Ecosystemic Assessment of Surface Water Quality in the Virilla River: Towards Sanitation Processes in Costa Rica
Abstract
1. Introduction
2. Materials and Methods
2.1. Study Area
2.2. Sampling and Methods
2.3. Data Analysis
3. Results and Discussion
3.1. Physical, Chemical and Microbiological Data
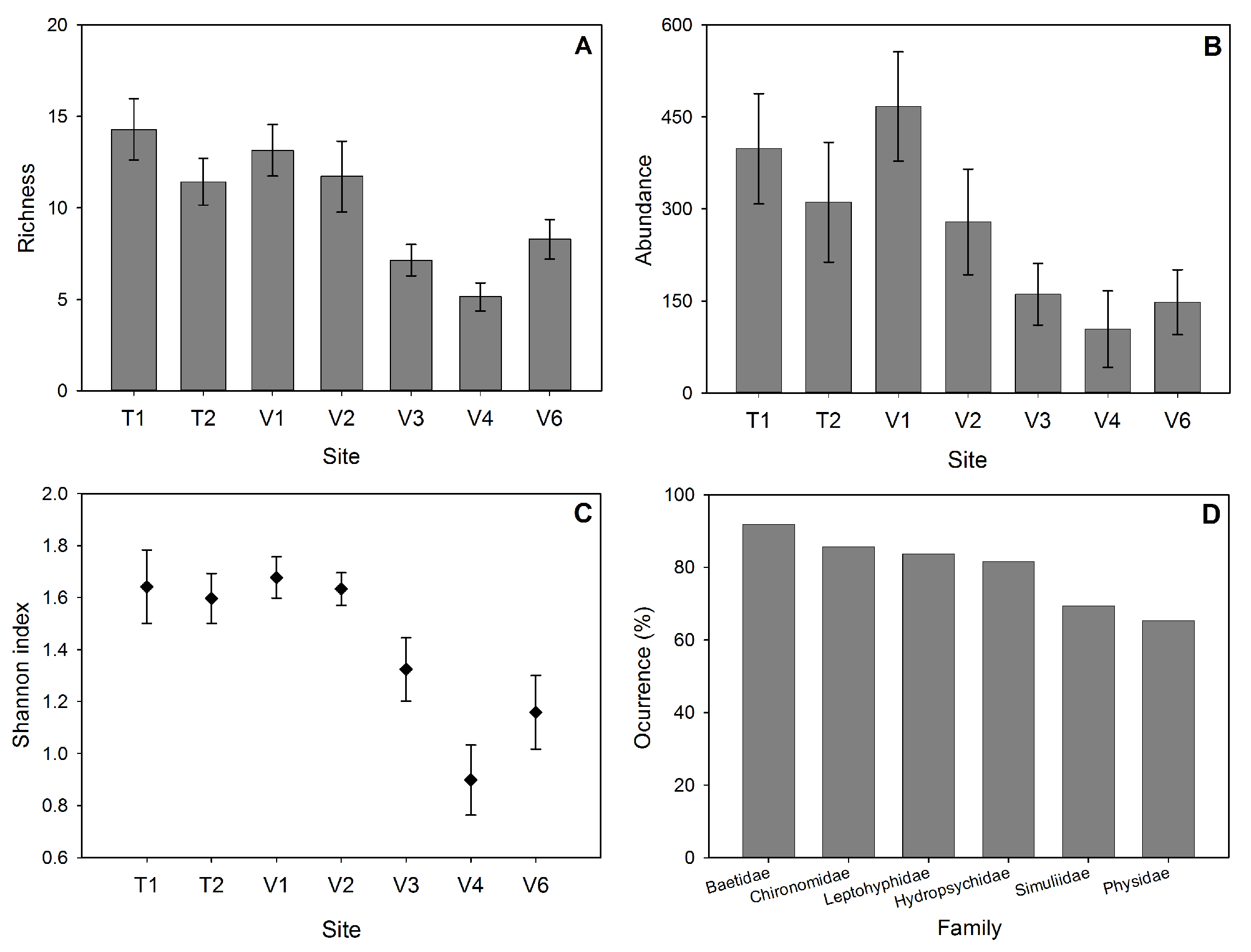
3.2. Benthic Macroinvertebrates
3.3. Water Quality Indexes
4. Conclusions
Author Contributions
Acknowledgments
Conflicts of Interest
Appendix A


| Order | Family | Sample Site | Occurrence (%) | ||||||
|---|---|---|---|---|---|---|---|---|---|
| T1 | T2 | V1 | V2 | V3 | V4 | V6 | |||
| Annelida | Oligochaeta | 3 | 7 | 0 | 13 | 4 | 53 | 10 | 30.6 |
| Arhynchobdellida | Erpobdellidae | 8 | 8 | 8 | 3 | 36 | 27 | 37 | 49.0 |
| Arhynchobdellida | Salifidae | 3 | 5 | 1 | 6 | 3 | 0 | 6 | 22.4 |
| Basommatophora | Lymnaeidae | 0 | 0 | 0 | 0 | 0 | 0 | 1 | 2.0 |
| Basommatophora | Planorbidae | 0 | 0 | 0 | 1 | 0 | 0 | 1 | 4.1 |
| Basommatophora | Physidae | 9 | 234 | 6 | 262 | 328 | 83 | 94 | 65.3 |
| Blattaria | Blaberidae | 1 | 0 | 0 | 0 | 0 | 0 | 0 | 2.0 |
| Coleoptera | Curculionidae | 0 | 0 | 0 | 1 | 0 | 0 | 1 | 4.1 |
| Coleoptera | Dytiscidae | 1 | 0 | 0 | 0 | 0 | 0 | 1 | 4.1 |
| Coleoptera | Dryopidae | 2 | 0 | 4 | 1 | 0 | 0 | 0 | 6.1 |
| Coleoptera | Elmidae | 1 | 2 | 0 | 0 | 0 | 0 | 0 | 4.1 |
| Coleoptera | Hydraenidae | 1 | 0 | 0 | 0 | 0 | 0 | 0 | 2.0 |
| Coleoptera | Hydrophilidae | 0 | 0 | 0 | 0 | 0 | 1 | 1 | 4.1 |
| Coleoptera | Lampyridae | 1 | 0 | 0 | 0 | 0 | 0 | 0 | 2.0 |
| Coleoptera | Staphylinidae | 6 | 4 | 9 | 5 | 1 | 0 | 4 | 32.7 |
| Coleoptera | Psephenidae | 0 | 0 | 1 | 11 | 0 | 0 | 0 | 4.1 |
| Diptera | Ceratopogonidae | 4 | 0 | 0 | 0 | 0 | 0 | 0 | 6.1 |
| Diptera | Chironomidae | 343 | 588 | 324 | 688 | 493 | 505 | 430 | 85.7 |
| Diptera | Empididae | 1 | 1 | 0 | 2 | 0 | 0 | 0 | 6.1 |
| Diptera | Muscidae | 5 | 11 | 1 | 0 | 1 | 0 | 16 | 16.3 |
| Diptera | Psychodidae | 11 | 1 | 3 | 9 | 1 | 2 | 29 | 26.5 |
| Diptera | Simuliidae | 991 | 595 | 383 | 104 | 28 | 8 | 26 | 69.4 |
| Diptera | Stratiomyidae | 1 | 0 | 0 | 0 | 0 | 0 | 0 | 30.6 |
| Diptera | Tipulidae | 5 | 0 | 8 | 1 | 1 | 0 | 0 | 8.2 |
| Entomobryomorpha | Entomobryidae | 0 | 0 | 1 | 0 | 0 | 0 | 1 | 4.1 |
| Ephemeroptera | Baetidae | 370 | 378 | 409 | 319 | 133 | 23 | 21 | 91.8 |
| Ephemeroptera | Leptohyphidae | 599 | 926 | 700 | 334 | 23 | 8 | 12 | 83.7 |
| Ephemeroptera | Leptophlebiidae | 176 | 8 | 57 | 11 | 2 | 1 | 0 | 57.1 |
| Hemiptera | Belostomatidae | 0 | 5 | 0 | 0 | 0 | 0 | 0 | 4.1 |
| Hemiptera | Cicadellidae | 0 | 3 | 0 | 0 | 0 | 0 | 0 | 4.1 |
| Hemiptera | Guerridae | 1 | 0 | 0 | 0 | 0 | 0 | 0 | 2.0 |
| Hemiptera | Veliidae | 1 | 14 | 0 | 2 | 0 | 0 | 3 | 10.2 |
| Isopoda | Asellota | 0 | 0 | 1 | 0 | 0 | 0 | 0 | 2.0 |
| Lepidoptera | Pyralidae | 4 | 8 | 2 | 1 | 0 | 0 | 0 | 18.4 |
