A Closer Look on Spatiotemporal Variations of Dissolved Oxygen in Waste Stabilization Ponds Using Mixed Models
Abstract
:1. Introduction
2. Materials and Methods
2.1. Study Area
2.2. Sampling Campaigns
2.3. Kruskal–Wallis and Bonferroni Correction
2.4. Model Selection
2.5. Model Evaluation
2.6. Intraclass Correlation Coefficient (ICC)
3. Result
3.1. Spatial Variation of Dissolved Oxygen
3.2. Model Selection
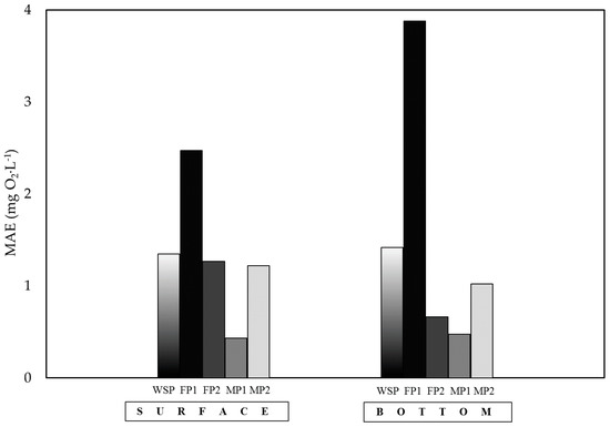
3.3. Model Evaluation
3.4. Diurnal Dissolved Oxygen Profile
3.5. Vertical Dissolved Oxygen Profile
4. Discussion
4.1. Spatiotemporal Influences on the Oxygen Dynamic
4.2. Model Evaluation
4.3. Insights for Oxygen Regulation in WSPs
5. Conclusions
Supplementary Materials
Acknowledgments
Author Contributions
Conflicts of Interest
References
- Toprak, H. Empirical modeling of sedimentation which occurs in anaerobic waste stabilization ponds using a lab-scale semicontinuous reactor. Environ. Technol. 1994, 15, 125–134. [Google Scholar] [CrossRef]
- Mara, D.D. Domestic Wastewater Treatment in Developing Countries; Routledge: Abingdon, UK, 2004. [Google Scholar]
- Oswald, W.J. Gas Production from Micro Algae. In Clean Fuels from Biomass, Sewage, Urban Fefuse, Agricultural Wastes, Proceedings of the Symposium, Orlando, FL, USA, 27–30 January 1976; Institute of Gas Technology: Chicago, IL, USA, 1976; pp. 311–324. [Google Scholar]
- Munoz, R.; Kollner, C.; Guieysse, B.; Mattiasson, B. Photosynthetically oxygenated salicylate biodegradation in a continuous stirred tank photobioreactor. Biotechnol. Bioeng. 2004, 87, 797–803. [Google Scholar] [CrossRef] [PubMed]
- Shilton, A. Pond Treatment Technology; IWA Publishing: London, UK, 2005. [Google Scholar]
- Kayombo, S.; Mbwette, T.S.A.; Mayo, A.W.; Katima, J.H.Y.; Jorgensen, S.E. Modelling diurnal variation of dissolved oxygen in waste stabilization ponds. Ecol. Model. 2000, 127, 21–31. [Google Scholar] [CrossRef]
- Banks, C.J.; Koloskov, G.B.; Lock, A.C.; Heaven, S. A computer simulation of the oxygen balance in a cold climate winter storage wsp during the critical spring warm-up period. Water Sci. Technol. 2003, 48, 189–196. [Google Scholar] [PubMed]
- Li, M.; Zhang, H.; Lemckert, C.; Lu, Z.; Lei, L.; Stratton, H. Three-dimensional investigation of retention time distribution of waste stabilisation ponds. In Proceedings of the 20th International Congress on Modelling and Simulation (Modsim 2013), Adelaide, Australia, 1–6 December 2013; pp. 2723–2729. [Google Scholar]
- Pearson, H.W.; Mara, D.D.; Mills, S.W.; Smallman, D.J. Factors determining algal populations in waste stabilization ponds and the influence of algae on pond performance. Water Sci. Technol. 1987, 19, 131–140. [Google Scholar]
- Pham, D.T.; Everaert, G.; Janssens, N.; Alvarado, A.; Nopens, I.; Goethals, P.L.M. Algal community analysis in a waste stabilisation pond. Ecol. Eng. 2014, 73, 302–306. [Google Scholar] [CrossRef]
- Curtis, T.P.; Mara, D.D.; Silva, S.A. Influence of pH, oxygen, and humic substances on ability of sunlight to damage fecal-coliforms in waste stabilization pond water. Appl. Environ. Microbiol. 1992, 58, 1335–1343. [Google Scholar] [PubMed]
- Zuur, A.F.; Leno, E.N.; Walker, N.J.; Saveliev, A.A.; Smith, G.M. Mixed effects models and extensions in ecology with R. J. R. Stat. Soc. 2009, 173, 938–939. [Google Scholar]
- Juanico, M.; Weinberg, H.; Soto, N. Process design of waste stabilization ponds at high altitude in bolivia. Water Sci. Technol. 2000, 42, 307–313. [Google Scholar]
