Changes in Cold Surge Occurrence over East Asia in the Future: Role of Thermal Structure
Abstract
1. Introduction
2. Data and Methods
2.1. Data
2.2. Definition of CS Occurrences
2.3. Thermodynamic Interpretation
3. Results
3.1. Simulation of the CS Structure
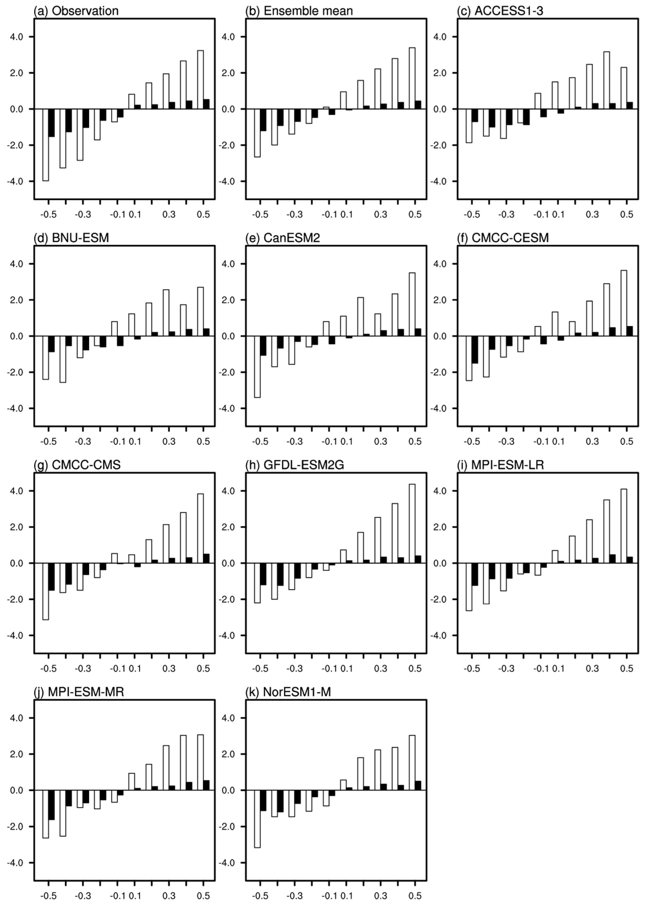
3.2. Thermodynamic Environment in Association with CS Occurrence
3.2.1. Relative Importance of the Temperature Advection Terms
3.2.2. Importance of Meridional SAT Gradient and Local SAT Anomaly
3.2.3. Influence of the SAT Gradient in Interannual Time Scale
3.2.4. Decadal Variability of CS Occurrence
3.3. Projection of Future CS Occurrence Frequency under RCP8.5
4. Discussion and Summary
Supplementary Materials
Author Contributions
Funding
Conflicts of Interest
References
- Lu, F.C.; Henry Juang, H.M.; Liao, C.C. A numerical case study of the passage of a cold surge across Taiwan. Meteorol. Atmos. Phys. 2007, 95, 27–52. [Google Scholar] [CrossRef]
- Chen, Y.; Ding, Y. Cold Air Activities in July 2004 and Its Impact on Intense Rainfalls over Southwest China. Acta Meteorol. Sin. 2007, 21, 302–319. [Google Scholar]
- Chen, T.-C.; Yen, M.-C.; Huang, W.-R.; Gallus, W.A. An East Asian Cold Surge: Case Study. Mon. Weather Rev. 2002, 130, 2271–2290. [Google Scholar] [CrossRef]
- Lu, Q.F.; Zhang, W.J.; Zhang, P.; Wu, X.B.; Zhang, F.Y.; Liu, Z.Q.; Dale, M.B. Monitoring the 2008 cold surge and frozen disasters snowstorm in South China based on regional ATOVS data assimilation. Sci. China Earth Sci. 2010, 53, 1216–1228. [Google Scholar] [CrossRef]
- Yang, G.; Kong, Q.; Mao, D.; Zhang, F.; Kang, Z.; Zong, Z. Analysis on the long-lasting freezing rain and snowstorm event at the beginning of 2008. Acta Meteorol. Sin. 2009, 24, 380–396. [Google Scholar]
- Zhang, Y.; Sperber, K.R.; Boyle, J.S. Climatology and Interannual Variation of the East Asian Winter Monsoon: Results from the 1979–1995 NCEP/NCAR Reanalysis. Mon. Weather Rev. 1997, 125, 2605–2619. [Google Scholar] [CrossRef]
- Ding, Y.; Krishnamurti, T.N. Heat Budget of the Siberian High and the Winter Monsoon. Mon. Weather Rev. 1987, 115, 2428–2449. [Google Scholar] [CrossRef]
- Ding, Y. Build-up, air mass transformation and propagation of Siberian high and its relations to cold surge in East Asia. Meteorol. Atmos. Phys. 1990, 44, 281–292. [Google Scholar] [CrossRef]
- Takaya, K.; Nakamura, H. Mechanisms of Intraseasonal Amplification of the Cold Siberian High. J. Atmos. Sci. 2005, 62, 4423–4440. [Google Scholar] [CrossRef]
- Park, T.-W.; Jeong, J.-H.; Ho, C.-H.; Kim, S.-J. Characteristics of Atmospheric Circulation Associated with Cold Surge Occurrences in East Asia: A Case Study During 2005/06 Winter. Adv. Atmos. Sci. 2008, 25, 791–804. [Google Scholar] [CrossRef]
