The Impacts of Taklimakan Dust Events on Chinese Urban Air Quality in 2015
Abstract
1. Introduction
2. Materials and Methods
2.1. Dust Data
2.2. Air Quality Data
2.3. Data of the Atmospheric Circulation
2.4. Definition of Dust Index
2.5. Statistical Methods
3. Results
3.1. Taklimakan Dust Events in 2015
3.2. Correlation Analysis between the Taklimakan DI and Downstream Air Quality
3.3. Transport of Taklimakan Dust
3.4. Case Study for the Influence of the Taklimakan Dust Storm Process on the Air Quality
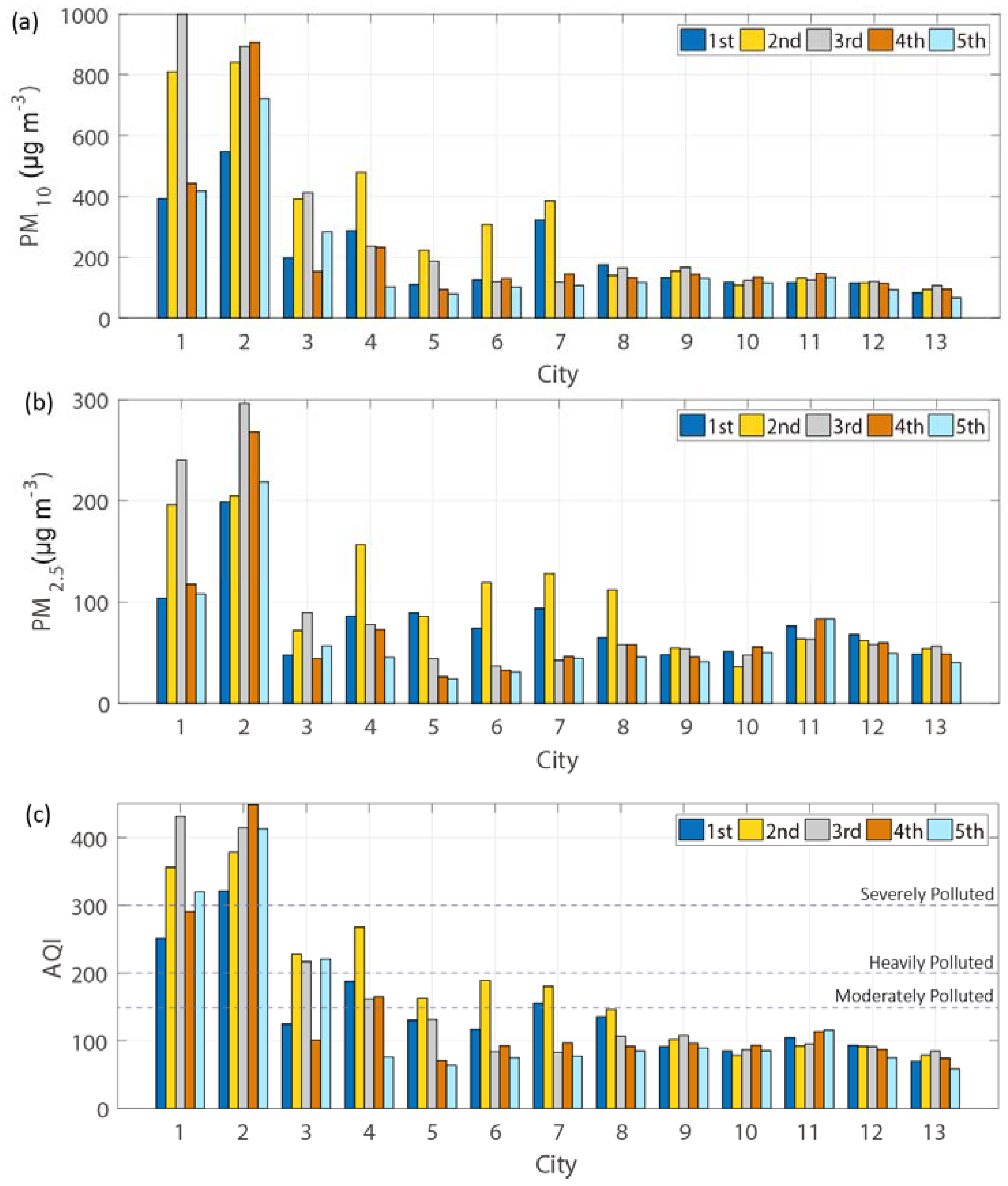
3.5. Composite Analysis of the Taklimakan Dust Effect on Chinese Air Quality
4. Conclusions
Author Contributions
Funding
Acknowledgments
Conflicts of Interest
References
- Akimoto, H. Global air quality and pollution. Science 2003, 302, 1716–1719. [Google Scholar] [CrossRef] [PubMed]
- Wang, Y.; Ying, Q.; Hu, J.; Zhang, H. Spatial and temporal variations of six criteria air pollutants in 31 provincial capital cities in China during 2013–2014. Environ. Int. 2014, 73, 413–422. [Google Scholar] [CrossRef] [PubMed]
- Xie, Y.; Zhao, B.; Zhang, L.; Luo, R. Spatiotemporal variations of PM2.5 and PM10 concentrations between 31 Chinese cities and their relationships with SO2, NO2, CO and O3. Particuology 2015, 20, 141–149. [Google Scholar] [CrossRef]
- Zhao, S.; Yu, Y.; Yin, D.; He, J.; Liu, N.; Qu, J.; Xiao, J. Annual and diurnal variations of gaseous and particulate pollutants in 31 provincial capital cities based on in situ air quality monitoring data from China National Environmental Monitoring Center. Environ. Int. 2016, 86, 92–106. [Google Scholar] [CrossRef] [PubMed]
- Chan, C.K.; Yao, X. Air pollution in mega cities in China. Atmos. Environ. 2008, 42, 1–42. [Google Scholar] [CrossRef]
- Zhao, X.J.; Zhao, P.S.; Xu, J.; Meng, W.; Pu, W.W.; Dong, F.; He, D.; Shi, Q.F. Analysis of a winter regional haze event and its formation mechanism in the North China Plain. Atmos. Chem. Phys. 2013, 13, 5685–5696. [Google Scholar] [CrossRef]
- Sun, Y.L.; Zhuang, G.S.; Wang, Z.F.; Wang, Y.; Zhang, W.J.; Tang, A.H.; Zhao, X.J.; Jia, L. Regional characteristics of spring Asian dust and its impact on aerosol chemistry over northern China. Atmos. Chem. Phys. Discuss. 2006, 6, 12825–12864. [Google Scholar] [CrossRef]
- Wang, K.; Zhang, Y.; Nenes, A.; Fountoukis, C. Implementation of dust emission and chemistry into the community multiscale air quality modeling system and initial application to an Asian dust storm episode. Atmos. Chem. Phys. 2012, 12, 10209–10237. [Google Scholar] [CrossRef]
