Analysis of Drought Vulnerability Characteristics and Risk Assessment Based on Information Distribution and Diffusion in Southwest China
Abstract
1. Introduction
2. Study Area, Data, and Methods
2.1. Study Area
2.2. Data
2.3. Methods
2.3.1. Drought Damage Indices
2.3.2. Meteorological Drought Indices
2.3.3. Information Distribution and Diffusion Methods
Information Distribution Method
2.3.4. Vulnerability and Risk Evaluation
3. Results
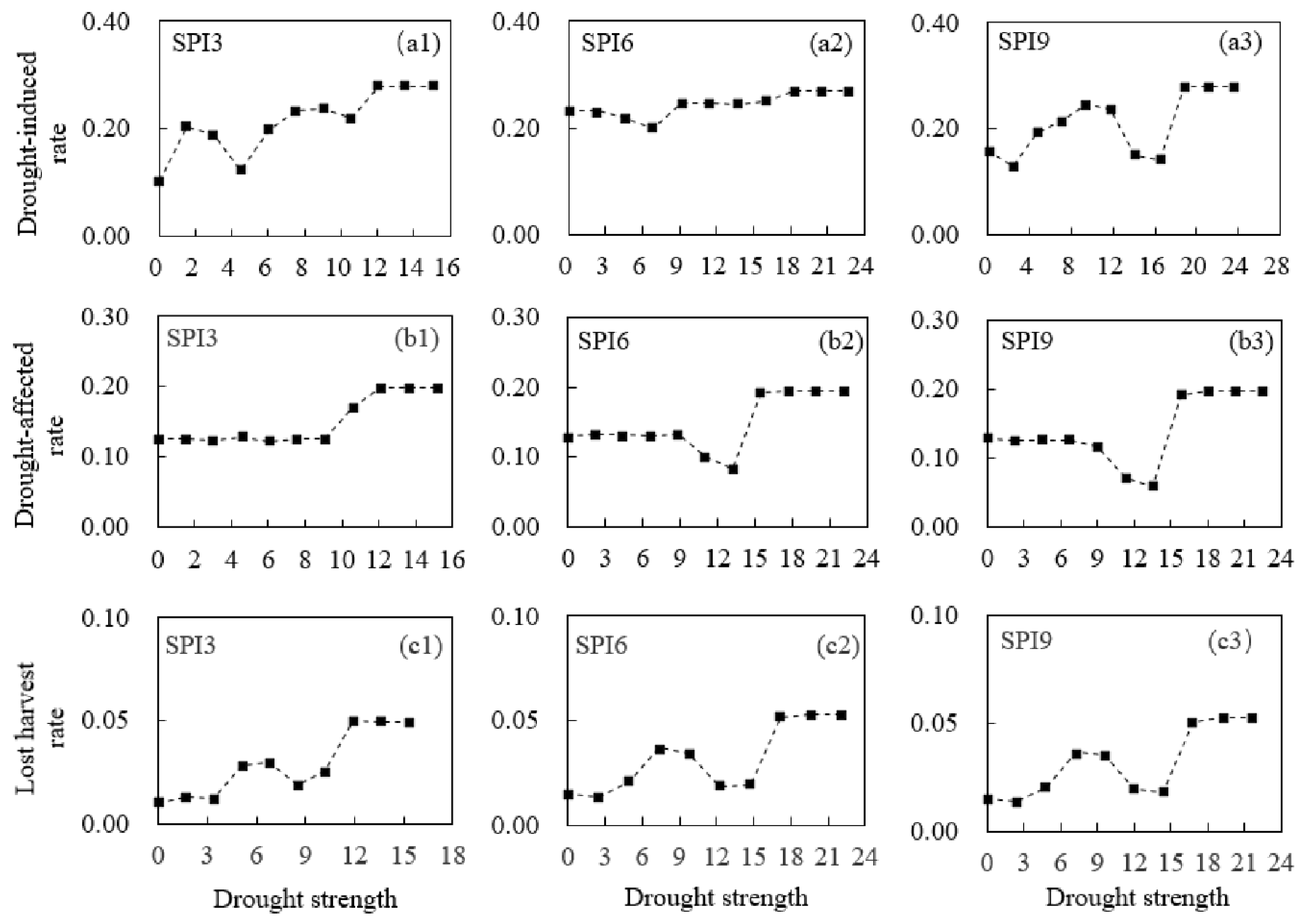
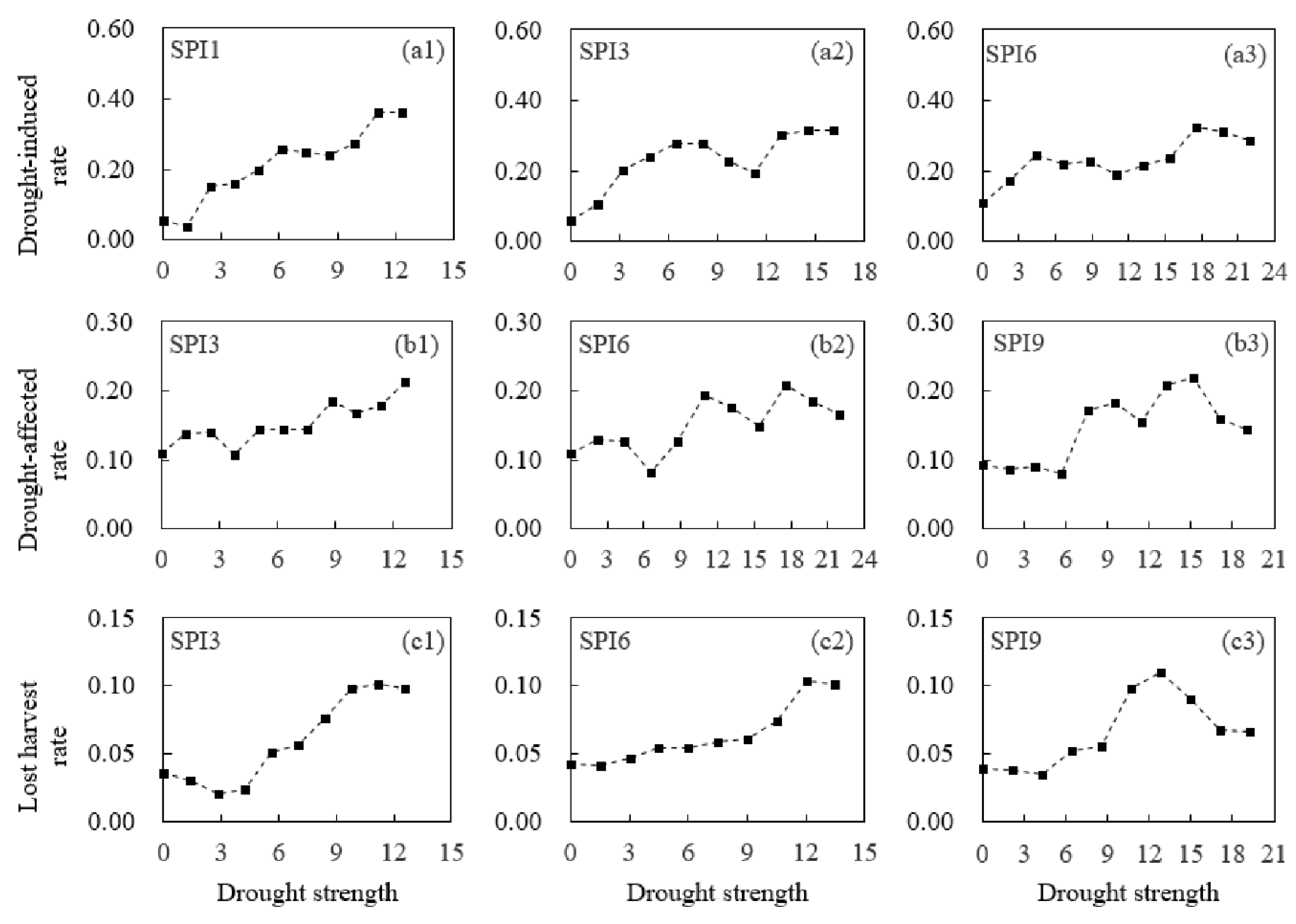
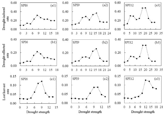
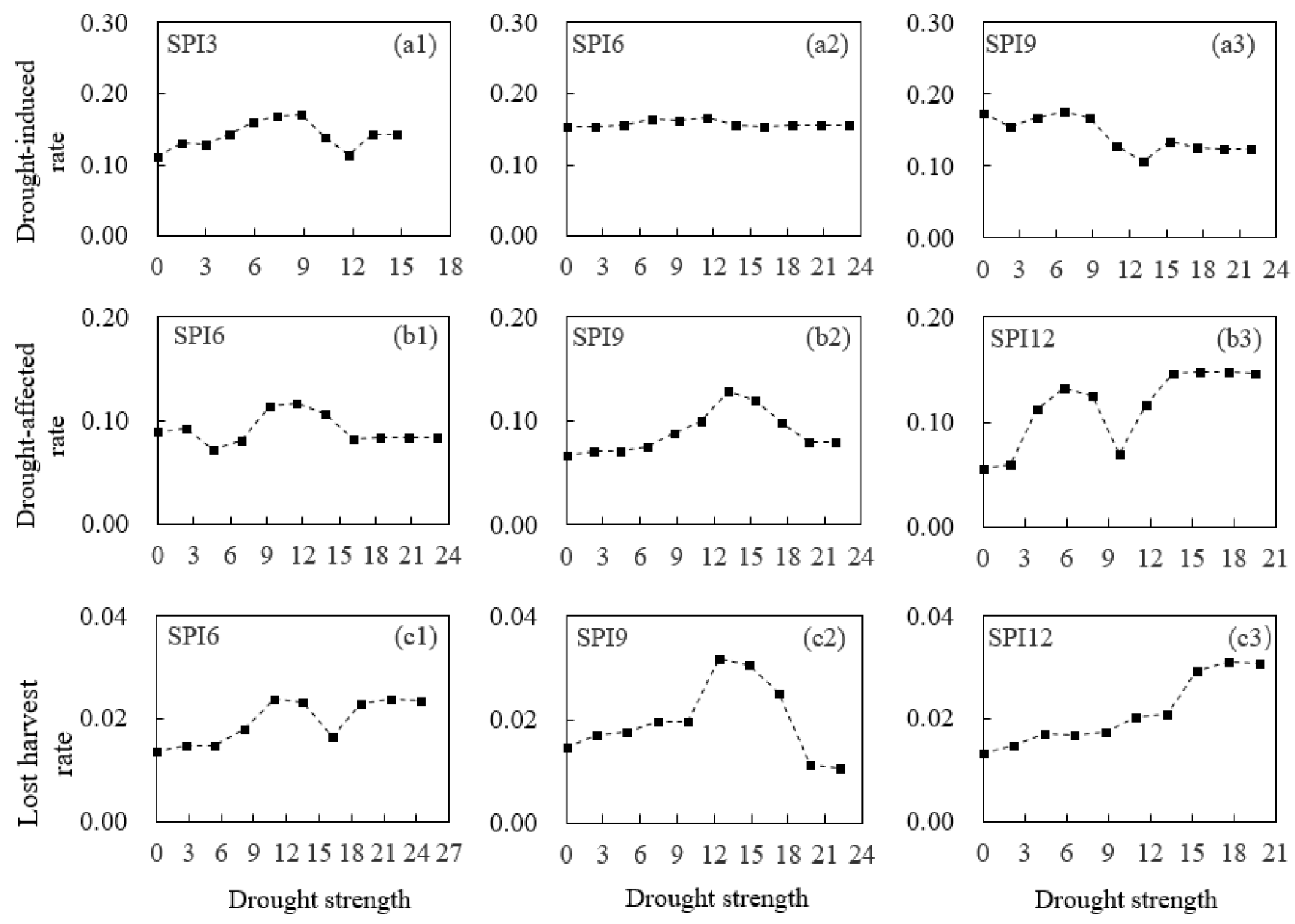
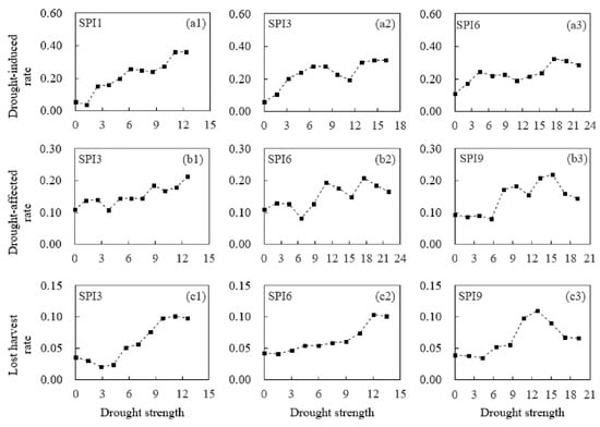
3.1. Correlation Analysis between Drought Strength and Drought Damage Rates
3.2. The Vulnerability Relationship between Drought Strength and Drought Damage in Southwest China and Its Provinces
3.3. Drought Damage Risk Evaluation
4. Discussion
5. Conclusions
Author Contributions
Funding
Acknowledgments
Conflicts of Interest
Appendix A. Information Distribution and Diffusion Methods
clear all
clc
%%
U1 = load(‘U1.txt’);
X = load(‘X.txt’);
delta = 2.14 (variable);
n = size(X,2);
l = size(U1,2);
for i = 1:n
    for j = 1:l
        if abs(X(1,i) − U1(1,j))< = delta
            q(i,j) = 1 − abs(X(1,i) − U1(1,j))/delta;
        else q(i,j) = 0;
        end
    end
end
for j = 1:l
    Q(1,j) = sum(q(:,j));
    P(1,j) = Q(1,j)/n;
end
%%
Y = load(‘Y.txt’);
U = load(‘U.txt’);
V = load(‘V.txt’);
n = size(Y,2);
m = size(U,2);
t = size(V,2);
for i = 1:n
    for j = 1:m
        for k = 1:t
            hx1 = max(X(1,:));
           hx2 = min(X(1,:));
           hx = 2.6851*(hx1 − hx2)/(n − 1);
           hy1 = max(Y(1,:));
            hy2 = min(Y(1,:));
            hy = 2.6851*(hy1 − hy2)/(n − 1);
            u(j,k,i) = 1/(2*pi*hx*hy)*exp((−(U(1,j) − X(1,i))^2/(2*hx^2)) − (V(1,k) − Y(1,i))^2/(2*hy^2));
        end
    end
end
for j = 1:m
    for k = 1:t