- Thompson, D.W.J.; Wallace, J.M. The Arctic oscillation signature in the wintertime geopotential height and temperature fields. Geophys. Res. Lett. 1998, 25, 1297–1300. [Google Scholar] [CrossRef]
- Madden, R.A.; Julian, P.R. Detection of a 40–50 Day Oscillation in the Zonal Wind in the Tropical Pacific. J. Atmos. Sci. 1971, 28, 702–708. [Google Scholar] [CrossRef]
- Jeong, J.H.; Ho, C.H. Changes in occurrence of cold surges over east Asia in association with Arctic Oscillation. Geophys. Res. Lett. 2005, 32, L14704. [Google Scholar] [CrossRef]
- Park, T.W.; Ho, C.H.; Yang, S. Relationship between the arctic oscillation and cold surges over East Asia. J. Clim. 2011, 24, 68–83. [Google Scholar] [CrossRef]
- Woo, S.H.; Kim, B.M.; Jeong, J.H.; Kim, S.J.; Lim, G.H. Decadal changes in surface air temperature variability and cold surge characteristics over northeast Asia and their relation with the Arctic Oscillation for the past three decades (1979–2011). J. Geophys. Res. Atmos. 2012, 117, 1–16. [Google Scholar] [CrossRef]
- Jeong, J.H.; Ho, C.H.; Kim, B.M.; Kwon, W.T. Influence of the Madden-Julian Oscillation on wintertime surface air temperature and cold surges in east Asia. J. Geophys. Res. D Atmos. 2005, 110, 1–7. [Google Scholar] [CrossRef]
- Wang, B.; Wu, Z.; Chang, C.P.; Liu, J.; Li, J.; Zhou, T. Another look at interannual-to-interdecadal variations of the east Asian winter monsoon: The northern and southern temperature modes. J. Clim. 2010, 23, 1495–1512. [Google Scholar] [CrossRef]
- Overland, J.E.; Dethloff, K.; Francis, J.A.; Hall, R.J.; Hanna, E.; Kim, S.-J.; Screen, J.A.; Shepherd, T.G.; Vihma, T. Nonlinear response of mid-latitude weather to the changing Arctic. Nat. Publ. Gr. 2016, 6, 992–999. [Google Scholar] [CrossRef]
- Honda, M.; Inoue, J.; Yamane, S. Influence of low Arctic sea-ice minima on anomalously cold Eurasian winters. Geophys. Res. Lett. 2009, 36, 1–6. [Google Scholar] [CrossRef]
- Mori, M.; Watanabe, M.; Shiogama, H.; Inoue, J.; Kimoto, M. Robust Arctic sea-ice influence on the frequent Eurasian cold winters in past decades. Nat. Geosci. 2014, 7, 869–873. [Google Scholar] [CrossRef]
- Kim, B.M.; Son, S.W.; Min, S.K.; Jeong, J.H.; Kim, S.J.; Zhang, X.; Shim, T.; Yoon, J.H. Weakening of the stratospheric polar vortex by Arctic sea-ice loss. Nat. Commun. 2014, 5, 1–8. [Google Scholar] [CrossRef] [PubMed]
- Alexander, L.V.; Zhang, X.; Peterson, T.C.; Caesar, J.; Gleason, B.; Klein Tank, A.M.G.; Haylock, M.; Collins, D.; Trewin, B.; Rahimzadeh, F.; et al. Global observed changes in daily climate extremes of temperature and precipitation. J. Geophys. Res. Atmos. 2006, 111, 1–22. [Google Scholar] [CrossRef]