| Littorinimorpha | Hydrobiidae | 0 | 0 | 0 | 0 | 2 | 0 | 1 | 4.1 |
| Odonata | Calopterygidae | 12 | 10 | 9 | 3 | 2 | 1 | 0 | 32.7 |
| Odonata | Coenagrionidae | 3 | 3 | 4 | 0 | 0 | 0 | 3 | 22.4 |
| Odonata | Libellulidae | 4 | 0 | 3 | 2 | 0 | 0 | 0 | 16.3 |
| Rhynchobdellida | Glossiphoniidae | 0 | 66 | 5 | 29 | 45 | 10 | 52 | 26.5 |
| Trichoptera | Glossosomatidae | 37 | 53 | 60 | 16 | 0 | 0 | 0 | 36.7 |
| Trichoptera | Helicopsychidae | 0 | 0 | 1 | 1 | 0 | 0 | 0 | 4.1 |
| Trichoptera | Hydrobiosidae | 22 | 18 | 3 | 6 | 0 | 0 | 0 | 28.6 |
| Trichoptera | Hydropsychidae | 156 | 293 | 166 | 109 | 24 | 6 | 275 | 81.6 |
| Trichoptera | Hydroptilidae | 2 | 9 | 2 | 4 | 0 | 0 | 1 | 4.1 |
| Tricladida | Planariidae | 2 | 0 | 2 | 0 | 0 | 0 | 0 | 4.1 |
| Trombidiformes | Hydrachnidia | 0 | 1 | 4 | 1 | 0 | 0 | 0 | 4.1 |
| Veneroida | Sphaeriidae | 0 | 19 | 0 | 1 | 1 | 1 | 1 | 12.2 |
| Total of invertebrates identified | 2786 | 3270 | 2177 | 1946 | 1128 | 729 | 1027 | ||
| Total of families identified | 33 | 28 | 29 | 30 | 18 | 14 | 25 | ||
References
- Massoud, M.A. Assessment of water quality along a recreational section of the Damour River in Lebanon using the water quality index. Environ. Monit. Assess. 2012, 184, 4151–4160. [Google Scholar] [CrossRef] [PubMed]
- Ha, P.T.T.; Kokutse, N.; Duchesne, S.; Villeneuve, J.P.; Bélanger, A.; Hien, H.N.; Toumbou, B.; Bach, D.N. Assessing and selecting interventions for river water quality improvement within the context of population growth and urbanization: A case study of the Cau River basin in Vietnam. Environ. Dev. Sustain. 2017, 19, 1701–1729. [Google Scholar] [CrossRef]
- Meybeck, M. Global analysis of river systems: From Earth system controls to Anthropocene syndromes. Philos. Trans. R. Soc. B Biol. Sci. 2003, 358, 1935–1955. [Google Scholar] [CrossRef] [PubMed]
- Meybeck, M. Riverine quality at the Anthropocene: Propositions for global space and time analysis, illustrated by the Seine River. Aquat. Sci. 2002, 64, 376–393. [Google Scholar] [CrossRef]
- Zhao, Y.; Zou, X.; Liu, Q.; Yao, Y.; Li, Y.; Wu, X.; Wang, C.; Yu, W.; Wang, T. Assessing natural and anthropogenic influences on water discharge and sediment load in the Yangtze River, China. Sci. Total Environ. 2017, 607–608, 920–932. [Google Scholar] [CrossRef] [PubMed]
- Vrebos, D.; Beauchard, O.; Meire, P. The impact of land use and spatial mediated processes on the water quality in a river system. Sci. Total Environ. 2017, 601–602, 365–373. [Google Scholar] [CrossRef] [PubMed]
- Da Rocha, M.P.; Dourado, P.L.R.; Cardoso, C.A.L.; Cândido, L.S.; Pereira, J.G.; de Oliveira, K.M.P.; Grisolia, A.B. Tools for monitoring aquatic environments to identify anthropic effects. Environ. Monit. Assess. 2018, 190, 61. [Google Scholar] [CrossRef] [PubMed]
