Detention and Retention Behavior of Four Extensive Green Roofs in Three Nordic Climate Zones
Abstract
:1. Introduction
1.1. Background
1.1.1. Green Roof Materials
1.1.2. Water Transport in Green Roofs in General
1.1.3. Green Roof Configuration and Geometry
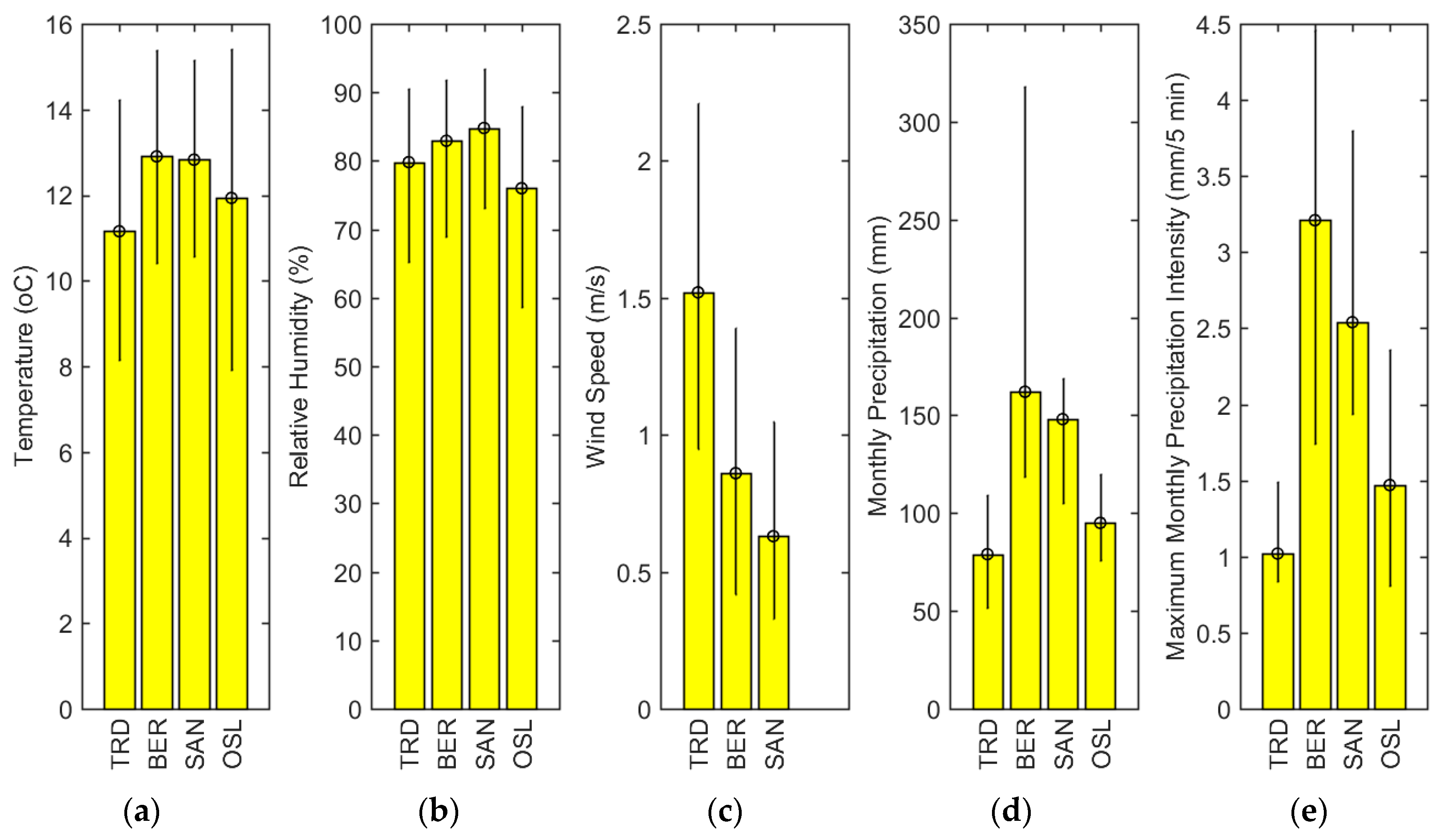
1.1.4. Climate
1.1.5. Retention Performance
1.1.6. Detention Performance
1.2. Objectives
- Investigate cumulative retention performance for extensive green roofs as a function of local climate, seasons and green roof configuration.
