Next Article in Journal
Estuarine Turbidity Maxima and Variations of Aggregate Parameters in the Cam-Nam Trieu Estuary, North Vietnam, in Early Wet Season
Next Article in Special Issue
Implementation of a Two-Source Model for Estimating the Spatial Variability of Olive Evapotranspiration Using Satellite Images and Ground-Based Climate Data
Previous Article in Journal
Staged Optimization Design for Updating Urban Drainage Systems in a City of China
Previous Article in Special Issue
Monthly Prediction of Drought Classes Using Log-Linear Models under the Influence of NAO for Early-Warning of Drought and Water Management
 
 
Font Type:
Arial Georgia Verdana
Font Size:
Aa Aa Aa
Line Spacing:
Column Width:
Background:
Article

Basin Irrigation Design with Multi-Criteria Analysis Focusing on Water Saving and Economic Returns: Application to Wheat in Hetao, Yellow River Basin

1
College of Water Conservancy and Civil Engineering, Inner Mongolia Agricultural University, Hohhot 010018, China
2
Centro de Investigação em Agronomia, Alimentos, Ambiente e Paisagem (LEAF), Instituto Superior de Agronomia, Universidade de Lisboa, Tapada da Ajuda, 1349-017 Lisboa, Portugal
3
Polytechnic of Coimbra, College of Agriculture, Bencanta, 3045-601 Coimbra, Portugal
*
Author to whom correspondence should be addressed.
Water 2018, 10(1), 67; https://doi.org/10.3390/w10010067
Submission received: 23 November 2017 / Revised: 22 December 2017 / Accepted: 5 January 2018 / Published: 13 January 2018
(This article belongs to the Special Issue Innovation Issues in Water, Agriculture and Food)

Abstract

The sustainability of the Hetao Irrigation System, located in the water scarce upper Yellow River basin, is a priority considering the need for water saving, increased water productivity, and higher farmers’ incomes. The upgrading of basin irrigation, the main irrigation method, is essential and includes the adoption of precise land levelling, cut-off management, improved water distribution uniformity, and adequate irrigation scheduling. With this objective, the current study focuses on upgrading wheat basin irrigation through improved design using a decision support system (DSS) model, which considers land parcels characteristics, crop irrigation scheduling, soil infiltration, hydraulic simulation, and environmental and economic impacts. Its use includes outlining water saving scenarios and ranking alternative designs through multi-criteria analysis considering the priorities of stakeholders. The best alternatives concern flat level basins with a 100 and 200 m length and inflow rates between 2 and 4 L s−1 m−1. The total irrigation cost of designed projects, including the cost of the autumn irrigation, varies between 2400 and 3300 Yuan ha−1; the major cost component is land levelling, corresponding to 33–46% of total irrigation costs. The economic land productivity is about 18,000 Yuan ha−1. The DSS modelling defined guidelines to be applied by an extension service aimed at implementing better performing irrigation practices, and encouraged a good interaction between farmers and the Water Users Association, thus making easier the implementation of appropriate irrigation management programs.

1. Introduction

The Yellow River basin is a water scarce region, with low water availability; about 500 m3 per capita per year [1]. Agricultural irrigation corresponds to close to 90% of the total water use in the basin [2], and is particularly important in the Hetao Irrigation District. Climate change is likely a main cause for a decrease of water availability during the last decades [3,4,5], while increased water abstractions for industrial and domestic uses highly exacerbate water scarcity [2]. Forecasted scenarios on water resources allocation and use in the Yellow River basin point out the need to reduce irrigation water use [6].
The reduction of water resources allocation for irrigation due to the increased demand by non-agricultural sectors has unbalanced traditional irrigation management [6,7,8,9] and resulted in heavy challenges for the future use of water for irrigation. Thus, major priorities in the upper Yellow River basin refer to developing and implementing appropriate technologies aimed at water saving, improved water productivity, and increased farmer’s incomes [7]. Since basin irrigation is the most used irrigation method in the 570,000 ha of irrigated land of Hetao, there is a requirement to focus on improving basin irrigation, which implies precise land levelling, appropriate inflow discharges and cut-off times, and adopting improved crop irrigation schedules [10,11,12,13,14], as well as improved supply management, namely modernizing canal conveyance and the distribution service aimed at upgrading water delivery and reducing runoff and seepage wastages [12,15,16,17]. When soils are saline [18], basin irrigation modernization also needs to consider salinity control practices [12,17,19], mainly adopting improved out of season autumn irrigation to appropriately leach the salts out of the soil’s root zone. In addition, because water-saving practices impact groundwater dynamics [9,20], it is required that mutual influences of groundwater-irrigation are assessed and target groundwater depths are defined [21].
It is known that the performance of surface irrigation systems highly depends upon design and management [17,22,23,24,25]. Thus, appropriate design procedures and modelling are required because surface irrigation design based on simulation models produces results more easily, provides a better description of runoff and infiltration processes and the assessment of expected system performance, and results in the improved quality of design solutions [23,24,25]. In fact, there are a variety of factors that influence surface irrigation performance and shall be considered in the design: soil infiltration rates, hydraulic roughness, inflow discharge and duration, field length and slope, land shape, and surface micro-topography, as well as irrigation scheduling and control of salinity [17,22,23,24,25,26,27,28,29]. In addition, design must consider the negative impacts of irrigation, such as operational water losses by deep percolation and runoff out of the fields, water erosion due to surface flow, or relative to the control of fertilizer and chemical pollution and/or to control health impacts of irrigation with treated wastewater [29].
Decision support systems (DSS) aimed at the design of surface irrigation [30,31,32] may be the most adequate design tools because they may integrate data, models, and other calculation tools that focus on the various factors and impacts referred to above and, therefore, can be utilised for the easy creation of design alternatives. In addition, DSS integrate computational facilities that rank the considered design solutions, thus supporting design decision making. Ranking may be performed with multi-criteria analysis (MCA) [33], which identifies the compatibility among contradictory design criteria such as those relative to water saving and economic viability [34,35].
The application of DSS models for irrigation design easily associates issues relative to the hydraulics of the system with factors determining the irrigation performance and the environmental and economic results [30,36,37,38,39]. They are appropriate to be used in Hetao to assess solutions for water saving and economic returns for farmers because related design solutions depend upon numerous factors. However, design solutions cannot be field validated and model generated design alternatives have to be assessed and ranked to support the selection of the “best” solution, i.e., the alternative that better satisfies the design criteria. Thus, models and computational tools used by the DSS to create the design alternatives need to be parameterized using field data and validated models. Considering that good results were previously obtained with the DSS SADREG in surface irrigation design applied to wheat and cotton in Syria and Central Asia [31,34], this DSS model was selected for the current application to wheat in the Dengkou area of Hetao.
The objective of the present study was to assess and rank several design alternatives developed for basin irrigation applied to wheat in the experimental area of Dengkou, in the south-eastern part of Hetao. With this objective, the DSS model SADREG was used to create and rank various design alternatives. Ranking was performed with MCA considering two groups of design criteria, one relative to water saving and the other to economic returns. To appropriately parameterize SADREG, previous studies were developed during three years in the Dengkou area, one relative to basin irrigation [13], and the other to crop irrigation management [14], which provided field data for validating the simulation tools integrated in SADREG. Further objectives refer to preparing for extending the use of the DSS model for surface irrigation design to other areas of Hetao as a base for implementing irrigation water saving and modernization at the farm level.

2. Materials and Methods

2.1. The Study Area

The Hetao irrigation district is located in the upper reaches of the Yellow River and is one of the three largest irrigation districts of China, with 570,000 ha of irrigated land, and is 250 km long and 50 km wide (Figure 1). Hetao has an arid continental monsoon climate, with an average annual rainfall of 200 mm. According to the Köppen classification [40], the climate is BWk, with hot and dry summers and long, dry, and severely cold winters, which extend from November to March. Agriculture is only feasible during the spring-summer crop season and when irrigated.
Water diverted from the Yellow River for irrigation totals about 5.2 billion m3 year−1 [41,42]. To address water scarcity and the demand of non-irrigation water user’ sectors, the Yellow River Water Conservancy Commission decided that diversions for irrigation in Hetao should be reduced to nearly 4.0 billion m3 year−1. However, a heavy reduction of water available for agriculture may have very important social impacts and a more flexible water allocation policy is advocated [43], limiting restrictions to irrigation water use to 10% in dry years. In addition, there are limitations in using groundwater due to salinity [18,44] and the presence of arsenic [45]. Only a small area is irrigated with groundwater and uses drip irrigation. Xu et al. [9,20] provided descriptions of the Hetao surface and groundwater systems and respective interactions as influenced by irrigation. Recent analysis of water use in Hetao includes a study on the water footprint of crop production [46] and an assessment of crop evapotranspiration dynamics [47].
The conveyance and distribution system of Hetao consists of seven levels of irrigation canals. The first main canal is gravity-fed from the Yellow River, with head-works located nearby Dengkou city and along the river (Figure 1). This first main canal supplies the main canals that flow South to North. Secondary drains also flow in the same direction into a main drain that flows West to East into a great lake. There are 61 areas served by the main and sub-main irrigation canals, named divisions, averaging ca. 9300 ha each. Branch and lower order canals of each division are managed by Water Users Associations (WUA), namely to deliver water to farms and to clean canals from deposited sediments carried by the irrigation water. Main and sub-main canals and drains, as well as the head-works and the drainage pumping station, are managed by the Hetao Administration, which is in charge of water allocation policies, water measurements, water fees, and the modernization of hydraulic structures.
An experimental area has been installed in Dengkou, in the upstream part of Hetao and where irrigation water is supplied by the Dongfeng canal (Figure 1). It is a main canal, 63 km long, designed for a discharge of 25 m3 s−1, and that supplies a division comprising 480 irrigation sectors and a total irrigated area of 16,300 ha. The branch and distributor canals that deliver water to the farms are currently being upgraded. A rotation delivery scheme is applied by the WUA, with fields supplied with a nearly constant discharge during each irrigation event. The application time is defined by the WUA depending upon the farmer’s demand and the available water. The experimental area of Dengkou consists of a sector with 33.4 ha, with 394 land parcels and 210 farmers. The most common crops are maize, wheat, and sunflower, sometimes intercropped [14]. Experimentation is performed in the farmers’ fields and respective irrigation management is agreed with the WUA.

