Community-Based Monitoring in Response to Local Concerns: Creating Usable Knowledge for Water Management in Rural Land
Abstract
1. Introduction
2. Materials and Methods
2.1. Study Area
2.2. Data Collection, Validation and Credibility
2.3. Data Analysis
3. Results
3.1. Data Validation
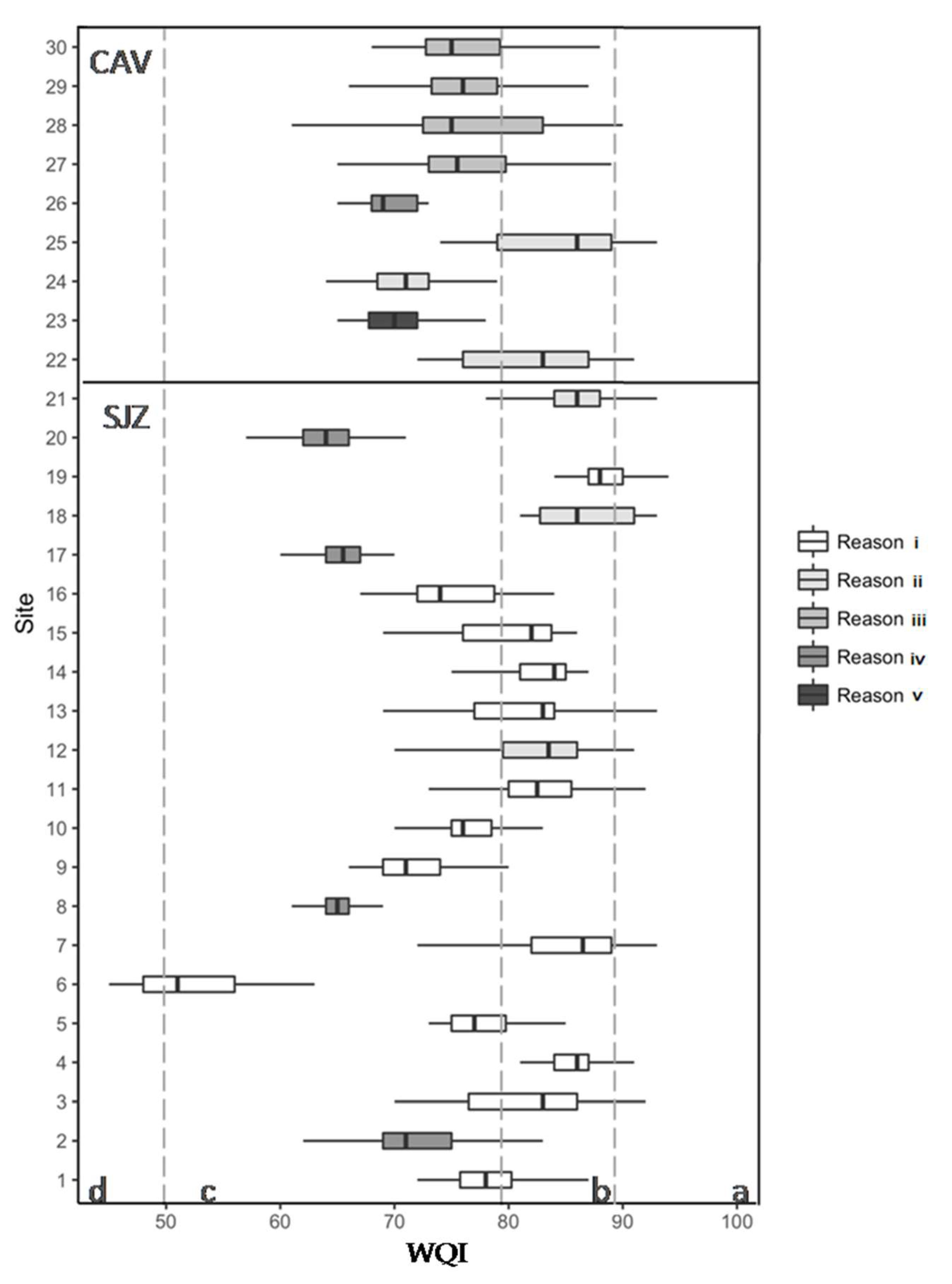
3.2. Water Quality Index
3.3. Physicochemical and Bacterial Analyses
4. Discussion
4.1. Data Responses to Local Concerns about Water Resources
4.2. Community-Based Water Monitoring (CBWM) Generation of Usable Knowledge
- CBWM creates databases about water conditions in socially important sites and, in the absence of long-term data, provides essential information to decision makers [14,19,43]. Citizens, volunteers, and partner institutions are helping to address this issue, not only by generating data but by making it usable for social actors, and at socially important sites [34,47,48].
