Hydro-Geochemical Assessment of Groundwater Quality in Aseer Region, Saudi Arabia
Abstract
1. Introduction
2. Material and Methods
2.1. Study Area
2.2. Sampling and Analysis
2.3. Statistical Analysis
2.4. Geochemical Modeling
2.5. Geospatial Database
3. Results and Discussion
3.1. Distribution of Major Ions
3.2. Association between Water Quality Parameters
3.3. Hydro Geochemical Processes
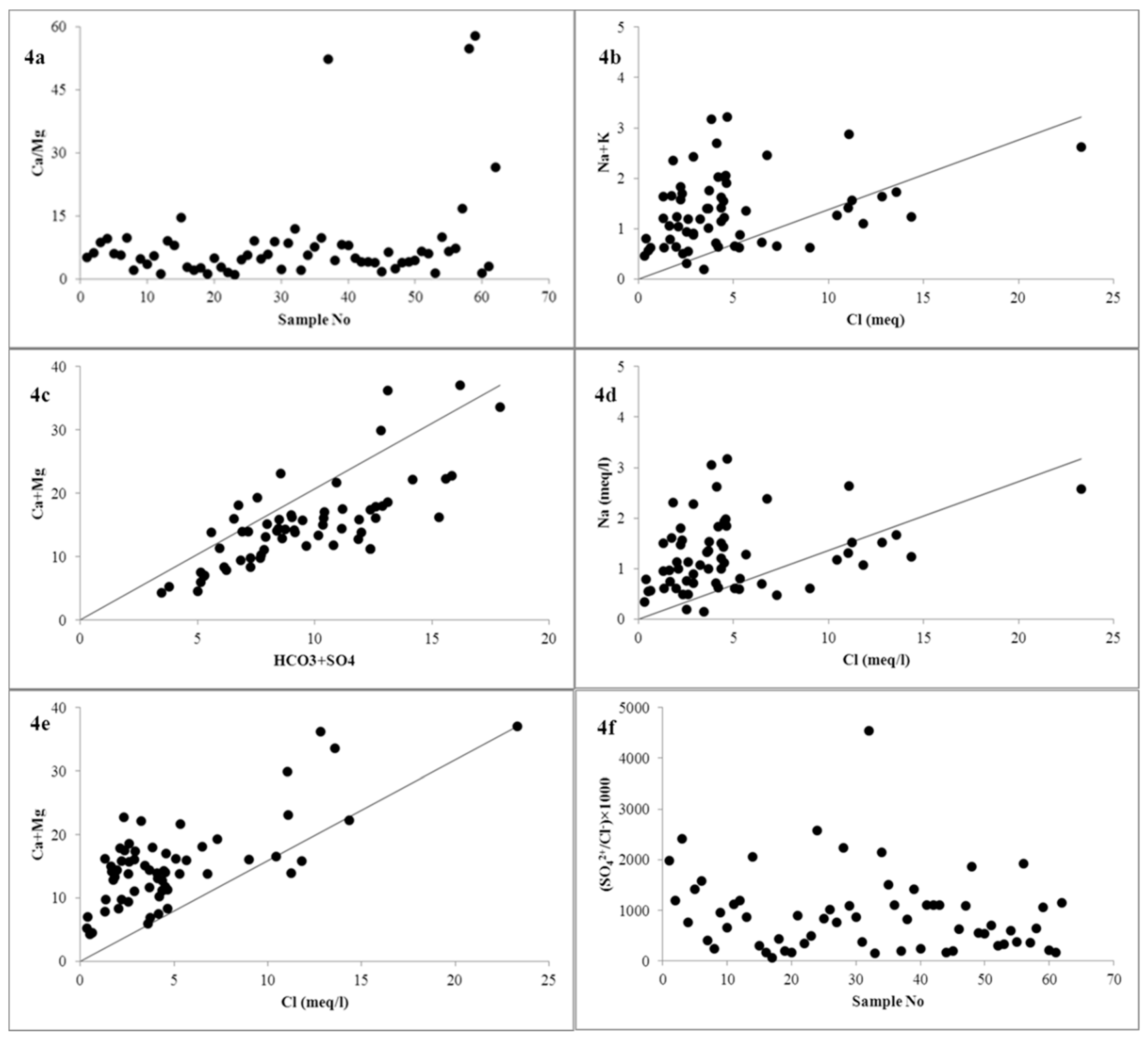
3.3.1. Weathering and Dissolution
3.3.2. Evaporation
3.3.3. Seawater Influences
4. Geochemical Modeling
4.1. Geochemical Facies
4.2. Saturation Indices (SI)
5. Conclusions
Author Contributions
Funding
Acknowledgments
Conflicts of Interest
References
- Scanlon, B.R.; Keese, K.E.; Flint, A.L.; Flint, L.E.; Gaye, C.B.; Edmunds, W.M.; Simmers, I. Global synthesis of groundwater recharge in semiarid and arid regions. Hydrol. Process. 2006, 20, 3335–3370. [Google Scholar] [CrossRef]
- Al-Rashed, M.F.; Sherif, M.M. Water resources in the GCC countries: An overview. Water Resour. Manag. 2000, 14, 59–75. [Google Scholar] [CrossRef]
- Yidana, S.M.; Yidana, A. Assessing water quality using water quality index and multivariate analysis. Environ. Earth Sci. 2010, 59, 1461–1473. [Google Scholar] [CrossRef]
- Singh, C.K.; Kumari, R.; Singh, R.P.; Mukherjee, S. Geochemical characterization and heavy metal contamination of groundwater in Satluj River Basin. Environ. Earth Sci. 2013, 71, 201–216. [Google Scholar] [CrossRef]
- Kumar, A.; Singh, C.K. Characterization of Hydrogeochemical Processes and Fluoride Enrichment in Groundwater of South-Western Punjab. Water Qual. Expo. Health 2015, 1–15. [Google Scholar] [CrossRef]
- Reghunath, R.; Murthy, T.R.S.; Raghavan, B.R. The utility of multivariate statistical techniques in hydrogeochemical studies: An example from Karnataka, India. Water Res. 2002, 36, 2437–2442. [Google Scholar] [CrossRef]
- Barbecot, F.; Marlin, C.; Gibert, E.; Dever, L. Hydrochemical and isotopic characterization of the Bathonian and Bajocian coastal aquifer of the Caen area (northern France). Appl. Geochem. 2000, 15, 791–805. [Google Scholar] [CrossRef]
- Belkhiri, L.; Boudoukha, A.; Mouni, L.; Baouz, T. Application of multivariate statistical methods and inverse geochemical modeling for characterization of groundwater—A case study: Ain Azel plain (Algeria). Geoderma 2010, 159, 390–398. [Google Scholar] [CrossRef]
- Singh, C.K.; Kumar, A.; Shashtri, S.; Kumar, A.; Kumar, P.; Mallick, J. Multivariate statistical analysis and geochemical modeling for geochemical assessment of groundwater of Delhi, India. J. Geochem. Explor. 2017, 175, 59–71. [Google Scholar] [CrossRef]