2.2. Weather and Soils Data

Daily weather data, including precipitation, maximum and minimum air temperature (°C), maximum and minimum relative humidity (%), wind speed (m s−1), and sunshine duration (h) were recorded in an automatic weather station (40°13′ N, 107°05′ E, and 1048 m elevation) located within the experimental area. Precipitation and grass reference evapotranspiration (ETo) computed with the FAO-PM method [48] are shown in Figure 2, relative to the period of experimentation, 2010–2012. It may be noticed that rainfall is much smaller than ETo and highly varies with time. Differently, ETo varies little and its variability relates to the occurrence of rainfall in Summer.
The soil in the experimental area is a siltic irragric Anthrosol [49] originated from sediments deposited by the Yellow River. Main soil textural and hydraulic properties were obtained from sampling in various locations within the study area. The texture of Dengkou soils is generally silt loamy in the upper layers, until a 0.60 m depth, and silt clay can be found below that depth. Soil textural and hydraulic properties were measured in a laboratory: texture was determined using a dry particle size analyser (HELOS RODOS, Sympatec, Clausthal-Zellerfeld, Germany); and the soil water retention curve was measured using a pressure plate extractor (model 1500F1, Soil Moisture Equipment Corp., Santa Barbara, CA, USA). Main soil physical characteristics are shown in Table 1. The total available soil water (TAW) ranges from 200 to 260 mm m−1. Despite salinity occurring in large areas of Hetao, in the Dengkou area, the electrical conductivity of the saturation extract of the soil, ECe, ranges from 0.11 to 1.58 dSm−1. These values are smaller than the ECe threshold relative to the referred main crops [48]. Moreover, such low salinity levels do not affect infiltration.
Following previous studies [13], infiltration is described by the Kostiakov equation [50]:
Z = K τ a
where Z is the cumulative infiltration depth (m), τ is the infiltration time (min), and K (m min−a) and a (dimensionless) are empirically adjusted parameters. Because the duration of the water application in basin irrigation is small, the intake rate derived from Equation (1) does not significantly under-estimate infiltration at the end of irrigation [50]; thus, a third parameter representing the basic infiltration rate was not considered.
A large number of field measurements of irrigation events in Dengkou determined six standard infiltration curves [13]. Field basin infiltrometer tests [28] were performed, which provided a first estimation of the parameters K and a (Equation (1)). Later, these parameters were optimized using field advance and recession observations through the application of the inverse method [51,52] with the model SIRMOD [53]. This is a mechanistic surface irrigation simulation model aimed at the numerical solution of the Saint-Venant Equations for the conservation of mass and momentum [28].
Results of the infiltration tests performed have shown that the cumulative infiltration in silty soils increases with the precision of the adopted land levelling. Tests have also shown that infiltration rates decreased from the first to the following irrigation events, particularly for the precision levelled basins [13]. This behaviour was also observed in the nearby Huinong area [11] and by Bai et al. [26] in the North China Plain. It is likely due to the deposition of detached soil particles by the flowing water, which reduces infiltration due to the clogging of surface soil pores.
Six standard infiltration curves (SC-I to SC-VI) were obtained for the Dengkou silty soils from field observations [13]. For operational purposes, following the approach by Walker et al. [50], infiltration curves were clustered into three infiltration families (Figure 3) characterized by:
(i)
High infiltration rates, when the first irrigation event is described by the observed curve SC-I, the second event to the curve SC-II, and the third and following events to the SC-III curve;
(ii)
Medium infiltration rates, with the first event described by the curve SC-III, the second event by the curve SC-IV, and the third and following events by the curve SC-V; and
(iii)
Low infiltration rates, where the first irrigation event is described by the curve SC-IV, the second event by the curve SC-V, and the third and later events by the curve SC-VI.
The K and a parameters relative to the infiltration curves are given in Figure 3. The distribution of high, medium, and low infiltration soils in the study area corresponds to 7–9%, 70–72%, and 20–22%, respectively. Further information on the methodologies applied is provided in Miao et al. [13,14].

2.3. Irrigation and Yield Data

A survey on basin irrigation has been performed in the Dengkou experimental area [13] and the results have been used in the current design study. The typical sizes of field parcels and respective inflow discharges are summarized in Table 2. Irrigation basins commonly have a length of 50 m and widths ranging from 7 to 50 m. The wider fields often have more than one inlet. The field topography is flat but micro-topography is uneven.
A land levelling survey was also performed in several field parcels [13] with traditional and precise land levelling using the methodology described by Dedrick et al. [54]. The traditional land levelling (TL) consists of land smoothing using rudimentary equipment and practices and is performed by farmers without the support of topography surveys, hence resulting in a poor micro-topography and an uneven land surface. Differently, precise land levelling (PL) is performed with modern laser controlled levelling equipment, which provides a very regular soil surface with the target slopes. Precise land levelling is already well known in North China, including relative to its impacts on irrigation performance [25,26,55]. The latter were studied in Dengkou [13]. This study recognized the effects of inflow discharge control and irrigation scheduling on performance when aiming at water saving and higher crop yields.
The survey collected field data provided for calculating cut and fill volumes, and operation time and costs. Basin slopes were selected using terrain elevation data obtained by performing a field topography survey. It resulted in the following target slopes: zero cross slope for all cases, zero longitudinal slope (So) for level basins (LB), and So of 0.5‰ and 1.0‰ for graded basins (GB). The land levelling survey determined the following economic and technical parameters to be used in basin irrigation design:
(i)
Operation time for maintenance: 3–4 and 4–5 h ha−1 for TL and PL basins, respectively, depending upon the distances between cut and fill sites, the power of the levelling equipment, the experience of the operator, and the soil conditions;
(ii)
Hourly operation costs: 80 to 120 Yuan h−1 for TL basins and 200 to 240 Yuan h−1 for PL basins, with prices depending upon the equipment power and size;
(iii)
Quality of land forming as expressed by the root mean of squared deviations between observed and target land elevations: 6 to 10 cm for TL basins and less than 4 cm for PL;
(iv)
Frequency of land levelling maintenance: annual for both TL and PL basins.
According to observations [56], the spring wheat yield of 6000 kg ha−1 can be assumed for non-stressed conditions, i.e., full irrigation in a low salinity soil. The previous field and simulation study on the wheat crop irrigation scheduling [14] was used herein. The improved full irrigation scheduling implies a seasonal net irrigation depth of 300 mm with three irrigation events of 100 mm each. The irrigation practice includes, in addition to summer irrigation, out of season autumn irrigation, which is performed after the crop season and applies a high irrigation depth, usually close to 250 mm or larger, particularly when the soil salinity is high. The main objectives of autumn irrigation consist of: (a) controlling soil salinity through leaching the salts out of the root zone; (b) to improve soil structure, porosity, and permeability, due to the effect of successive soil water freezing and melting during winter; and (c) to store water in the soil to be available for cropping in early spring. Related processes are well known [57,58,59]. Following Li et al. [59,60], an irrigation depth of 230 mm was assumed adequate to leach the salts out of the root zone. Crop season and autumn irrigation data are summarized in Table 3.
To estimate the yield impacts of the various irrigation alternatives, the yield response curve proposed by Solomon [61] was adopted:
Ya/Ymax = f(Wa/Wmax)
where Ya and Ymax are the actual and the maximum yield (kg ha−1), respectively; Wa is the actual net irrigation water applied (mm); and Wmax is the net water required to achieve Ymax. The respective parameterization is performed with the data in Table 4, which applies to Dengkou soils with low salinity and is based upon regionally observed data [56,62].

2.4. Irrigation Performance

The irrigation performance indicators used consist of the distribution uniformity (DU, %) and the beneficial water use fraction (BWUF, %) [63]. DU is defined as:
DU = Z lq Z avg × 100
where Zlq is the average low quarter depth of water infiltrated (mm) and Zavg is the average depth of water infiltrated in the whole irrigated field (mm). Two equations are used for BWUF to distinguish the cases of over-irrigation (Zlq > Zreq) and under-irrigation (Zlq < Zreq):
BWUF = { Z req D × 100 Z lq > Z req Z lq D × 100 Z lq < Z req
where Zreq is the average depth (mm) required to refill the root zone in the quarter of the field having a higher soil water deficit, and D is the average water depth (mm) applied to the field. Zreq is estimated from measurements or using a soil water balance model. Zlq and Zavg are estimated from computing the depth of water infiltrated during the irrigation process with SIRMOD [53]. D is given by the product of the cut-off time (tco) and the average inflow rate (Qin).
The previous field basin irrigation evaluations [13] estimated DU and BWUF for both TL and PL basins. The results in Table 5 clearly show that traditional irrigation is not able to achieve water saving and salinity control since DU and BWUF indicators are far behind the potential values. Contrarily, precise levelling provides a high DU in modernized basins. However, BWUF values show a large gap between observed and potential values when irrigations follow traditional scheduling. High BWUF values are only attainable when adopting well-adjusted tco and Qin. Alternative values for tco and Qin were therefore used in model design simulations.