- Investigate event-based retention performance relevant from a design perspective, as a function of local climate and green roof configuration.
- Investigate event-based peak detention performance as a function of green roof configuration and geometry.
- Investigate if flow duration curves can be used as a tool to describe green roofs’ effect on runoff patterns.
2. Materials and Methods
2.1. Site Descriptions
2.2. Data Collection
2.3. Data Processing
- Absolute retention from sum precipitation minus sum runoff
- Fraction of precipitation retained
- 5-min peak intensity precipitation
- Peak reduction from 5-min peak intensity precipitation to 5-min peak intensity runoff
- Number of precipitation events combined to create each combined event.
2.4. Laboratory Analysis
3. Results and Discussion
3.1. Climate at the Studied Locations
3.2. Retention
3.3. Event Detention
3.4. Detention Presented with Flow Duration Curves
4. Conclusions
Author Contributions
Acknowledgments
Conflicts of Interest
Appendix A
| Configuration | Basic2 | SM | Thick1 | Thick2 |
|---|---|---|---|---|
| Sedum | 79% | 48% | 57% | 62% |
| Vegetation | 91% | 64% | 92% | 94% |
| Bare substrate | 9% | 36% | 8% | 6% |
| Configuration | Basic2 | SM | Thick1 | Basic1 | Thick3 |
|---|---|---|---|---|---|
| Sedum | 64% | 48% | 41% | 42% | 36% |
| Vegetation | 90% | 90% | 99% | 93% | 96% |
| Bare substrate | 10% | 10% | 2% | 7% | 5% |
| Configuration | Basic2 | Thick1 | Basic1 | SM |
|---|---|---|---|---|
| Sedum | 98% | 85% | 90% | 89% |
| Vegetation | 98% | 96% | 94% | 92% |
| Bare substrate | 3% | 4% | 7% | 8% |
| Configuration | Basic2 + DL | Thick1 | Basic2 |
|---|---|---|---|
| Sedum | 96% | 86% | 86% |
| Vegetation | 100% | 98% | 100% |
| Bare substrate | 0% | 2% | 0% |
References
- Oberndorfer, E.; Lundholm, J.; Bass, B.; Coffman, R.R.; Doshi, H.; Dunnett, N.; Gaffin, S.; Kohler, M.; Liu, K.K.Y.; Rowe, B. Green roofs as urban ecosystems: Ecological structures, functions, and services. Bioscience 2007, 57, 823–833. [Google Scholar] [CrossRef]
- Teemusk, A.; Mander, U. Greenroof potential to reduce temperature fluctuations of a roof membrane: A case study from Estonia. Build. Environ. 2009, 44, 643–650. [Google Scholar] [CrossRef]
- Saadatian, O.; Sopian, K.; Salleh, E.; Lim, C.H.; Riffat, S.; Saadatian, E.; Toudeshki, A.; Sulaiman, M.Y. A review of energy aspects of green roofs. Renew. Sustain. Energy Rev. 2013, 23, 155–168. [Google Scholar] [CrossRef]
- Andenæs, E.; Kvande, T.; Muthanna, T.; Lohne, J. Performance of Blue-Green Roofs in Cold Climates: A Scoping Review. Buildings 2018, 8, 55. [Google Scholar] [CrossRef]
- Besir, A.B.; Cuce, E. Green roofs and facades: A comprehensive review. Renew. Sustain. Energy Rev. 2018, 82, 915–939. [Google Scholar] [CrossRef]
- Lee, K.E.; Williams, K.J.H.; Sargent, L.D.; Farrell, C.; Williams, N.S. Living roof preference is influenced by plant characteristics and diversity. Landsc. Urban Plan. 2014, 122, 152–159. [Google Scholar] [CrossRef]
- Li, Y.L.; Babcock, R.W. Green roof hydrologic performance and modeling: A review. Water Sci. Technol. 2014, 69, 727–738. [Google Scholar] [CrossRef] [PubMed]
