saharan Africa; British Geological Survey: Nottingham, UK, 2000. [Google Scholar]
- Tafesse, M. Small-Scale Irrigation for Food Security in Sub-Saharan Africa; CTA: Wageningen, The Netherlands, 2003. [Google Scholar]
- Cooper, P.; Dimes, J.; Rao, K.; Shapiro, B.; Shiferaw, B.; Twomlow, S. Coping better with current climatic variability in the rain-fed farming systems of sub-Saharan Africa: An essential first step in adapting to future climate change? Agric. Ecosyst. Environ. 2008, 126, 24–35. [Google Scholar] [CrossRef]
- Barrett, C.B.; Lynam, J.; Place, F.; Reardon, T.; Aboud, A.A. 22 towards Improved Natural Resource Management in African Agriculture. In Natural Resources Management in African Agriculture: Understanding and Improving Current Practices; CABI: Wallingford, UK, 2002; Volume 287. [Google Scholar]
- Xenarios, S.; Pavelic, P. Assessing and forecasting groundwater development costs in Sub-Saharan Africa. Water SA 2013, 39, 529–538. [Google Scholar] [CrossRef]
- Aryeetey-Attoh, S.; McDade, B.E. Geography of Sub-Saharan Africa; Prentice Hall: Upper Saddle River, NJ, USA, 1997. [Google Scholar]
- MacDonald, A.M.; Bonsor, H.C.; Dochartaigh, B.É.Ó.; Taylor, R.G. Quantitative maps of groundwater resources in Africa. Environ. Res. Lett. 2012, 7, 024009. [Google Scholar] [CrossRef]
- Wolf, A.T.; Natharius, J.A.; Danielson, J.J.; Ward, B.S.; Pender, J.K. International river basins of the world. Int. J. Water Resour. Dev. 1999, 15, 387–427. [Google Scholar] [CrossRef]
- Frenken, K. Irrigation in Africa in Figures: AQUASTAT Survey, 2005; Food & Agriculture Org.: Roma, Italy, 2005; Volume 29. [Google Scholar]
- AQUASTAT Database. Available online: http://www.fao.org/nr/water/aquastat/data (accessed on 23 February 2018).
- Boserup, E. The Conditions of Agricultural Growth: The Economics of Agrarian Change under Population Pressure; Routledge: Abingdon-on-Thames, UK, 2017. [Google Scholar]
- FAO Country Profiles. Available online: http://www.fao.org/nr/water/aquastat/main (accessed on 23 February 2018).
- FAO. Yearbook; FAO: Rome, Italy, 2012. [Google Scholar]
- Bruins, H.; Evenari, M.; Nessler, U. Rainwater-harvesting agriculture for food production in arid zones: The challenge of the African famine. Appl. Geogr. 1986, 6, 13–32. [Google Scholar] [CrossRef]
- Reardon, T.; Delgado, C.; Matlon, P. Determinants and effects of income diversification amongst farm households in Burkina Faso. J. Dev. Stud. 1992, 28, 264–296. [Google Scholar] [CrossRef]
- Mougeot, L.J. Agropolis: The Social, Political and Environmental Dimensions of Urban Agriculture; Routledge: Abingdon-on-Thames, UK, 2010. [Google Scholar]
- Diao, X.; Hazell, P.B.; Resnick, D.; Thurlow, J. The Role of Agriculture in Development: Implications for Sub-Saharan Africa; Intl Food Policy Res Inst: Washington, DC, USA, 2007; Volume 153. [Google Scholar]
- Yosef, B.A.; Asmamaw, D.K. Rainwater harvesting: An option for dry land agriculture in arid and semi-arid Ethiopia. Int. J. Water Resour. Environ. Eng. 2015, 7, 17–28. [Google Scholar]
- Barghouti, S.; Lemoigne, G. Irrigation in Sub-Saharan Africa; World Bank: Washington, DC, USA, 1990. [Google Scholar]
- Burney, J.A.; Naylor, R.L. Smallholder irrigation as a poverty alleviation tool in sub-Saharan Africa. World Dev. 2012, 40, 110–123. [Google Scholar] [CrossRef]
- Tiffen, M. Transition in sub-Saharan Africa: Agriculture, urbanization and income growth. World Dev. 2003, 31, 1343–1366. [Google Scholar] [CrossRef]
- Keino, L.; Baijukya, F.; Ng’etich, W.; Otinga, A.N.; Okalebo, J.R.; Njoroge, R.; Mukalama, J. Nutrients Limiting Soybean (Glycine max L) growth in acrisols and ferralsols of Western Kenya. PLoS ONE 2015, 10, e0145202. [Google Scholar] [CrossRef] [PubMed]
