Assessing the Ecological Relevance of Organic Discharge Limits for Constructed Wetlands by Means of a Model-Based Analysis
Abstract
:1. Introduction
2. Materials and Methods
2.1. Study Area and Data Selection
2.2. Data Exploration
2.3. Multivariate and Probability Linear Models
3. Results
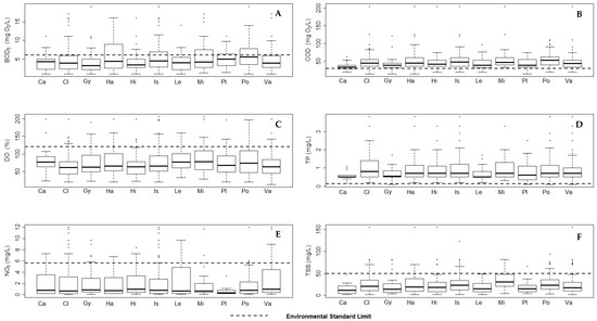
3.1. Data Exploration
3.2. MMIF and Organic Pollution Sensitive Taxa Response towards Physico-Chemical Variables
3.3. Evaluation of the Presence-Absence of Pollution Indicator Taxa
4. Discussion
4.1. Important Criteria to Set Appropriate Environmental and Discharge Standard Limits
4.2. Response of the MMIF to Physico-Chemical Variables by Means of a Multivariate Linear Model
4.3. Evaluation of the Presence-Absence of Pollution Indicator Taxa
5. Conclusions
Acknowledgments
Author Contributions
Conflicts of Interest
Appendix A
| Industry | Variable | |
|---|---|---|
| BOD | COD | |
| Food industry | ||
| Potato production | 25 mgO2/L | 200 mgO2/L |
| Beer and beverages industries | 25 mgO2/L | 200 mgO2/L |
| Gelatine Industry | 100 mgO2/L | 600 mgO2/L |
| Canned fruits and vegetables industries | 50 mgO2/L | 300 mgO2/L |
| Fertilizer production plants | ||
| a) Phosphate and superphosphate fertilizers, phosphoric acids and technical phosphates | Discharge into brackish surface water | |
| 25 mgO2/L | 450 mgO2/L | |
| Discharge into fresh surface water | ||
| 60 mgO2/L | 300 mgO2/L | |
| b) Nitrogen fertilizers | 50 mgO2/L | 160 mgO2/L |
| c) Fertilizers compounds | 25 mgO2/L | 150 mgO2/L |
| Manure and manure processing plants | ||
| a) Large scale installations (>60.000 ton/year) for piggery manure | 25 mg O2/L | 125 mgO2/L |
| b) All size installations for cattle production | ||
| c) Slaughterhouses | ||
| Sugar factories, juice processing raspberries and beet industries | ||
| First period Mid-September–Mid-January | 85 mgO2/L | 200 mgO2/L |
| Second period March–End May | 180 mgO2/L | 450 mgO2/L |
| Third period June–September | 30 mgO2/L | |
| Variable | Units | Test Indicator | Environmental Limit |
|---|---|---|---|
| EC (Fresh water) | μS/cm | 90–percentile | 1000 |
| EC (Brackish water) | μS/cm | Summer middle year average | 150,000 |
| pH (Fresh water) | pH units | Minimum–maximum | 6.5–8.5 |
| pH (Brackish water) | pH units | Minimum–maximum | 7.0–9.0 |
| Dissolved Oxygen (DO) | mgO2/L | 10–percentile | 6 |
| Dissolved Oxygen (DO) | % | Maximum | 120 |
| Total Phosphorous (TP) | mgP/L | Summer middle year average | 0.14 |