- Stovin, V. The potential of green roofs to manage Urban Stormwater. Water Environ. J. 2010, 24, 192–199. [Google Scholar] [CrossRef]
- Stovin, V.; Vesuviano, G.; De-Ville, S. Defining green roof detention performance. Urban Water J. 2017, 14, 574–588. [Google Scholar] [CrossRef]
- Cook-Patton, S.O. Plant diversity on Green Roofs. In Green Roof Ecosystems; Sutton, R.K., Ed.; Springer: Cham, Switzerland, 2015; Volume 223, pp. 193–209. [Google Scholar]
- Forschungsgesellschaft Landschaftsentwickung Landschaftsbau (FLL). Guidelines for the Planning, Construction and Maintenance of Green Roofing; FLL: Bonn, Germany, 2008. [Google Scholar]
- Fassman, E.; Simcock, R. Moisture Measurements as Performance Criteria for Extensive Living Roof Substrates. J. Environ. Eng. 2012, 138, 841–851. [Google Scholar] [CrossRef]
- Liu, R.F.; Fassman-Beck, E. Hydrologic response of engineered media in living roofs and bioretention to large rainfalls: Experiments and modeling. Hydrol. Process. 2017, 31, 556–572. [Google Scholar] [CrossRef]
- De-Ville, S.; Menon, M.; Jia, X.; Reed, G.; Stovin, V. The impact of green roof ageing on substrate characteristics and hydrological performance. J. Hydrol. 2017, 547, 332–344. [Google Scholar] [CrossRef]
- Vesuviano, G.; Stovin, V. A generic hydrological model for a green roof drainage layer. Water Sci. Technol. 2013, 68, 769–775. [Google Scholar] [CrossRef] [PubMed]
- Alfredo, K.; Montalto, F.; Goldstein, A. Observed and modeled performances of prototype green roof test plots subjected to simulated low- and high-intensity precipitations in a laboratory experiment. J. Hydrol. Eng. 2010, 15, 444–457. [Google Scholar] [CrossRef]
- Buccola, N.; Spolek, G. A Pilot-Scale Evaluation of Greenroof Runoff Retention, Detention, and Quality. Water Air Soil Pollut. 2011, 216, 83–92. [Google Scholar] [CrossRef]
- Soulis, K.X.; Ntoulas, N.; Nektarios, P.A.; Kargas, G. Runoff reduction from extensive green roofs having different substrate depth and plant cover. Ecol. Eng. 2017, 102, 80–89. [Google Scholar] [CrossRef]
- Yio, M.H.N.; Stovin, V.; Werdin, J.; Vesuviano, G. Experimental analysis of green roof substrate detention characteristics. Water Sci. Technol. 2013, 68, 1477–1486. [Google Scholar] [CrossRef] [PubMed]
- Fassman-Beck, E.; Voyde, E.; Simcock, R.; Hong, Y.S. 4 Living roofs in 3 locations: Does configuration affect runoff mitigation? J. Hydrol. 2013, 490, 11–20. [Google Scholar] [CrossRef]
- Hakimdavar, R.; Culligan, P.J.; Finazzi, M.; Barontini, S.; Ranzi, R. Scale dynamics of extensive green roofs: Quantifying the effect of drainage area and rainfall characteristics on observed and modeled green roof hydrologic performance. Ecol. Eng. 2014, 73, 494–508. [Google Scholar] [CrossRef]
- Bengtsson, L. Peak flows from thin sedum-moss roof. Hydrol. Res. 2005, 36, 269–280. [Google Scholar] [CrossRef]
- VanWoert, N.D.; Rowe, D.B.; Andresen, J.A.; Rugh, C.L.; Fernandez, R.T.; Xiao, L. Green roof stormwater retention: Effects of roof surface, slope, and media depth. J. Environ. Qual. 2005, 34, 1036–1044. [Google Scholar] [CrossRef] [PubMed]