2.5. The DSS Model SADREG and Multi-Criteria Analysis

SADREG is a decision support system developed to assist the process of designing and planning improvements in farm surface irrigation systems as described by Gonçalves and Pereira [30]. Applications include those by Gonçalves et al. [31] to Fergana, Central Asia, and by Darouich et al. [34,64] to eastern Syria. The design component applies database information and produces a set of alternatives in agreement with the user options and field conditions. The hydraulic simulations are performed with the simulation model SIRMOD [53], which is incorporated in SADREG. The procedure for creating the required design alternatives and for their evaluation and ranking, follows various steps:
(i)
Creating the “workspace” with main field data relative to soil water retention and soil infiltration rate characteristics, Manning’s roughness coefficient, field length and width, longitudinal and cross slopes of the field, and land surface unevenness conditions;
(ii)
Creating a “project” for selected combinations of workspace data, which characterizes the irrigation method, land levelling, crop data, field water supply, economic data, and number of units and outlets;
(iii)
Grouping various projects to constitute a set of alternatives having different in-farm distribution systems and inflow rates Qin;
(iv)
Application of associated model tools for land levelling design and for computing irrigation requirements, Zreq (mm);
(v)
Performing the design simulation applying the SIRMOD model to every alternative, thus computing advance, wetting, and recession times, and infiltration depths, namely the average and the low quarter depths, Zavg and Zlq (mm), respectively;
(vi)
Calculation of performance indicators for every alternative using the respective design data;
(vii)
Application of multi-criteria analysis for ranking the alternatives according to the defined design criteria and user’s priorities, based on the respective performance attributes.
The economic and labour input data reported for 2010 are presented in Table 6. At present, the farmer’s irrigation fees in Hetao are not computed in terms of water use but just depend on the irrigated area. Fees vary from 600 to 800 Yuan ha−1 and cover WUA operation and maintenance (O&M) costs. The water price established by the Yellow River Commission for the water derived at the sector level ranges from 0.04 to 0.06 Yuan m−3. In the current study, an irrigation cost averaging 700 Yuan ha−1 is considered, which is partitioned into a fixed cost of 420 Yuan ha−1 for O&M, and a variable cost for the gross water use was assumed with a water price of 0.05 Yuan m−3.
The Manning’s hydraulic roughness coefficient n = 0.20 m−1/3 s was used for hydraulic simulations of basin irrigation when fields were cropped with wheat. That n value was obtained from a former field study in the same area [65]. Other studies [11,25,66] support the assumption that the parameter n essentially depends upon tillage and plants density, but not upon the land slope or land levelling precision. Pereira et al. [11] reported that n values slightly increase from the first to the last irrigation due to crop development. However, because impacts of n values on simulated basin irrigation performances are reported to be small [25,67], the constant value n = 0.20 m−1/3 s was assumed in the current study.
The irrigation methods considered are the flat level basin (LB) and the flat graded basin (GB). Precise land levelling (PL) with a null cross slope was considered with three options for the longitudinal slope (So): zero level, 0.5‰, and 1.0‰.
The inflow rates (Qin, L s−1 m−1 width) were defined in relation to the land parcel sizes (Table 7), i.e., the combination length-width, with a larger Qin for longer basins.
The modernization scenarios are represented by projects and groups of alternatives as indicated in Figure 4. Projects refer to precision levelling (PL) and level basins (LB) and graded basins (GB) with So values of 0.5‰ and 1.0‰ slope. Groups refer to basin lengths, and alternatives are discriminated according to inflow rates S, M, and L, defined in Table 7 in combination with basin widths.
The evaluation and selection of the design alternatives is the last task in the design decision making process. That selection is a multiple objective problem, for which a rational solution often requires multi-criteria analysis (MCA) to integrate different types of design attributes in a trade-off process, thus comparing adversative objectives or criteria [68,69]. In irrigation, adversative objectives generally refer to environmental, water saving, and economic criteria.
Linear utility functions were used for each criterion j:
U j = α j x j + β j
which are normalized in the [0,1] interval, with zero for the most adverse and 1 for the most advantageous result. The slope parameter α is negative for criteria whose highest values are the worse, e.g., costs and water use, and is positive for criteria whose higher values are the best, e.g., water productivity. For each alternative, the linear weighted summation method [70,71] calculated the global utility that represents the integrated score performance of the considered alternative:
U glob = j = 1 Nc λ j U j
where Uglob is the global utility, scaled in the [0,1] interval; Nc is the number of criteria (Nc = 7 in this application); λj is the weight assigned to criterion j; and Uj is the utility relative to criterion j (Equation (5)). The decision criteria attributes, the respective weights, and the parameters of their linear utility functions (Equation (5)) are presented in Table 8. Overlapping or redundancy of criteria was checked and avoided.
The attributes relative to economic criteria are:
(i)
Economic land productivity (ELP, €·ha−1), the monetary yield value per unit of land;
(ii)
Fixed irrigation costs (FIC, €·ha−1), corresponding to investment costs per unit of land;
(iii)
Variable irrigation costs (VIC, €·ha−1), corresponding to the operation and maintenance costs per unit of land; and
(iv)
Economic water productivity ratio (EWPR, dimensionless), defined as the ratio of total yield value to the total irrigation costs [63].
The attributes relative to water saving criteria consist of:
(i)
Total irrigation water use (IWU, mm), corresponding to the seasonal gross irrigation depth (or irrigation volume, m3);
(ii)
Beneficial water use fraction (BWUF, dimensionless), defined with Equation (4); and
(iii)
Irrigation water productivity (IWP, kg m−3), ratio of total yield to IWU (in m3).
Criteria are grouped into economic and water saving issues (Table 8); thus an economic utility (UEC) and a water saving utility (UWS) were defined:
U EC = i = 1 Nc ( EC ) λ ECi U ECi / λ EC
U WS = i = 1 Nc ( WS ) λ WSi U WSi / λ WS
where λEC and λWS are the sums of the weights relative to the economic and water saving criteria, respectively, with λEC + λWS = 1.0. The global utility corresponds to the sum of UEC and UWS:
U glob = j = 1 Nc λ j U j = λ EC U EC + λ WS U WS .
Solving Equation (9) in relation to UWS results in
U WS = U glob λ WS λ EC λ WS U EC
that allows a Cartesian representation of Uglob in the UEC-UWS Plane, and where the Uglob isolines are straight lines with slopes depending upon the values of λEC and λWS. That representation provides a better understanding of the impacts of water saving and economic results on the global utility.
To provide a sensitivity analysis of changes in the decision making priorities, several combinations of weights were used, starting when 20% of weights were assigned to farm economic results and 80% to water saving, and after considering pairs λECWS of 40%-60%, 60%-40%, and 80%-20%. The weights λj used for the criteria attributes were consequently modified proportionally to those in Table 8, representing a balance between economic and water saving criteria (50% for each group).

3. Results and Discussion

3.1. Irrigation Water Use and Performance

Beneficial and non-beneficial water use (BWU and NBWU, m3 ha−1) are compared in Figure 5 for 27 design alternatives. A smaller NBWU is achieved in level basin projects with a length of up to 200 m and for GB with 0.5‰ slopes when the length does not exceed 100 m. Naturally, a smaller NBWU corresponds to projects whose BWUF is higher and water productivity IWP is also higher (Table 9).
Main irrigation performance indicators relative to design alternatives for medium infiltration soils, the third irrigation event, and adopting an improved irrigation schedule, are presented in Table 9. These results indicate that:
(i)
Modernization projects may achieve a BWUF of up to 90% when deep percolation (DP) is well controlled, thus when basin irrigation is highly improved relative to traditional systems, which have an average BWUF of 60% and DP of 40%.
(ii)
Graded basin alternatives with a 200 m length and 1.0‰ slope are non-satisfactory (BWUF < 60% and DP > 40%), and hence were not considered further in the selection analysis.
(iii)
The relationship between inflow rates (Qin) and DU have been shown to be very weak, thus indicating that the magnitude of Qin has small impacts on DU. However, as formerly observed for medium and low infiltration silty soils in China, inflow rates Qin ≥ 2 L s−1 m−1 are required [11,26,27]. This result also indicates that a high irrigation performance may be obtained with a flexible, varied inflow discharge. Differently, the cut-off time plays a crucial role in adjusting the applied depth to its target to avoid over-irrigation.
(iv)
It was observed that So only slightly influences DU and that So = 0‰ (level basins) generally leads to a higher DU and BWUF. Poor results for long graded borders (L = 200 m) are likely due to the fact that So > 0‰ simultaneously favours advance and a long recession time resulting in high infiltration downstream, thus in a high DP and low DU.
(v)
Irrigation water productivity is high (>1.8 kg m−3) for LB and GB with So = 0.5‰ with a 50 m length, and for LB with a 100 m or 200 m length.
(vi)
Relationships of field length (L) with DU are also quite weak, which may indicate that long basins are feasible but their performance depends on the combination So-Qin.
To assess the effects of soil infiltration on the irrigation performance, particularly on irrigation water use (IWU), the results relative to several alternatives applied to soils with high, medium, and low infiltration (Figure 3) are compared in Table 10. In general, IWU values for low and medium infiltration soils are similar, with differences not exceeding 8%. Differently, the IWU values of high infiltration soils are different of those for medium infiltration soils, particularly for basin lengths larger than 100 m. No feasible solutions were found for long basins in high infiltration soils due to excessive infiltration and very high percolation.
Water saving, defined as the difference between the IWU of traditional irrigation (7350 m3 ha−1) and IWU relative to the retained alternatives, was estimated for the various design alternatives (Figure 6). IWU includes both the summer season and the autumn irrigation. The results in Figure 6 show that projects LB and GB with So = 0.5‰ provide annual water savings ranging from 1520 to 1740 m3 ha−1, i.e., 21% to 24% of IWU. LB perform slightly better than GB when the same basin length and inflow rate are considered. Water saving benefits of improved basin irrigation were reported in several studies carried out in China [7,11,13,27], Egypt [72], Portugal [30], Spain [73], and USA [74], supporting the assumption that water use decreases when the irrigation performance is improved.