- Goudarzi, G.; Daryanoosh, M.S.; Godini, H.; Hopke, P.K.; Sicard, P.; De Marco, A.; Rad, H.D.; Harbizadeh, A.; Jahed, F.; Mohammadi, M.J.; et al. Health risk assessment of exposure to the Middle-Eastern Dust storms in the Iranian megacity of Kermanshah. Public Health 2017, 148, 109–116. [Google Scholar] [CrossRef] [PubMed]
- Geravandi, S.; Sicard, P.; Khaniabadi, Y.O.; De Marco, A.; Ghomeishi, A.; Goudarzi, G.; Mahboubi, M.; Yari, A.R.; Dobaradaran, S.; Hassani, G.; et al. A comparative study of hospital admissions for respiratory diseases during normal and dusty days in Iran. Environ. Sci. Pollut. R. 2017, 24, 18152–18159. [Google Scholar] [CrossRef] [PubMed]
- Khaniabadi, Y.O.; Fanelli, R.; De Marco, A.; Daryanoosh, S.M.; Kloog, I.; Hopke, P.K.; Conti, G.O.; Ferrante, M.; Mohammadi, M.J.; Babaei, A.A.; et al. Hospital admissions in Iran for cardiovascular and respiratory diseases attributed to the Middle Eastern Dust storms. Environ. Sci. Pollut. R. 2017, 24, 16860–16868. [Google Scholar] [CrossRef] [PubMed]
- Krasnov, H.; Katra, I.; Koutrakis, P.; Friger, M.D. Contribution of dust storms to PM10 levels in an urban arid environment. J. Air Waste Manag. 2013, 64, 89–94. [Google Scholar] [CrossRef]
- Liu, C.M.; Young, C.Y.; Lee, Y.C. Influence of Asian dust storms on air quality in Taiwan. Sci. Total Environ. 2006, 368, 884–897. [Google Scholar] [CrossRef] [PubMed]
- Lue, Y.L.; Liu, L.Y.; Hu, X.; Wang, L.; Guo, L.L.; Gao, S.Y.; Zhang, X.X.; Tang, Y.; Qu, Z.Q.; Cao, H.W.; et al. Characteristics and provenance of dustfall during an unusual floating dust event. Atmos. Environ. 2010, 44, 3477–3484. [Google Scholar] [CrossRef]
- Goudie, A.S. Desert dust and human health disorders. Environ. Int. 2014, 63, 101–113. [Google Scholar] [CrossRef] [PubMed]
- Hong, Y.C.; Pan, X.C.; Kim, S.Y.; Park, K.; Park, E.J.; Jin, X.; Yi, S.M.; Kim, Y.H.; Park, C.H.; Song, S.; et al. Asian dust storm and pulmonary function of school children in Seoul. Sci. Total Environ. 2010, 408, 754–759. [Google Scholar] [CrossRef] [PubMed]
- Tam, W.W.; Wong, T.W.; Wong, A.H.; Hui, D.S. Effect of dust storm events on daily emergency admissions for respiratory diseases. Respirology 2012, 17, 143–148. [Google Scholar] [CrossRef] [PubMed]
- Huang, J.; Wang, T.; Wang, W.; Li, Z.; Yan, H. Climate effects of dust aerosols over East Asian arid and semiarid regions. J. Geophys. Res.-Atmos. 2014, 119, 11398–11416. [Google Scholar] [CrossRef]
- Choobari, O.A.; Zawar-Reza, P.; Sturman, A. The global distribution of mineral dust and its impacts on the climate system: A review. Atmos. Res. 2014, 138, 152–165. [Google Scholar] [CrossRef]