- Voyde, E.; Fassman, E.; Simcock, R. Hydrology of an extensive living roof under sub-tropical climate conditions in Auckland, New Zealand. J. Hydrol. 2010, 394, 384–395. [Google Scholar] [CrossRef]
- Villarreal, E.L.; Bengtsson, L. Response of a Sedum green-roof to individual rain events. Ecol. Eng. 2005, 25, 1–7. [Google Scholar] [CrossRef]
- Getter, K.L.; Rowe, D.B.; Andresen, J.A. Quantifying the effect of slope on extensive green roof stormwater retention. Ecol. Eng. 2007, 31, 225–231. [Google Scholar] [CrossRef]
- Carson, T.B.; Marasco, D.E.; Culligan, P.J.; McGillis, W.R. Hydrological performance of extensive green roofs in New York City: Observations and multi-year modeling of three full-scale systems. Environ. Res. Lett. 2013, 8, 13. [Google Scholar] [CrossRef]
- Loiola, C.; Mary, W.; Pimentel da Silva, L. Hydrological performance of modular-tray green roof systems for increasing the resilience of mega-cities to climate change. J. Hydrol. 2018. [Google Scholar] [CrossRef]
- Brandao, C.; Cameira, M.D.; Valente, F.; de Carvalho, R.C.; Paco, T.A. Wet season hydrological performance of green roofs using native species under Mediterranean climate. Ecol. Eng. 2017, 102, 596–611. [Google Scholar] [CrossRef]
- Peel, M.C.; Finlayson, B.L.; McMahon, T.A. Updated world map of the K¨oppen-Geiger climate classification. Hydrol. Earth Syst. Sci. Discuss. 2007, 4, 439–473. [Google Scholar] [CrossRef]
- Locatelli, L.; Mark, O.; Mikkelsen, P.S.; Arnbjerg-Nielsen, K.; Bergen Jensen, M.; Binning, P.J. Modelling of green roof hydrological performance for urban drainage applications. J. Hydrol. 2014, 519, 3237–3248. [Google Scholar] [CrossRef]
- Bengtsson, L.; Grahn, L.; Olsson, J. Hydrological function of a thin extensive green roof in southern Sweden. Hydrol. Res. 2005, 36, 259–268. [Google Scholar] [CrossRef]
- Mentens, J.; Raes, D.; Hermy, M. Green roofs as a tool for solving the rainwater runoff problem in the urbanized 21st century? Landsc. Urban Plan. 2006, 77, 217–226. [Google Scholar] [CrossRef]
- Stovin, V.; Vesuviano, G.; Kasmin, H. The hydrological performance of a green roof test bed under UK climatic conditions. J. Hydrol. 2012, 414, 148–161. [Google Scholar] [CrossRef]
- Hill, J.; Drake, J.; Sleep, B.; Margolis, L. Influences of four extensive green roof design variables on stormwater hydrology. J. Hydrol. Eng. 2017, 22. [Google Scholar] [CrossRef]
- Krebs, G.; Kuoppamaki, K.; Kokkonen, T.; Koivusalo, H. Simulation of green roof test bed runoff. Hydrol. Process. 2016, 30, 250–262. [Google Scholar] [CrossRef]
- Stovin, V.; Poe, S.; Berretta, C. A modelling study of long term green roof retention performance. J. Environ. Manag. 2013, 131, 206–215. [Google Scholar] [CrossRef] [PubMed]
- Johannessen, B.G.; Hanslin, H.M.; Muthanna, T.M. Green roof performance potential in cold and wet regions. Ecol. Eng. 2017, 106, 436–447. [Google Scholar] [CrossRef]
- Elliot, R.M.; Gibson, R.A.; Carson, T.B.; Marasco, D.E.; Culligan, P.J.; McGillis, W.R. Green roof seasonal variation: Comparison of the hydrologic behavior of a thick and a thin extensive system in New York City. Environ. Res. Lett. 2016, 11. [Google Scholar] [CrossRef]