- Hofstra, N.; Vermeulen, L.C. Impacts of population growth, urbanisation and sanitation changes on global human Cryptosporidium emissions to surface water. Int. J. Hyg. Environ. Health 2016, 219, 599–605. [Google Scholar] [CrossRef] [PubMed]
- Barrenha, P.I.I.; Tanaka, M.O.; Hanai, F.Y.; Pantano, G.; Moraes, G.H.; Xavier, C.; Awan, A.T.; Grosseli, G.M.; Fadini, P.S.; Mozeto, A.A. Multivariate analyses of the effect of an urban wastewater treatment plant on spatial and temporal variation of water quality and nutrient distribution of a tropical mid-order river. Environ. Monit. Assess. 2017, 190, 43. [Google Scholar] [CrossRef] [PubMed]
- Calvo-Brenes, G.; Mora-Molina, J. Evaluación y clasificación preliminar de la calidad del agua de la cuenca del río Tárcoles y el Reventazón Parte I: Análisis de la contaminación de cuatro ríos del área metropolitana. Rev. Tecnol. Marcha 2007, 20, 3–9. [Google Scholar]
- Katukiza, A.; Ronteltap, M.; van der Steen, P.; Foppen, J.; Lens, P. Quantification of microbial risks to human health caused by waterborne viruses and bacteria in an urban slum. J. Appl. Microbiol. 2014, 116, 447–463. [Google Scholar] [CrossRef] [PubMed]
- Hristovski, K.D.; Pacemska-Atanasova, T.; Olson, L.W.; Markovski, J.; Mitev, T. Potential health implications of water resources depletion and sewage discharges in the Republic of Macedonia. J. Water Health 2016, 14, 682–691. [Google Scholar] [CrossRef] [PubMed]
- Kim, M.; Boithias, L.; Cho, K.H.; Silvera, N.; Thammahacksa, C.; Latsachack, K.; Rochelle-Newall, E.; Sengtaheuanghoung, O.; Pierret, A.; Pachepsky, Y.A.; Ribolzi, O. Hydrological modeling of Fecal Indicator Bacteria in a tropical mountain catchment. Water Res. 2017, 119, 102–113. [Google Scholar] [CrossRef] [PubMed]
- Feris, L. The Human Right to Sanitation: A Critique on the Absence of Environmental Considerations. Rev. Eur. Comp. Int. Environ. Law 2015, 24, 16–26. [Google Scholar] [CrossRef]
- Bower, K.M. Water supply and sanitation of Costa Rica. Environ. Earth Sci. 2014, 71, 107–123. [Google Scholar] [CrossRef]
- Cantor, J.; Krometis, L.A.; Sarver, E.; Cook, N.; Badgley, B. Tracking the downstream impacts of inadequate sanitation in central Appalachia. J. Water Health 2017, 15, 580–590. [Google Scholar] [CrossRef] [PubMed]
- Biswas, A.; Tortajada, C.; Braga, B.; Rodriguez, D. Water Quality Management in the Americas. In Water Resources Development and Management; Springer: Berlin/Heidelberg, Germany, 2006. [Google Scholar]
- Mena-Rivera, L.; Quirós-Vega, J. Assessment of drinking water suitability in low income rural areas: A case study in Sixaola, Costa Rica. J. Water Health 2018. [Google Scholar] [CrossRef]
- Herrera, J. Informe Estado de la Nación en Desarrollo Humano Sostenible; Technical Report; Programa Estado de la Nación: San José, Costa Rica, 2017. [Google Scholar]
- MINAE; AyA; MS. Política Nacional de Saneamiento en Aguas Residuales 2016–2045; AyA; MINAE; MS: San José, Costa Rica, 2016; pp. 1–100. [Google Scholar]
