Application of a Low Cost Ceramic Filter for Recycling Sand Filter Backwash Water
Abstract
:1. Introduction
2. Materials and Methods
2.1. Backwashed Water Samples
2.2. Low Cost Ceramic Filter
2.3. Water Quality Analysis
2.4. Alum as a Coagulant (Al2(SO4)3)
2.5. Coagulation and Flocculation Experiments
2.6. Filtration Experiments
2.7. Filter Fouling Mechanism
3. Results and Discussions
3.1. SFBW Quality of the Buraidah Water Treatment Plant
3.2. Coagulation and Flocculation of SFBW by Alum
3.3. Lab Scale Filtration Experiments
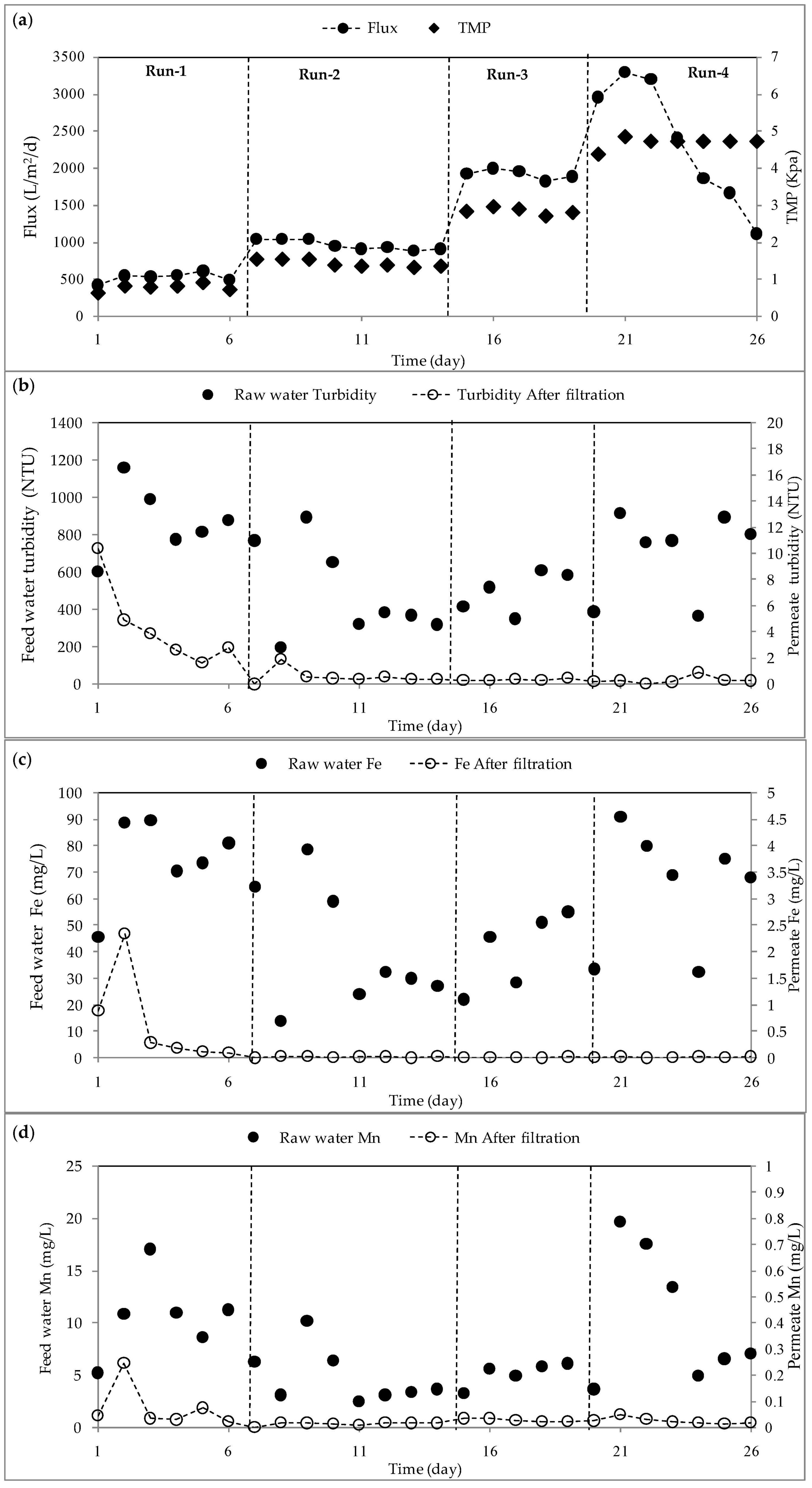
3.3.1. FluxProfile with Different TMPs
3.3.2. Removal of Turbidity, Fe, and Mn
3.3.3. OptimumFiltration Conditions
3.3.4. Analysis of Fouling Mechanism of Ceramic Filter
3.3.5. Filter Cleaning
3.3.6. Filtered Water Characteristics and Recycle Options of SFBW
4. Conclusions
Acknowledgments
Author Contributions
Conflicts of Interest
References
- Walsh, M.E.; Gagnon, G.A.; Alam, Z.; Andrews, R.C. Bio-stability and disinfectant by-product formation in drinking water blended with UF-treated filter backwash water. Water Res. 2008, 42, 2135–2145. [Google Scholar] [CrossRef] [PubMed]
- Kim, Y.H.; Eom, J.Y.; Kim, K.Y.; Lee, Y.S.; Kim, H.S.; Hwang, S.J. Applicability study of backwash water treatment using tubular membrane system with dead-end filtration operation mode. Desalination 2010, 261, 104–110. [Google Scholar] [CrossRef]
- Weiying, L.; Yuasa, A.; Bingzhi, D.; Naiyun, G. Study on backwash wastewater from rapid sand-filter by monolith ceramic membrane. Desalination 2010, 250, 712–715. [Google Scholar] [CrossRef]
- Vigneswaran, S.; Boonthanonb, S.; Prasanthia, H. Filter backwash water recycling using crossflowmicrofiltration. Desalination 1996, 106, 31–38. [Google Scholar] [CrossRef]
- Willemse, R.J.N.; Brekvoort, Y. Full-scale recycling of backwash water from sand filters using dead-end membrane filtration. Water Res. 1999, 33, 3379–3385. [Google Scholar] [CrossRef]
- Li, S.; Heijman, S.G.J.; Verberk, J.Q.J.C.; Verliefde, A.R.D.; Kemperman, A.J.B.; VanDijk, J.C.; Amya, G. Impact of backwash water composition on ultrafiltration fouling control. J. Membr. Sci. 2009, 344, 17–25. [Google Scholar] [CrossRef]
- Reissmann, F.G.; Uhl, W. Ultrafiltration for the reuse of spent filter backwash water from drinking water treatment. Desalination 2006, 198, 225–235. [Google Scholar] [CrossRef]
- Ling, Z.L.; Dong, Y.; Zi-Jie, Z.; Ping, G. Application of hybrid coagulation–microfiltration process for treatment of membrane backwash water from water works. Sep. Purif. Technol. 2008, 62, 415–422. [Google Scholar]