- Analysis of specific water properties clarifies the relationships among the factors contributing to water quality [49], and the ways in which water is tied to the general management of the basin [50]. For example, within the Monarch butterfly reserve, quantification of turbidity as a proxy for erosion problems has indicated that better management practices are needed at locations higher up the basin; and the E. coli counts indicate fecal matter reaching the water, calling for proper sanitation and better livestock practices.
- Unlike other resource monitoring, CBWM generates data that local communities and other stakeholders can use almost immediately to understand the effects of their activities on their territory [34]. Databases register the long-term behavior and trends, while single monitoring sessions allow CBWM to work as an early-warning system for local and regional stakeholders [25,28].
- CBWM at the monarch reserve has underlined problems related to the effectiveness of current protection policy (e.g., habitat suitability for freshwater biodiversity). Clearly there is a need to revise both the management plan and the regional agreements (i.e., permitted and regulated activities), to reduce the impact of human activities on the water bodies (i.e., the tourism impact on freshwater habitat) thereby achieving a coherent protection policy.
- CBWM usually operates as a collaborative scheme that addresses diverse interests associated with water resources. Given that fluvial systems drain and communicate across the region, they form configuring hydro-social territories shared by ‘ejidos’ and indigenous communities, private owners and protected-land authorities [51,52]. The data generated provide knowledge of water behavior, identify the sources of pollution, and emphasize the spatial connections between regions. Payments for environmental services contracts are of interest in the study region, and it is useful to understand the teleconnections among users and providers involved; and to develop them it is essential to have the data relating to water quality available to ensure effective communication among users and providers in order for all the stakeholders to achieve their own institutional goals [53,54].
- CBWM involves the community in local decisions regarding water, by providing tools to measure and interpret data. Participation can result in new local governance schemes for local to regional decisions. The possession of credible data by means of CBWM is a tool that informs decisions and a new benefit for this region [30].
Author Contributions
Funding
Acknowledgments
Conflicts of Interest
Research Data
References
- United Nations Environment Programme Global Environment Monitoring System (GEMS)/Water Programme. Water Quality for Ecosystem and Human Health. UNEP GEMS/Water. 2006. Available online: http://www.gemswater.org/ (accessed on 10 January 2018).
- Pimentel, D.; Berger, B.; Filiberto, D.; Newton, M.; Wolfe, B.; Karabinakis, E.; Clark, S.; Poon, E.; Abbett, E.; Nandagopal, S. Water Resources: Agricultural and Environmental Issues. BioScience 2004, 54, 909–918. [Google Scholar] [CrossRef]
- Holland, R.A.; Scott, K.A.; Flörke, M.; Brown, G.; Ewers, M.R.; Farmer, E.; Kapos, V.; Muggeridge, A.; Scharlemanne, P.W.J.; Taylor, G.; et al. Global impacts of energy demand on the freshwater resources of nations. Proc. Natl. Acad. Sci. USA 2015, 16, E6707–E6716. [Google Scholar] [CrossRef] [PubMed]
- United Nations World Water Assessment Programme/Programme Office for Global Water Assessment/Division of Water Sciences, UNESCO. The United Nations World Water Development Report 2016: Water and Jobs Facts and Figures. WWAP/UNESCO 2016. Available online: http://unesdoc.unesco.org/images/0024/002440/244041e.pdf (accessed on 2 April 2018).