- Von Sperling, M. Wastewater Characteristics, Treatment and Disposal; IWA Publishing: London, UK, 2007. [Google Scholar]
- Alvarado, A.; Vesvikar, M.; Cisneros, J.F.; Maere, T.; Goethals, P.; Nopens, I. Cfd study to determine the optimal configuration of aerators in a full-scale waste stabilization pond. Water Res. 2013, 47, 4528–4537. [Google Scholar] [CrossRef] [PubMed]
- Alvarado, A.; Vedantam, S.; Goethals, P.; Nopens, I. A compartmental model to describe hydraulics in a full-scale waste stabilization pond. Water Res. 2012, 46, 521–530. [Google Scholar] [CrossRef] [PubMed]
- American Public Health Association (APHA). Standard Methods for the Examination of Water and Wastewater; APHA: Washington, DC, USA, 2005. [Google Scholar]
- Armstrong, R.A. When to use the bonferroni correction. Ophthalmic Physiol. Opt. 2014, 34, 502–508. [Google Scholar] [CrossRef] [PubMed]
- Dinno, A. Dunn. Test: Dunn’s Test of Multiple Comparisons Using Rank Sums. R Package Version 1.3.2. 2015. Available online: http://cran.r-project.org/package=dunn.test (accessed on 26 October 2017).
- R Development Core Team. R: A Language and Environment for Statistical Computing; R Foundation for Statistical Computing: Vienna, Austria, 2012; ISBN 3-900051-07-0: 2014. [Google Scholar]
- Pinheiro, J.; Bates, D.; DebRoy, S.; Sarkar, D. R Development Core Team (2012) Nlme: Linear and Nonlinear Mixed Effects Models; R Package Version 3.1-103; R Foundation for Statistical Computing: Vienna, Austria, 2013. [Google Scholar]
- Dormann, C.F.; McPherson, J.M.; Araujo, M.B.; Bivand, R.; Bolliger, J.; Carl, G.; Davies, R.G.; Hirzel, A.; Jetz, W.; Kissling, W.D.; et al. Methods to account for spatial autocorrelation in the analysis of species distributional data: A review. Ecography 2007, 30, 609–628. [Google Scholar] [CrossRef]
- Ellis, K.V. Stabilization ponds—Design and operation. Crit. Rev. Environ. Control 1983, 13, 69–102. [Google Scholar] [CrossRef]
- McLaughlin, M.R.; Brooks, J.P.; Adeli, A. Temporal flux and spatial dynamics of nutrients, fecal indicators, and zoonotic pathogens in anaerobic swine manure lagoon water. Water Res. 2012, 46, 4949–4960. [Google Scholar] [CrossRef] [PubMed]
- Guo, X.J.; He, L.S.; Li, Q.; Yuan, D.H.; Deng, Y. Investigating the spatial variability of dissolved organic matter quantity and composition in lake wuliangsuhai. Ecol. Eng. 2014, 62, 93–101. [Google Scholar] [CrossRef]
- Tadesse, I.; Green, F.B.; Puhakka, J.A. Seasonal and diurnal variations of temperature, pH and dissolved oxygen in advanced integrated wastewater pond system (R) treating tannery effluent. Water Res. 2004, 38, 645–654. [Google Scholar] [CrossRef] [PubMed]
- Zuur, A.F.; Leno, E.N.; Elphick, C.S. A protocol for data exploration to avoid common statistical problems. Methods Ecol. Evol. 2010, 1, 3–14. [Google Scholar] [CrossRef]
- Nakagawa, S.; Schielzeth, H. A general and simple method for obtaining r2 from generalized linear mixed-effects models. Methods Ecol. Evol. 2013, 4, 133–142. [Google Scholar] [CrossRef]
- Goodwin, P.; Lawton, R. On the asymmetry of the symmetric mape. Int. J. Forecast. 1999, 15, 405–408. [Google Scholar] [CrossRef]
- Willmott, C.J.; Matsuura, K. Advantages of the mean absolute error (MAE) over the root mean square error (RMSE) in assessing average model performance. Clim. Res. 2005, 30, 79–82. [Google Scholar] [CrossRef]
- Willmott, C.J.; Matsuura, K.; Robeson, S.M. Ambiguities inherent in sums-of-squares-based error statistics. Atmos. Environ. 2009, 43, 749–752. [Google Scholar] [CrossRef]