3.2. Economic Performance

The economic attributes relative to various design alternatives adopting a medium inflow rate are presented in Table 11. The total irrigation costs (TIC), relative to both the summer season and the autumn irrigation, vary between 2408 and 3292 Yuan ha−1.Precision land levelling costs (1100 Yuan ha−1) consist of the main component of TIC (33–46%). Considering that fixed water costs are 700 Yuan ha−1 (21–29% of TIC) and that variable water costs range from 269 to 328 Yuan ha−1 , i.e., only 8.8 to 13% of TIC, it can be inferred that the water operative costs are low and cannot play a large enough role as an incentive for water saving. Labour costs in traditional irrigation average 1330 Yuan ha−1, about 45% of TIC, while for modernized systems, the labour costs are smaller, varying from 276 to 997 Yuan ha−1 (12–29% of TIC) because basin sizes are improved and processes of irrigation water supply require less manpower, and labour costs are lesser for level basins with a 200 m length. Nevertheless, further tests are required for long basins.
The economic land productivity (ELP) and the economic water productivity ratio (EWPR) vary, as expected, from one project to another (Table 11). The minimal value for ELP refers to a 200 m long graded basin with So = 1.0‰ (GB-1.0-PL-200-M) because its irrigation performance is less good due to high percolation by downstream. The next poor performing alternative is the traditional one, with a low ELP value because yields are also less good. However, since the current ELP value is not much lower than for improved designs, it may be difficult to convince farmers to invest in modernization. Relative to EWPR, the best values (6.48 to 7.47) refer to basins of 100 or 200 m, both LB and GB, whose performance are good, yields are high, and total costs are low. It may be observed that issues relative to water saving (Figure 6) and to economic results (Table 12) are contradictory, so requiring the use of MCA to search for the best alternative designs, namely for other crops and different areas.
To evaluate the effects of increasing the irrigation costs, MCA was applied to rank the various projects under three scenarios of irrigation costs: (a) current costs; (b) the current costs increased by 20%; and (c) the current costs increased by 50%. The ranking of the alternatives was determined by the global utilities, Uglob. Results for the first 15 design alternatives for scenario (a) are presented in Table 12. It shows that the ranking based on Uglob values is different to the one that could result if considering economic results only, UEC, due to the impact of water saving issues on Uglob, which evidences the need for associating UEC and UWS in the analysis. It is important to note that an increase of 20% of the irrigation costs does not produce a change of the ranking; contrarily, an increase of 50% produces a great change in ranking. For the current prices, the first six alternatives refer to level basins with lengths of 200 or 100 m without a great impact of the inflow rates. That ranking results from the fact that long basins have lower costs than the most common basins, with lengths of 50 m, which rank 8 to 14. However, adopting longer basins would lead to great changes in the structure of the irrigated fields when replacing the 50 m lengths with the 100 or 200 m long basins. The graded basins with a small slope (So = 0.5‰) rank 7 to 10; longer ones, of 200 m, are not included in the first 15 ranked projects.
It is interesting to note that level basins consist of the most commonly considered highly performing systems worldwide [17,23,25,29,75] and in China [7,11,13,26,27,56]. This common behaviour justifies why studies referring to graded basins are rare and point to solutions having small slopes [76].
Ranking is greatly modified if irrigation costs increase by 50%. The first six ranked projects are now graded basins with So of 0.5‰ and lengths of 50 m and 100 m. Level basins become low ranked and all basins 200 m long also fall in their ranking. The explanation for this is found when looking at the costs and the benefits, namely the economic land productivity (ELP) and the economic water productivity ratio (EWPR). These results indicate that the design approaches used may not be appropriate if large changes in irrigation costs occur, particularly if those increases are not well balanced with the economic benefits.

3.3. Ranking of Design Alternatives

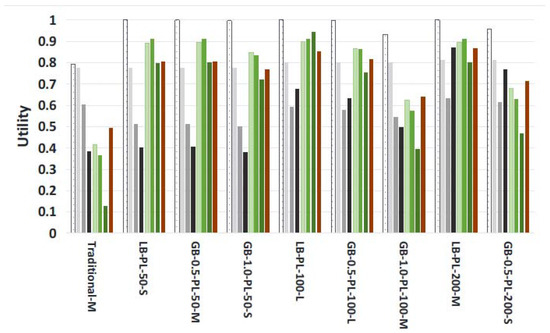
The global utility, the economic utilities relative to the criteria attributes ELP, FIC, VIC, and EWPR, and the water saving utilities referring to the criteria attributes IWU, BWUF, and IWP are compared in Figure 7 for the best alternative of each project when applied to a medium infiltration soil. The results show that Uglob values relative to all design alternatives are significantly higher than Uglob characterizing the traditional systems. Nevertheless, the U values relative to costs FIC and VIC are similar for traditional and modernization systems, and the same occurs for ELP, particularly for short basin lengths (50 m). Differently, the U values referring to water use and saving, attributes IWU and BWUF, are much smaller than the corresponding U values for the modernization projects. These results evidence that modernization projects respond well to the need for adopting water saving irrigation but, simultaneously, make it clear that economic results are not advantageous enough for farmers to invest in modernization and water saving. These results show the need for economic incentives for farmers if the common attitude of “business as usual” is to be overcome.
Comparing the Uglob of the best modernization design alternatives, it can be observed that higher Uglob values are seen for level basins with a 100 and 200 m length. These high Uglob values result from high ELP and EWPR values and low costs, FIC and VIC, as indicated by the high U scores for these criteria attributes, particularly for the 200 m long basins. High U scores are also observed for criteria attributes IWU, BWUF, and IWP; the highest scores are for the 100 m length basins. The next ranking alternatives are for level and small slope (0.5‰) graded basins with 100 m lengths, whose utilities relative to the referred criteria are quite similar to those previously referred to. LB and GB basins of 50 m rank next because U scores relative to economic criteria are lower than the former. The last ranked alternative is GB with 1.0‰ slope, whose performance is affected by low U scores relative to IWU, BWUF, and IWP, i.e., to water saving.
A graphical evaluation of the best alternatives relative to a medium infiltration soil and adopting a medium inflow rate is presented in Figure 8. Using the representation of Uglob in the UEC-UWS Plane (Equation (10)), it is easy to understand through observing the contribution of the economic utilities (UEC) and water saving utilities (UWS) to the global utility (Uglob) of the considered design alternatives. The 0.60, 0.80, and 0.90 Uglob isolines were computed with Equation (10) for λEC = λWS = 0.50. The results in Figure 8 show that the best four ranked design alternatives have about the same UWS, close to 0.87 (level basins with lengths of 50, 100, and 200 m, and a graded basin with So = 0.5‰ and length of 50 m), but have quite different UEC, ranging from 0.75 to 0.87. Hence, the economic results dictated the ranking of those four design alternatives, with the 200 m long basins ranking first and the 50 m basins ranking fourth due to irrigation costs. It may also be observed that GB with So = 1.0‰ are the last ranked in terms of economic results, but the GB-1.0‰ for L = 50 m ranks high in terms of water saving, with a UWS value of 0.78. These results indicate that using the Cartesian representation as in Figure 8 provides a good explanation on ranking, thus making easier the selection of alternatives by a decision maker.
The results in Figure 7 and Figure 8 make it evident that water saving and farm economics are contradictory, particularly when observing that the best rankings for UWS are affected by the economic results when Uglob values are considered. This was also observed in former studies using MCA [31,34]. To better shed light on this behaviour, the rankings of the best 15 project alternatives were determined adopting weights attributed to economic issues and water saving different from 50%, which were adopted in the previous analysis. Various combinations of weights were therefore used (Table 13), starting when 20% of weights were assigned to farm economic results and 80% to water saving, and later considering different pairs λECWS of 40%-60%, 60%-40%, and 80%-20%. The results clearly show that level basins have the best rankings for all priority combinations for basins with L = 100 m or 200 m. The length L = 100 m has a slight advantage when the priority is assigned to water saving and the length L = 200 m is more advantageous when prioritizing economic results. The graded border with a slope So = 0.5‰ and length L = 50 m is the following design alternative in the ranking when a higher priority is for water saving, followed by the LB projects of 50 m. If the priorities relative to farm economics increase, then longer GB are selected, always with the small slope of 0.5‰. A few cases are highlighted in Table 13 to give better visibility to changes in the ranking of selected project alternatives when the assigned priority weights change. These results indicate that the level basin is in general the best choice, that graded borders with So = 0.5‰ are feasible, and that basin lengths of 50 m, as at present, are also feasible, but have lower ranks than the 100 m long basins.

4. Conclusions

This study aimed at the application of a DSS with multi-criteria analysis to design and rank alternative design solutions for water-saving basin irrigation of spring wheat in Hetao, currently focusing on its upstream area represented by the Dengkou experimental area. The DSS SADREG was successfully used, thus providing appropriate design information for implementing the modernization of basin irrigation in the area. It was able to generate and rank multiple design alternatives with a consideration of both water saving and economic returns. The adoption of a linear weighted sum MCA, where criteria weights can be changed to modify the priorities attributed to the criteria, was revealed to be appropriate for involving stakeholders in the decision process relative to the future implementation of best design alternatives. To support that implementation throughout Hetao, irrigation design alternatives must be assessed considering different crops and environmental conditions occurring in Hetao, namely relative to salinity.
The results of the study have shown a clear preference for level basins with a 100 m and 50 m length, particularly when priorities are assigned to water saving criteria because less water is then used and yields are high. Differently, project alternatives for longer basins, of 200 m, are highly ranked if the priorities are assigned to economic criteria because costs of modernized irrigation are reduced for long basins. It was evidenced that ranking for water saving or for farm economic results is contradictory, but MCA was able to rank project alternatives with a consideration of and associating both types of criteria, i.e., preferring one or another type of criteria does not imply that the other has to be excluded. Apparently, the best decision is to adopt level basins with a 50 m length, or graded basins with the same length and a small slope of 0.5‰ because these sizes would not require changes in the structure of the fields contrarily to adopt lengths of 100 or 200 m. In addition, selecting 50 m lengths agrees with the experience of the irrigators. Despite the fact that inflow rates do not play a major role, the results indicate that medium to large Qin values should be selected taking into consideration the size of the irrigated fields.
This study provides an insight on the adequacy of modern basin irrigation in Hetao aimed at reducing/controlling the demand for irrigation water, which is a major requirement for the sustainability of irrigated agriculture. However, in addition to improving farm irrigation systems, it is definitely required to improve irrigation management, mainly irrigation scheduling. Yields and water use considered in the current study were determined for conditions of modern, rational irrigation scheduling; otherwise, results considered herein are not achievable. It is also required that the canal system operation is modernized to provide adequate delivery scheduling, i.e., that matches the irrigation demand of modernized irrigation scheduling. Considering the great pressure by the drip irrigation market, future studies are also required to appropriately compare surface and drip irrigation considering both water saving and economic criteria; otherwise, directions for change may be unclear.
The implementation of modern basin irrigation in Hetao, which implies a combination of surface irrigation design and management, definitely requires appropriate extension and training services for farmers and local irrigation canal operators, as well as institutional and economic incentives for farmers to invest in upgrading their irrigation systems. To support that implementation, irrigation design alternatives must be assessed considering different cropping systems and environmental conditions occurring in Hetao, namely relative to salinity.