- Gleick, H.P. Global Freshwater Resources: Soft-Path Solutions for the 21st Century. Science 2003, 302, 1524–1528. [Google Scholar] [CrossRef]
- Dodds, W.K.; Perkin, J.S.; Gerken, J.E. Human impact on freshwater ecosystem services: A global perspective. Environ. Sci. Technol. 2013, 47, 9061–9068. [Google Scholar] [CrossRef] [PubMed]
- Steffen, W.; Richardson, K.; Rockström, J.; Cornell, S.E.; Fetzer, I.; Bennett, E.; Biggs, R.; Carpenter, S.; de Vries, W.; de Wit, C.; et al. Planetary boundaries: Guiding human development on a changing planet. Science 2015, 347, 1259855. [Google Scholar] [CrossRef]
- United Nations Environment Programme. Towards a Pollution-Free Planet; Background Report; UNEP: Nairobi, Kenya, 2017; 124p, Available online: web.unep.org/environmentassembly/report-executive-director-towards-pollution-free-planet (accessed on 10 January 2018).
- Kellner, E.; Hubbart, J.A. Confounded by forgotten legacies: Effectively managing watersheds in the contemporary age of unknown unknowns. Hydrol. Processes 2017, 31, 2802–2808. [Google Scholar] [CrossRef]
- Whitelaw, G.; Vaughan, H.; Craig, B.; Atkinson, D. Establishing the Canadian Community Monitoring Network. Environ. Monit. Assess. 2003, 88, 409–418. [Google Scholar] [CrossRef] [PubMed]
- Nare, L.; Love, D.; Hoko, Z. Involvement of stakeholders in the water quality monitoring and surveillance system: The case of Mzingwane Catchment, Zimbabwe. Phys. Chem. Earth 2006, 31, 707–712. [Google Scholar] [CrossRef]
- Choo-In, S.; Kasemsawat, S.; Sriwilai, J.; Kuanprasert, N. The Participation of Surface Water Quality Management, Amphawa District, SamutSongkhram, Thailand. Procedia Soc. Behav. Sci. 2015, 197, 1551–1557. [Google Scholar] [CrossRef][Green Version]
- Deutsch, W.; Ruiz-Córdova, S. Trends, challenges, and responses of a 20-year, volunteer water monitoring program in Alabama. Ecol. Soc. 2015, 20, 14. [Google Scholar] [CrossRef]
- Franzén, F.; Hammer, M.; Balfors, B. Institutional development for stakeholder participation in local water management—An analysis of two Swedish catchments. Land Use Policy 2015, 43, 217–227. [Google Scholar] [CrossRef]
- Cohn, J. Citizen Science: Can Volunteers Do Real Research? BioScience 2008, 58, 192–197. [Google Scholar] [CrossRef]
- Savan, B.; Morgan, A.; Gore, C. Volunteer environmental monitoring and the role of the universities: The case of citizen’s watch. Environ. Manag. 2003, 31, 561–568. [Google Scholar] [CrossRef]
- Conrad, C.; Daoust, T. Community-based monitoring frameworks: Increasing the effectiveness of environmental stewardship. Environ. Manag. 2008, 41, 356–358. [Google Scholar] [CrossRef] [PubMed]
- Dickinson, J.L.; Shirk, J.; Bonter, D.; Bonney, R.; Crain, R.L.; Martin, J.; Phillips, T.; Purcell, K. The current state of citizen science as a tool for ecological research and public engagement. Front. Ecol. Environ. 2012, 10, 291–297. [Google Scholar] [CrossRef]
- Flores-Díaz, A.; Ramos Escobedo, M.; Ruiz Córdova, S.; Manson, R.; Aranda, E.; Deutsch, W. Monitoreo comunitario del agua: Retos y perspectiva de Global Water Watch México. In Proceedings of the Mexican Congress on Hydrographic Basins, Xalapa, Mexico, 27 August 2013; pp. VIII3–VIII15. [Google Scholar]
- Storey, R.G.; Wright-Stow, A.; Kin, E.; Davies-Colley, R.; Stott, R. Volunteer stream monitoring: Do the data quality and monitoring experience support increased community involvement in freshwater decision making? Ecol. Soc. 2016, 21, 32. [Google Scholar] [CrossRef]