- Mondal, N.C.; Singh, V.P.; Singh, V.S.; Saxena, V.K. Determining the interaction between groundwater and saline water through groundwater major ions chemistry. J. Hydrol. 2010, 388, 100–111. [Google Scholar] [CrossRef]
- Singh, C.K.; Kumari, R.; Singh, R.P.; Shashtri, S.; Kamal, V.; Mukherjee, S. Geochemical modeling of high fluoride concentration in groundwater of Pokhran area of Rajasthan, India. Bull. Environ. Contam. Toxicol. 2011, 86, 152–158. [Google Scholar] [CrossRef] [PubMed]
- Machiwal, D.; Jha, M.K. Identifying sources of groundwater contamination in a hard-rock aquifer system using multivariate statistical analyses and GIS-based geostatistical modeling techniques. J. Hydrol. 2015, 4, 80–110. [Google Scholar] [CrossRef]
- L-Ruiz, R.; Zapata, E.P.; Parra, R.; Harter, T.; Mahlkencht, J. Investigation of the geochemical evolution of groundwater under agricultural land: A case study in northeastern Mexico. J. Hydrol. 2015, 521, 410–423. [Google Scholar] [CrossRef]
- Suma, C.S.; Srinivasmoorthy, K.; Saravanan, K.; Faizalkhan, A.; Prakash, R.; Gopinath, S. Geochemical modeling of groundwater in Chinnar River basin: A source identification perspective. Aquat. Proc. 2015, 4, 986–992. [Google Scholar] [CrossRef]
- Singh, C.K.; Shashtri, S.; Kumari, R.; Mukherjee, S. Chemometric analysis to infer hydro-geochemical processes in a semi-arid region of India. Arab. J. Geosci. 2012, 1–18. [Google Scholar] [CrossRef]
- Yidana, S.M.; Ophori, D.; Yakubo, B.B. Hydrochemical evaluation of the Voltaian system- the Afram Plains area, Ghana. J. Environ. Manag. 2008, 88, 697–707. [Google Scholar] [CrossRef] [PubMed]
- Barbieri, M.; Boschetti, T.; Petitta, M.; Tallini, M. Stable isotopes (2H, 18O and 87Sr/86Sr) and hydrochemistry monitoring for groundwater hydrodynamics analysis in a karst aquifer (Gran Sasso, Central Italy). Appl. Geochem. 2005, 20, 2063–2081. [Google Scholar] [CrossRef]
- Carucci, V.; Petitta, M.; Aravena, R. Interaction between shallow and deep aquifers in the Tivoli Plain (Central Italy) enhanced by groundwater extraction: A multi-isotope approach and geochemical modeling. Appl. Geochem. 2012, 27, 266–280. [Google Scholar] [CrossRef]
- Belkhiri, L.; Narany, T.S. Using multivariate statistical analysis, geostatistical techniques and structural equation modeling to identify spatial variability of groundwater quality. Water Resour. Manag. 2015, 29, 2073–2089. [Google Scholar] [CrossRef]
- Dabbagh, A.E.; Abderrahman, W.A. Management of groundwater resources under various irrigation water use scenarios in Saudi Arabia. Arab. J. Sci. Eng. 1997, 22, 247–264. [Google Scholar]