- Choi, K.Y.J.; Dempsey, B.A. In-line coagulation with low-pressure membrane filtration. Water Res. 2004, 38, 4271–4281. [Google Scholar] [CrossRef] [PubMed]
- Howe, K.J.; Marwah, A.; Chiu, K.P.; Adham, S.S. Effect of coagulation on the Size of MF and UF membrane foulants. Environ. Sci. Technol. 2006, 40, 7908–7913. [Google Scholar] [CrossRef] [PubMed]
- Chen, Y.; Dong, B.Z.; Gao, N.Y.; Fan, J.C. Effect of coagulation pretreatment on fouling of an ultra-filtration membrane. Desalination 2007, 204, 181–188. [Google Scholar] [CrossRef]
- Liu, T.; Lian, Y.; Graham, N.; Yu, W.; Rooney, D.; Sun, K. Application of polyacrylamide flocculation with and without alum coagulation for mitigating ultrafiltration membrane fouling: Role of floc structure and bacterial activity. Chem. Eng. J. 2017, 307, 41–48. [Google Scholar] [CrossRef]
- Moon, J.; Kang, M.S.; Lim, J.L.; Kim, C.H.; Park, H.D. Evaluation of a low-pressure membrane filtration for drinking water treatment: Pretreatment by coagulation/sedimentation for the MF membrane. Desalination 2009, 247, 271–284. [Google Scholar] [CrossRef]
- Lee, J.D.; Lee, S.H.; Jo, M.H.; Park, P.K.; Lee, C.H.; Kwak, J.W. Effect of coagulation conditions on membrane filtration characteristics in coagulation-microfiltration process for water treatment. Environ. Sci. Technol. 2000, 34, 3780–3788. [Google Scholar] [CrossRef]
- Wang, J.; Guan, J.; Santiwong, S.R.; Waite, T.D. Characterization of floc size and structure under different monomer and polymer coagulants on microfiltration membrane fouling. J. Membr. Sci. 2008, 321, 132–138. [Google Scholar] [CrossRef]
- Huang, C.; Lina, J.L.; Leea, W.S.; Panb, J.R.; Zhaoc, B. Effect of coagulation mechanism on membrane permeability in coagulation-assisted microfiltration for spent filter backwash water recycling. Colloids Surf. A Physicochem. Eng. Asp. 2011, 378, 72–78. [Google Scholar] [CrossRef]
- Lin, J.L.; Huang, C.P.; Pan, J.R.; Wang, D.S. Effect of Al (III) speciation on coagulation of highly turbid water. Chemosphere 2008, 72, 189–196. [Google Scholar] [CrossRef] [PubMed]
- Song, H.; Fan, X.; Zhang, Y.; Wang, T.; Feng, Y. Application of microfiltration for reuse of backwash water in a conventional water treatment plant—A case study. Water Supply 2001, 1, 199–206. [Google Scholar]
- Nasser, A.; Huberman, Z.; Dean, L.; Bonner, F.; Adin, A. Coagulation as a pretreatment of SFBW for membrane filtration. Water Supply 2002, 2, 301–306. [Google Scholar]
- Huang, C.P.; Lin, J.L.; Wu, C.L.; Chu, C.P. Recycling of spent filter backwash water using coagulation-assisted membrane filtration: Effects of submicron particles on membrane flux. Water Sci. Technol. 2010, 61, 1923–1929. [Google Scholar] [CrossRef] [PubMed]