- Pineiro, G.; Perelman, S.; Guerschman, J.P.; Paruelo, J.M. How to evaluate models: Observed vs. Predicted or predicted vs. Observed? Ecol. Model. 2008, 216, 316–322. [Google Scholar] [CrossRef]
- West, B.T.; Welch, K.B.; Galecki, A.T. Linear Mixed Models: A Practical Guide Using Statistical Software; CRC Press: Boca Raton, FL, USA, 2014. [Google Scholar]
- Dormann, C.F.; Elith, J.; Bacher, S.; Buchmann, C.; Carl, G.; Carre, G.; Marquez, J.R.G.; Gruber, B.; Lafourcade, B.; Leitao, P.J.; et al. Collinearity: A review of methods to deal with it and a simulation study evaluating their performance. Ecography 2013, 36, 27–46. [Google Scholar] [CrossRef]
- Alvarado, A. Advanced Dynamic Modelling of Wastewater Treatment Ponds. Ph.D. Thesis, Ghent University, Gent, Belgium, 2013. [Google Scholar]
- Pearson, H.W.; Mara, D.D.; Thompson, W.; Maber, S.P. Studies on high-altitude waste stabilization ponds in peru. Water Sci. Technol. 1987, 19, 349–353. [Google Scholar]
- United States Environmental Protection Agency. Principles of Design and Operations of Wastewater Treatment Pond Systems for Plant Operators, Engineers, and Managers; United States Environmental Protection Agency, Office of Research and Development: Washington, DC, USA, 2011.
- Ho, L.T.; Van Echelpoel, W.; Goethals, P.L.M. Design of waste stabilization pond systems: A review. Water Res. 2017, 123, 236–248. [Google Scholar] [CrossRef] [PubMed]
- Alvarado, A.; Sanchez, E.; Durazno, G.; Vesvikar, M.; Nopens, I. Cfd analysis of sludge accumulation and hydraulic performance of a waste stabilization pond. Water Sci. Technol. 2012, 66, 2370–2377. [Google Scholar] [CrossRef] [PubMed]
- Verbeke, G.; Molenberghs, G. Linear Mixed Models for Longitudinal Data; Springer Science & Business Media: Berlin, Germany, 2009. [Google Scholar]
- Ruffino, B.; Fiore, S.; Genon, G.; Cedrino, A.; Giacosa, D.; Bocina, G.; Fungi, M.; Meucci, L. Long-term monitoring of a lagooning basin used as pretreatment facility for a wtp: Effect on water quality and description of hydrological and biological cycles using chemometric approaches. Water Air Soil Pollut. 2015, 226, 331. [Google Scholar] [CrossRef]
- Thakur, A. Model: Mechanistic vs. Empirical. In New Trends in Pharmacokinetics; Rescigno, A., Thakur, A., Eds.; Springer: New York, NY, USA, 1991; Volume 221, pp. 41–51. [Google Scholar]
- Reichert, P.; Vanrolleghem, P. Identifiability and uncertainty analysis of the river water quality model No. 1 (RWQM1). Water Sci. Technol. 2001, 43, 329–338. [Google Scholar] [PubMed]
- Pearson, H.W.; Mara, D.D.; Bartone, C.R. Guidelines for the minimum evaluation of the performance of full-scale waste stabilization pond systems. Water Res. 1987, 21, 1067–1075. [Google Scholar] [CrossRef]
- Mara, D.D.; Pearson, H.W. Waste Stabilization Ponds: Design Manual for Mediterranean Europe. In Waste Stabilization Ponds: Design Manual for Mediterranean Europe; World Health Organization, Regional Office for Europe: Copenhagen, Denmark, 1998. [Google Scholar]
- Henze, M.; van Loosdrecht, M.; Ekama, G.A.; Brdjanovic, D. Biological Wastewater Treatment: Priniciples, Modelling and Design; IWA Publishing: London, UK, 2008. [Google Scholar]
- Ingildsen, P.; Jeppsson, U.; Olsson, G. Dissolved oxygen controller based on on-line measurements of ammonium combining feed-forward and feedback. Water Sci. Technol. 2002, 45, 453–460. [Google Scholar] [PubMed]