- Abe, S.S.; Buri, M.M.; Issaka, R.N.; Kiepe, P.; Wakatsuki, T. Soil fertility potential for rice production in West African lowlands. Jpn. Agric. Res. Q. 2010, 44, 343–355. [Google Scholar] [CrossRef]
- De Valença, A.W.; Bake, A. Micronutrient Management for Improving Harvests, Human Nutrition, and the Environment; Scientific Project; Food & Business Knowledge Platform: Hague, The Netherlands, 2016; Volume 24. [Google Scholar]
- Raimi, A.; Adeleke, R.; Roopnarain, A. Soil fertility challenges and Biofertiliser as a viable alternative for increasing smallholder farmer crop productivity in sub-Saharan Africa. Cogent Food Agric. 2017, 3, 1400933. [Google Scholar] [CrossRef]
- Bekunda, M.; Nkonya, E.; Mugendi, D.; Msaky, J. Soil fertility status, management, and research in East Africa. East Afr. J. Rural Dev. 2002, 20, 94–112. [Google Scholar] [CrossRef]
- Morris, M.L. Fertilizer Use in African Agriculture: Lessons Learned and Good Practice Guidelines; World Bank Publications: Washington, DC, USA, 2007. [Google Scholar]
- Sommer, R.; Bossio, D.; Desta, L.; Dimes, J.; Kihara, J.; Koala, S.; Mango, N.; Rodriguez, D.; Thierfelder, C.; Winowiecki, L. Profitable and Sustainable Nutrient Management Systems for East and Southern African Smallholder Farming Systems: Challenges and Opportunities: A Synthesis of the Eastern and Southern Africa Situation in Terms of Past Experiences, Present and Future Opportunities in Promoting Nutrients Use in Africa; CIAT: London, UK, 2013. [Google Scholar]
- Gibbon, P. Experiences of Plantation and Large-Scale Farming in 20th Century Africa; DIIS Working Paper; Danish Institute for International Studies: Copenhagen, Denmark, 2011. [Google Scholar]
- Xie, H.; You, L.; Wielgosz, B.; Ringler, C. Estimating the potential for expanding smallholder irrigation in Sub-Saharan Africa. Agric. Water Manag. 2014, 131, 183–193. [Google Scholar] [CrossRef]
- Cassman, K.G.; Grassini, P. Can there be a green revolution in Sub-Saharan Africa without large expansion of irrigated crop production? Glob. Food Secur. 2013, 2, 203–209. [Google Scholar] [CrossRef]
- You, L.; Ringler, C.; Wood-Sichra, U.; Robertson, R.; Wood, S.; Zhu, T.; Nelson, G.; Guo, Z.; Sun, Y. What is the irrigation potential for Africa? A combined biophysical and socioeconomic approach. Food Policy 2011, 36, 770–782. [Google Scholar] [CrossRef]
- Ward, C. Improved Agricultural Water Management for Africa’s Drylands; World Bank Publications: Washington, DC, USA, 2016. [Google Scholar]




| Country | P (mm) | RSW (109 m3) | RGW (109 m3) | ARF (1000 ha) | AIR (1000 ha) | APC (1000 ha) |
|---|---|---|---|---|---|---|
| Benin | 1039 | 26.1 | 1.8 | 2803 | 12 | 4185 |
| Burkina Faso | 748 | 9.0 | 9.5 | 4375 | 25 | 4600 |
| Ethiopia | 848 | 120.0 | 20.0 | 10,381 | 290 | 2529 |
| Ghana | 1187 | 54.9 | 26.3 | 6300 | 31 | 3669 |
| Kenya | 630 | 30.2 | 3.5 | 5059 | 103 | 4780 |
| Malawi | 1181 | 17.2 | 2.5 | 2384 | 56 | 1160 |
| Mali | 282 | 110.0 | 20.0 | 4464 | 236 | 39,000 |
| Mozambique | 1032 | 214.1 | 17.0 | 4317 | 118 | 31,565 |
| Niger | 151 | 31.5 | 2.5 | 4426 | 74 | 12,000 |
| Nigeria | 1150 | 279.2 | 87.0 | 32,707 | 293 | 28,000 |
| Tanzania | 1071 | 92.2 | 30.0 | 4916 | 184 | 34,900 |
| Togo | 1168 | 14.0 | 5.7 | 2623 | 7 | 770 |
| Uganda | 1180 | 60.1 | 29.0 | 9091 | 9 | 7700 |
| Zambia | 1020 | 104.8 | 47.0 | 5133 | 156 | 11,061 |
| Zimbabwe | 657 | 6.0 | 5.0 | 3176 | 174 | 4970 |
| Country | Agricultural Use (%) | Domestic Use (%) | Industrial Use (%) | Use of Water (m3 Per Capita Per Year) | Agricultural Population (%) |
|---|---|---|---|---|---|
| Benin | 45.4 | 31.5 | 23.1 | 20 | 44 |
| Burkina Faso | 86.2 | 13.0 | 0.8 | 67 | 92 |
| Ethiopia | 93.6 | 6.0 | 0.4 | 81 | 77 |
| Ghana | 66.4 | 23.9 | 9.7 | 50 | 54 |
| Kenya | 79.1 | 17.2 | 3.7 | 87 | 71 |