        Q(j,k) = sum(u(j,k,:));
    end
end
%%
s = max(Q’);
for j = 1:m
    for k = 1:t
        R(j,k) = Q(j,k)/s(1,k);
    end
end
%%
delta2 = 0.36;
for i = 1:l
    for j = 1:m
        if abs(U1(1,i) − U(1,j))< = delta2
            ux(i,j) = 1 − abs(U1(1,i) − U(1,j))/delta2;
        else ux(i,j) = 0;
        end
    end
end
%%
uy = ux*R;
%for i = 1:l
%    for j = 1:m
%        for k = 1:t
%            R1(j,k) = ux(i,j)*R(j,k);
%            uy(i,j) = sum(R1(j,:));
%        end
%    end
%end
%%
for i = 1:l
    for k = 1:t
        y1(i,k) = uy(i,k)*V(1,k);
    end
end
for i = 1:l
    y0(1,i) = sum(y1(i,:))/sum(uy(i,:));
end
		
      References
- Frankenberg, E.; Sikoki, B.; Sumantri, C.; Suriastini, W.; Thomas, D. Education, vulnerability, and resilience after a natural disaster. Ecol. Soc. 2013, 18, 16. [Google Scholar] [CrossRef] [PubMed]
- Balica, S.F.; Douben, N.; Wright, N.G. Flood vulnerability indices at varying spatial scales. Water Sci. Technol. 2009, 60, 2571–2580. [Google Scholar] [CrossRef] [PubMed]
- Hao, L.; Zhang, X.Y.; Liu, S.D. Risk assessment to China’s agricultural drought disaster in county unit. Nat. Hazards 2012, 61, 785–801. [Google Scholar] [CrossRef]
- Fontaine, M.M.; Steinemann, A.C. Assessing vulnerability to natural hazards: Impact-based method and application to drought in Washington state. Nat. Hazards Rev. 2009, 10, 11–18. [Google Scholar] [CrossRef]
- Yu, I.; Lee, T.; Kim, L.H.; Jeong, S. Development of natural disaster risk map as reflected in flood, wind and snow in Ulsan City. Desalin. Water Treat. 2017, 63, 455–462. [Google Scholar] [CrossRef]
- Debortoli, N.S.; Camarinha, P.I.M.; Marengo, J.A.; Rodrigues, R.R. An index of Brazil's vulnerability to expected increases in natural flash flooding and landslide disasters in the context of climate change. Nat. Hazards 2017, 86, 557–582. [Google Scholar] [CrossRef]