- Park, T.W.; Ho, C.H.; Jeong, S.J.; Choi, Y.S.; Park, S.K.; Song, C.K. Different characteristics of cold day and cold surge frequency over East Asia in a global warming situation. J. Geophys. Res. Atmos. 2011, 116, 1–12. [Google Scholar] [CrossRef]
- Choi, Y.; Ho, C.; Gong, D.; Jeong, J.; Park, T. Adaptive Change in Intra-Winter Distribution of Relatively Cold Events to East Asian Warming. Terr. Atmos. Ocean. Sci. 2009, 20, 807–816. [Google Scholar] [CrossRef]
- Francis, J.A.; Vavrus, S.J. Evidence linking Arctic amplification to extreme weather in mid-latitudes. Geophys. Res. Lett. 2012, 39, 4734–4739. [Google Scholar] [CrossRef]
- Cohen, J.; Screen, J.A.; Furtado, J.C.; Barlow, M.; Whittleston, D.; Coumou, D.; Francis, J.; Dethloff, K.; Entekhabi, D.; Overland, J.; et al. Recent Arctic amplification and extreme mid-latitude weather. Nat. Geosci. 2014, 7, 627–637. [Google Scholar] [CrossRef]
- Screen, J.A.; Deser, C.; Sun, L. Projected changes in regional climate extremes arising from Arctic sea ice loss. Environ. Res. Lett. 2015, 10. [Google Scholar] [CrossRef]
- Kug, J.-S.; Jeong, J.-H.; Jang, Y.-S.; Kim, B.-M.; Folland, C.K.; Min, S.-K.; Son, S.-W. Two distinct influences of Arctic warming on cold winters over North America and East Asia. Nat. Geosci. 2015, 8, 759–762. [Google Scholar] [CrossRef]
- Barnes, E.A.; Screen, J.A. The impact of Arctic warming on the midlatitude jet-stream: Can it? Has it? Will it? Wiley Interdiscip. Rev. Clim. Chang. 2015, 6, 277–286. [Google Scholar] [CrossRef]
- Screen, J.A. Arctic amplification decreases temperature variance in northern mid- to high-latitudes. Nat. Clim. Chang. 2014, 4, 577–582. [Google Scholar] [CrossRef]
- Dee, D.P.; Uppala, S.M.; Simmons, A.J.; Berrisford, P.; Poli, P.; Kobayashi, S.; Andrae, U.; Balmaseda, M.A.; Balsamo, G.; Bauer, P.; et al. The ERA-Interim reanalysis: Configuration and performance of the data assimilation system. Q. J. R. Meteorol. Soc. 2011, 137, 553–597. [Google Scholar] [CrossRef]
- Taylor, K.E.; Stouffer, R.J.; Meehl, G.A. An overview of CMIP5 and the experiment design. Bull. Am. Meteorol. Soc. 2012, 93, 485–498. [Google Scholar] [CrossRef]
- Park, T.W.; Ho, C.H.; Deng, Y. A synoptic and dynamical characterization of wave-train and blocking cold surge over East Asia. Clim. Dyn. 2014, 43, 753–770. [Google Scholar] [CrossRef]
- Park, T.W.; Ho, C.H.; Jeong, J.H.; Heo, J.W.; Deng, Y. A new dynamical index for classification of cold surge types over East Asia. Clim. Dyn. 2015, 45, 2469–2484. [Google Scholar] [CrossRef]