- Shao, Y.; Wyrwoll, K.H.; Chappell, A.; Huang, J.; Lin, Z.; McTainsh, G.H.; Mikami, M.; Tanaka, T.Y.; Wang, X.; Yoon, S. Dust cycle: An emerging core theme in earth system science. Aeolian Res. 2011, 2, 181–204. [Google Scholar] [CrossRef]
- Bristow, C.S.; Hudson-Edwards, K.A.; Chappell, A. Fertilizing the Amazon and equatorial Atlantic with west African dust. Geophys. Res. Lett. 2010, 37. [Google Scholar] [CrossRef]
- Griffin, D.W.; Kellogg, C.A.; Shinn, E.A. Dust in the wind: Long range transport of dust in the atmosphere and its implications for global public and ecosystem health. Glob. Chang. Hum. Health 2001, 2, 20–33. [Google Scholar] [CrossRef]
- Zender, C.S.; Miller, R.L.; Tegen, I. Quantifying mineral dust mass budgets: Terminology, constraints, and current estimates. Eos Trans. Am. Geophys. Union 2004, 85, 509–512. [Google Scholar] [CrossRef]
- Zhang, X.Y.; Gong, S.L.; Zhao, T.L.; Arimoto, R.; Wang, Y.Q.; Zhou, Z.J. Sources of Asian dust and role of climate change versus desertification in Asian dust emission. Geophys. Res. Lett. 2003, 30, 2272. [Google Scholar] [CrossRef]
- Zhang, X.Y.; Arimoto, R.; An, Z.S. Dust emission from chinese desert sources linked to variations in atmospheric circulation. J. Geophys. Res.-Atmos. 1997, 102, 28041–28047. [Google Scholar] [CrossRef]
- Uno, I.; Eguchi, K.; Yumimoto, K.; Takemura, T.; Shimizu, A.; Uematsu, M.; Liu, Z.; Wang, Z.; Hara, Y.; Sugimoto, N. Asian dust transported one full circuit around the globe. Nat. Geosci. 2009, 2, 557. [Google Scholar] [CrossRef]
- Song, H.; Zhang, K.; Piao, S.; Wan, S. Spatial and temporal variations of spring dust emissions in northern China over the last 30 years. Atmos. Environ. 2016, 126, 117–127. [Google Scholar] [CrossRef]
- Wang, X.; Dong, Z.; Zhang, J.; Liu, L. Modern dust storms in China: An overview. J. Arid. Environ. 2004, 58, 559–574. [Google Scholar] [CrossRef]
- Xuan, J.; Sokolik, I.N.; Hao, J.; Guo, F.; Mao, H.; Yang, G. Identification and characterization of sources of atmospheric mineral dust in East Asia. Atmos. Environ. 2004, 38, 6239–6252. [Google Scholar] [CrossRef]
- Sun, J.; Zhang, M.; Liu, T. Spatial and temporal characteristics of dust storms in China and its surrounding regions, 1960–1999: Relations to source area and climate. J. Geophys. Res.-Atmos. 2001, 106, 10325–10333. [Google Scholar] [CrossRef]
- Guo, C.; Han, Z.; Li, A. Research Progress of Dust Storms in the Taklimakan Desert. J. Desert Res. 2016, 36, 1646–1652. Available online: http://www.desert.ac.cn/CN/10.7522/j.issn.1000-694X.2015.00262 (accessed on 24 January 2018). (In Chinese). [CrossRef]