- Fan, G.F.; Zhang, Y.; He, Y.; Wang, K. Risk assessment of drought in the Yangtze River Delta based on natural disaster risk theory. Discrete Dyn. Nat. Soc. 2017, 2017, 5682180. [Google Scholar] [CrossRef]
- Kim, H.; Park, J.; Yoo, J.; Kim, T.W. Assessment of drought hazard, vulnerability, and risk: A case study for administrative districts in South Korea. J. Hydro-Environ. Res. 2015, 9, 28–35. [Google Scholar] [CrossRef]
- Wang, K.; Feng, G.L.; Zeng, Y.X.; Wang, X.J. Analysis of stable components in the extended-range forecast for the coming 10–30 days in winter 2010 and 2011. Chin. Phys. B 2013, 22, 570–577. [Google Scholar] [CrossRef]
- Carrao, H.; Naumann, G.; Barbosa, P. Global projections of drought hazard in a warming climate: A prime for disaster risk management. Clim. Dyn. 2018, 50, 2137–2155. [Google Scholar] [CrossRef]
- Shahid, S.; Behrawan, H. Drought risk assessment in the western part of Bangladesh. Nat. Hazards 2008, 46, 391–413. [Google Scholar] [CrossRef]
- Wilhelmi, O.V.; Wilhite, D.A. Assessing vulnerability to agricultural drought: A Nebraska case study. Nat. Hazards 2002, 1, 37–58. [Google Scholar] [CrossRef]
- Rajsekhar, D.; Singh, V.P.; Mishra, A.K. Integrated drought causality, hazard, and vulnerability assessment for future socioeconomic scenarios: An information theory perspective. J. Geophys. Res. Atmos. 2015, 13, 6346–6378. [Google Scholar] [CrossRef]
- He, B.; Lu, A.F.; Wu, J.J.; Zhao, L.; Liu, M. Drought hazard assessment and spatial characteristics analysis in China. J. Geogr. Sci. 2011, 2, 235–249. [Google Scholar] [CrossRef]
- He, B.; Wu, J.J.; Lu, A.F.; Cui, X.F.; Zhou, L.; Liu, M.; Zhao, L. Quantitative assessment and spatial characteristic analysis of agricultural drought risk in China. Nat. Hazards 2013, 66, 155–166. [Google Scholar] [CrossRef]
- Cheng, J.; Tao, J.P. Fuzzy Comprehensive Evaluation of Drought Vulnerability Based on the Analytic Hierarchy Process—An Empirical Study from Xiaogan City in Hubei Province. Agric. Agric. Sci. Procedia 2010, 1, 126–135. [Google Scholar] [CrossRef]