- Hage, M.; Leroy, P.; Petersen, A.C. Stakeholder participation in environmental knowledge production. Futures 2010, 42, 254–264. [Google Scholar] [CrossRef]
- Follett, R.; Strezov, V. An Analysis of Citizen Science Based Research: Usage and Publication Patterns. PLoS ONE 2015, 10, e0143687. [Google Scholar] [CrossRef] [PubMed]
- Roux, D.J.; Rogers, K.H.; Biggs, H.C.; Ashton, P.J.; Sergeant, A. Bridging the science–management divide: Moving from unidirectional knowledge transfer to knowledge interfacing and sharing. Ecol. Soc. 2006, 11, 4. [Google Scholar] [CrossRef]
- Deutsch, W.; Reutebuch, E.; Ruiz-Córdova, S. Validity and applications of citizen volunteer water/quality data: A case from Alabama. Water Resour. IMPACT 2007, 9, 16–20. [Google Scholar]
- Berkes, F. Evolution of co-management: Role of knowledge generation, bridging organizations and social learning. J. Environ. Manag. 2009, 90, 1692–1702. [Google Scholar] [CrossRef] [PubMed]
- Deutsch, W.; Ruiz-Córdova, S.; Duncan, B.L. (Eds.) Community-Based Water Monitoring: A Practical Model for Global Watershed Stewardship; Global Water Watch Program, Auburn University: Auburn, AL, USA, 2010. [Google Scholar]
- Van Steenbergen, F. Promoting local management in groundwater. Hydrogeol. J. 2006, 14, 380–391. [Google Scholar] [CrossRef]
- Garda, C.; Castleden, H.; Conrad, C. Monitoring, Restoration, and Source Water Protection: Canadian Community-Based Environmental Organizations’ Efforts towards Improving Aquatic Ecosystem Health. Water 2017, 9, 212. [Google Scholar] [CrossRef]
- Maheshwari, B.; Varua, M.; Ward, J.; Packham, R.; Chinnasamy, P.; Dashora, Y.; Dave, S.; Soni, P.; Dillon, P.; Purohit, R.; et al. The role of transdisciplinary approach and community participation in village scale groundwater management: Insights from Gujarat and Rajasthan, India. Water 2014, 6, 3386–3408. [Google Scholar] [CrossRef]
- McCall, M.K.; Chutz, N.; Skutsch, M. Moving from measuring, reporting, verification (mrv) of forest carbon to community mapping, measuring, monitoring (mmm): Perspectives from Mexico. PLoS ONE 2016, 11, 1–22. [Google Scholar] [CrossRef] [PubMed]
- Kacupu, N. Community-Based Research in Generating Usable Knowledge for Public Policy and Administration. Adm. Soc. 2016, 48, 683–710. [Google Scholar] [CrossRef]
- Lemos, M.C. Usable climate knowledge for adaptive and co-managed water governance. Curr. Opin. Environ. Sustain. 2015, 12, 48–52. [Google Scholar] [CrossRef]
- Virji, H.; Padgham, J.; Seipt, C. Capacity building to support knowledge systems for resilient development—Approaches, actions, and needs. Curr. Opin. Environ. Sustain. 2012, 4, 1–7. [Google Scholar] [CrossRef]
- Wilson, N.J.; Mutter, E.; Inkster, J.; Satterfield, T. Community-Based Monitoring as the practice of Indigenous governance: A case study of Indigenous-led water quality monitoring in the Yukon River Basin. J. Environ. Manag. 2018, 210, 290–298. [Google Scholar] [CrossRef]
- Ramírez, M.I.; Miranda, R.; Zubieta, R.; Jiménez, M. Land cover and road network map for the Monarch Butterfly Biosphere Reserve in Mexico 2003. J. Maps 2006, 3, 181–190. [Google Scholar] [CrossRef]
- Strahm, W.; Rao, K. Report on the Mission to the Monarch Butterfly Biosphere Reserve (Mexico) from 10/14 January, 2011. International Union for the Conservation of Nature. UNESCO World Heritage Centre. Available online: whc.unesco.org/en/list/1290/documents/ (accessed on 10 January 2018).