| Total Nitrogen (TN) | mgN/L | Summer middle year average | 4 |
| Nitrate (NO3) | mgN/L | 90–percentile | 5.65 |
| Total Suspended Solids (TSS) | mg/L | 90–percentile | 50 |
| Chemical Oxygen Demand (COD) | mgO2/L | 90–percentile | 30 |
| Biological Oxygen Demand (BOD5) | mgO2/L | 90–percentile | 6 |
| Variable | Units | Discharge Standard Limit |
|---|---|---|
| EC | μS/cm | 1000 |
| pH | pH units | 6.5–8.5 |
| Total Phosphorous (TP) | mgP/L | 2 |
| Total Nitrogen (TN) | mgN/L | 15 |
| Total Suspended Solids (TSS) | mg/L | 33 |
| Chemical Oxygen Demand (COD) | mgO2/L | 125 |
| Biological Oxygen Demand (BOD5) | mgO2/L | 25 |
| Dissolved Oxygen (DO) | mgO2/L | 6 |
| Taxa | Saprobity | Tolerance Score |
|---|---|---|
| Anisus | β-mesosaprobic | 4 |
| Armiger | β-mesosaprobic | 4 |
| Asellidae | α-mesosaprobic | 4 |
| Bithynia | β-mesosaprobic | 5 |
| Caenis | β-mesosaprobic | 6 |
| Chirnomidae-non-thummi-plumosus | β-mesosaprobic α-mesosaprobic Polysaprobic | 3 |
| Chironomidae-thummi-plumosus | β-mesosaprobic mesosaprobic Polysaprobic | 2 |
| Cloeon | β-mesosaprobic | 6 |
| Dendrocoelum | β-mesosaprobic | 5 |
| Dugesia | β-mesosaprobic | 5 |
| Dytiscidae | α-mesosaprobic | 5 |
| Erpobdella | α-mesosaprobic | 3 |
| Gammaridae | β-mesosaprobic | 5 |
| Glossiphonia | β-mesosaprobic | 4 |
| Gyraulus | Oligosaprobic β-mesosaprobic | 6 |
| Haliplidae | β-mesosaprobic | 6 |
| Helobdella | α-mesosaprobic | 4 |
| Hemiclepsis | β-mesosaprobic | 4 |
| Hippeutis | Oligosaprobic β-mesosaprobic | 6 |
| Hydracarina | Oligosaprobic | 5 |
| Ischnura | β-mesosaprobic | 6 |
| Leptoceridae | β-mesosaprobic α-mesosaprobic | 8 |
| Lymnaea | β-mesosaprobic | 5 |
| Micronecta | Oligosaprobic β-mesosaprobic | 6 |
| Naididae | β-mesosaprobic α-mesosaprobic | 5 |
| Notonecta | β-mesosaprobic | 5 |
| Palaemonidae | 5 | |
| Physa | β-mesosaprobic | 5 |
| Physella | α-mesosaprobic | 3 |
| Piscicola | β-mesosaprobic | 5 |
| Pisidium | Oligosaprobic | 4 |
| Planorbis | β-mesosaprobic | 6 |
| Potamopyrgus | β-mesosaprobic α-mesosaprobic | 6 |
| Sigara | Oligosaprobic β-mesosaprobic | 5 |
| Sphaerium | β-mesosaprobic | 4 |
| Theromyzon | β-mesosaprobic | 4 |
| Tubificidae | α-mesosaprobic | 1 |
| Valvata | β-mesosaprobic | 6 |
References
- Flanders Environment Agency (VMM). Midterm Review of the 4th Action Programme of Flanders for the Nitrates Directive Introduction; Flanders Environment Agency (VMM): Flanders, Belgium, 2013.