- APHA (American Public Health Association). Standard Methods for the Examination of Water and Wastewater, 19th ed.; American Public Health Association: Washington, DC, USA, 1995. [Google Scholar]
- Edmond, J.M.; Palmer, M.R.; Measures, C.I.; Grant, B.; Stallard, R.F. The fluvial geochemistry and denudation rate of the Guayana Shield in Venezuela, Colombia, and Brazil. Geochim. Cosmochim. Acta 1995, 59, 3301–3325. [Google Scholar] [CrossRef]
- Huh, Y.; Tsoi, M.; Zaitsev, A.; Edmond, J.M. The fluvial geochemistry of the rivers of Eastern Siberia: I. tributaries of the Lena River draining the sedimentary platform of the Siberian Craton. Geochim. Cosmochim. Acta 1998, 62, 1657–1676. [Google Scholar] [CrossRef]
- Cattell, R.B.; Jaspers, J. A general plasmode (no. 30-10-5-2) for factor analytic exercises and research. Mult. Behav. Res. Monogr. 1967, 67, 1–212. [Google Scholar]
- Parkhurst, D.L.; Appelo, C.A.J. User’s Guide to PHREEQC (Version 2)-A Computer Program for Speciation, Batch-Reaction, One-Dimensional Transport, and Inverse Geochemical Calculations; U. S. Geological Survey Earth Science Information Center: Denver, CO, USA, 1999.
- Appelo, C.A.J.; Postma, D. Geochemistry. Groundwater and Pollution; AA Balkema: Rotterdam, The Netherlands, 1996. [Google Scholar]
- Zhu, C.; Anderson, G. Environmental Applications of Geochemical Modeling; Cambridge University Press: Cambridge, UK, 2002. [Google Scholar]
- Burrough, P.A.; McDonnell, R.A. Creating continuous surfaces from point data. In Principles of Geographic Information Systems; Oxford University Press: Oxford, UK, 1998. [Google Scholar]
- World Health Organization (WHO). Guidelines for Drinking Water Quality; World Health Organization: Geneva, Switzerland, 2009. [Google Scholar]
- Davis, S.N.; Dewiest, R.J.M. Hydrogeology; Wiley: New York, NY, USA, 1967. [Google Scholar]
- Rina, K.; Datta, P.S.; Singh, C.K.; Mukherjee, S. Characterization and evaluation of processes governing the groundwater quality in parts of the Sabarmati basin, Gujarat using hydrochemistry integrated with GIS. Hydrol. Process. 2012, 26, 1538–1551. [Google Scholar] [CrossRef]
- Alaya, M.B.; Saidi, S.; Zemni, T.; Zargouni, F. Suitability assessment of deep groundwater for drinking and irrigation use in the Djeffara aquifers (Northern Gabes, south-eastern Tunisia). Environ. Earth Sci. 2013, 71, 3387–3421. [Google Scholar] [CrossRef]
- Yakubo, B.B.; Yidana, S.M.; Nti, E. Hydrochemical analysis of groundwater using multivariate statistical methods-the Volta region, Ghana. KSCE J. Civ. Eng. 2009, 13, 55–63. [Google Scholar] [CrossRef]