- Deutsch, W.; Busby, A.L. Alabama Water Watch Quality Assurance Plan for Bacteriological Monitoring. Alabama Water Watch, Auburn University, USA. 1999. Available online: aww.auburn.edu/Docs/manuals/QABacManual99.pdf (accessed on 10 January 2018).
- Deutsch, W.; Estridge, R.E. Alabama Water Watch Quality Assurance Plan for Chemical Monitoring; Auburn University: Auburn, AL, USA, 2004; 37p, Available online: aww.auburn.edu/Docs/manuals/QACheManual04.pdf (accessed on 10 January 2018).
- Dinius, S.H. Design of an Index of Water Quality. J. Am. Water Resour. Assoc. 1987, 23, 833–843. [Google Scholar] [CrossRef]
- Mexican Official Norm NOM-127-SSA1-1994. Environmental Health, Water for Use and Human Consumption. Permitted Limits of Quality and Purification Treatments. Updated: October 2000. Available online: www.salud.gob.mx/unidades/cdi/nom/m127ssa14.html (accessed on 10 January 2018).
- Mexican Official Norm NOM-001-CONAGUA-2011. Drinking Water Systems, Household and Sanitary Sewerage—Hermeticness—Specifications and Test Methods. Updated: February 2012. Available online: dof.gob.mx/nota_detalle.php?codigo=5234380&fecha=17/02/2012 (accessed on 10 January 2018).
- Verbesselt, J.; Hyndman, R.; Zeileis, A.; Culvenor, D. Phenological change detection while accounting for abrupt and gradual trends in satellite image time series. Remote Sens. Environ. 2010, 114, 2970–2980. [Google Scholar] [CrossRef]
- Verbesselt, J.; Hyndman, R.; Newnham, G.; Culvenor, D. Detecting trend and seasonal changes in satellite image time series. Remote Sens. Environ. 2010, 114, 106–115. [Google Scholar] [CrossRef]
- R Project. Available online: www.r-project.org/ (accessed on 30 November 2017).
- Eggleston, W. Impact of Sediment Resuspension Events on the Availability of Heavy Metals in Freshwater Sediments. Master’s Thesis, University of Michigan, Ann Arbor, MI, USA, 2012. [Google Scholar]
- Naiman, R.; Decamps, H.; McClain, M. Riparia. Ecology, Conservation and Management of Streamside Communities; Elsevier: Singapore, 2005; ISBN 0-12-663315-0. [Google Scholar]
- Roa, C.E.; Brown, S. Assessing water use and quality through youth participatory research in a rural Andean watershed. J. Environ. Manag. 2009, 90, 3040–3047. [Google Scholar] [CrossRef]
- Mountjoy, N.J.; Whiles, M.R.; Spyreas, G.; Lovvorn, J.R.; Seekamp, E. Assessing the efficacy of community-based natural resource management planning with a multi-watershed approach. Biol. Conserv. 2016, 201, 120–128. [Google Scholar] [CrossRef]
- Peters, N.E.; Meybeck, M. Water Quality Degradation Effects on Freshwater Availability: Impacts of Human Activities. Water Int. 2000, 25, 185–193. [Google Scholar] [CrossRef]
- Maass, M.; Cotler, H. El protocolo para el manejo de ecosistemas en cuencas hidrográficas. In El Manejo de Cuencas en México: Estudios y Reflexiones para Orientar la Política Ambiental, 2nd ed.; Cotler, H., Ed.; Natural Resources and Environment Secretary: Mexico City, Mexico, 2007; pp. 41–58. ISBN 978-968-817-861-4. [Google Scholar]
- Boelens, R.; Hoogesteger, J.; Swyngedouw, E.; Vos, J.; Wester, P. Hydrosocial territories: A political ecology perspective. Water Int. 2016, 41, 1–14. [Google Scholar] [CrossRef]
- Wilson, N. Indigenous water governance: Insights from the hydrosocial relations of the Koyukon Athabascan village of Ruby, Alaska. Geoforum 2015, 57, 1–11. [Google Scholar] [CrossRef]
- World Health Organization. World Health Statistics: Monitoring health for the Sustainable Development Goals. 2016. Available online: www.who.int/gho/publications/world_health_statistics/2016/en/ (accessed on 10 January 2018).