- Shafiquzzaman, M.; Hasan, M.M.; Nakajima, J.; Mishima, I. Development of a simple and effective arsenic removal filter based on ceramic filtration. J. Water Environ. Technol. 2011, 9, 333–347. [Google Scholar] [CrossRef]
- Hasan, M.M.; Shafiquzzaman, M.; Azam, M.S.; Nakajima, J. Application of a simple ceramic filter to membrane bioreactor. Desalination 2011, 276, 272–277. [Google Scholar] [CrossRef]
- Hasan, M.M.; Shafiquzzaman, M.; Nakajima, J.; Ahmed, A.T.K.; Azam, M.S. Application of low cost ceramic filter to Membrane Bioreactor for grey water Treatment. Water Environ. Res. 2015, 87, 233–241. [Google Scholar] [PubMed]
- Zheng, W.Y.; Nigel, G.; Hui-juan, L.; Jiu-hui, Q. Comparison of FeCl3 and alum pre-treatment on UF membrane fouling. Chem. Eng. J. 2013, 234, 158–165. [Google Scholar]
- Hermia, J. Constant pressure blocking filtration laws—Application to power-law non-newtonian fluids. Trans. Inst. Chem. Eng. 1982, 60, 183–187. [Google Scholar]
- Lim, A.L.; Bai, R. Membrane fouling and cleaning in microfiltration of activated sludge wastewater. J. Membr. Sci. 2003, 216, 279–290. [Google Scholar] [CrossRef]
- Nandi, B.K.; Uppaluri, R.; Purkait, M.K. Treatment of Oily Waste Water Using Low-Cost Ceramic Membrane: Flux Decline Mechanism and Economic Feasibility. Sep. Sci. Technol. 2009, 44, 2840–2869. [Google Scholar] [CrossRef]
- World Health Organization (WHO). WHO Guideline for Drinking Water Quality, 4th ed.; World Health Organization: Geneva, Switzerland, 2004. [Google Scholar]







| Experimental Run | TMP (kPa) | Flux (L/m2/d) | Experiment Duration (Day) | Alum Dose for Pre-Coagulation (mg/L) |
|---|---|---|---|---|
| Run-1 | 0.6 | 450 | 1–6 | 20 |
| Run-2 | 1.5 | 1050 | 7–14 | 20 |
| Run-3 | 3 | 2000 | 15–19 | 20 |
| Run-4 | 4.5 | 3000 | 20–26 | 20 |
| Fouling Mechanism | Equations | Constant |
|---|---|---|
| Complete pore blocking (n = 2) | Basic equation: | |
| Linear form: | ||
| Intermediate pore blocking (n = 1) | Basic equation: | |
| Linear form: | ||
| Standard pore blocking (n = 1.5) | Basic equation: | |
| Linear form: | ||
| Cake layer formation (n = 0.5) | Basic equation: | |
| Linear form: |
| Parameter | Unit | Min (n = 13) | Average (n = 13) | Max (n = 13) |
|---|---|---|---|---|
| pH | - | 7.1 | 7.2 | 7.7 |
| Turbidity | NTU | 304 | 516 | 1250 |
| Total dissolved solids (TDS) | mg/L | 763 | 773 | 797 |
| Conductivity | µs/cm | 1533 | 1551 | 1598 |
| Total Hardness | mg/L | 297 | 303 | 308 |
| Calcium | mg/L | 80 | 83 | 85 |
| Magnesium | mg/L | 22 | 23 | 24 |
| Alkalinity | mg/L | 124 | 132 | 134 |
| Manganese | mg/L | 2.4 | 5.5 | 11 |
| (Fe) Iron | mg/L | 24 | 60 | 90 |