- China Meteorological Administration. Provisional Regulations on Dust Weather Warning Services (Revised); China Meteorological Administration: Beijing, China, 2003; No. 12.
- Wang, S.; Wang, J.; Zhou, Z.; Shang, K. Regional characteristics of three kinds of dust storm events in China. Atmos. Environ. 2005, 39, 509–520. [Google Scholar] [CrossRef]
- Prospero, J. Long-range transport of mineral dust in the global atmosphere: Impact of African dust on the environment of the southeastern United States. Proc. Natl. Acad. Sci. USA 1999, 96, 3396–3403. [Google Scholar] [CrossRef] [PubMed]
- Rodríguez, S.; Querol, X.; Alastuey, A.; Kallos, G.; Kakaliagou, O. Saharan dust contributions to PM10 and TSP levels in Southern and Eastern Spain. Atmos. Environ. 2001, 35, 2433–2447. [Google Scholar] [CrossRef]
- Ganor, E.; Stupp, A.; Alpert, P. A method to determine the effect of mineral dust aerosols on air quality. Atmos. Environ. 2009, 43, 5463–5468. [Google Scholar] [CrossRef]
- Diapouli, E.; Manousakas, M.I.; Vratolis, S.; Vasilatou, V.; Pateraki, S.; Bairachtari, K.A.; Querol, X.; Amato, F.; Alastuey, A.; Karanasiou, A.A.; et al. AIRUSE-LIFE+: estimation of natural source contributions to urban ambient air PM10 and PM2.5 concentrations in southern Europe—Implications to compliance with limit values. Atmos. Chem. Phys. 2017, 17, 3673–3685. [Google Scholar] [CrossRef]
- Chen, L.; Zhang, M.; Zhu, J.; Skorokhod, A. Model analysis of soil dust impacts on the boundary layer meteorology and air quality over East Asia in April 2015. Atmos. Res. 2017, 187, 42–56. [Google Scholar] [CrossRef]
- Jugder, D.; Shinoda, M.; Kimura, R.; Batbold, A.; Amarjargal, D. Quantitative analysis on windblown dust concentrations of PM10 (PM2.5) during dust events in Mongolia. Aeolian Res. 2014, 14, 3–13. [Google Scholar] [CrossRef]
- Wang, S.; Yuan, W.; Shang, K. The impacts of different kinds of dust events on PM10 pollution in northern China. Atmos. Environ. 2006, 40, 7975–7982. [Google Scholar] [CrossRef]
- Xie, S.; Yu, T.; Zhang, Y.; Zeng, L.; Qi, L.; Tang, X. Characteristics of PM10, SO2, NOx and O3 in ambient air during the dust storm period in Beijing. Sci. Total Environ. 2005, 345, 153–164. [Google Scholar] [CrossRef] [PubMed]
- Guo, Y.; Xin, J.; Li, X.; Wang, S.; Li, H. Characteristics of Dust Events and Their Influence on Air Quality of Lanzhou, China. J. Desert Res. 2015, 35, 977–982. Available online: http://ir.lzu.edu.cn/handle/262010/185770 (accessed on 8 November 2016). (In Chinese). [CrossRef]