- Graceson, A.; Hare, M.; Monaghan, J.; Hall, N. The water retention capabilities of growing media for green roofs. Ecol. Eng. 2013, 61, 328–334. [Google Scholar] [CrossRef]
- Nawaz, R.; McDonald, A.; Postoyko, S. Hydrological performance of a full-scale extensive green roof located in a temperate climate. Ecol. Eng. 2015, 82, 66–80. [Google Scholar] [CrossRef]
- Feitosa, R.C.; Wilkinson, S. Modelling green roof stormwater response for different soil depths. Landsc. Urban Plan. 2016, 153, 170–179. [Google Scholar] [CrossRef]
- Villarreal, E.L. Runoff detention effect of a sedum green-roof. Hydrol. Res. 2007, 38, 99–105. [Google Scholar] [CrossRef]
- Palla, A.; Sansalone, J.J.; Gnecco, I.; Lanza, L.G. Storm water infiltration in a monitored green roof for hydrologic restoration. Water Sci. Technol. 2011, 64, 766–773. [Google Scholar] [CrossRef] [PubMed]
- Hathaway, A.M.; Hunt, W.F.; Jennings, G.D. Afield study of green roof hydrologic and water quality performance. Trans. ASABE 2008, 51, 37–44. [Google Scholar] [CrossRef]
- Peng, Z.; Stovin, V. Independent validation of the SWMM green roof module. J. Hydrol. Eng. 2017, 22, 22. [Google Scholar] [CrossRef]
- Smakhtin, V.U. Low flow hydrology: A review. J. Hydrol. 2001, 240, 147–186. [Google Scholar] [CrossRef]
- Searcy, J.K. Flow-Duration Curves. In Manual of Hydrology, Part 2. Low-Flow Tecniques; United States Government Printing Office: Washington, DC, USA, 1959. [Google Scholar]
- Avellaneda, P.M.; Jefferson, A.J.; Grieser, J.M.; Bush, S.A. Simulation of the cumulative hydrological response to green infrastructure. Water Resour. Res. 2017, 53, 3087–3101. [Google Scholar] [CrossRef]
- Lambrecht. Operating Instructions Heated Precipitation Sensor (1518 H3++); Lambrecht: Göttingen, Germany, 2014. [Google Scholar]
- Førland, E.J.; Allerup, P.; Dahlström, B.; Elomaa, E.; Jonsson, T.; Madsen, H.; Perälä, J.; Rissanen, P.; Vedin, H.; Vejen, F. Manual for Operational Correction of Nordic Precipitaion Data; Report nr. 24/96; Det Norske Meterologiske Institutt: Oslo, Norway, 1996. [Google Scholar]
- Mjønes, T. Detektering av snø- og Vindfordelingen over Grønne Tak; Norwegian University og Science and Technology: Trondheim, Norway, 2016. [Google Scholar]
- Richards, L.A. Porous Plate Apparatus for Measuring Moisture Retention and Transmission by Soil. Soil Sci. 1948, 66, 105–110. [Google Scholar] [CrossRef]
- Poë, S.; Stovin, V.; Berretta, C. Parameters influencing the regeneration of a green roof’s retention capacity via evapotranspiration. J. Hydrol. 2015, 523, 356–367. [Google Scholar] [CrossRef]
- The City of Oslo Stormwater Management. A Guideline for Developers. Version 1.3; The City of Oslo Stormwater Management: Oslo, Norway, 2017. [Google Scholar]
- Hanslin, H.M.; Johannessen, B.G. Oppfølging av Grønne tak fra Fremtidens Byer. 2016. Available online: http://www.miljodirektoratet.no/no/Publikasjoner/2017/Mars/Oppfolging-gronne-tak-fra-Fremtidens-byer-2016/ (accessed on 20 May 2018).