| Fluorides | mg/L | 0.0 | 0.3 | 0.4 |
| Chlorides | mg/L | 319 | 326 | 331 |
| Sulfates | mg/L | 100 | 144 | 170 |
| Silica | mg/L | 16 | 18 | 22 |
| Total suspended solids (TSS) | mg/L | 145 | 165 | 190 |
| Complete Pore Blocking | Intermediate Pore Blocking | Standard Pore Blocking | Cake Layer Formation | ||||
|---|---|---|---|---|---|---|---|
| kcb | −1.7 × 10−1 | kib | 9.0 × 10−5 | Ksb | 2.0 × 10−3 | Kcl | 1.0 × 10−7 |
| R2 | 0.86 | R2 | 0.81 | R2 | 0.84 | R2 | 0.73 |
| ln (J0) | 8.4 | 1/J0 | 1.3 × 10−4 | 1/J00.5 | 1.4 × 10−2 | 1/J02 | −1.3 × 10−7 |
| J0 | 4413 | J0 | 7768 | J0 | 5201 | J0 | - |
| Parameter | Unit | Raw SFBW | Permeate(after Filtration) | WHO Standard Limit for Drinking Water | Satisfy the WHO Standard? |
|---|---|---|---|---|---|
| pH | 7.2 | 7.2 | 6.5–8.5 | Yes | |
| Turbidity | NTU | 516 | 0.4 | 0.1–5 | Yes |
| TDS | mg/L | 773 | 783 | 600–1000 | Yes |
| Conductivity | µs/cm | 1551 | 1567 | 2000 | Yes |
| Hardness | mg/L | 303 | 312 | 500 | Yes |
| Calcium | mg/L | 83 | 99 | 40–80 | Yes |
| Magnesium | mg/L | 23 | 15 | 20–30 | Yes |
| Alkalinity | mg/L | 132 | 138 | 600 | Yes |
| Manganese | mg/L | 5.5 | 0.02 | 0.1 | Yes |
| (Fe) Iron | mg/L | 60 | 0.01 | 0.3 | Yes |
| Fluorides | mg/L | 0.3 | 0.03 | 1.5 | Yes |
| Chlorides | mg/L | 326 | 335 | 200 | Yes |
| Sulfates | mg/L | 144 | 94 | 150–400 | Yes |
| Silica | mg/L | 18 | 16 | - | Yes |
| TSS | mg/L | 165 | 0 | 0 | Yes |
| Total Coliform | MPN/ml | nm | nm | 0 | No |
| Fecal Coliform | MPN/ml | nm | nm | 0 | No |
| E-coli | MPN/ml | nm | nm | 0 | No |
© 2018 by the authors. Licensee MDPI, Basel, Switzerland. This article is an open access article distributed under the terms and conditions of the Creative Commons Attribution (CC BY) license (http://creativecommons.org/licenses/by/4.0/).
Share and Cite
Shafiquzzaman, M.; Al-Mahmud, A.; AlSaleem, S.S.; Haider, H. Application of a Low Cost Ceramic Filter for Recycling Sand Filter Backwash Water. Water 2018, 10, 150. https://doi.org/10.3390/w10020150
Shafiquzzaman M, Al-Mahmud A, AlSaleem SS, Haider H. Application of a Low Cost Ceramic Filter for Recycling Sand Filter Backwash Water. Water. 2018; 10(2):150. https://doi.org/10.3390/w10020150
Chicago/Turabian StyleShafiquzzaman, Md, Abdullah Al-Mahmud, Saleem S. AlSaleem, and Husnain Haider. 2018. "Application of a Low Cost Ceramic Filter for Recycling Sand Filter Backwash Water" Water 10, no. 2: 150. https://doi.org/10.3390/w10020150
APA StyleShafiquzzaman, M., Al-Mahmud, A., AlSaleem, S. S., & Haider, H. (2018). Application of a Low Cost Ceramic Filter for Recycling Sand Filter Backwash Water. Water, 10(2), 150. https://doi.org/10.3390/w10020150