- Hwang, H.; Kim, H.; Ro, C.U. Single-particle characterization of aerosol samples collected before and during an Asian dust storm in Chuncheon, Korea. Atmos. Environ. 2008, 42, 8738–8746. [Google Scholar] [CrossRef]
- Kim, H.S.; Chung, Y.S.; Yoon, M.B. An analysis on the impact of large-scale transports of dust pollution on air quality in East Asia as observed in central Korea in 2014. Air Qual. Atmos. Health 2016, 9, 83–93. [Google Scholar] [CrossRef]
- Mori, I.; Nishikawa, M.; Tanimura, T.; Hao, Q. Change in size distribution and chemical composition of kosa (Asian dust) aerosol during long-range transport. Atmos. Environ. 2003, 37, 4253–4263. [Google Scholar] [CrossRef]
- Tsai, Y.; Chen, C. Characterization of Asian dust storm and non-Asian dust storm PM2.5 aerosol in southern Taiwan. Atmos. Environ. 2006, 40, 4734–4750. [Google Scholar] [CrossRef]
- Liang, C.S.; Yu, T.Y.; Lin, W.Y. Source apportionment of submicron particle size distribution and PM2.5 composition during an Asian dust storm period in two urban atmospheres. Aerosol Air Qual. Res. 2015, 15, 2609–2624. [Google Scholar] [CrossRef]
- Zhao, T.L.; Gong, S.L.; Zhang, X.Y.; Jaffe, D.A. Asian dust storm influence on north American ambient PM levels: Observational evidence and controlling factors. Atmos. Chem. Phys. 2008, 8, 2717–2728. [Google Scholar] [CrossRef]
- LI, G.; Zhou, M.; Chen, C.; Wang, H.; Wang, Q.; Lou, S.; Qiao, L.; Tang, X.; Li, L.; Huang, H.; et al. Characteristics of particulate matters and its chemical compositions during the dust episodes in Shanghai in spring, 2011. Environ. Sci. 2014, 35, 1644–1653. (In Chinese) [Google Scholar] [CrossRef]
- Guan, Q.; Cai, A.; Wang, F.; Yang, L.; Xu, C.; Liu, Z. Spatio-temporal variability of particulate matter in the key part of Gansu Province, Western China. Environ. Pollut. 2017, 230, 189–198. [Google Scholar] [CrossRef] [PubMed]
- Hsu, N.C.; Tsay, S.C.; King, M.D.; Herman, J.R. Aerosol properties over bright-reflecting source regions. IEEE Trans. Geosci. Remote Sens. 2004, 42, 557–569. [Google Scholar] [CrossRef]
- Hsu, N.C.; Tsay, S.C.; King, M.D.; Herman, J.R. Deep blue retrievals of Asian aerosol properties during ACE-Asia. IEEE Trans. Geosci. Remote Sens. 2006, 44, 3180–3195. [Google Scholar] [CrossRef]
- Hsu, N.C.; Jeong, M.J.; Bettenhausen, C.; Sayer, A.M.; Hansell, R.; Seftor, C.S.; Huang, J.; Tsay, S.C. Enhanced deep blue aerosol retrieval algorithm: The second generation. J. Geophys. Res. Atmos. 2013, 118, 9296–9315. [Google Scholar] [CrossRef]