- Wu, J.J.; He, B.; Lu, A.F.; Zhou, L.; Liu, M.; Zhao, L. Quantitative assessment and spatial characteristics analysis of agricultural drought vulnerability in China. Nat. Hazards 2011, 3, 785–801. [Google Scholar] [CrossRef]
- Monterroso, A.; Conde, C. Exposure to climate and climate change in Mexico. Geomat. Nat. Hazards Risk. 2015, 6, 272–288. [Google Scholar] [CrossRef]
- Pogson, M.; Hastings, A.; Smith, P. Sensitivity of crop model predictions to entire meteorological and soil input datasets highlights vulnerability to drought. Environ. Model. Softw. 2012, 29, 37–43. [Google Scholar] [CrossRef]
- Burke, E.J.; Brown, S.J. Regional drought over the UK and changes in the future. J. Hydrol. 2010, 394, 471–485. [Google Scholar] [CrossRef]
- Antwi-Agyei, P.; Fraser, E.D.G.; Dougill, A.J.; Stringer, L.C.; Simelton, E. Mapping the vulnerability of crop production to drought in Ghana using rainfall, yield and socioeconomic data. Appl. Geogr. 2012, 32, 324–334. [Google Scholar] [CrossRef]
- Jayanthi, H.; Husak, G.J.; Funk, C.; Magadzire, T.; Chavula, A.; Verdin, J.P. Modeling rain-fed maize vulnerability to droughts using the standardized precipitation index from satellite estimated rainfall—Southern Malawi case study. Int. J. Disaster Risk Reduct. 2013, 4, 71–81. [Google Scholar] [CrossRef]
- Wang, Z.Q.; He, F.; Fang, W.H.; Liao, Y.F. Assessment of physical vulnerability to agricultural drought in China. Nat. Hazards 2013, 67, 645–657. [Google Scholar] [CrossRef]
- Huang, C.F.; Moraga, C. Extracting fuzzy if-then rules by using the information matrix technique. J. Comput. Syst. Sci. 2005, 70, 26–52. [Google Scholar] [CrossRef]
- Huang, C.F. Principle of information diffusion. Fuzzy Sets Syst. 1997, 91, 69–90. [Google Scholar]