- Allan, I.J.; Vrana, B.; Greenwood, R.; Mills, G.A.; Roig, B.; Gonzalez, C. A “toolbox” for biological and chemical monitoring requirements for the European Union’s Water Framework Directive. Talanta 2006, 69, 302–322. [Google Scholar] [CrossRef] [PubMed]
- Donoso, N.; Boets, P.; Michels, E.; Goethals, P.L.M.; Meers, E. Environmental Impact Assessment (EIA) of Effluents from Constructed Wetlands on Water Quality of Receiving Watercourses. Water Air Soil Pollut. 2015, 226. [Google Scholar] [CrossRef]
- Gabriels, W.; Lock, K.; De Pauw, N.; Goethals, P.L.M. Multimetric Macroinvertebrate Index Flanders (MMIF) for biological assessment of rivers and lakes in Flanders (Belgium). Limnologica 2010, 40, 199–207. [Google Scholar] [CrossRef]
- Verdonschot, R.C.M.; Keizer-Vlek, H.E.; Verdonschot, P.F.M. Development of a multimetric index based on macroinvertebrates for drainage ditch networks in agricultural areas. Ecol. Indic. 2012, 13, 232–242. [Google Scholar] [CrossRef]
- Donoso, N.; Gobeyn, S.; Boets, P.; Goethals, P.L.M.; De Wilde, D.; Meers, E. Assessing the Integration of Wetlands along Small European Waterways to Address Diffuse Nitrate Pollution. Water 2017, 9, 369. [Google Scholar] [CrossRef]
- Meers, E.; Tack, F.M.G.; Tolpe, I.; Michels, E. Application of a Full-scale Constructed Wetland for Tertiary Treatment of Piggery Manure: Monitoring Results. Water Air Soil Pollut. 2008, 193, 15–24. [Google Scholar] [CrossRef]
- Boets, P.; Michels, E.; Meers, E.; Lock, K.; Tack, F.M.G.; Goethals, P.L.M. Integrated Constructed Wetlands (ICW): Ecological Development in Constructed Wetlands for Manure Treatment. Wetlands 2011, 31, 763–771. [Google Scholar] [CrossRef]
- Saeed, T.; Sun, G. A review on nitrogen and organics removal mechanisms in subsurface flow constructed wetlands: Dependency on environmental parameters, operating conditions and supporting media. J. Environ. Manag. 2012, 112, 429–448. [Google Scholar] [CrossRef] [PubMed]
- Meers, E.; Rousseau, D.P.L.; Blomme, N.; Lesage, E.; Du Laing, G.; Tack, F.M.G.; Verloo, M.G. Tertiary treatment of the liquid fraction of pig manure with Phragmites australis. Water Air Soil Pollut. 2005, 160, 15–26. [Google Scholar] [CrossRef]
- Rousseau, D.P.; Vanrolleghem, P.A.; De Pauw, N. Constructed wetlands in Flanders: A performance analysis. Ecol. Eng. 2004, 23, 151–163. [Google Scholar] [CrossRef]
- Van Den Broeck, M.; Waterkeyn, A.; Rhazi, L.; Grillas, P.; Brendonck, L. Assessing the ecological integrity of endorheic wetlands, with focus on Mediterranean temporary ponds. Ecol. Indic. 2015, 54, 1–11. [Google Scholar] [CrossRef]
- Boeuf, B.; Fritsch, O. Studying the implementation of the water framework directive in Europe: A meta-analysis of 89 journal articles. Ecol. Soc. 2016, 21. [Google Scholar] [CrossRef]
- Tachet, H.; Richoux, P.; Bournaud, M.; Usseglio-Polatera, P. Invertébrés d’eau Douce. Systématique, Biologie, Ecologiele, 1st ed.; CNRS: Paris, France, 2000. [Google Scholar]
- Flanders Environment Agency (VMM). Nutrients in Surface Water in Agricultural Area, Results MAP Measurement Network 2014-2015; Flanders Environment Agency (VMM): Flanders, Belgium, 2015. (In Dutch)
- Vlaamse Milieumaatschappij Geoviews Maps. Available online: http://geoloket.vmm.be/Geoviews/map.phtml (accessed on 28 August 2017).
- VITO EMIS (Energie-en Milieu-Informatiesysteem voor het Vlaamse Gewest). Available online: https://emis.vito.be/en/wac-2016 (accessed on 27 June 2017).
- Flemish Institute for Technological Research (VITO). Bepaling van de Elektrische Geleidbaarheid. Available online: https://esites.vito.be/sites/reflabos/2016/Online documenten/WAC_III_A_004.pdf (accessed on 9 August 2017).
- Flemish Institute for Technological Research (VITO). Bepaling van de pH. Available online: https://esites.vito.be/sites/reflabos/2016/Online documenten/WAC_III_A_005.pdf (accessed on 12 September 2017).
- Flemish Institute for Technological Research (VITO). Bepaling van Opgeloste Zuurstof. Available online: https://esites.vito.be/sites/reflabos/2016/Online documenten/WAC_III_A_008.pdf (accessed on 10 September 2017).