- McKay, A.J.; Johnson, C.J. Confronting barriers and recognizing opportunities: Developing effective community-based environmental monitoring programs to meet the needs of Aboriginal communities. Environ. Impact Assess. 2017, 64, 16–25. [Google Scholar] [CrossRef]
- Norgaard, R. The implication of interdisciplinary scientific assessments for environmental governance. In Policies for Sustainable Governance of Global Ecosystem Services; Ranganatha, J., Munasinghe, M., Irwin, F., Eds.; Edward Elgar: Cheltenham, UK, 2008; ISBN 978-1-84720-244-4. [Google Scholar]
- Mauser, W.; Klepper, G.; Rice, M.; Schmalzbauer, B.S.; Hackmann, H.; Moore, H. Transdisciplinary global change research: The co-creation of knowledge for sustainability. Curr. Opin. Environ. Sustain. 2013, 5, 420–431. [Google Scholar] [CrossRef]
- McKinley, D.C.; Miller-Rushing, A.J.; Ballard, H.L.; Bonney, R.; Brown, H.; Cook-Patton, S.C.; Evanse, D.M.; Frenchf, R.A.; Parrishg, J.K.; Ryan, S.F. Citizen science can improve conservation science, natural resource management, and environmental protection. Biol. Conserv. 2017, 208, 15–28. [Google Scholar] [CrossRef]
- Hophmayer-Tokich, S.; Krozer, Y. Public participation in rural area water management: Experiences from the North Sea countries in Europe. Water Int. 2008, 33, 243–257. [Google Scholar] [CrossRef]
- Burgos, A.; Páez, R.; Carmona, E. A systems approach to modeling Community-Based Environmental Monitoring: A case of participatory water quality monitoring in rural Mexico. Environ. Monit. Assess. 2013, 185, 10297. [Google Scholar] [CrossRef] [PubMed]
- Ibrahim, S.H. Sustainability Assessment of Community-Based Water Supply Multivariate Analysis. J. Water Sustain. 2017, 7, 1–16. [Google Scholar] [CrossRef]
- Hiwasaki, L.; Arico, S. Integrating the social sciences into ecohydrology: Facilitating an interdisciplinary approach to solve issues surrounding water, environment and people. Ecohydrol. Hydrobiol. 2007, 7, 3–9. [Google Scholar] [CrossRef]
- Clark, W.; van Kerkhoff, L.; Lenel, L.; Gallopín, G. Crafting usable knowledge for sustainable development. Proc. Natl. Acad. Sci. USA 2016, 113, 4570–4578. [Google Scholar] [CrossRef] [PubMed]




| Sub-Basin | Ejido or Indigenous Community | ID | Site | Monitoring Reason 1 |
|---|---|---|---|---|
| San Juan Zitácuaro | Francisco Serrato | 1 | Xorejé | Drink |
| Francisco Serrato | 2 | Tamejé | Downstream | |
| Carpinteros | 3 | El Aguacate | Drink | |
| Carpinteros | 4 | Lomita | Drink | |
| Carpinteros | 5 | Agua de Benita | Drink | |
| Carpinteros | 6 | La Mina | Drink | |
| Donaciano Ojeda | 7 | Manantial 1a Manzana | Drink | |
| Donaciano Ojeda | 8 | La Segundita | Downstream | |
| Crescencio Morales | 9 | Remunrrejé | Drink | |
| Crescencio Morales | 10 | La Entrada | Drink | |
| San Juan Zitácuaro community | 11 | Ojo de Agua | Drink | |