- Kumari, R.; Singh, C.K.; Datta, P.S.; Singh, N.; Mukherjee, S. Geochemical modelling, ionic ratio and GIS based mapping of groundwater salinity and assessment of governing processes in Northern Gujarat, India. Environ. Earth Sci. 2013, 69, 2377–2391. [Google Scholar] [CrossRef]
- Perry, E.; Velazquez-Oliman, G.; Marin, L. The hydrogeochemistry of the karst aquifer system of the northern Yucatan Peninsula, Mexico. Int. Geol. Rev. 2002, 44, 191–221. [Google Scholar] [CrossRef]
- Piper, A.M. A graphic procedure in the chemical interpretation of water analysis. Am. Geophys. Union Trans. 1944, 25, 914–923. [Google Scholar] [CrossRef]
- Shanyengana, E.S.; Seely, M.K.; Sanderson, R.D. Major-ion chemistry and ground-water salinization in ephemeral floodplains in some arid regions of Namibia. J. Arid. Environ. 2004, 57, 211–223. [Google Scholar] [CrossRef]
- Drever, J.I. The Geochemistry of Natural Waters; Prentice-Hall: Englewood Cliffs, NJ, USA, 1982; Volume 9. [Google Scholar]
- Palmer, C.D.; Cherry, J.A. Geochemical reactions associated with low-temperature thermal energy storage in aquifers. Can. Geotech. J. 1984, 21, 475–488. [Google Scholar] [CrossRef]






| Parameter | Minimum | Maximum | Mean | Standard Deviation | WHO 2009 |
|---|---|---|---|---|---|
| pH | 5.6 | 9.2 | 7.7 | 1.2 | 6.5–8 |
| EC | 285 | 3796 | 1221.5 | 713.6 | 1500 |
| TDS | 155 | 2619 | 713.9 | 478.7 | 1000 |
| Alkalinity | 56 | 1899 | 223.8 | 229.8 | - |
| TH | 104 | 1658 | 387.3 | 252.7 | - |
| Na+ (mg/L) | 3.5 | 72.8 | 29.0 | 15.9 | 200 |
| K+ (mg/L) | BDL | 9.6 | 3.3 | 2.4 | 30 |
| Ca2+ (mg/L) | 48.8 | 540 | 246.9 | 94.8 | 200 |
| Mg2+ (mg/L) | 2.9 | 214 | 36.4 | 36.6 | 150 |
| Fe (mg/L) | BDL | 1.1 | 0.1 | 0.1 | 0.3 |
| F (mg/L) | BDL | 0.86 | 0.23 | 0.35 | 1.5 |
| NH4 (mg/L) | BDL | 0.1 | 0.0 | 0 | - |
| NO3− (mg/L) | BDL | 155 | 31.4 | 41.9 | 50 |
| Cl− (mg/L) | 12 | 825 | 173.8 | 146.7 | 250 |
| SO42− (mg/L) | 29 | 557 | 145.7 | 111.6 | 250 |
| HCO3− (mg/L) | 136 | 864 | 401.5 | 129.9 | 300 |
| pH | EC | TDS | Alk | TH | Na+ | K+ | Ca2+ | Mg2+ | Fe | F | NO3− | Cl− | SO42− | HCO3− | |
|---|---|---|---|---|---|---|---|---|---|---|---|---|---|---|---|
| pH | 1.00 | ||||||||||||||
| EC | 0.33 | 1.00 | |||||||||||||
| TDS | 0.39 | 0.94 | 1.00 | ||||||||||||
| Alk | −0.10 | −0.03 | 0.18 | 1.00 | |||||||||||
| TH | 0.02 | 0.80 | 0.78 | 0.09 | 1.00 | ||||||||||
| Na+ | 0.01 | 0.22 | 0.16 | −0.07 | 0.17 | 1.00 | |||||||||
| K+ | −0.02 | −0.09 | −0.06 | 0.20 | 0.00 | 0.21 | 1.00 | ||||||||
| Ca2+ | 0.12 | 0.66 | 0.65 | 0.27 | 0.67 | 0.19 | 0.03 | 1.00 | |||||||
| Mg2+ | 0.40 | 0.70 | 0.71 | −0.05 | 0.52 | 0.23 | −0.03 | 0.44 | 1.00 | ||||||
| Fe | 0.06 | −0.03 | 0.18 | 0.84 | 0.06 | −0.16 | 0.15 | 0.22 | −0.03 | 1.00 | |||||