- Flemish Institute for Technological Research (VITO). Bepaling van Opgeloste Anionen Door Vloeistofchromatografie. Bepaling van Bromide, Chloride, Fluoride, Nitraat, Nitriet, Orthofosfaat en Sulfaat. Available online: https://esites.vito.be/sites/reflabos/2016/Online documenten/WAC_III_C_001.pdf (accessed on 13 September 2017).
- Flemish Institute for Technological Research (VITO). Bepaling Afmeting Zwevende Stoffen. Available online: https://esites.vito.be/sites/reflabos/2013/Online documenten/WAC_III_D_003.pdf (accessed on 15 December 2017).
- Flemish Institute for Technological Research (VITO). Bepaling van het Biochemisch Zuurstofverbruik (BZV) na 5 Dagen. Available online: https://esites.vito.be/sites/reflabos/2016/Online documenten/WAC_III_D_010.pdf (accessed on 15 October 2017).
- Flemish Institute for Technological Research (VITO). Bepaling van het Chemisch Zuurstofverbruik (CZV). Available online: https://esites.vito.be/sites/reflabos/2016/Online documenten/WAC_III_D_020.pdf (accessed on 8 August 2017).
- Flemish Institute for Technological Research (VITO). Bepaling van Kjeldahl-Stikstof. Methode na Mineralisatie Met Selenium. Available online: https://esites.vito.be/sites/reflabos/2016/Online documenten/WAC_III_D_030.pdf (accessed on 10 October 2017).
- Flemish Institute for Technological Research (VITO). Methoden voor de Bepaling van Kationen. Available online: https://esites.vito.be/sites/reflabos/2016/Online documenten/WAC_III_E.pdf (accessed on 10 October 2017).
- Flemish Institute for Technological Research (VITO). MMIF Berekening op Basis van op het veld Verzamelde Macro-Invertebraten. Available online: https://esites.vito.be/sites/reflabos/2016/Online documenten/WAC_V_C_002.pdf (accessed on 7 August 2017).
- Lock, K.; Goethals, P.L.M. Predicting the occurrence of stoneflies (Plecoptera) on the basis of water characteristics, river morphology and land use. J. Hydroinform. 2014, 16, 812–821. [Google Scholar] [CrossRef]
- Auvinen, H.; Du Laing, G.; Meers, E.; Rousseau, D.; Vymazal, J. Constructed wetlands treating municipal and agricultural wastewater: An overview for Flanders, Belgium. In Natural and Constructed Wetlands: Nutrients, Heavy Metals and Energy Cycling and Flow; Vymazal, J., Ed.; Springer: Cham, Switzerland, 2016; pp. 179–207. [Google Scholar]
- MACHEREY-NAGEL GmbH & Co. KG NANOCOLOR COD 160 Chemical Oxygen Dmand. Available online: ftp://ftp.mn-net.com/english/Instruction_leaflets/NANOCOLOR/985026en.pdf (accessed on 18 May 2017).