Acknowledgments

This study was funded by the Key Project of National Natural Science Foundation, No. 51539005; The project of Inner Mongolia Agricultural University, No. 2017XQG-4, NDYB2016-23. National Natural Science Foundation, No. 51769024; National Thirteenth Project Five-Year Scientific and Technical Support Plan, No. 2016YFC0400205, contracted with the Ministry of Science and Technology, China; and The support of FCT through the research unit LEAF-Linking Landscape, Environment, Agriculture and Food (UID/AGR/04129/2013) is acknowledged.

Author Contributions

Qingfeng Miao, Haibin Shi, and José M. Gonçalves conceived and designed the experiments. Qingfeng Miao performed the field experiments under the supervision of the second author. Qingfeng Miao and José M. Gonçalves analysed the data and performed modelling with the advice of Luis S. Pereira. Qingfeng Miao and José M. Gonçalves wrote the paper with contributions of the other authors, and the final revision was performed by Luis S. Pereira.

Conflicts of Interest

The authors declare no conflict of interest.

References

  1. Wang, H.; Yang, Z.; Saito, Y.; Liu, J.P.; Sun, X. Interannual and seasonal variation of the Huanghe (Yellow River) water discharge over the past 50 years: Connections to impacts from ENSO events and dams. Glob. Planet. Chang. 2006, 50, 212–225. [Google Scholar] [CrossRef]
  2. Liu, C.M.; Xia, J. Water problems and hydrological research in the Yellow River and the Huai and Hai River basins of China. Hydrol. Process 2004, 18, 2197–2210. [Google Scholar] [CrossRef]
  3. Fu, G.; Chen, S.; Liu, C.; Shepard, D. Hydro-climatic trends of the Yellow River Basin for the last 50 years. Clim. Chang. 2004, 65, 149–178. [Google Scholar] [CrossRef]
  4. Yang, D.; Li, C.; Hu, H.; Lei, Z.; Yang, S.; Kusuda, T.; Koike, T.; Musiake, K. Analysis of water resources variability in the Yellow River of China during the last half century using historical data. Water Resour. Res. 2004, 40. [Google Scholar] [CrossRef]
  5. Zhang, Q.; Peng, J.; Singh, V.P.; Li, J.; Chen, Y.D. Spatio-temporal variations of precipitation in arid and semiarid regions of China: The Yellow River basin as a case study. Glob. Planet. Chang. 2014, 114, 38–49. [Google Scholar] [CrossRef]
  6. Yu, L. The Huanghe (Yellow) River: Recent changes and its countermeasures. Cont. Shelf Res. 2006, 26, 2281–2298. [Google Scholar] [CrossRef]
  7. Pereira, L.S.; Cai, L.G.; Musy, A.; Minhas, P.S. (Eds.) Water Savings in the Yellow River Basin. Issues and Decision Support Tools in Irrigation; China Agriculture Press: Beijing, China, 2003; 290p. [Google Scholar]
  8. Qu, Z.; Yang, X.; Huang, Y. Analysis and assessment of water-saving project of Hetao Irrigation District in Inner Mongolia. Trans. Chin. Soc. Agric. Mach. 2015, 46, 70–76. (In Chinese) [Google Scholar]
  9. Xu, X.; Huang, G.H.; Qu, Z.Y.; Pereira, L.S. Assessing the groundwater dynamics and predicting impacts of water saving in the Hetao Irrigation District, Yellow River basin. Agric. Water Manag. 2010, 98, 301–313. [Google Scholar] [CrossRef]
  10. Deng, X.-P.; Shan, L.; Zhang, H.; Turner, N.C. Improving agricultural water use efficiency in arid and semiarid areas of China. Agric. Water Manag. 2006, 80, 23–40. [Google Scholar] [CrossRef]
  11. Pereira, L.S.; Gonçalves, J.M.; Dong, B.; Mao, Z.; Fang, S.X. Assessing basin irrigation and scheduling strategies for saving irrigation water and controlling salinity in the Upper Yellow River Basin, China. Agric. Water Manag. 2007, 93, 109–122. [Google Scholar] [CrossRef]
  12. Pereira, L.S.; Cordery, I.; Iacovides, I. Coping with Water Scarcity. Addressing the Challenges; Springer: Dordrecht, The Netherlands, 2009; p. 382. [Google Scholar]
  13. Miao, Q.; Shi, H.; Gonçalves, J.M.; Pereira, L.S. Field assessment of basin irrigation performance and water saving in Hetao, Yellow River basin: Issues to support irrigation systems modernisation. Biosyst. Eng. 2015, 136, 102–116. [Google Scholar] [CrossRef]
  14. Miao, Q.; Rosa, R.D.; Shi, H.; Paredes, P.; Zhu, L.; Dai, J.; Gonçalves, J.M.; Pereira, L.S. Modeling water use, transpiration and soil evaporation of spring wheat-maize and spring wheat-sunflower relay intercropping using the dual crop coefficient approach. Agric. Water Manag. 2016, 165, 211–229. [Google Scholar] [CrossRef]
  15. Roost, N.; Cui, Y.L.; Xie, C.B.; Huang, B. Water supply simulation for improved allocation and management. In Water Savings in the Yellow River Basin. Issues and Decision Support Tools in Irrigation; Pereira, L.S., Cai, L.G., Musy, A., Minhas, P.S., Eds.; China Agriculture Press: Beijing, China, 2003; pp. 275–290. [Google Scholar]
  16. Gonçalves, J.M.; Pereira, L.S.; Fang, S.X.; Dong, B. Modelling and multicriteria analysis of water saving scenarios for an irrigation district in the Upper Yellow River Basin. Agric. Water Manag. 2007, 94, 93–108. [Google Scholar] [CrossRef]
  17. Pereira, L.S.; Oweis, T.; Zairi, A. Irrigation management under water scarcity. Agric. Water Manag. 2002, 57, 175–206. [Google Scholar] [CrossRef]
  18. Wu, J.W.; Vincent, B.; Yang, J.Z.; Bouarfa, S.; Vidal, A. Remote sensing monitoring of changes in soil salinity: A case study in Inner Mongolia, China. Sensors 2008, 8, 7035–7049. [Google Scholar] [CrossRef] [PubMed]
  19. Hoffman, G.J.; Shalhevet, J. Controlling salinity. In Design and Operation of Farm Irrigation Systems, 2nd ed.; Hoffman, G.J., Evans, R.G., Jensen, M.E., Martin, D.L., Elliot, R.L., Eds.; American Society of Agricultural and Biosystems Engineers: St. Joseph, MI, USA, 2007; pp. 160–207. [Google Scholar]
  20. Xu, X.; Huang, G.H.; Qu, Z.Y.; Pereira, L.S. Using MODFLOW and GIS to assess changes in groundwater dynamics in response to water saving measures in irrigation districts of the upper Yellow River basin. Water Resour. Manag. 2011, 25, 2035–2059. [Google Scholar] [CrossRef]
  21. Xu, X.; Huang, G.H.; Sun, C.; Pereira, L.S.; Ramos, T.B.; Huang, Q.Z.; Hao, Y.Y. Assessing the effects of water table depth on water use, soil salinity and wheat yield: Searching for a target depth for irrigated areas in the upper Yellow River basin. Agric. Water Manag. 2013, 125, 46–60. [Google Scholar] [CrossRef]
  22. Pereira, L.S. Higher performances through combined improvements in irrigation methods and scheduling: A discussion. Agric. Water Manag. 1999, 40, 153–169. [Google Scholar] [CrossRef]
  23. Clemmens, A.J.; Walker, W.R.; Fangmeier, D.D.; Hardy, L.A. Design of surface systems. In Design and Operation of Farm Irrigation Systems, 2nd ed.; Hoffman, G.J., Evans, R.G., Jensen, M.E., Martin, D.L., Elliot, R.L., Eds.; American Society of Agricultural and Biosystems Engineers: St. Joseph, MI, USA, 2007; pp. 499–531. [Google Scholar]
  24. Strelkoff, T.; Clemmens, A.J. Hydraulics of surface systems. In Design and Operation of Farm Irrigation Systems, 2nd ed.; Hoffman, G.J., Evans, R.G., Jensen, M.E., Martin, D.L., Elliot, R.L., Eds.; American Society of Agricultural and Biosystems Engineers: St. Joseph, MI, USA, 2007; pp. 436–498. [Google Scholar]
  25. Reddy, J.M. Design of level basin irrigation systems for robust performance. J. Irrig. Drain. Eng. 2013, 139, 254–260. [Google Scholar] [CrossRef]
  26. Bai, M.; Xu, D.; Li, Y.; Pereira, L.S. Stochastic modeling of basins microtopography: Analysis of spatial variability and model testing. Irrig. Sci. 2010, 28, 157–172. [Google Scholar] [CrossRef]
  27. Bai, M.J.; Xu, D.; Li, Y.N.; Pereira, L.S. Impacts of spatial variability of basins microtopography on irrigation performance. Irrig. Sci. 2011, 29, 359–368. [Google Scholar] [CrossRef]
  28. Walker, W.R.; Skogerboe, G.V. Surface Irrigation. Theory and Practice; Prentice-Hall: Englewood Cliffs, NJ, USA, 1987. [Google Scholar]
  29. Pereira, L.S.; Gonçalves, J.M. Surface irrigation. In Oxford Encyclopaedia of Agriculture and the Environment; Oxford University Press: Oxford, UK, 2017. [Google Scholar]
  30. Gonçalves, J.M.; Pereira, L.S. Decision support system for surface irrigation design. J. Irrig. Drain. Eng. 2009, 135, 343–356. [Google Scholar] [CrossRef]
  31. Gonçalves, J.M.; Muga, A.P.; Horst, M.G.; Pereira, L.S. Furrow irrigation design with multicriteria analysis. Biosyst. Eng. 2011, 109, 266–275. [Google Scholar] [CrossRef]
  32. Bazzani, G.M. An integrated decision support system for irrigation and water policy design: DSIRR. Environ. Model. Softw. 2005, 20, 153–163. [Google Scholar] [CrossRef]
  33. Roy, B.; Bouyssou, D. Aide Multicritère: Méthodes et Cas; Economica: Paris, France, 1993. [Google Scholar]
  34. Darouich, H.; Gonçalves, J.M.; Muga, A.; Pereira, L.S. Water saving vs. farm economics in cotton surface irrigation: An application of multicriteria analysis. Agric. Water Manag. 2012, 115, 223–231. [Google Scholar] [CrossRef]
  35. Darouich, H.; Pedras, C.M.G.; Gonçalves, J.M.; Pereira, L.S. Drip vs. surface irrigation: A comparison focusing water saving and economic returns using multicriteria analysis applied to cotton. Biosyst. Eng. 2014, 122, 74–90. [Google Scholar] [CrossRef]
  36. Oad, R.; Garcia, L.; Kinzli, K.-D.; Patterson, D.; Shafike, N. Decision support systems for efficient irrigation in the Middle Rio Grande Valley. J. Irrig. Drain. Eng. 2009, 135, 177–185. [Google Scholar] [CrossRef]
  37. Pedras, C.M.G.; Pereira, L.S. Multicriteria analysis for design of microirrigation systems. Application and sensitivity analysis. Agric. Water Manag. 2009, 96, 702–710. [Google Scholar] [CrossRef]
  38. Khadra, R.; Lamaddalena, N. Development of a decision support system for irrigation systems analysis. Water Resour. Manag. 2010, 24, 3279–3297. [Google Scholar] [CrossRef]
  39. Barradas, J.M.M.; Matula, S.; Dolezal, F. A Decision Support System-Fertigation Simulator (DSS-FS) for design and optimization of sprinkler and drip irrigation systems. Comput. Electron. Agric. 2012, 86, 111–119. [Google Scholar] [CrossRef]
  40. Kottek, M.; Grieser, J.; Beck, C.; Rudolf, B.; Rubel, F. World Map of the Köppen-Geiger climate classification updated. Meteorol. Z. 2006, 15, 259–263. [Google Scholar] [CrossRef]
  41. IWC-IM. Construction and Rehabilitation Planning Project for Water-Saving in Hetao Irrigation District of the Yellow River Basin, Inner Mongolia; Institute of Water Conservancy and Hydropower of Inner Mongolia: Hohhot, China, 1999. (In Chinese) [Google Scholar]
  42. Hetao Administration. The Datasets of Evaluation of Irrigation Water Use Efficiency in Hetao Irrigation District of Inner Mongolia; Hetao Irrigation Administration Bureau: Hohhot, China, 2003. (In Chinese)
  43. Shao, W.W.; Yang, D.W.; Hu, H.P.; Sanbongi, K. Water resources allocation considering the water use flexible limit to water shortage—A case study in the Yellow River Basin of China. Water Resour. Manag. 2009, 23, 869–880. [Google Scholar] [CrossRef]
  44. Yu, R.; Liu, T.; Xu, Y.; Zhu, C.; Zhang, Q.; Qu, Z.; Liu, X.; Li, C. Analysis of salinization dynamics by remote sensing in Hetao Irrigation District of North China. Agric. Water Manag. 2010, 97, 1952–1960. [Google Scholar] [CrossRef]