- Park, T.W.; Heo, J.W.; Jeong, J.H.; Ho, C.H. Characteristics of East Asian Cold Surges in the CMIP5 Climate Models. Atmosphere 2017, 27, 199–211. [Google Scholar] [CrossRef]
- Takaya, K.; Nakamura, H. Geographical dependence of upper-level blocking formation associated with intraseasonal amplification of the Siberian high. J. Atmos. Sci. 2005, 4441–4449. [Google Scholar] [CrossRef]
- Ou, T.; Chen, D.; Jeong, J.H.; Linderholm, H.W.; Zhou, T. Changes in winter cold surges over Southeast China: 1961 to 2012. Asia-Pac. J. Atmos. Sci. 2015, 51, 29–37. [Google Scholar] [CrossRef]
- Jhun, J.G.; Lee, E.J. A new East Asian winter monsoon index and associated characteristics of the winter monsoon. J. Clim. 2004, 17, 711–726. [Google Scholar] [CrossRef]











| Model | Institution | Atmospheric Resolution |
|---|---|---|
| ACCESS1-3 | Commonwealth Scientific and Organization, Bureau of Meteorology | 192,145 N96 |
| BNU-ESM | Beijing Normal University | T42 |
| Can-ESM2 | Canadian Center for Climate Modeling and Analysis | T63 |
| CMCC-CESM | Centro Euro-Mediterraneo per I Cambiamenti Climatici | T31 |
| CMCC-CMS | Centro Euro-Mediterraneo per I Cambiamenti Climatici | T63 |
| GFDL-ESM2G | NOAA Geophysical Fluid Dynamics Laboratory | 2.5° × 2° |
| MPI-ESM-LR | Max Planck Institute for Meteorology | T63 |
| MPI-ESM-MR | Max Planck Institute for Meteorology | T63 |
| NorESM1-M | Norwegian Climate Centre | 1.9° × 2.5° |
© 2018 by the authors. Licensee MDPI, Basel, Switzerland. This article is an open access article distributed under the terms and conditions of the Creative Commons Attribution (CC BY) license (http://creativecommons.org/licenses/by/4.0/).
Share and Cite
Heo, J.-W.; Ho, C.-H.; Park, T.-W.; Choi, W.; Jeong, J.-H.; Kim, J. Changes in Cold Surge Occurrence over East Asia in the Future: Role of Thermal Structure. Atmosphere 2018, 9, 222. https://doi.org/10.3390/atmos9060222
Heo J-W, Ho C-H, Park T-W, Choi W, Jeong J-H, Kim J. Changes in Cold Surge Occurrence over East Asia in the Future: Role of Thermal Structure. Atmosphere. 2018; 9(6):222. https://doi.org/10.3390/atmos9060222
Chicago/Turabian StyleHeo, Jin-Woo, Chang-Hoi Ho, Tae-Won Park, Woosuk Choi, Jee-Hoon Jeong, and Jinwon Kim. 2018. "Changes in Cold Surge Occurrence over East Asia in the Future: Role of Thermal Structure" Atmosphere 9, no. 6: 222. https://doi.org/10.3390/atmos9060222
APA StyleHeo, J.-W., Ho, C.-H., Park, T.-W., Choi, W., Jeong, J.-H., & Kim, J. (2018). Changes in Cold Surge Occurrence over East Asia in the Future: Role of Thermal Structure. Atmosphere, 9(6), 222. https://doi.org/10.3390/atmos9060222