- Lee, J.; Lee, S.; Yu, S.; Rhew, D. Relationships between water quality parameters in rivers and lakes: BOD5, COD, NBOPs and TOC. Environ. Monit. Assess. 2016, 188, 252. [Google Scholar] [CrossRef] [PubMed]
- Gwaski, P.A.; Hati, S.S.; Ndahi, N.P.; Ogugbuaja, V.O. Modeling Parameters of Oxygen Demand in the Aquatic Environment of Lake Chad for Depletion Estimation. ARPN J. Sci. Technol. 2013, 3, 116–123. [Google Scholar]
- Zaher, K.; Hammam, G. Correlation between Biochemical Oxygen Demand and Chemical Oxygen Demand for Various Wastewater Treatment Plants in Egypt to Obtain the Biodegradability Indices. Int. J. Sci. Basic Appl. Res. 2014, 13, 42–48. [Google Scholar]
- Araújo, M.B.; Guisan, A. Five (or so) challenges for species distribution modelling. J. Biogeogr. 2006, 33, 1677–1688. [Google Scholar] [CrossRef]
- May, R.; Dandy, G.; Maier, H. Review of Input Variable Selection Methods for Artificial Neural Networks. In Artificial Neural Networks—Methodological Advances and Biomedical Applications; InTech: Vienna, Austria, 2011. [Google Scholar]
- Angrist, J.D.; Pischke, J.-S. Mostly Harmless Econometrics: An Empiricist’s Companion; Princeton University Press: Princeton, NJ, USA, 2008. [Google Scholar]
- Mouton, A.M.; De Baets, B.; Goethals, P.L.M. Ecological relevance of performance criteria for species distribution models. Ecol. Model. 2010, 221, 1995–2002. [Google Scholar] [CrossRef]
- Gobeyn, S.; Volk, M.; Dominguez-Granda, L.; Goethals, P.L.M. Input variable selection with a simple genetic algorithm for conceptual species distribution models: A case study of river pollution in Ecuador. Environ. Model. Softw. 2017, 92, 269–316. [Google Scholar] [CrossRef]
- Fan, J.; Wang, W.; Zhang, B.; Guo, Y.; Ngo, H.H.; Guo, W.; Zhang, J.; Wu, H. Nitrogen removal in intermittently aerated vertical flow constructed wetlands: Impact of influent COD/N ratios. Bioresour. Technol. 2013, 143, 461–466. [Google Scholar] [CrossRef] [PubMed]
- Mancilla, R.A.; Zúñiga, J.; Salgado, E.; Schiappacasse, M.C.; Chamy, R. Constructed wetlands for domestic wastewater treatment in a Mediterranean climate region in Chile. Electron. J. Biotechnol. 2013, 16. [Google Scholar] [CrossRef]
- Manel, S.; Williams, H.C.; Ormerod, S.J. Evaluating presence absence models in ecology; the need to count for prevalence. J. Appl. Ecol. 2001, 38, 921–931. [Google Scholar] [CrossRef]
- De Cooman, W.; Theuns, I.; Vos, G.; Pelicaen, J.; Maeckelberghe, H.; Gabriels, W.; Timmermans, G.; Kestens, S.; Barrez, I.; Van den Broeck, S.; et al. Milieurapport Vlaanderen, Achtergronddocument 2010, Kwaliteit Oppervlaktewater; Flanders Environment Agency (VMM): Flanders, Belgium, 2010. (In Dutch)
- UCLA: Statistical Consulting Group Probit Regression. Available online: https://stats.idre.ucla.edu/stata/output/probit-regression/ (accessed on 6 November 2017).
- Heatherly, T.; Whiles, M.R.; Royer, T.V.; David, M.B. Relationships between water quality, habitat quality and macroinvertebrate assemblages in Illinois streams. J. Environ. Qual. 2007, 36, 1653–1660. [Google Scholar] [CrossRef] [PubMed]