  45. Guo, H.; Zhang, Y.; Jia, Y.; Zhao, K.; Li, Y.; Tang, X. Dynamic behaviors of water levels and arsenic concentration in shallow groundwater from the Hetao Basin, Inner Mongolia. J. Geochem. Explor. 2013, 135, 130–140. [Google Scholar] [CrossRef]
  46. Sun, S.; Wu, P.; Wang, Y.; Zhao, X.; Liu, J.; Zhang, X. The impacts of interannual climate variability and agricultural inputs on water footprint of crop production in an irrigation district of China. Sci. Total Environ. 2013, 444, 498–507. [Google Scholar] [CrossRef] [PubMed]
  47. Bai, L.; Cai, J.; Liu, Y.; Chen, H.; Zhang, B.; Huang, L. Responses of field evapotranspiration to the changes of cropping pattern and groundwater depth in large irrigation district of Yellow River basin. Agric. Water Manag. 2017, 188, 1–11. [Google Scholar] [CrossRef]
  48. Allen, R.G.; Pereira, L.S.; Raes, D.; Smith, M. Crop Evapotranspiration. Guidelines for Computing Crop Water Requirements; Paper 56; FAO: Rome, Italy, 1998; p. 300. [Google Scholar]
  49. IUSS Working Group WRB. World Reference Base for Soil Resources 2014, Update 2015. International Soil Classification System for Naming Soils and Creating Legends for Soil Maps; World Soil Resources Reports No. 106; FAO: Rome, Italy, 2015. [Google Scholar]
  50. Walker, W.R.; Prestwich, C.; Spofford, T. Development of the revised USDA–NRCS intake families for surface irrigation. Agric. Water Manag. 2006, 85, 157–164. [Google Scholar] [CrossRef]
  51. Katopodes, N.D.; Tang, J.H.; Clemmens, A.J. Estimation of surface irrigation parameters. J. Irrig. Drain. Eng. 1990, 116, 676–696. [Google Scholar] [CrossRef]
  52. Horst, M.G.; Shamutalov, S.S.; Pereira, L.S.; Gonçalves, J.M. Field assessment of the water saving potential with furrow irrigation in Fergana, Aral Sea Basin. Agric. Water Manag. 2005, 77, 210–231. [Google Scholar] [CrossRef]
  53. Walker, W.R. SIRMOD—Surface Irrigation Modeling Software; Utah State University: Logan, UT, USA, 1998. [Google Scholar]
  54. Dedrick, A.R.; Gaddis, R.J.; Clark, A.W.; Moore, A.W. Land forming for irrigation. In Design and Operation of Farm Irrigation Systems, 2nd ed.; Hoffman, G.J., Evans, R.G., Jensen, M.E., Martin, D.L., Elliot, R.L., Eds.; American Society of Agricultural and Biosystems Engineers: St. Joseph, MI, USA, 2007; pp. 320–346. [Google Scholar]
  55. Zheng, H.X.; Shi, H.; Guo, K.Z.; Hao, W.L. Study on influence of field surface slope on irrigation efficiency in combination with different irrigation parameters. Agric. Res. Arid Areas 2011, 29, 43–48. (In Chinese) [Google Scholar]
  56. Bai, G.; Du, S.; Yu, J.; Zhang, P. Laser land leveling improve distribution of soil moisture and soil salinity and enhance spring wheat yield. Trans. Chin. Soc. Agric. Eng. 2013, 29, 125–134. (In Chinese) [Google Scholar]
  57. Chamberlain, E.J.; Gow, A.J. Effect of freezing and thawing on the permeability and structure of soils. Eng. Geol. 1979, 13, 73–92. [Google Scholar] [CrossRef]
  58. Wang, L.P.; Akae, T. Analysis of ground freezing process by unfrozen water content obtained from TDR data in Hetao Irrigation District of China. J. Jpn. Soc. Soil Phys. 2004, 98, 11–19. [Google Scholar] [CrossRef]
  59. Li, R.; Shi, H.; Flerchinger, G.N.; Zou, C.; Li, Z. Modeling the effect of antecedent soil water storage on water and heat status in seasonally freezing and thawing agricultural soils. Geoderma 2013, 206, 70–74. [Google Scholar] [CrossRef]
  60. Li, R.; Shi, H.; Akae, T.; Zhang, Y.; Zhang, X.; Flerchinger, G.N. Scheme of water saving irrigation in autumn based on SHAW model in Inner Mongolia Hetao irrigation district. Trans. Chin. Soc. Agric. Eng. 2010, 26, 31–36. (In Chinese) [Google Scholar]
  61. Solomon, K.H. Yield related interpretations of irrigation uniformity and efficiency measures. Irrig. Sci. 1984, 5, 161–172. [Google Scholar] [CrossRef]
  62. Tong, W.J.; Liu, Q.; Chen, F.; Wen, X.Y.; Li, Z.H.; Gao, H.Y. Salt tolerance of wheat in Hetao irrigation district and its ecological adaptable region. Acta Agron. Sin. 2012, 38, 909–913. (In Chinese) [Google Scholar] [CrossRef]
  63. Pereira, L.S.; Cordery, I.; Iacovides, I. Improved indicators of water use performance and productivity for sustainable water conservation and saving. Agric. Water Manag. 2012, 108, 39–51. [Google Scholar] [CrossRef]
  64. Darouich, H.; Cameira, M.R.; Gonçalves, J.M.; Paredes, P.; Pereira, L.S. Comparing sprinkler and surface irrigation for wheat using multi-criteria analysis: Water saving vs. economic returns. Water 2017, 9, 50. [Google Scholar] [CrossRef]
  65. Zheng, H.; Shi, H.; Zhu, M.; Liu, H.; Gonçalves, J.M. Estimation of infiltration parameters for border irrigation based on SIRMOD method and modelling of border irrigation. Trans. Chin. Soc. Agric. Eng. 2009, 25, 29–34. (In Chinese) [Google Scholar]
  66. Strelkoff, T.S.; Clemmens, A.J.; Bautista, E. Estimation of soil and crop hydraulic properties. J. Irrig. Drain. Eng. 2009, 135, 537–555. [Google Scholar] [CrossRef]
  67. Nie, W.; Fei, L.; Ma, X. Estimated infiltration parameters and Manning roughness in border irrigation. Irrig. Drain. 2012, 61, 231–239. [Google Scholar]
  68. Pomerol, J.C.; Barba-Romero, S. Multicriterion Decision in Management: Principles and Practice; Springer Science and Business Media: Berlin, Germany, 2000; Volume 25. [Google Scholar]
  69. Ishizaka, A.; Nemery, P. Multi-Criteria Decision Analysis: Methods and Software; Wiley: Chichester, UK, 2013. [Google Scholar]
  70. Stanimirovic, I.P.; Zlatanovic, M.L.; Petkovic, M.D. On the linear weighted sum method for multi-objective optimization. Facta Acta Univ. 2011, 26, 49–63. [Google Scholar]
  71. Yan, H.B.; Huynh, V.N.; Nakamori, Y.; Murai, T. On prioritized weighted aggregation in multi-criteria decision making. Expert Syst. Appl. 2011, 38, 812–823. [Google Scholar] [CrossRef]
  72. Clemmens, A.J.; El-Haddad, Z.; Strelkoff, T.S. Assessing the potential for modern surface irrigation in Egypt. Trans. ASAE 1999, 42, 995–1008. [Google Scholar] [CrossRef]
  73. Playán, E.; Mateos, L. Modernization and optimization of irrigation systems to increase water productivity. Agric. Water Manag. 2006, 80, 100–116. [Google Scholar] [CrossRef]
  74. Clemmens, A.J.; Allen, R.G.; Burt, C.M. Technical concepts related to conservation of irrigation and rainwater in agricultural systems. Water Resour. Res. 2008, 44, W00E03. [Google Scholar] [CrossRef]
  75. Playán, E.; Faci, J.M.; Serreta, A. Modeling microtopography in basin irrigation. J. Irrig. Drain Eng. 1996, 122, 339–347. [Google Scholar] [CrossRef]
  76. González, C.; Cervera, L.; Moret-Fernández, D. Basin irrigation design with longitudinal slope. Agric. Water Manag. 2011, 98, 1516–1522. [Google Scholar] [CrossRef]
Figure 1. Map of the Hetao Irrigation District with representation of: (a) main irrigation drainage canals, (b) cropped areas, in green; (c) location of the Dengkou experimental area (Wu et al. [18]).
Figure 1. Map of the Hetao Irrigation District with representation of: (a) main irrigation drainage canals, (b) cropped areas, in green; (c) location of the Dengkou experimental area (Wu et al. [18]).
Water 10 00067 g001
Figure 2. Monthly precipitation (Water 10 00067 i001) and daily reference evapotranspiration (Water 10 00067 i002) observed in the Dengkou experimental area during the three years of experimentation, 2010–2012.
Figure 2. Monthly precipitation (Water 10 00067 i001) and daily reference evapotranspiration (Water 10 00067 i002) observed in the Dengkou experimental area during the three years of experimentation, 2010–2012.
Water 10 00067 g002
Figure 3. Cumulative infiltration curves SC-I to SC-VI characterizing the infiltration families relative to high, medium, and low infiltration rates represented with blue, red, and violet lines, respectively.
Figure 3. Cumulative infiltration curves SC-I to SC-VI characterizing the infiltration families relative to high, medium, and low infiltration rates represented with blue, red, and violet lines, respectively.
Water 10 00067 g003
Figure 4. Structure of setting alternatives: projects (traditional, level basin LB and graded basins GB with slopes of 0.5‰ and 1.0‰), grouped for field lengths of 50, 100, and 200 m, and alternatives having different inflow rates and field widths.
Figure 4. Structure of setting alternatives: projects (traditional, level basin LB and graded basins GB with slopes of 0.5‰ and 1.0‰), grouped for field lengths of 50, 100, and 200 m, and alternatives having different inflow rates and field widths.
Water 10 00067 g004
Figure 5. Beneficial and non-beneficial water use (BWU Water 10 00067 i003 and NBWU Water 10 00067 i004, m3 ha−1) relative to summer irrigation in a medium infiltration soil and considering level basins (LB) and graded basins (GB) with slopes of 1.0‰ and 0.5‰, with precise land levelling (PL); lengths of 50, 100, and 200 m; and inflow rates S, M, and L (defined in Table 7).
Figure 5. Beneficial and non-beneficial water use (BWU Water 10 00067 i003 and NBWU Water 10 00067 i004, m3 ha−1) relative to summer irrigation in a medium infiltration soil and considering level basins (LB) and graded basins (GB) with slopes of 1.0‰ and 0.5‰, with precise land levelling (PL); lengths of 50, 100, and 200 m; and inflow rates S, M, and L (defined in Table 7).
Water 10 00067 g005
Figure 6. Water saving achievable by various design alternatives for level basins (LB) and graded basins (GB) with slopes of 1.0‰ and 0.5‰, with precise land levelling (PL); lengths of 50, 100, and 200 m; and inflow rates S, M, and L (as defined in Table 7) for a medium infiltration soil.
Figure 6. Water saving achievable by various design alternatives for level basins (LB) and graded basins (GB) with slopes of 1.0‰ and 0.5‰, with precise land levelling (PL); lengths of 50, 100, and 200 m; and inflow rates S, M, and L (as defined in Table 7) for a medium infiltration soil.
Water 10 00067 g006
Figure 7. Comparison of the utilities relative to the considered criteria attributes ELP (Water 10 00067 i005), FIC (Water 10 00067 i006), VIC (Water 10 00067 i007), EWPR (Water 10 00067 i008), IWU (Water 10 00067 i009), BWUF (Water 10 00067 i010), IWP (Water 10 00067 i011), and of the global utilities (Water 10 00067 i012) for the best project alternatives and the traditional one when applied to a medium infiltration soil.
Figure 7. Comparison of the utilities relative to the considered criteria attributes ELP (Water 10 00067 i005), FIC (Water 10 00067 i006), VIC (Water 10 00067 i007), EWPR (Water 10 00067 i008), IWU (Water 10 00067 i009), BWUF (Water 10 00067 i010), IWP (Water 10 00067 i011), and of the global utilities (Water 10 00067 i012) for the best project alternatives and the traditional one when applied to a medium infiltration soil.
Water 10 00067 g007
Figure 8. Evaluation of alternatives considering the joint effects of the economic and water saving utilities on the global utility of the best project alternatives for a medium infiltration soil and for medium inflow rates. Isolines of the global utility 0.60, 0.80, and 0.90 are included.