- Golfieri, B.; Surian, N.; Hardersen, S. Towards a more comprehensive assessment of river corridor conditions: A comparison between the Morphological Quality Index and three biotic indices. Ecol. Indic. 2018, 84, 525–534. [Google Scholar] [CrossRef]
- Mena-Rivera, L.; Salgado-Silva, V.; Benavides-Benavides, C.; Coto-Campos, J.M.; Swinscoe, T.H. Spatial and Seasonal Surface Water Quality Assessment in a Tropical Urban Catchment: Burío River, Costa Rica. Water 2017, 9, 558. [Google Scholar] [CrossRef]
- Leandro, H.; Coto, J.; Salgado, V. Calidad del agua de los ríos de la microcuenca IV del Río Virilla. Uniciencia 2010, 24, 69–74. [Google Scholar]
- Herrera-Murillo, J.; Rodríguez-Román, S.; Solís-Torres, L.; Castro-Delgado, F. Aplicación de técnicas quimiométricas para clasificar la calidad de agua superficial de la microcuenca del río Bermúdez en Heredia, Costa Rica. Rev. Tecnol. Marcha 2009, 22, 75–85. [Google Scholar]
- Calvo-Brenes, G.; Mora-Molina, J. Evaluación y clasificación preliminar de la calidad de agua de la cuenca del río Tárcoles y el Reventazón Parte III: Calidad de cuerpos receptores de agua, según el Sistema Holandés de Valoración. Rev. Tecnol. Marcha 2007, 20, 59–67. [Google Scholar]
- Calvo-Brenes, G.; Mora-Molina, J. Análisis de la calidad de varios cuerpos de agua superficiales en el GAM y la Península de Osa utilizando el Índice Holandés. Rev. Tecnol. Marcha 2012, 25, 37–44. [Google Scholar] [CrossRef]
- Guevara, M. Insectos acuáticos y calidad del agua en la cuenca y embalse del río Peñas Blancas, Costa Rica. Rev. Biol. Trop. 2011, 59, 635–654. [Google Scholar] [CrossRef]
- Perrin, J.L.; Salles, C.; Bancon-Montigny, C.; Raïs, N.; Chahinian, N.; Dowse, L.; Rodier, C.; Tournoud, M.G. Comparison of index systems for rating water quality in intermittent rivers. Environ. Monit. Assess. 2018, 190, 70. [Google Scholar] [CrossRef] [PubMed]
- Singh, P.K.; Saxena, S. Towards developing a river health index. Ecol. Indic. 2018, 85, 999–1011. [Google Scholar] [CrossRef]
- Meybeck, M. Looking for water quality. Hydrol. Process. 2005, 19, 331–338. [Google Scholar] [CrossRef]
- APHA; AWWA; WEF. Standard Methods for the Examination of Water & Wastewater; American Public Health Association: Washington, DC, USA, 2005. [Google Scholar]
- Woomer, P.L. Most Probable Number Counts. In Methods of Soil Analysis: Part 2—Microbiological and Biochemical Properties; SSSA Book Series SV-5.2; Soil Science Society of America: Madison, WI, USA, 1994; pp. 59–79. [Google Scholar]
- Springer, M.; Ramírez, A.; Hanson, P. Macroinvertebrados de agua dulce de Costa Rica I. Rev. Biol. Trop. 2010, 58, 93–136. [Google Scholar]
- MINAE. Reglamento para la Evaluación y Clasificación de la Calidad de Cuerpos de Agua Superficiales; Decreto, No. 33903; La Gaceta: San José, Costa Rica, 2007; pp. 1–21. [Google Scholar]