| Curungueo | 12 | Borbollones | Domestic | |
| Curungueo | 13 | La Capilla | Drink | |
| Curungueo | 14 | Ojo de Agua 1 | Drink | |
| Curungueo | 15 | Ojo de Agua 2 | Drink | |
| Curungueo | 16 | Arroyo Casa Grande 1 | Drink | |
| Curungueo | 17 | Arroyo Casa Grande 2 | Downstream | |
| San Felipe los Alzati | 18 | Ojo de Agua centro | Domestic | |
| San Felipe los Alzati | 19 | La Presa | Drink | |
| San Felipe los Alzati | 20 | Rio Obscuro | Downstream | |
| San Felipe los Alzati | 21 | Palo Amargoso | Domestic | |
| Cachiví | Senguio | 22 | El Salto | Domestic |
| Senguio | 23 | Agua Caliente—Zapatero | Border | |
| Senguio | 24 | Los Filtros | Domestic | |
| Chincua | 25 | Los Tubos | Domestic | |
| El Calabozo | 26 | Los Ailes—Tejón | Downstream | |
| Cerro Prieto | 27 | Villalobos Poza 1 | Biodiversity | |
| Cerro Prieto | 28 | Villalobos Poza 8 | Biodiversity | |
| Cerro Prieto | 29 | Establo Poza 6 | Biodiversity | |
| Cerro Prieto | 30 | Establo Poza 8 | Biodiversity |
| Parameter | Units | Precision (%) | Accuracy | Sensitivity | Range |
|---|---|---|---|---|---|
| Water temperature | °C | 80 | ±1.0 | 0.5 | 0–100 |
| Air temperature | °C | 80 | ±1.0 | 0.5 | 0–100 |
| pH | 80 | ±1.0 | 0.5 | 3.5–10.0 | |
| Dissolved oxygen | mg/L | 80 | ±2.0 | 0.2 | 0.0–20.0 |
| Total alkalinity | mg/L | 80 | ±10.0 | 5.0 | 0> |
| Total hardness | mg/L | 80 | ±20.0 | 10.0 | 0> |
| Turbidity | JTU | 80 | ±10.0 | 5.0 | 0–200 |
| Escherichia coli | UFC/100 mL | 95 | ±1.0 | 1.0 | 0–200 |
© 2018 by the authors. Licensee MDPI, Basel, Switzerland. This article is an open access article distributed under the terms and conditions of the Creative Commons Attribution (CC BY) license (http://creativecommons.org/licenses/by/4.0/).
Share and Cite
Flores-Díaz, A.C.; Quevedo Chacón, A.; Páez Bistrain, R.; Ramírez, M.I.; Larrazábal, A. Community-Based Monitoring in Response to Local Concerns: Creating Usable Knowledge for Water Management in Rural Land. Water 2018, 10, 542. https://doi.org/10.3390/w10050542
Flores-Díaz AC, Quevedo Chacón A, Páez Bistrain R, Ramírez MI, Larrazábal A. Community-Based Monitoring in Response to Local Concerns: Creating Usable Knowledge for Water Management in Rural Land. Water. 2018; 10(5):542. https://doi.org/10.3390/w10050542
Chicago/Turabian StyleFlores-Díaz, Adriana C., Alexander Quevedo Chacón, Rosaura Páez Bistrain, M. Isabel Ramírez, and Alejandra Larrazábal. 2018. "Community-Based Monitoring in Response to Local Concerns: Creating Usable Knowledge for Water Management in Rural Land" Water 10, no. 5: 542. https://doi.org/10.3390/w10050542
APA StyleFlores-Díaz, A. C., Quevedo Chacón, A., Páez Bistrain, R., Ramírez, M. I., & Larrazábal, A. (2018). Community-Based Monitoring in Response to Local Concerns: Creating Usable Knowledge for Water Management in Rural Land. Water, 10(5), 542. https://doi.org/10.3390/w10050542