| F | −0.22 | 0.14 | 0.04 | 0.00 | 0.25 | 0.00 | −0.02 | 0.42 | −0.11 | −0.02 | 1.00 | ||||
| NO3− | 0.56 | 0.46 | 0.56 | −0.03 | 0.07 | −0.04 | −0.09 | 0.18 | 0.57 | 0.01 | −0.36 | 1.00 | |||
| Cl− | 0.48 | 0.81 | 0.83 | 0.09 | 0.46 | 0.30 | −0.05 | 0.58 | 0.68 | 0.15 | 0.02 | 0.56 | 1.00 | ||
| SO42− | 0.13 | 0.65 | 0.54 | −0.07 | 0.60 | 0.22 | 0.10 | 0.68 | 0.47 | −0.12 | 0.34 | 0.06 | 0.48 | 1.00 | |
| HCO3− | −0.18 | 0.21 | 0.20 | 0.28 | 0.21 | 0.20 | 0.02 | 0.39 | 0.23 | 0.05 | 0.09 | 0.07 | 0.08 | 0.07 | 1.00 |
| Factor Loading | F1 | F2 | F3 | F4 | F5 |
|---|---|---|---|---|---|
| pH | 0.412 | −0.827 | 0.142 | 0.108 | −0.032 |
| EC | 0.952 | 0.027 | 0.041 | −0.109 | −0.005 |
| Alk | −0.167 | 0.956 | 0.065 | 0.093 | 0.118 |
| TH | 0.729 | 0.287 | −0.249 | −0.338 | −0.017 |
| Na | 0.358 | −0.029 | −0.472 | 0.575 | −0.012 |
| K | −0.062 | 0.239 | −0.401 | 0.545 | −0.485 |
| Ca | 0.721 | 0.449 | −0.219 | −0.197 | 0.090 |
| Mg | 0.807 | 0.055 | 0.250 | 0.183 | 0.002 |
| Fe | −0.171 | 0.880 | 0.234 | 0.018 | −0.069 |
| F | −0.251 | 0.931 | 0.150 | −0.004 | −0.128 |
| NO3 | 0.494 | −0.033 | 0.722 | 0.322 | 0.021 |
| Cl | 0.806 | 0.227 | 0.294 | 0.141 | −0.151 |
| SO4 | 0.725 | 0.106 | −0.341 | −0.275 | −0.271 |
| HCO3 | 0.274 | 0.229 | −0.267 | 0.267 | 0.810 |
| Eigenvalue | 4.525 | 3.702 | 1.454 | 1.118 | 1.033 |
| % variance | 32.318 | 26.444 | 10.389 | 7.986 | 7.376 |
| Cumulative % | 32.318 | 58.763 | 69.151 | 77.137 | 84.513 |
© 2018 by the authors. Licensee MDPI, Basel, Switzerland. This article is an open access article distributed under the terms and conditions of the Creative Commons Attribution (CC BY) license (http://creativecommons.org/licenses/by/4.0/).
Share and Cite
Mallick, J.; Singh, C.K.; AlMesfer, M.K.; Kumar, A.; Khan, R.A.; Islam, S.; Rahman, A. Hydro-Geochemical Assessment of Groundwater Quality in Aseer Region, Saudi Arabia. Water 2018, 10, 1847. https://doi.org/10.3390/w10121847
Mallick J, Singh CK, AlMesfer MK, Kumar A, Khan RA, Islam S, Rahman A. Hydro-Geochemical Assessment of Groundwater Quality in Aseer Region, Saudi Arabia. Water. 2018; 10(12):1847. https://doi.org/10.3390/w10121847
Chicago/Turabian StyleMallick, Javed, Chander Kumar Singh, Mohammed Khaloofah AlMesfer, Anand Kumar, Roohul Abad Khan, Saiful Islam, and Atiqur Rahman. 2018. "Hydro-Geochemical Assessment of Groundwater Quality in Aseer Region, Saudi Arabia" Water 10, no. 12: 1847. https://doi.org/10.3390/w10121847
APA StyleMallick, J., Singh, C. K., AlMesfer, M. K., Kumar, A., Khan, R. A., Islam, S., & Rahman, A. (2018). Hydro-Geochemical Assessment of Groundwater Quality in Aseer Region, Saudi Arabia. Water, 10(12), 1847. https://doi.org/10.3390/w10121847