- Chang, J.X.; Li, Y.Y.; Wang, Y.M.; Yuan, M. Copula-based drought risk assessment combined with an integrated index in the Wei River basin, China. J. Hydrol. 2016, 540, 824–834. [Google Scholar] [CrossRef]
- Zarei, A.R.; Moghimi, M.M.; Mahmoudi, M.R. Analysis of changes in spatial pattern of drought using RDI index in south of Iran. Water Resour. Manag. 2016, 30, 3723–3743. [Google Scholar] [CrossRef]
- Tan, C.P.; Yang, J.P.; Li, M. Temporal-Spatial Variation of Drought Indicated by SPI and SPEI in Ningxia Hui Autonomous Region, China. Atmosphere 2015, 6, 1399–1421. [Google Scholar] [CrossRef]
- Woli, P.; Jones, J.W.; Ingram, K.T. Assessing the agricultural reference index for drought (ARID) using uncertainty and sensitivity analyses. Agron. J. 2013, 101, 150–160. [Google Scholar] [CrossRef]
- Karim, Z.; Iqbal, M.A. Impact of Land Degradation in Bangladesh: Changing Scenario in Agricultural Land Use; Bangladesh Agricultural Research Center (BARC): Dhaka, Bangladesh, 2001. [Google Scholar]
- Zhou, Y.T.; Xiao, X.M.; Zhang, G.L.; Wagle, P.; Bigain, R.; Dong, J.W.; Jin, C.; Basara, J.B.; Anderson, M.C.; Hain, C. Quantifying agricultural drought in tallgrass prairie region in the US Southern Great Plains through analysis of a water-related vegetation index from MODIS images. Agric. For. Meteorol. 2017, 246, 111–122. [Google Scholar] [CrossRef]
- Zhang, A.Z.; Jia, G.S. Monitoring meteorological drought in semiarid regions using multi-sensor microwave remote sensing data. Remote Sens. Environ. 2013, 134, 12–23. [Google Scholar] [CrossRef]
- McKee, T.B.; Doeskin, N.J.; Kleist, J. The relationship of drought frequency and duration to time scales. In Proceedings of the 8th Conference on Applied Climatology, Anaheim, CA, USA, 17–22 January 1993; American Meteor Society: Anaheim, CA, USA, 1993; pp. 179–184. [Google Scholar]
- Palmer, W.C. Meteorological Drought; Research Paper No. 45; US Department of Commerce Weather Bureau: Washington, DC, USA, 1965.