- Olsson, G.; Carlsson, B.; Comas, J.; Copp, J.; Gernaey, K.V.; Ingildsen, P.; Jeppsson, U.; Kim, C.; Rieger, L.; Rodriguez-Roda, I.; et al. Instrumentation, control and automation in wastewater—From London 1973 to Narbonne 2013. Water Sci. Technol. 2014, 69, 1373–1385. [Google Scholar] [CrossRef] [PubMed]
- Lloyd, B.J.; Leitner, A.R.; Vorkas, C.A.; Guganesharajah, R.K. Under-performance evaluation and rehabilitation strategy for waste stabilization ponds in Mexico. Water Sci. Technol. 2002, 48, 35–43. [Google Scholar]
- Olsson, G.; Andrews, J.F. The dissolved oxygen profile—A valuable tool for control of the activated sludge process. Water Res. 1978, 12, 985–1004. [Google Scholar] [CrossRef]
- Ouedraogo, F.R.; Zhang, J.; Cornejo, P.K.; Zhang, Q.; Mihelcic, J.R.; Tejada-Martinez, A.E. Impact of sludge layer geometry on the hydraulic performance of a waste stabilization pond. Water Res. 2016, 99, 253–262. [Google Scholar] [CrossRef] [PubMed]
- Olsson, G.; Nielsen, M.; Yuan, Z.; Lynggaard-Jensen, A.; Steyer, J.P. Instrumentation, Control and Automation in Wastewater Systems; IWA Publishing: London, UK, 2005. [Google Scholar]
- Oswald, W.J. Introduction to advanced integrated wastewater ponding systems. Water Sci. Technol. 1991, 24, 1–7. [Google Scholar]
- Davies-Colley, R.J.; Donnison, A.M.; Speed, D.J. Towards a mechanistic understanding of pond disinfection. Water Sci. Technol. 2000, 42, 149–158. [Google Scholar]
- Curtis, T.P.; Mara, D.D.; Silva, S.A. The effect of sunlight on fecal-coliforms in ponds—Implications for research and design. Water Sci. Technol. 1992, 26, 1729–1738. [Google Scholar]
- Dixo, N.G.H.; Gambrill, M.P.; Catunda, P.F.C.; Vanhaandel, A.C. Removal of pathogenic organisms from the effluent of an upflow anaerobic digester using waste stabilization ponds. Water Sci. Technol. 1995, 31, 275–284. [Google Scholar]
- Curtis, T.P.; Mara, D.D.; Dixo, N.G.H.; Silva, S.A. Light penetration in waste stabilization ponds. Water Res. 1994, 28, 1031–1038. [Google Scholar] [CrossRef]








© 2018 by the authors. Licensee MDPI, Basel, Switzerland. This article is an open access article distributed under the terms and conditions of the Creative Commons Attribution (CC BY) license (http://creativecommons.org/licenses/by/4.0/).
Share and Cite
Ho, L.; Pham, D.T.; Van Echelpoel, W.; Muchene, L.; Shkedy, Z.; Alvarado, A.; Espinoza-Palacios, J.; Arevalo-Durazno, M.; Thas, O.; Goethals, P. A Closer Look on Spatiotemporal Variations of Dissolved Oxygen in Waste Stabilization Ponds Using Mixed Models. Water 2018, 10, 201. https://doi.org/10.3390/w10020201
Ho L, Pham DT, Van Echelpoel W, Muchene L, Shkedy Z, Alvarado A, Espinoza-Palacios J, Arevalo-Durazno M, Thas O, Goethals P. A Closer Look on Spatiotemporal Variations of Dissolved Oxygen in Waste Stabilization Ponds Using Mixed Models. Water. 2018; 10(2):201. https://doi.org/10.3390/w10020201
Chicago/Turabian StyleHo, Long, Duy Tan Pham, Wout Van Echelpoel, Leacky Muchene, Ziv Shkedy, Andres Alvarado, Juan Espinoza-Palacios, Maria Arevalo-Durazno, Olivier Thas, and Peter Goethals. 2018. "A Closer Look on Spatiotemporal Variations of Dissolved Oxygen in Waste Stabilization Ponds Using Mixed Models" Water 10, no. 2: 201. https://doi.org/10.3390/w10020201
APA StyleHo, L., Pham, D. T., Van Echelpoel, W., Muchene, L., Shkedy, Z., Alvarado, A., Espinoza-Palacios, J., Arevalo-Durazno, M., Thas, O., & Goethals, P. (2018). A Closer Look on Spatiotemporal Variations of Dissolved Oxygen in Waste Stabilization Ponds Using Mixed Models. Water, 10(2), 201. https://doi.org/10.3390/w10020201