- R Core Team. R: A Language and Environment for Statistical Computing; R Foundation for Statistical Computing: Vienna, Austria, 2017. [Google Scholar]
- Lee, L. NADA: Nondetects and Data Analysis for Environmental Data; R Package Version 1.6-1; R Foundation for Statistical Computing: Vienna, Austria, 2017. [Google Scholar]
- Oksanen, J.; Blanchet, F.G.; Friendly, M.; Kindt, R.; Legendre, P.; McGlinn, D.; Minchin, P.R.; O’Hara, R.B.; Simpson, G.L.; Solymos, P.; et al. Vegan: Community Ecology Package; R Package Version 2.4-4; R Foundation for Statistical Computing: Vienna, Austria, 2017. [Google Scholar]
- Helsel, D.R. Statistics for Censored Environmental Data Using Minitab® and R; John Wiley & Sons, Inc.: Hoboken, NJ, USA, 2011. [Google Scholar] [CrossRef]
- Croux, C.; Dehon, C. Influence functions of the Spearman and Kendall correlation measures. Stat. Methods Appl. 2010, 19, 497–515. [Google Scholar] [CrossRef]
- Ward, J.H. Hierarchical Grouping to Optimize an Objective Function. J. Am. Stat. Assoc. 1963, 58, 236–244. [Google Scholar] [CrossRef]
- Shannon, C.E.; Weaver, W. The mathematical theory of communication. Bell Syst. Tech. J. 1949, 27, 379–423. [Google Scholar] [CrossRef]
- Legendre, P.; Legendre, L. Numerical Ecology; Developments in Environmental Modelling; Elsevier: Amsterdam, The Netherlands, 2012. [Google Scholar]
- Legendre, P.; Gallagher, E.D. Ecologically meaningful transformations for ordination of species data. Oecologia 2001, 129, 271–280. [Google Scholar] [CrossRef] [PubMed]
- Ter Braak, C.J.F.; Verdonschot, P.F.M. Canonical correspondence analysis and related multivariate methods in aquatic ecology. Aquat. Sci. 1995, 57, 255–289. [Google Scholar] [CrossRef]
- Beyene, A.; Addis, T.; Kifle, D.; Legesse, W.; Kloos, H.; Triest, L. Comparative study of diatoms and macroinvertebrates as indicators of severe water pollution: Case study of the Kebena and Akaki rivers in Addis Ababa, Ethiopia. Ecol. Indic. 2009, 9, 381–392. [Google Scholar] [CrossRef]
- Narangarvuu, D.; Hsu, C.B.; Shieh, S.H.; Wu, F.C.; Yang, P.S. Macroinvertebrate assemblage patterns as indicators of water quality in the Xindian watershed, Taiwan. J. Asia-Pac. Entomol. 2014, 17, 505–513. [Google Scholar] [CrossRef]
- Brown, R.M.; McClelland, R.M.; Deininger, R.; Tozer, R. A Water Quality Index—Do We Dare? Water Sew. Works 1970, 117, 339–343. [Google Scholar]
- Herrera, J.; Rodríguez, S.; Rojas, J.F.; Herrera, É.; Chaves, M. Variación temporal y espacial de la calidad de las aguas superficiales en la subcuenca del río Virilla (Costa Rica) entre 2006 y 2010. Rev. Cienc. Ambient. 2013, 45. [Google Scholar] [CrossRef]
- Chapman, D. Water Quality Assessments; Taylor & Francis: Abingdon, UK, 1992; Volume 2, p. 609. [Google Scholar] [CrossRef]