- Gelaro, R.; McCarty, W.; Suárez, M.J.; Todling, R.; Molod, A.; Takacs, L.; Randles, C.A.; Darmenov, A.; Bosilovich, M.G.; Reichle, R.; et al. The modern-era retrospective analysis for research and applications, version 2 (MERRA-2). J. Clim. 2017, 30, 5419–5454. [Google Scholar] [CrossRef]
- Randles, C.A.; da Silva, A.M.; Buchard, V.; Colarco, P.R.; Darmenov, A.; Govindaraju, R.; Smirnov, A.; Holben, B.; Ferrare, R.; Hair, J.; et al. The MERRA-2 aerosol reanalysis, 1980 onward. Part I: System description and data assimilation evaluation. J. Clim. 2017, 30, 6823–6850. [Google Scholar] [CrossRef] [PubMed]
- Buchard, V.; Randles, C.A.; da Silva, A.M.; Darmenov, A.; Colarco, P.R.; Govindaraju, R.; Ferrare, R.; Hair, J.; Beyersdorf, A.J.; Ziemba, L.D.; et al. The MERRA-2 aerosol reanalysis, 1980 onward. Part II: Evaluation and case studies. J. Clim. 2017, 30, 6851–6872. [Google Scholar] [CrossRef]
- Ministry of Environmental Protection of the People’s Republic of China. Technical Regulation on Ambient Air Quality Index (on Trial). HJ 633-2012. China; 2012. Available online: http://kjs.mep.gov.cn/hjbhbz/bzwb/jcffbz/201203/t20120302_224166.shtml (accessed on 11 January 2017).
- Berrisford, P.; Dee, D.P.; Poli, P.; Brugge, R.; Fielding, K.; Manuel, F.; Kållberg, P.W.; Kobayashi, S.; Uppala, S.; Simmons, A. The Era-Interim Archive Version 2.0. Available online: https://www.ecmwf.int/en/elibrary/8174-era-interim-archive-version-20 (accessed on 2 May 2018).
- McTainsh, G.H.; Leys, J.F.; O’Loingsigh, T.; Strong, C.L. Wind Erosion and Land Management in Australia during 1940–1949 and 2000–2009. Available online: https://soe.environment.gov.au/sites/g/files/net806/f/soe2011-supplementary-land-wind-erosion-and-land-management-australia-during-1940-1949and2000-2009.pdf?v=1487823622 (accessed on 17 January 2017).
- O’Loingsigh, T.; McTainsh, G.H.; Tews, E.K.; Strong, C.L.; Leys, J.F.; Shinkfield, P.; Tapper, N.J. The Dust Storm Index (DSI): A method for monitoring broadscale wind erosion using meteorological records. Aeolian Res. 2014, 12, 29–40. [Google Scholar] [CrossRef]
- Shao, Y.; Yang, Y.; Wang, J.; Song, Z.; Leslie, L.M.; Dong, C.; Zhang, Z.; Lin, Z.; Kanai, Y.; Yabuki, S.; et al. Northeast Asian dust storms: Real-time numerical prediction and validation. J. Geophys. Res. 2003, 108. [Google Scholar] [CrossRef]
- Song, Z.; Wang, J.; Wang, S. Quantitative classification of northeast Asian dust events. J. Geophys. Res.-Atmos. 2007, 112. [Google Scholar] [CrossRef]
- Meteorological Observation Centre of CMA. Pratical Manual for Tachnical Specifications of Ground Meteorological Observation, 1st ed.; China Meteorological Press: Beijing, China, 2016; pp. 30–31. ISBN 9787502963446.