- Yazdian, H.; Jaafarzadeh, N.; Zahraie, B. Relationship between benthic macroinvertebrate bio-indices and physicochemical parameters of water: A tool for water resources managers. J. Environ. Heal. Sci. Eng. 2014, 12, 30. [Google Scholar] [CrossRef] [PubMed]
- Zuur, A.F.; Ieno, E.N.; Elphick, C.S. A protocol for data exploration to avoid common statistical problems. Methods Ecol. Evol. 2010, 1, 3–14. [Google Scholar] [CrossRef]
- Samudro, G.; Mangkoedihardjo, S. Review on Bod, Cod and Bod/Cod Ratio: A Triangle Zone for Toxic, Biodegradable and Stable Levels. Int. Acad. Res. 2010, 2, 235–239. [Google Scholar]
- Jouanneau, S.; Recoules, L.; Durand, M.J.; Boukabache, A.; Picot, V.; Primault, Y.; Lakel, A.; Sengelin, M.; Barillon, B.; Thouand, G. Methods for assessing biochemical oxygen demand (BOD). Water Res. 2014, 49, 62–82. [Google Scholar] [CrossRef] [PubMed]
- Nguyen, L.M. Organic matter composition, microbial biomass and microbial activity in gravel-bed constructed wetlands treating farm dairy wastewaters. Ecol. Eng. 2000, 16, 199–221. [Google Scholar] [CrossRef]
- Rizo-Patrón, V.F.; Kumar, A.; McCoy Colton, M.B.; Springer, M.; Trama, F.A. Macroinvertebrate communities as bioindicators of water quality in conventional and organic irrigated rice fields in Guanacaste, Costa Rica. Ecol. Indic. 2013, 29, 68–78. [Google Scholar] [CrossRef]
- Connolly, N.M.; Crossland, M.R.; Pearson, R.G. Effect of low dissolved oxygen on survival, emergence and drift of tropical stream macroinvertebrates. J. N. Am. Benthol. Soc. 2004, 23, 251–270. [Google Scholar] [CrossRef]



| Model Performance | Result | |||
|---|---|---|---|---|
| Number of observations | 207 | |||
| R-squared | 0.1396 | |||
| Adjusted R-squared | 0.1049 | |||
| MMIF | Coefficient Estimates | p-Value | [95% Confidence Interval] | |
| Basin | ||||
| Brugse Polders | 0.1060 | 0.002 | 0.0393 | 0.1728 |
| Yser River | 0.1097 | 0.002 | 0.0409 | 0.1785 |
| Month | ||||
| July | 0.0512 | 0.409 | −0.0709 | 0.1733 |
| June | 0.0579 | 0.263 | −0.0438 | 0.1596 |
| May | −0.0045 | 0.934 | −0.1130 | 0.1039 |
| November | 0.1230 | 0.022 | 0.0178 | 0.2283 |
| October | 0.0370 | 0.439 | −0.0572 | 0.1312 |
| September | −0.0140 | 0.790 | −0.1174 | 0.0894 |
| Constant | 0.3017 | 0.000 | 0.2046 | 0.3988 |
| Residuals | Skewness/Kurtosis Tests for Normality | |||
| Mean | 4.90 × 10−1 | Variable | Residual model | |
| Std. Dev. | 0.168 | Observations | 207 | |
| Skewness | 0.0136 | Probability (Skewness) | 0.934 | |
| Kurtosis | 2.3076 | Probability (Kurtosis) | 0.032 | |
| Chi2 | 8.00 | |||
| Probability > Chi2 | 0.0183 | |||
| Model Performance | Result | |||
|---|---|---|---|---|
| Number of observations | 183 | |||
| R-squared | 0.4183 | |||
| Adjusted R-squared | 0.3772 | |||
| MMIF | Coefficient Estimates | p-Value | [95% Confidence Interval] | |
| BOD5 | −0.0075 | 0.001 | −0.012 | −0.0030 |
| COD | 0.0037 | 0.012 | 0.0008 | 0.0066 |
| DO | 0.0027 | 0.001 | 0.0011 | 0.0043 |
| TSS | −0.0058 | 0 | −0.008 | −0.0032 |