- Liu, M.X.; Xu, X.L.; Sun, A. Decreasing spatial variability in precipitation extremes in Southwestern China and the local/large-scale influencing factors. J. Geophys. Res. Atmos. 2015, 120, 6480–6488. [Google Scholar] [CrossRef]
- Bonaccorso, B.; Cancelliere, A.; Rossi, G. Probabilistic forecasting of drought class transitions in Sicily (Italy) using Standardized Precipitation Index and North Atlantic Oscillation Index. J. Hydrol. 2015, 526, 136–150. [Google Scholar] [CrossRef]
- Fan, Z.X.; Thomas, A. Spatiotemporal variability of reference evapotranspiration and its contributing climatic factors in Yunnan Province, SW China, 1961–2004. Clim. Chang. 2013, 116, 309–325. [Google Scholar] [CrossRef]
- Wang, Z.L.; Xie, P.W.; Lai, C.G.; Chen, X.H.; Wu, X.S.; Zeng, Z.Y.; Li, J. Spatiotemporal variability of reference evapotranspiration and contributing climatic factors in China during 1961–2013. J. Hydrol. 2017, 544, 97–108. [Google Scholar] [CrossRef]
- Yao, Y.J.; Zhao, S.H.; Zhang, Y.H.; Jia, K.; Liu, M. Spatial and Decadal Variations in Potential Evapotranspiration of China Based on Reanalysis Datasets during 1982–2010. Atmosphere 2014, 5, 737–754. [Google Scholar] [CrossRef]
- Wang, J.; Fang, F.; Zhang, Q.; Wang, J.S.; Yao, Y.B.; Wang, W. Risk evaluation of agricultural disaster impacts on food production in Southern China by probability density method. Nat. Hazards 2016, 83, 1605–1634. [Google Scholar] [CrossRef]
- Ayantobo, O.O.; Li, Y.; Song, S.B.; Yao, N. Spatial comparability of drought characteristics and related return periods in mainland China over 1961–2013. J. Hydrol. 2017, 550, 549–567. [Google Scholar] [CrossRef]
- Shi, P.; Wu, M.; Qu, S.M.; Jiang, P.; Qiao, X.Y.; Chen, X.; Zhou, M.; Zhang, Z.C. Spatial Distribution and Temporal Trends in Precipitation Concentration Indices for the Southwest China. Water Resour. Manag. 2015, 29, 3941–3955. [Google Scholar] [CrossRef]
- Yang, P.; Xiao, Z.N.; Yang, J.; Liu, H. Characteristics of clustering extreme drought events in China during 1961–2010. Acta Meteorol. Sin. 2013, 27, 186–198. [Google Scholar] [CrossRef]
- Xie, Z.T.; Xu, J.P.; Deng, Y.F. Risk analysis and evaluation of agricultural drought disaster in the major grain-producing areas, China. Geomat. Nat. Hazards Risk 2016, 7, 1691–1706. [Google Scholar] [CrossRef]
- Lloyd-Hughes, B.; Saunders, M.A. A drought climatology for Europe. Int. J. Climatol. 2002, 22, 1571–1592. [Google Scholar] [CrossRef]
- Wang, W.X.; Zuo, D.D.; Feng, G.L. Analysis of the drought vulnerability characteristics in northeast China based on the theory of information distribution and diffusion. Acta Phys. Sin. 2014, 63, 229201. (In Chinese) [Google Scholar]
- Wang, Y.F.; Chen, X.W.; Chen, Y.; Liu, M.B.; Gao, L. Flood/drought event identification using an effective indicator based on the correlations between multiple time scales of the Standardized Precipitation Index and river discharge. Theor. Appl. Climatol. 2017, 128, 159–168. [Google Scholar] [CrossRef]
- Huang, C.F. An intertemporal general equilibrium asset pricing model—The case of diffusion information. Econometrica 1987, 55, 117–142. [Google Scholar] [CrossRef]
- Potop, V.; Boroneant, C.; Mozny, M.; Stepanek, P.; Skalak, P. Observed spatiotemporal characteristics of drought on various time scales over the Czech Republic. Theor. Appl. Climatol. 2014, 115, 563–581. [Google Scholar] [CrossRef]