| Malawi | 80.6 | 14.7 | 4.7 | 88 | 73 |
| Mali | 90.1 | 9.0 | 0.9 | 550 | 77 |
| Mozambique | 86.6 | 11.0 | 2.4 | 36 | 74 |
| Niger | 95.2 | 4.3 | 0.5 | 204 | 83 |
| Nigeria | 68.8 | 21.1 | 10.1 | 70 | 25 |
| Tanzania | 89.3 | 10.2 | 0.5 | 143 | 73 |
| Togo | 45.0 | 52.6 | 2.4 | 35 | 53 |
| Uganda | 40.0 | 44.7 | 15.3 | 12 | 73 |
| Zambia | 76.0 | 16.5 | 7.5 | 162 | 63 |
| Zimbabwe | 78.9 | 14.0 | 7.1 | 325 | 56 |
| Region | Rice | Cereals | Vegetables | Root Crops | Fodder | Sugar Cane | Industrial Crops | Fruit Tres | Annual Crops | Permanent Crops | Total |
|---|---|---|---|---|---|---|---|---|---|---|---|
| West SSA | 12.5 | 17 | 31 | 2 | 0 | 18 | 5 | 0 | 11 | 3.5 | 100 |
| East SSA | 16 | 28 | 17 | 7.5 | 0 | 4 | 14 | 1 | 12 | 0.5 | 100 |
| SSA Avg | 15 | 29 | 12 | 3 | 14 | 4 | 11 | 4 | 3 | 5 | 100 |
| Class I | if NWD ≤ RSW and NWD ≤ RGW | New water demand is less than both renewable surface and groundwater resources |
| Class II | if NWD ≤ RSW and NWD > RGW | New water demand is less than the renewable surface water resources, but greater than the renewable groundwater resources |
| Class III | if NWD > RSW and NWD ≤ RGW | New water demand is greater than the renewable surface water resources, but less than the renewable groundwater resources |
| Class IV | If NWD ≤ (RSW + RGW) | New water demand is less than the sum of surface and groundwater resources |
| Class V | NWD > (RSW + RGW) and CWD < (RSW + RGW) | New water demand is greater than the summation of the surface and groundwater resources, but current water demand is less than the summation of the surface and groundwater resources |
| Class IV | If CWD > (RSW + RGW) | Current water demand is greater than the sum of the renewable surface and groundwater resources |
| Country | Percentage Irrigation SW | Percentage Irrigation GW | Irrigation Dam Capacity (Mm3) | Average Well Cost (US$) | Average Yield (m3/h) |
|---|---|---|---|---|---|
| Benin | 82 | 18 | 23.5 | - | - |
| Burkina Faso | 88 | 12 | 2285.0 | 12,549 | 5 |
| Ethiopia | 99 | 1 | 2027.0 | 23,268 | 8 |
| Ghana | 76 | 24 | 215.5 | 9465 | 6 |
| Kenya | 99 | 1 | 4.6 | 20,906 | 6 |
| Malawi | 99 | 1 | 25.0 | 2730 | - |
| Mali | 99 | 1 | 355.0 | 15,462 | 8 |
| Mozambique | 99 | 1 | 1444.0 | 8672 | 4 |
| Niger | 98 | 2 | 82.0 | 12,194 | 6 |
| Nigeria | 71 | 29 | 6095.0 | 6241 | 6 |
| Tanzania | 91 | 9 | 870.0 | 16,540 | 6 |
| Togo | 99 | 1 | 1710.0 | - | - |
| Uganda | 99 | 1 | - | 3539 | 5 |
| Zambia | 96 | 4 | 1382.0 | 6028 | 6 |
| Zimbabwe | 88 | 12 | 4497.0 | - | - |
© 2018 by the authors. Licensee MDPI, Basel, Switzerland. This article is an open access article distributed under the terms and conditions of the Creative Commons Attribution (CC BY) license (http://creativecommons.org/licenses/by/4.0/).
Share and Cite
Abou Zaki, N.; Torabi Haghighi, A.; Rossi, P.M.; Xenarios, S.; Kløve, B. An Index-Based Approach to Assess the Water Availability for Irrigated Agriculture in Sub-Saharan Africa. Water 2018, 10, 896. https://doi.org/10.3390/w10070896
Abou Zaki N, Torabi Haghighi A, Rossi PM, Xenarios S, Kløve B. An Index-Based Approach to Assess the Water Availability for Irrigated Agriculture in Sub-Saharan Africa. Water. 2018; 10(7):896. https://doi.org/10.3390/w10070896
Chicago/Turabian StyleAbou Zaki, Nizar, Ali Torabi Haghighi, Pekka M. Rossi, Stefanos Xenarios, and Bjørn Kløve. 2018. "An Index-Based Approach to Assess the Water Availability for Irrigated Agriculture in Sub-Saharan Africa" Water 10, no. 7: 896. https://doi.org/10.3390/w10070896
APA StyleAbou Zaki, N., Torabi Haghighi, A., Rossi, P. M., Xenarios, S., & Kløve, B. (2018). An Index-Based Approach to Assess the Water Availability for Irrigated Agriculture in Sub-Saharan Africa. Water, 10(7), 896. https://doi.org/10.3390/w10070896