- U.S. Environmental Protection Agency. Quality Criteria for Water; United States Environmental Protection Agency: Washington, DC, USA, 1986; p. 447.
- Nnane, D.E.; Ebdon, J.E.; Taylor, H.D. Integrated analysis of water quality parameters for cost-effective faecal pollution management in river catchments. Water Res. 2011, 45, 2235–2246. [Google Scholar] [CrossRef] [PubMed]
- World Health Organization. Guidelines for Drinking-Water Quality, 4th ed.; WHO: Geneva, Switzerland, 2011; p. 564. [Google Scholar]
- Davies, G.; McIver, L.; Kim, Y.; Hashizume, M.; Iddings, S.; Chan, V. Water-Borne Diseases and Extreme Weather Events in Cambodia: Review of Impacts and Implications of Climate Change. Int. J. Environ. Res. Public Health 2014, 12, 191–213. [Google Scholar] [CrossRef] [PubMed]
- Giri, S.; Qiu, Z. Understanding the relationship of land uses and water quality in Twenty First Century: A review. J. Environ. Manag. 2016, 173, 41–48. [Google Scholar] [CrossRef] [PubMed]
- Gutiérrez-Fonseca, P.E.; Ramírez, A.; Pringle, C.M. Large-scale climatic phenomena drive fluctuations in macroinvertebrate assemblages in lowland tropical streams, Costa Rica: The importance of ENSO events in determining long-term (15y) patterns. PLoS ONE 2018, 13, 1–24. [Google Scholar] [CrossRef] [PubMed]
- Ometo, J.P.H.B.; Martinelli, L.A.; Ballester, M.V.; Gessner, A.; Krusche, A.V.; Victoria, R.L.; Williams, M. Effects of land use on water chemistry and macroinvertebrates in two streams of the Piracicaba river basin, south-east Brazil. Freshw. Biol. 2000, 44, 327–337. [Google Scholar] [CrossRef]
- Dodds, W.K.; Whiles, M.R. Freshwater Ecology: Concepts and Environmental Applications of Limnology; Aquatic Ecology; Elsevier Science: Amsterdam, The Netherland, 2010. [Google Scholar]
- UNEP/WHO. Water Quality Monitoring—A Practical Guide to the Design and Implementation of Freshwater Quality Studies and Monitoring Programmes; WHO: Geneva, Switzerland, 1996; Volume 2. [Google Scholar]
- Sokolova, N.Y.; Paliy, A.V.; Izvekova, B.I. Biology of Chironomus piger Str. (Diptera: Chironomidae) and its role in the self-purification of a river. Neth. J. Aquat. Ecol. 1992, 26, 509–512. [Google Scholar] [CrossRef]
- Alonso, R.; Pringle, C.M. Fast growth and turnover of chironomid assemblages in response to stream phosphorus levels in a tropical lowland landscape. Limnol. Oceanogr. 2006, 51, 189–196. [Google Scholar] [CrossRef]
- Ferrington, L.C. Global diversity of non-biting midges (Chironomidae; Insecta-Diptera) in freshwater. In Freshwater Animal Diversity Assessment; Balian, E.V., Lévêque, C., Segers, H., Martens, K., Eds.; Springer: Dordrecht, The Netherlands, 2008; pp. 447–455. [Google Scholar] [CrossRef]
- Merritt, R.W.; Cummins, K.W. An Introduction to the Aquatic Insects of North America; Kendall/Hunt Publishing Company: Dubuque, IA, USA, 1996. [Google Scholar]