Figure 8. Evaluation of alternatives considering the joint effects of the economic and water saving utilities on the global utility of the best project alternatives for a medium infiltration soil and for medium inflow rates. Isolines of the global utility 0.60, 0.80, and 0.90 are included.
Water 10 00067 g008
Table 1. Main soil textural and hydraulic properties of the soil in Dengkou (from [14]).
Table 1. Main soil textural and hydraulic properties of the soil in Dengkou (from [14]).
Depth (m)Particle Size Distribution (%)Soil Water Content (cm3 cm−3)
ClaySiltSandAt SaturationAt Field CapacityAt Wilting Point
0–0.2023.076.70.30.47 ± 0.010.36 ± 0.010.16 ± 0.01
0.20–0.4012.181.66.30.48 ± 0.010.37 ± 0.010.16 ± 0.01
0.40–0.6014.684.21.20.49 ± 0.010.37 ± 0.010.16 ± 0.01
0.60–0.8035.164.90.00.50 ± 0.020.39 ± 0.020.17 ± 0.02
0.80–1.0042.557.50.00.52 ± 0.020.41 ± 0.020.18 ± 0.02
Table 2. Field sizes and inflow discharges observed in Dengkou.
Table 2. Field sizes and inflow discharges observed in Dengkou.
Field Sizes
Length × Width (m)
Field Area (ha)Inflow Discharge (Ls−1)Field Sizes Occurrence in the Area (%)
50 × 100.0510 ± 210
50 × 300.1515 ± 330
65 × 200.3020 ± 420
65 × 400.6025 ± 510
100 × 250.2515 ± 310
100 × 500.5025 ± 520
Table 3. Water use components relative to current and improved wheat irrigation schedules (from [16]).
Table 3. Water use components relative to current and improved wheat irrigation schedules (from [16]).
Irrigation SchedulesNumber Irrigation EventsNet Target Irrigation Depth (mm)Season Net Irrigation (mm)Autumn Irrigation (mm)Effective Rainfall (mm)ETc act (mm)Tc act (mm)Yield (kg ha−1)
Present395285250606295685880
Improved3100300230606445746000
Notes: ETc act—actual crop evapotranspiration; Tc act—actual crop transpiration.
Table 4. Parameters used in the water-yield function.
Table 4. Parameters used in the water-yield function.
Wa/Wmax0.50.751.01.52.0
Ya/Ymax0.400.701.00.950.90
Table 5. DU and BWUF obtained from observations in traditional and precise levelled basins for various irrigation events and their potential values (from Miao et al. [13]).
Table 5. DU and BWUF obtained from observations in traditional and precise levelled basins for various irrigation events and their potential values (from Miao et al. [13]).
Irrigation EventDU (%)BWUF (%)
TraditionalImproved ObservedImproved PotentialTraditionalImproved ObservedImproved Potential
1st609294586992
2nd679090545386
3rd649191597489
Table 6. Economic and labour input data for wheat basin irrigation.
Table 6. Economic and labour input data for wheat basin irrigation.
TypeDescriptionValueUnits
Distribution equipmentNon-lined canal cost (with field gate)7 ± 1Yuan m−1
Irrigation waterVolumetric water cost0.05 ± 0.01Yuan m−3
Fixed cost per unit area700 ± 100Yuan ha−1
Spring wheat cropYield price3.0 ± 0.5Yuan kg−1
Maximum yield6000kg ha−1
Production cost (excluding irrigation costs)7.25 ± 0.2103 Yuan ha−1
LabourLabour cost11 ± 3Yuan h−1
Life-timeBuilding a non-lined distribution canal1year
Labour requirementsOperation of the non-lined canalt = tcomin
Installing the non-lined canal40min 100 m−1
Table 7. Basin sizes and related unit inflow rates for modernized design alternatives.
Table 7. Basin sizes and related unit inflow rates for modernized design alternatives.
Inflow Rate IdentifierLength 50 mLength 100 mLength 200 m
Width (m)Inflow Rate (L s−1 m−1)Width (m)Inflow Rate (L s−1 m−1)Width (m)Inflow Rate (L s−1 m−1)
(S)mall300.5301.0302.0
(M)edium151.0152.0153.0
(L)arge7.52.07.53.07.54.0
Table 8. Criteria attributes, utility functions, and weights.
Table 8. Criteria attributes, utility functions, and weights.
Decision Criteria AttributesSymbolUnitsWeights (λj)Utility Parameters (Equation (5))
αβ
Economic Productivity and Costs
Economic land productivityELPYuan ha−10.201.25 × 10−4−1.25
Fixed irrigation costsFICYuan ha−10.10−2.50 × 10−41
Variable irrigation costsVICYuan ha−10.10−2.50 × 10−41
Economic water productivity ratioEWPRratio0.100.251
Water Saving and Environment
Total irrigation water useIWUm3 ha−10.20−3.17 × 10−41.95
Beneficial water use fractionBWUF 0.151.818−0.727
Irrigation water productivityIWPkg m−30.15−3.17 × 10−41.95
Table 9. Irrigation performance and management indicators for various basin lengths, longitudinal slopes, and unit inflow rates in the case of medium infiltration soils.
Table 9. Irrigation performance and management indicators for various basin lengths, longitudinal slopes, and unit inflow rates in the case of medium infiltration soils.
Length (m)Slope (‰)Inflow Rate (1)Project AlternativesBWUF (%)DU (%)D (mm)DP (mm)tadv (min)tco (min)IWP (2) (kg m−3)
50unevenSmallTraditional-S60.361.115762882681.12
MediumTraditional-M60.363.415762681341.12
LargeTraditional-L60.267.01576248671.12
0SmallLB-PL-50-S90.190.011111961861.80
MediumLB-PL-50-M90.191.51111152931.79
LargeLB-PL-50-L90.093.11111131471.79
0.5SmallGB-0.5-PL-50-S90.193.411111881851.80
MediumGB-0.5-PL-50-M90.092.71111148931.80
LargeGB-0.5-PL-50-L89.992.51111129461.80
1.0SmallGB-1.0-PL-50-S84.485.811818831971.72
MediumGB-1.0-PL-50-M83.685.611920451001.69
LargeGB-1.0-PL-50-L83.185.31202028501.66
1000SmallLB-PL-100-S90.193.3111111361861.79
MediumLB-PL-100-M90.092.91111177931.79
LargeLB-PL-100-L90.192.71111160621.94
0.5SmallGB-0.5-PL-100-S85.187.0117171211951.75
MediumGB-0.5-PL-100-M83.986.11191971991.70
LargeGB-0.5-PL-100-L84.085.51191954661.69
1.0SmallGB-1.0-PL-100-S65.170.5153531112551.35
MediumGB-1.0-PL-100-M70.775.114141661181.39
LargeGB-1.0-PL-100-L70.175.11424350791.37
2000SmallLB-PL-200-S90.193.0111111981861.77
MediumLB-PL-200-M90.193.0111111981241.80
LargeLB-PL-200-L90.093.911111118931.80
0.5SmallGB-0.05-PL-200-S72.376.4138381712301.47
MediumGB-0.05-PL-200-M71.775.8139391281541.42
LargeGB0.05-PL-200-L70.775.6141411051181.38
1.0SmallGB-0.10-PL-200-S58.358.3171721562851.15
MediumGB-0.10-PL-200-M46.555.32141151172380.77
LargeGB-0.10-PL-200-L51.159.719595971630.83
Notes: BWUF—beneficial water use fraction; DU—distribution uniformity, gross irrigation depths; DP—deep percolation; tadv—advance time; tco—cut-off time; IWP—irrigation water productivity; LB and GB—level and graded basins; PL—precision land levelling; (1) inflow rates defined in Table 7; (2) IWP computed for irrigation water use during the crop season.
Table 10. Gross irrigation water use (IWU, m3 ha−1) during the crop season for several projects with medium inflow rates as influenced by soil infiltration—high, medium, and low (defined in Figure 3).
Table 10. Gross irrigation water use (IWU, m3 ha−1) during the crop season for several projects with medium inflow rates as influenced by soil infiltration—high, medium, and low (defined in Figure 3).
ProjectsIWU (m3 ha−1) for Various Infiltration Rate Families
HighMediumLow
LB-PL-50-M343033603360
GB-0.5-PL-50-M341033403330
GB-1.0-PL-50-M344035503580
LB-PL-100-M353033503350
GB-0.5-PL-100-M370035203560
GB-1.0-PL-100-M401041804160
LB-PL-200-M456033303340
GB-0.5-PL-200-M467041304160
Table 11. Irrigation costs of various design alternatives and their cost components compared with yields, economic land productivity (ELP), and economic water productivity ratio (EWPR) of several projects for a medium infiltration soil and assuming medium inflow rates.
Table 11. Irrigation costs of various design alternatives and their cost components compared with yields, economic land productivity (ELP), and economic water productivity ratio (EWPR) of several projects for a medium infiltration soil and assuming medium inflow rates.
Design AlternativesComponents of the Irrigation Costs (Yuan ha−1)Yield (kg ha−1)ELP (Yuan ha−1)EWPR
Land LevellingSupply SystemWaterLabourTotal
Traditional-M350200106713352952544716,3425.54
LB-PL-50-M11002009839323215600018,0005.60
GB-0.5-PL-50-M11002009829253207600018,0005.61
GB-1.0-PL-50-M11002009939843277598517,9565.48
LB-PL-100-M11001009825552737600018,0006.58
GB-0.5-PL-100-M11001009915832774598917,9676.48
GB-1.0-PL-100-M110010010246912915582017,4615.99
LB-PL-200-M1100509822762408600018,0007.47
GB-0.5-PL-200-M11005010213412512585017,5496.99
GB-1.0-PL-200-M11005011064792734449413,4834.93
Note: water and labour costs include summer and autumn irrigation.
Table 12. Impacts of increasing the total irrigation cost on the ranking of design alternatives determined by the global utilities Uglob considering an application to medium infiltration soils.
Table 12. Impacts of increasing the total irrigation cost on the ranking of design alternatives determined by the global utilities Uglob considering an application to medium infiltration soils.
Design AlternativesCurrent Total Irrigation CostCurrent Total Irrigation Cost Increased by 20%Current Total Irrigation Cost Increased by 50%
UECUglobRankUECUglobRankUECUglobRank
LB-PL-200-M0.860.8710.830.8510.640.769
LB-PL-200-L0.860.8720.830.8520.640.7510
LB-PL-200-S0.860.8530.830.8430.640.768
LB-PL-100-L0.810.8540.770.8340.720.815
LB-PL-100-M0.800.8450.760.8250.710.7512
LB-PL-100-S0.800.8360.760.8160.710.7515
GB-0.5-PL-100-S0.800.8270.760.8070.730.841
GB-0.5-PL-50-L0.740.8080.690.7880.790.824
GB-0.5-PL-50-M0.740.8090.690.7890.790.832
GB-0.5-PL-50-S0.740.80100.690.78100.790.833
LB-PL-50-S0.740.80110.690.78110.730.6321
LB-PL-50-L0.740.80120.690.78120.750.6819
LB-PL-50-M0.740.80130.690.78130.740.6520
GB-0.5-PL-100-M0.800.79140.760.77140.720.806
GB-0.5-PL-100-L0.800.79150.750.77150.720.797
Table 13. Changes in ranking of the first 15 ranked design alternatives for a medium infiltration soil when priority scenarios relative to water saving and to farm economic results are modified. Some LB and GB alternatives are highlighted for easily observing changes in ranking when priorities are modified.
Table 13. Changes in ranking of the first 15 ranked design alternatives for a medium infiltration soil when priority scenarios relative to water saving and to farm economic results are modified. Some LB and GB alternatives are highlighted for easily observing changes in ranking when priorities are modified.
RankLarge Priority for Water SavingSmall Priority for Water SavingSmall Priority for Economic IssuesLarge Priority for Economic Issues
Weights 20%-80%Weights 40%-60%Weights 60%-40%Weights 80%-20%
1LB-PL-100-LLB-PL-200-MLB-PL-200-MLB-PL-200-M
2LB-PL-200-MLB-PL-200-LLB-PL-200-LLB-PL-200-L
3LB-PL-200-LLB-PL-100-LLB-PL-200-SLB-PL-200-S
4LB-PL-100-MLB-PL-200-SLB-PL-100-LLB-PL-100-L
5LB-PL-100-SLB-PL-100-MLB-PL-100-MLB-PL-100-M
6LB-PL-200-SLB-PL-100-SLB-PL-100-SLB-PL-100-S
7GB-0.5-PL-50-LGB-0.5-PL-100-SGB-0.5-PL-100-SGB-0.5-PL-100-S
8GB-0.5-PL-50-MGB-0.5-PL-50-LGB-0.5-PL-100-MGB-0.5-PL-100-M
9GB-0.5-PL-50-SGB-0.5-PL-50-MGB-0.5-PL-100-LGB-0.5-PL-100-L
10LB-PL-50-SGB-0.5-PL-50-SGB-0.5-PL-50-LGB-0.5-PL-200-S
11LB-PL-50-LLB-PL-50-SGB-0.5-PL-50-MGB-0.5-PL-50-L
12LB-PL-50-MLB-PL-50-LGB-0.5-PL-50-SGB-0.5-PL-50-M
13GB-0.5-PL-100-SLB-PL-50-MLB-PL-50-SGB-0.5-PL-50-S
14GB-0.5-PL-100-MGB-0.5-PL-100-MLB-PL-50-LLB-PL-50-S
15GB-1.0-PL-50-SGB-0.5-PL-100-LLB-PL-50-MLB-PL-50-L