- Shahabfar, A.; Eitzinger, J. Spatio-Temporal Analysis of Droughts in Semi-Arid Regions by Using Meteorological Drought Indices. Atmosphere 2013, 4, 99–112. [Google Scholar] [CrossRef]
- Vicente-Serrano, S. Differences in Spatial Patterns of Drought on Different Time Scales: An Analysis of the Iberian Peninsula. Water Resour. Manag. 2006, 20, 37–60. [Google Scholar] [CrossRef]
- He, D.; Wang, J.; Pan, Z.H.; Dai, T.; Wang, E.L.; Zhang, J.P. Changes in wheat potential productivity and drought severity in Southwest China. Theor. Appl. Climatol. 2017, 130, 477–486. [Google Scholar] [CrossRef]
- Seiler, R.A.; Hayes, M.J.; Bressan, L. Using the standardized precipitation index for flood risk monitoring. Int. J. Climatol. 2002, 22, 1365–1376. [Google Scholar] [CrossRef]
- Merabti, A.; Martins, D.S.; Meddi, M.; Pereira, L.S. Spatial and Time Variability of Drought Based on SPI and RDI with Various Time Scales. Water Resour. Manag. 2018, 32, 1087–1100. [Google Scholar] [CrossRef]
- Liu, Z.C.; Lu, G.H.; He, H.; Wu, Z.Y.; He, J. Understanding atmospheric anomalies associated with seasonal pluvial-drought processes using Southwest China as an example. J. Geophys. Res. Atmos. 2017, 122, 12210–12225. [Google Scholar] [CrossRef]
- Yan, Z.Q.; Zhang, Y.P.; Zhou, Z.H.; Han, N. The spatio-temporal variability of droughts using the standardized precipitation index in Yunnan, China. Nat. Hazards 2017, 88, 1023–1042. [Google Scholar] [CrossRef]
- Kim, K.; Wang, M.C.; Ranjitkar, S.; Liu, S.H.; Xu, J.C.; Zomer, R.J. Using leaf area index (LAI) to assess vegetation response to drought in Yunnan province of China. J. Mt. Sci. 2017, 14, 1863–1872. [Google Scholar] [CrossRef]
- Zhang, C.; Tang, Q.H.; Chen, D.L.; Li, L.F.; Liu, X.C.; Cui, H.J. Tracing changes in atmospheric moisture supply to the drying Southwest China. Atmos. Chem. Phys. 2017, 17, 10383–10393. [Google Scholar] [CrossRef]
- Zhang, M.J.; He, J.Y.; Wang, B.L.; Wang, S.J.; Li, S.S.; Liu, W.L.; Ma, X.N. Extreme drought changes in Southwest China from 1960 to 2009. J. Geogr. Sci. 2013, 23, 3–16. [Google Scholar] [CrossRef]








| Province | Station | Latitude | Longitude | Elevation (m) | 
|---|---|---|---|---|
| Yunnan | Dq | 28°29’ | 98°55’ | 3319 | 
| Tc | 25°01’ | 98°30’ | 1655 | |
| Cx | 25°02’ | 101°33’ | 1824 | |
| Km | 25°00’ | 102°39’ | 1887 | |
| Ln | 23°53’ | 100°05’ | 1502 | |
| Jh | 22°00’ | 100°47’ | 582 | |
| Zt | 27°21’ | 103°43’ | 1950 | |
| Lj | 26°52’ | 100°13’ | 2392 | |
| Lx | 24°32’ | 103°46’ | 1704 | |
| Guangxi | Hc | 24°42’ | 108°02’ | 260 | 
| Bs | 23°54’ | 106°36’ | 174 | |
| Nn | 22°38’ | 108°13’ | 122 | |
| Lb | 23°45’ | 109°14’ | 85 | |
| Gl | 25°19’ | 110°18’ | 164 | |
| Fs | 24°33’ | 107°02’ | 485 | |
| Yl | 22°39’ | 110°10’ | 82 | |
| Ls | 22°25’ | 109°18’ | 67 | |
| Guizhou | Xy | 25°26’ | 105°11’ | 1379 | 
| As | 26°15’ | 105°54’ | 1431 | |
| Bj | 27°18’ | 105°17’ | 1511 | |
| Zy | 27°42’ | 106°53’ | 844 | |
| Gy | 26°35’ | 106°44’ | 1224 | |
| Kl | 26°36’ | 107°59’ | 720 | |
| Rj | 25°58’ | 108°32’ | 286 | |
| Ld | 25°26’ | 106°46’ | 440 | |
| Sn | 27°57’ | 108°15’ | 416 | |
| Sichuan | Gy | 32°26’ | 105°51’ | 514 | 
| Ya | 29°59’ | 103°00’ | 628 | |
| Cd | 30°40’ | 104°01’ | 506 | |
| Yb | 28°48’ | 104°36’ | 341 | |