- Bilotta, G.S.; Brazier, R.E. Understanding the influence of suspended solids on water quality and aquatic biota. Water Res. 2008, 42, 2849–2861. [Google Scholar] [CrossRef] [PubMed]
- Zukowski, S.; Walker, K.F. Freshwater snails in competition: Alien Physa acuta (Physidae) and native Glyptophysa gibbosa (Planorbidae) in the River Murray, South Australia. Mar. Freshw. Res. 2009, 60, 999–1005. [Google Scholar] [CrossRef]
- Smith, D.G.; Pennak, R.W. Pennak’s Freshwater Invertebrates of the United States: Porifera to Crustacea; Wiley: Hoboken, NJ, USA, 2001. [Google Scholar]
- Thorp, J.H.; Covich, A.P. Ecology and Classification of North American Freshwater Invertebrates; Academic Press: Cambridge, MA, USA, 2001. [Google Scholar]
- Lenat, D.R.; Resh, V.H. Taxonomy and stream ecology—The benefits of genus- and species-level identifications. J. N. Am. Benthol. Soc. 2001, 20, 287–298. [Google Scholar] [CrossRef]
- Bowman, M.F.; Bailey, R.C. Does taxonomic resolution affect the multivariate description of the structure of freshwater benthic macroinvertebrate communities? Can. J. Fish. Aquat. Sci. 1997, 54, 1802–1807. [Google Scholar] [CrossRef]
- Jackson, J.K.; Sweeney, B.W. Egg and Larval Development Times for 35 Species of Tropical Stream Insects from Costa Rica. J. N. Am. Benthol. Soc. 1995, 14, 115–130. [Google Scholar] [CrossRef]
- Wenger, S.J.; Roy, A.H.; Jackson, C.R.; Bernhardt, E.S.; Carter, T.L.; Filoso, S.; Gibson, C.A.; Hession, W.C.; Kaushal, S.S.; Martí, E.; et al. Twenty-six key research questions in urban stream ecology: An assessment of the state of the science. J. N. Am. Benthol. Soc. 2009, 28, 1080–1098. [Google Scholar] [CrossRef]
- Allan, J.D.; Castillo, M.M. Stream Ecology: Structure and Function of Running Waters, 2nd ed.; Springer: Dordrecht, The Netherlands, 2007. [Google Scholar] [CrossRef]




| Parameter | Units | Average | Minimum | Maximum | SD |
|---|---|---|---|---|---|
| Temperature | C | 19.8 | 15.2 | 28.2 | 2.85 |
| pH | - | 7.69 | 6.69 | 8.75 | 0.35 |
| Conductivity | S/cm | 183 | 37 | 408 | 94.9 |
| DO | % | 81.8 | 21.6 | 113.1 | 1.35 |
| Turbidity | NTU | 10.59 | 1.41 | 66.53 | 13.8 |
| TS | mg/L | 170 | 48 | 543 | 89.4 |
| TDS | mg/L | 137 | 11 | 312 | 64.5 |
| TSS * | mg/L | 30 | <1 | 382 | 223 |
| Alkalinity | mg/L CaCO | 81.5 | 12.2 | 264 | 57.2 |
| BOD * | mg/L O | 10.15 | <2 | 206.8 | 8.06 |
| Ammonium * | mg/L N-NH | 1.050 | <0.07 | 9.300 | 2.88 |
| Nitrite * | mg/L N-NO | 0.1243 | <0.012 | 0.9260 | 0.59 |
| Nitrate | mg/L N-NO | 1.954 | 0.047 | 8.546 | 1.78 |
| TP * | mg/L | 0.435 | <0.02 | 3.520 | 0.71 |
| SRP * | mg/L | 0.350 | <0.02 | 3.706 | 0.69 |
| Fluoride * | mg/L | 0.106 | <0.043 | 0.270 | 0.07 |
| Chloride | mg/L | 7.75 | 0.95 | 25.45 | 5.79 |
| Sulphate | mg/L | 9.55 | 1.02 | 22.43 | 5.39 |
| Total coliform | MPN/100 mL | 7.80 × 10 | 2 | 1.40 × 10 | 2.21 × 10 |