| NH4 | −0.0191 | 0.011 | −0.034 | −0.0045 |
| EC*pH | −3.56 × 10−6 | 0 | −4.81 × 10−6 | −2.31 × 10−6 |
| BOD5*NO3 | −0.0050 | 0 | −0.0074 | −0.0026 |
| COD*DO | −3.51 × 10−5 | 0.004 | −5.86 × 10−5 | −1.16 × 10−5 |
| COD*TSS | 5.30 × 10−5 | 0.011 | 1.23 × 10−5 | 9.37 × 10−5 |
| NO3*TSS | 7.96 × 10−4 | 0 | 4.74 × 10−4 | 0.001 |
| Basin | ||||
| Brugse Polders | 0.1464 | 0.000 | 0.088 | 0.205 |
| Yser River | 0.0944 | 0.001 | 0.040 | 0.149 |
| Constant | 0.3068 | 0.019 | 0.163 | 0.451 |
| Residuals | Skewness/Kurtosis Tests for Normality | |||
| Mean | −3.05 × 10−11 | Variable | Residual model | |
| Std. Dev. | 0.1326 | Observations | 183 | |
| Skewness | −0.2726 | Probability (Skewness) | 0.1242 | |
| Kurtosis | 2.5521 | Probability (Kurtosis) | 0.1657 | |
| Chi2 | 4.34 | |||
| Probability > Chi2 | 0.1143 | |||
| Basin | (a.) Average and (b.) “Worst-Case” Physico-Chemical Concentrations Reported at Each River Basin | |||||||||
|---|---|---|---|---|---|---|---|---|---|---|
| BOD5 | COD | pH | EC | NH4 | NO3 | DO | TP | TSS | ||
| mgO2/L | mgO2/L | Units | μS/cm | mg/L | mg/L | % | mg/L | mg/L | ||
| Yser River | a. | 6.5 | 56 | 8.0 | 1641 | 0.78 | 2.56 | 77.8 | 1.2 | 33.9 |
| b. | 16 | 204 | 8.6 | 855 | 0.10 | 0.80 | 134.3 | 3.3 | 70.0 | |
| Ghent Canals | a. | 6.0 | 71.9 | 8.0 | 3077 | 0.76 | 0.68 | 70.4 | 1.6 | 53.9 |
| b. | 9.9 | 108.0 | 8.3 | 2820 | 0.3 | 0.2 | 76.1 | 2.1 | 94 | |
| Brugse Polders | a. | 5.4 | 44.5 | 8.0 | 3047 | 1.43 | 1.72 | 72.2 | 1.0 | 20.5 |
| b. | 19.1 | 91.1 | 8.7 | 5530 | 0.30 | 0.40 | 153.8 | 1.7 | 59.0 | |
| Lower Scheldt | a. | 13.9 | 74.1 | 7.7 | 2006 | 4.17 | 0.91 | 67.9 | 1.1 | 29.0 |
| b. | 129 | 216 | 7.3 | 985 | 12.8 | 0.10 | 41.0 | 4.7 | 80.0 | |
| Basin | Estimated Marginal Effect of Significant Variables on the MMIF Means | |||||||||
| BOD5 | COD | pH | EC | NH4 | NO3 | DO | TP | TSS | ||
| Yser River | a. | −0.020 | 0.0028 | - | - | −0.019 | - | 0.0007 | - | −0.0008 |
| b. | −0.011 | 0.0027 | - | - | −0.019 | - | −0.0045 | - | 0.0056 | |
| Ghent Canals | a. | −0.011 | 0.0041 | - | - | −0.019 | - | 0.0001 | - | −0.0015 |
| b. | −0.008 | 0.0060 | - | - | −0.019 | - | −0.001 | - | −0.0001 | |
| Brugse Polders | a. | −0.016 | 0.0023 | - | - | −0.019 | - | 0.0011 | - | −0.0021 |
| b. | −0.009 | 0.0014 | - | - | −0.019 | - | −0.0005 | - | −0.0007 | |
| Lower Scheldt | a. | −0.012 | 0.0029 | - | - | −0.019 | - | 0.0001 | - | −0.0012 |
| b. | −0.008 | 0.0065 | - | - | −0.019 | - | −0.0049 | - | 0.0057 | |
| Taxa | Saprobity | MMIF Tolerance Score | |
|---|---|---|---|
| Gyraulus | Oligosaprobic | <0.1 mgNH4/L >8 mgO2/L <1 mgBOD5/L | 6 |
| Hippeutis | 6 | ||
| Micronecta | 6 | ||
| Potamopyrgus | 6 | ||
| Leptoceridae | β-mesosaprobic | 0.1–0.5 mgNH4/L 6–8 mgO2/L 1–5 mgBOD5/L | 8 |
| Caenis | 6 | ||
| Cloeon | 6 | ||
| Haliplidae | 6 | ||
| Ischnura | 6 | ||
| Planorbis | 6 | ||
| Valvata | 6 | ||
| Hippeutis-Linear Probability Model | ||||
|---|---|---|---|---|
| Frequency | Absent | 143 | ||
| Present | 40 | |||
| Number of observations | 183 | |||
| R-squared | 0.243 | |||