| Location | Köppen–Geiger Climate [30] * | Precipitation (mm/year) | Annual (Summer) Retention | Type of Study |
|---|---|---|---|---|
| Odense, Denmark [31] | Dfb | 800 | 44 (53)% | 80 mm with substrate mat |
| Malmö, Sweden [32] | Cfb | 705 | 46 (55)% | 40 mm substrate |
| German studies [33] | Cfb-Dfb | 554–1347 | 50% | Average depth 100 mm |
| Sheffield, U.K. [34] | Cfb | 825 | 50% | 80-mm substrate and drainage |
| Toronto, Canada [35] | Dfb | 77 * | (70%) | 100–150-mm substrate |
| Lahti, Finland [36] | Dfb | 60 ** | (42%) | 100 mm substrate |
| NW Scotland, U.K. [37] | Cfb | 2708 | 19% | 30-year model, 20-mm WHC |
| East Midlands, U.K. [37] | Cfb | 496 | 59% | 30-year model, 20-mm WHC |
| Bergen, Norway [38] | Cfb | 2715 | 18% | 30-year model, 30-mm WHC |
| Reykjavik, Iceland [38] | Cfc | 861 | 28% | 30-year model, 30-mm WHC |
| Oslo, Norway [38] | Dfb | 861 | 45% | 30-year model, 40-mm WHC |
| Type of Study | Peak Reduction (%) | Peak Delay (min) | Centroid Delay (min) |
|---|---|---|---|
| 3 m2, 1.5° slope 80-mm substrate, drainage layer [34] 1,3 | 59 (20/100)% | 18 (−49/283) | 75 (5/261) |
| 50–150-mm substrate, 4–171 m2 [20] 1,4 | 62–90% | ||
| 2.5 m2, 2.5% slope, 150-mm substrate, drainage layer, varying vegetation [29] 1,5 | 84–94% | 10–16 | |
| 171 m2, 20-mm substrate and 15-mm drainage layer, Period I [44] 1 | 89 ± 15% | 407 ± 435 | |
| Period II [44] 1 | 72 ± 20% | 149 ± 72 | |
| 70 m2, flat, 75-mm substrate, drainage layer [45] 2 | 77% | ||
| 27 m2, 3% slope, 100-mm substrate, drainage layer [45] 2 | 88% |
| Configuration | Type | Depth (mm) | Water Storage (mm) |
|---|---|---|---|
| Basic1 | Vegetation mat, Substrate 1 | 30 | 6 4 |
| Basic1 | Textile retention fabric | 3 | 2.7 2 |
| Basic1 | Applied configuration | 33 | 9 |
| Basic2 | Vegetation mat, Substrate 2 | 30 | 6 4 |
| Basic2 | Textile retention fabric | 10 | 7.2 2 |
| Basic2 | Applied configuration | 40 | 13 |
| Basic+DL | Vegetation mat, Substrate 2 | 30 | 6 4 |
| Basic+DL | Drainage layer (HDPE) | 25 | 5.8 1 |
| Basic+DL | Applied configuration | 55 | 12 |
| Basic2+DL | Vegetation mat, Substrate 2 | 30 | 6 4 |
| Basic2+DL | Textile retention fabric | 10 | 7.2 2 |
| Basic2+DL | Drainage layer (HDPE) | 25 | 5.8 1 |
| Basic2+DL | Applied configuration | 65 | 19 |
| SM | Vegetation mat, Substrate 3 | 30 | 6 4 |
| SM | Substrate mat | 50 | 30 1 |
| SM | Applied configuration | 80 | 36 |
| Thick1 TRD | Vegetation mat, Substrate 4 | 30 | 6 4 |
| Thick1 TRD | Separate Substrate 4 | 50 | 10 3 |
| Thick1 TRD | Drainage layer (HDPE) | 25 | 3 1 |
| Thick1 TRD | Textile retention fabric | 5 | 3.3 2 |
| Thick1 TRD | Applied configuration | 110 | 22 |
| Thick1 BER | Vegetation mat, Substrate 4 | 30 | 6 4 |
| Thick1 BER | Separate Substrate 4 | 50 | 10 3 |
| Thick1 BER | Drainage layer (EPS) | 75 | 3 1 |
| Thick1 BER | Textile retention fabric | 5 | 3.3 2 |
| Thick1 BER | Applied configuration | 160 | 22 |
| Thick1 SAN | Vegetation mat, Substrate 4 | 30 | 6 4 |
| Thick1 SAN | Separate Substrate 4 | 50 | 10 3 |
| Thick1 SAN | Drainage layer (EPS) | 75 | 0 1 |
| Thick1 SAN | Textile retention fabric | 5 | 3.3 2 |
| Thick1 SAN | Applied configuration | 160 | 19 |
| Thick1 OSL | Vegetation mat, Substrate 4 | 30 | 6 4 |
| Thick1 OSL | Separate Substrate 4 | 50 | 10 3 |