- Wilks, D.S. Statistical Methods in the Atmospheric Sciences, 3rd ed.; Academic Press: Oxford, UK, 2011; pp. 50–54. ISBN 9780123850232. [Google Scholar]
- China Meteorological Administration. Dust Weather Yearbooks of 2015, 1st ed.; China Meteorological Press: Beijing, China, 2017; pp. 36–70. ISBN 9787502965501.
- Wan, R.; Wu, G. Mechanism of the spring persistent rains over southeastern China. Sci. China Ser. D 2007, 50, 130–144. [Google Scholar] [CrossRef]
- WHO. Air Quality Guidelines—Global Update 2005. Available online: http://www.who.int/phe/health_topics/outdoorair/outdoorair_aqg/en/ (accessed on 12 July 2018).
- Ministry of Environmental Protection of the People’s Republic of China. Ambient Air Quality Standards. GB3095-2012. China; 2012. Available online: http://kjs.mep.gov.cn/hjbhbz/bzwb/dqhjbh/dqhjzlbz/201203/t20120302_224165.htm (accessed on 11 January 2017).
- Daryanoosh, M.; Goudarzi, G.; Rashidi, R.; Keishams, F.; Hopke, P.K.; Mohammadi, M.J.; Nourmoradi, H.; Sicard, P.; Takdastan, A.; Vosoughi, M.; et al. Risk of morbidity attributed to ambient PM10 in the western cities of Iran. Toxin Rev. 2017. [Google Scholar] [CrossRef]
- Khaniabadi, Y.O.; Daryanoosh, S.M.; Amrane, A.; Polosa, R.; Hopke, P.K.; Goudarzi, G.; Mohammadi, M.G.; Sicard, P.; Armin, H. Impact of Middle Eastern Dust storms on human health. Atmos. Pollut. Res. 2017, 8, 606–613. [Google Scholar] [CrossRef]
- Tian, S.F.; Yasunari, T. Climatological aspects and mechanism of spring persistent rains over central China. J. Meteorol. Soc. Jpn. 1998, 76, 57–71. [Google Scholar] [CrossRef]
- Chen, J.; Zhao, S.; Yin, D.; Qu, J. Effect of Dust Process on Air Quality in Cities of Northern China. J. Desert Res. 2015, 35, 423–430. Available online: http://www.cqvip.com/qk/97197x/201502/1005689295.html (accessed on 14 November 2016). (In Chinese). [CrossRef]









| Dust Events | 24–26 February | 10–17 March | 31 March–4 April | 27–30 April | 10–12 May | 9–12 June |
|---|---|---|---|---|---|---|
| Max DI | 57.08 | 75.16 | 86.76 | 81.93 | 81.78 | 68.23 |
| Mean DI | 51.24 | 69.71 | 71.59 | 57.11 | 69.26 | 56.05 |
© 2018 by the authors. Licensee MDPI, Basel, Switzerland. This article is an open access article distributed under the terms and conditions of the Creative Commons Attribution (CC BY) license (http://creativecommons.org/licenses/by/4.0/).
Share and Cite
Li, X.; Liu, X.; Yin, Z.-Y. The Impacts of Taklimakan Dust Events on Chinese Urban Air Quality in 2015. Atmosphere 2018, 9, 281. https://doi.org/10.3390/atmos9070281
Li X, Liu X, Yin Z-Y. The Impacts of Taklimakan Dust Events on Chinese Urban Air Quality in 2015. Atmosphere. 2018; 9(7):281. https://doi.org/10.3390/atmos9070281
Chicago/Turabian StyleLi, Xiaoyu, Xiaodong Liu, and Zhi-Yong Yin. 2018. "The Impacts of Taklimakan Dust Events on Chinese Urban Air Quality in 2015" Atmosphere 9, no. 7: 281. https://doi.org/10.3390/atmos9070281
APA StyleLi, X., Liu, X., & Yin, Z.-Y. (2018). The Impacts of Taklimakan Dust Events on Chinese Urban Air Quality in 2015. Atmosphere, 9(7), 281. https://doi.org/10.3390/atmos9070281