| Root MSE | 0.203 | |||
| Presence | Coefficient Estimate | p-Value | [95% Confidence Interval] | |
| BOD5 | −0.019 | 0.002 | −0.030 | −0.007 |
| NH4 | 0.049 | 0.023 | 0.007 | 0.091 |
| TP*pH | −0.032 | 0.001 | −0.051 | −0.014 |
| EC*pH | −5.19 × 10−6 | 0.001 | −8.3 × 10−6 | −2.1 × 10−6 |
| NO3*NH4 | −0.036 | 0.003 | −0.060 | −0.012 |
| COD*TP | 0.003 | 0.001 | 0.001 | 0.004 |
| NO3*TSS | 0.001 | 0.013 | 1.6 × 10−4 | 0.001 |
| Brugse Polders | 0.381 | 0.000 | 0.223 | 0.540 |
| Yser River | 0.271 | 0.001 | 0.106 | 0.437 |
| Constant | 0.266 | 0.001 | 0.118 | 0.415 |
| Taxa | Elements of the Confusion Matrix | Criterion | ||||||
|---|---|---|---|---|---|---|---|---|
| TP | FP | FN | TN | Sn | Sp | TSS | Kappa | |
| Hippeutis | 10 | 1 | 30 | 142 | 0.25 | 0.99 | 0.24 | 0.33 |
| Leptoceridae | 1 | 0 | 23 | 159 | 0.04 | 1.00 | 0.04 | 0.07 |
| Valvata | 49 | 19 | 22 | 93 | 0.69 | 0.83 | 0.52 | 0.52 |
| Reported (a.) Average and (b.) “Worst-Case” Physico-Chemical Concentrations | ||||||||||
|---|---|---|---|---|---|---|---|---|---|---|
| Variable | BOD5 | COD | DO | NO3 | TSS | TP | pH | NH4 | EC | |
| Units | mg/L | mg/L | % | mg/L | mg/L | mg/L | units | mg/L | μS/cm | |
| Value | a. | 6.5 | 52.7 | 73.9 | 1.8 | 28.8 | 1.0 | 7.9 | 1.1 | 2256.3 |
| b. | 129 | 216 | 41 | 0.1 | 80 | 4.7 | 7.3 | 12.8 | 985 | |
| Estimated Average Marginal Effects | ||||||||||
| BOD5 | COD | DO | NO3 | TSS | TP | pH | NH4 | EC | ||
| Taxa | ||||||||||
| Hippeutis | a. | −0.019 | - | - | - | - | - | - | −0.018 | - |
| b. | −0.019 | - | - | - | - | - | - | 0.045 | - | |
| Valvata | a. | −0.042 | 0.002 | - | - | - | −0.002 | - | - | −6.4 × 10−5 |
| b. | −0.029 | 0.021 | - | - | - | 4.002 | - | - | −6.4 × 10−5 | |
© 2018 by the authors. Licensee MDPI, Basel, Switzerland. This article is an open access article distributed under the terms and conditions of the Creative Commons Attribution (CC BY) license (http://creativecommons.org/licenses/by/4.0/).
Share and Cite
Donoso, N.; Gobeyn, S.; Villa-Cox, G.; Boets, P.; Meers, E.; Goethals, P.L.M. Assessing the Ecological Relevance of Organic Discharge Limits for Constructed Wetlands by Means of a Model-Based Analysis. Water 2018, 10, 63. https://doi.org/10.3390/w10010063
Donoso N, Gobeyn S, Villa-Cox G, Boets P, Meers E, Goethals PLM. Assessing the Ecological Relevance of Organic Discharge Limits for Constructed Wetlands by Means of a Model-Based Analysis. Water. 2018; 10(1):63. https://doi.org/10.3390/w10010063
Chicago/Turabian StyleDonoso, Natalia, Sacha Gobeyn, Gonzalo Villa-Cox, Pieter Boets, Erik Meers, and Peter L. M. Goethals. 2018. "Assessing the Ecological Relevance of Organic Discharge Limits for Constructed Wetlands by Means of a Model-Based Analysis" Water 10, no. 1: 63. https://doi.org/10.3390/w10010063
APA StyleDonoso, N., Gobeyn, S., Villa-Cox, G., Boets, P., Meers, E., & Goethals, P. L. M. (2018). Assessing the Ecological Relevance of Organic Discharge Limits for Constructed Wetlands by Means of a Model-Based Analysis. Water, 10(1), 63. https://doi.org/10.3390/w10010063