| Xc | 27°54’ | 102°16’ | 1591 | |
| Hl | 26°39’ | 102°15’ | 1787 | |
| Bz | 31°52’ | 106°46’ | 418 | |
| Sn | 30°30’ | 105°33’ | 355 | |
| Lt | 30°00’ | 100°16’ | 3949 | |
| Gz | 31°37’ | 100°00’ | 3394 | |
| Chongqing | Fj | 31°01’ | 109°32’ | 300 | 
| Lp | 30°41’ | 107°48’ | 455 | |
| Spb | 29°35’ | 106°28’ | 259 | |
| Qy | 28°50’ | 108°46’ | 664 | 
| Rank | Light Drought | Medium Drought | Drought | Severe Drought | 
|---|---|---|---|---|
| SPI | [−0.99, 0] | [−1.00, −1.49] | [−1.50, −1.99] | [≤−2.00] | 
| Areas | SPI1 | SPI3 | SPI6 | SPI9 | SPI12 | SPI24 | |
|---|---|---|---|---|---|---|---|
| S1 | −0.1 | −0.3 | −0.1 | ||||
| Sichuan | S2 | −1.0 | −0.9 | −0.9 | |||
| S3 | −0.7 | −0.9 | −1.0 | ||||
| S1 | −0.3 | −0.1 | −0.1 | ||||
| Guangxi | S2 | −0.6 | −1.4 | −1.4 | |||
| S3 | −1.5 | −1.4 | −1.5 | ||||
| S1 | −0.4 | −0.4 | −0.3 | ||||
| Guizhou | S2 | −1.4 | −1.3 | −1.6 | |||
| S3 | −1.6 | −1.9 | −1.8 | ||||
| S1 | −0.1 | −0.1 | −0.1 | ||||
| Yunnan | S2 | −0.1 | −0.6 | −0.6 | |||
| S3 | −2.0 | −1.9 | −1.0 | ||||
| S1 | −0.9 | −0.9 | −0.7 | ||||
| SC | S2 | −1.0 | −0.7 | −1.0 | |||
| S3 | −1.1 | −0.7 | −1.0 | 
| Areas | SPI1 | SPI3 | SPI6 | SPI9 | SPI12 | SPI24 | |
|---|---|---|---|---|---|---|---|
| R1 | 18.61 | 22.44 | 17.96 | ||||
| Sichuan | R2 | 12.74 | 13.17 | 12.48 | |||
| R3 | 2.09 | 1.99 | 2.03 | ||||
| R1 | 14.22 | 16.26 | 15.82 | ||||
| Guangxi | R2 | 8.31 | 13.76 | 8.06 | |||
| R3 | 1.53 | 1.67 | 1.59 | ||||
| R1 | 18.87 | 19.44 | 19.01 | ||||
| Guizhou | R2 | 12.64 | 12.39 | 10.19 | |||
| R3 | 3.87 | 4.79 | 4.43 | ||||
| R1 | 15.64 | 16.71 | 17.93 | ||||
| Yunnan | R2 | 9.18 | 9.39 | 8.94 | |||
| R3 | 3.33 | 3.29 | 3.32 | ||||
| R1 | 15.32 | 16.67 | 16.44 | ||||
| SC | R2 | 10.11 | 11.61 | 10.14 | |||
| R3 | 2.78 | 2.67 | 2.66 | 
| Areas | Sichuan | Guangxi | Yunnan | Guizhou | SC | 
|---|---|---|---|---|---|
| 19.67 | 15.43 | 16.76 | 19.11 | 16.14 | |
| 12.80 | 10.04 | 9.17 | 11.74 | 10.62 | |
| 2.04 | 1.60 | 3.31 | 4.36 | 2.70 | 
© 2018 by the authors. Licensee MDPI, Basel, Switzerland. This article is an open access article distributed under the terms and conditions of the Creative Commons Attribution (CC BY) license (http://creativecommons.org/licenses/by/4.0/).
Share and Cite
Jiang, S.; Yang, R.; Cui, N.; Zhao, L.; Liang, C. Analysis of Drought Vulnerability Characteristics and Risk Assessment Based on Information Distribution and Diffusion in Southwest China. Atmosphere 2018, 9, 239. https://doi.org/10.3390/atmos9070239
Jiang S, Yang R, Cui N, Zhao L, Liang C. Analysis of Drought Vulnerability Characteristics and Risk Assessment Based on Information Distribution and Diffusion in Southwest China. Atmosphere. 2018; 9(7):239. https://doi.org/10.3390/atmos9070239
Chicago/Turabian StyleJiang, Shouzheng, Ruixiang Yang, Ningbo Cui, Lu Zhao, and Chuan Liang. 2018. "Analysis of Drought Vulnerability Characteristics and Risk Assessment Based on Information Distribution and Diffusion in Southwest China" Atmosphere 9, no. 7: 239. https://doi.org/10.3390/atmos9070239
APA StyleJiang, S., Yang, R., Cui, N., Zhao, L., & Liang, C. (2018). Analysis of Drought Vulnerability Characteristics and Risk Assessment Based on Information Distribution and Diffusion in Southwest China. Atmosphere, 9(7), 239. https://doi.org/10.3390/atmos9070239
 
        


 
       