| Thick1 OSL | Drainage layer (HDPE) | 40 | 5 1 |
| Thick1 OSL | Textile retention fabric | 5 | 3.3 2 |
| Thick1 OSL | Applied configuration | 125 | 24 |
| Thick2 | Vegetation mat, Substrate 3 | 30 | 6 4 |
| Thick2 | Separate Substrate 3 | 50 | 13 3 |
| Thick2 | Drainage layer (PE) | 21 | 4 1 |
| Thick2 | Applied configuration | 110 | 23 |
| Thick3 | Vegetation mat, Substrate 1 | 30 | 6 4 |
| Thick3 | Pumice | 50 | 15 4 |
| Thick3 | Textile retention fabric | 3 | 2.7 2 |
| Thick3 | Applied configuration | 83 | 22 |
| Component/Instrument | TRD | BER | SAN | OSL |
|---|---|---|---|---|
| Roof plot area (m2) | 15.0 | 7.84 | 8.48 | 8.00 |
| Collection tank, area (m2) | 0.160 0.173 1 | 0.270 | 0.250 | 0.240 |
| Collection tank, depth (m) | 0.50 0.85 1 | 0.80 | 0.80 | 0.80 |
| Pressure transducer (m) | Impress S12C 0–10/±2% | AquiStar 3C160 0–3.5/±0.1% | AquiStar 3C160 0–3.5/±0.1% | 4tech MiniBar 0–1/±0.3% |
| Precipitation Gauge | Lambrecht 1518H3 heated tipping bucket 0.1 mm (resolution)/±2% | |||
| Air temperature, type | Campbell Scientific CS215 −40–+70 °C/±0.9 °C | Young PT-100 −50–+50 °C/±0.3 °C | ||
| Relative humidity (%) | Campbell Scientific CS215 0–100/±4% | - | ||
| Wind speed (m/s) | WindSonic, heated ultrasonic wind sensor 0–60/±2% | Wind Monitor Young 5106–45 Alpine 0–100/±1% | Wind Monitor Young 5103 0–100/±1% | - |
| Configuration | TRD | BER | SAN | OSL |
|---|---|---|---|---|
| Reference black roof | 0% (8%) | |||
| Basic1 | 9% (20%) | 17% (26%) | ||
| Basic2 | 35% (50%) | 10% (22%) | 24% (33%) | 24% (33%) |
| Basic+DL | 28% (36%) | |||
| Basic2+DL | 23% (33%) | |||
| SM | 24% (40%) | 8% (18%) | 26% (33%) | |
| Thick1 | 27% (46%) | 11% (24%) | 21% (30%) | 26% (32%) |
| Thick2 | 33% (48%) | |||
| Thick3 | 14% (25%) | |||
| Average | 30% (46%) | 11% (22%) | 22% (30%) | 26% (34%) |
| Runoff threshold | 5 L/s * ha | 10 L/s * ha | 25 L/s * ha | |||
|---|---|---|---|---|---|---|
| Location | Precipitation/Reference | Runoff | Precipitation/Reference | Runoff | Precipitation/Reference | Runoff |
| TRD | 82 | 12–19 | 27 | 1–3 | 2 | 0 |
| BER | 223 | 105–132 | 97 | 29–42 | 18 | 2–4 |
| SAN | 122 | 26–41 | 42 | 5–11 | 8 | 0–1 |
| OSL | 96 | 47–56 | 34 | 13–16 | 6 | 1–2 |
© 2018 by the authors. Licensee MDPI, Basel, Switzerland. This article is an open access article distributed under the terms and conditions of the Creative Commons Attribution (CC BY) license (http://creativecommons.org/licenses/by/4.0/).
Share and Cite
Johannessen, B.G.; Muthanna, T.M.; Braskerud, B.C. Detention and Retention Behavior of Four Extensive Green Roofs in Three Nordic Climate Zones. Water 2018, 10, 671. https://doi.org/10.3390/w10060671
Johannessen BG, Muthanna TM, Braskerud BC. Detention and Retention Behavior of Four Extensive Green Roofs in Three Nordic Climate Zones. Water. 2018; 10(6):671. https://doi.org/10.3390/w10060671
Chicago/Turabian StyleJohannessen, Birgitte Gisvold, Tone Merete Muthanna, and Bent Christen Braskerud. 2018. "Detention and Retention Behavior of Four Extensive Green Roofs in Three Nordic Climate Zones" Water 10, no. 6: 671. https://doi.org/10.3390/w10060671
APA StyleJohannessen, B. G., Muthanna, T. M., & Braskerud, B. C. (2018). Detention and Retention Behavior of Four Extensive Green Roofs in Three Nordic Climate Zones. Water, 10(6), 671. https://doi.org/10.3390/w10060671