| Escherichia coli | MPN/100 mL | 4.42 × 10 | 2 | 1.07 × 10 | 1.41 × 10 |
| Axes and Variables | Explained Variation (%) | Pseudo-F | p-Value |
|---|---|---|---|
| Canonical axes | |||
| First axis | 32.3 | 26.6 | 0.001 * |
| Second axis | 10.7 | 8.8 | 0.001 * |
| All axes | 49.1 | 4.2 | 0.001 * |
| Explanatory variables | |||
| Temperature | −70.9 | 18.5 | 0.005 ** |
| Nitrite | −64.9 | 17.2 | 0.005 ** |
| Ammonium | −64.3 | 13.0 | 0.005 ** |
| SRP | −63.3 | 9.9 | 0.005 ** |
| TS | −62.6 | 9.8 | 0.005 ** |
| Alkalinity | −59.8 | 7.8 | 0.005 ** |
| Nitrate | −61.1 | 5.2 | 0.005 ** |
| TSS | −57.8 | 3.4 | 0.005 ** |
| Site | NSF-WQI | Dutch Index | BMWP-CR | |||
|---|---|---|---|---|---|---|
| Average | Classification * | Average | Classification ** | Average | Classification * | |
| T1 | 73 (0.8) | Good | 5 (0.3) | Incipient | 71 (7.2) | Regular |
| T2 | 73 (1.1) | Good | 5 (0.2) | Incipient | 54 (6.5) | Bad |
| V1 | 74 (1.3) | Good | 5 (0.3) | Incipient | 55 (7.2) | Bad |
| V2 | 71 (0.8) | Good | 6 (0.4) | Incipient | 50 (10) | Bad |
| V3 | 69 (1.2) | Medium | 7 (0.5) | Moderate | 28 (3.4) | Bad, highly polluted |
| V4 | 64 (2.7) | Medium | 9 (1.0) | Moderate | 17 (3.5) | Bad, highly polluted |
| V5 | 63 (2.2) | Medium | 10 (0.8) | Severe | - | - |
| V6 | 65 (3.4) | Medium | 9 (0.5) | Moderate | 28 (4.1) | Bad, highly polluted |
© 2018 by the authors. Licensee MDPI, Basel, Switzerland. This article is an open access article distributed under the terms and conditions of the Creative Commons Attribution (CC BY) license (http://creativecommons.org/licenses/by/4.0/).
Share and Cite
Mena-Rivera, L.; Vásquez-Bolaños, O.; Gómez-Castro, C.; Fonseca-Sánchez, A.; Rodríguez-Rodríguez, A.; Sánchez-Gutiérrez, R. Ecosystemic Assessment of Surface Water Quality in the Virilla River: Towards Sanitation Processes in Costa Rica. Water 2018, 10, 845. https://doi.org/10.3390/w10070845
Mena-Rivera L, Vásquez-Bolaños O, Gómez-Castro C, Fonseca-Sánchez A, Rodríguez-Rodríguez A, Sánchez-Gutiérrez R. Ecosystemic Assessment of Surface Water Quality in the Virilla River: Towards Sanitation Processes in Costa Rica. Water. 2018; 10(7):845. https://doi.org/10.3390/w10070845
Chicago/Turabian StyleMena-Rivera, Leonardo, Oscar Vásquez-Bolaños, Cinthya Gómez-Castro, Alicia Fonseca-Sánchez, Abad Rodríguez-Rodríguez, and Rolando Sánchez-Gutiérrez. 2018. "Ecosystemic Assessment of Surface Water Quality in the Virilla River: Towards Sanitation Processes in Costa Rica" Water 10, no. 7: 845. https://doi.org/10.3390/w10070845
APA StyleMena-Rivera, L., Vásquez-Bolaños, O., Gómez-Castro, C., Fonseca-Sánchez, A., Rodríguez-Rodríguez, A., & Sánchez-Gutiérrez, R. (2018). Ecosystemic Assessment of Surface Water Quality in the Virilla River: Towards Sanitation Processes in Costa Rica. Water, 10(7), 845. https://doi.org/10.3390/w10070845