Share and Cite

MDPI and ACS Style

Miao, Q.; Shi, H.; Gonçalves, J.M.; Pereira, L.S. Basin Irrigation Design with Multi-Criteria Analysis Focusing on Water Saving and Economic Returns: Application to Wheat in Hetao, Yellow River Basin. Water 2018, 10, 67. https://doi.org/10.3390/w10010067

AMA Style

Miao Q, Shi H, Gonçalves JM, Pereira LS. Basin Irrigation Design with Multi-Criteria Analysis Focusing on Water Saving and Economic Returns: Application to Wheat in Hetao, Yellow River Basin. Water. 2018; 10(1):67. https://doi.org/10.3390/w10010067

Chicago/Turabian Style

Miao, Qingfeng, Haibin Shi, José M. Gonçalves, and Luis S. Pereira. 2018. "Basin Irrigation Design with Multi-Criteria Analysis Focusing on Water Saving and Economic Returns: Application to Wheat in Hetao, Yellow River Basin" Water 10, no. 1: 67. https://doi.org/10.3390/w10010067

APA Style

Miao, Q., Shi, H., Gonçalves, J. M., & Pereira, L. S. (2018). Basin Irrigation Design with Multi-Criteria Analysis Focusing on Water Saving and Economic Returns: Application to Wheat in Hetao, Yellow River Basin. Water, 10(1), 67. https://doi.org/10.3390/w10010067

Note that from the first issue of 2016, this journal uses article numbers instead of page numbers. See further details here.

Article Metrics

Back to TopTop