Cloud Longwave Scattering Effect and Its Impact on Climate Simulation
Abstract
1. Introduction
2. Theory and Methodology
2.1. Radiative Transfer in Longwave
2.2. Experiments Design
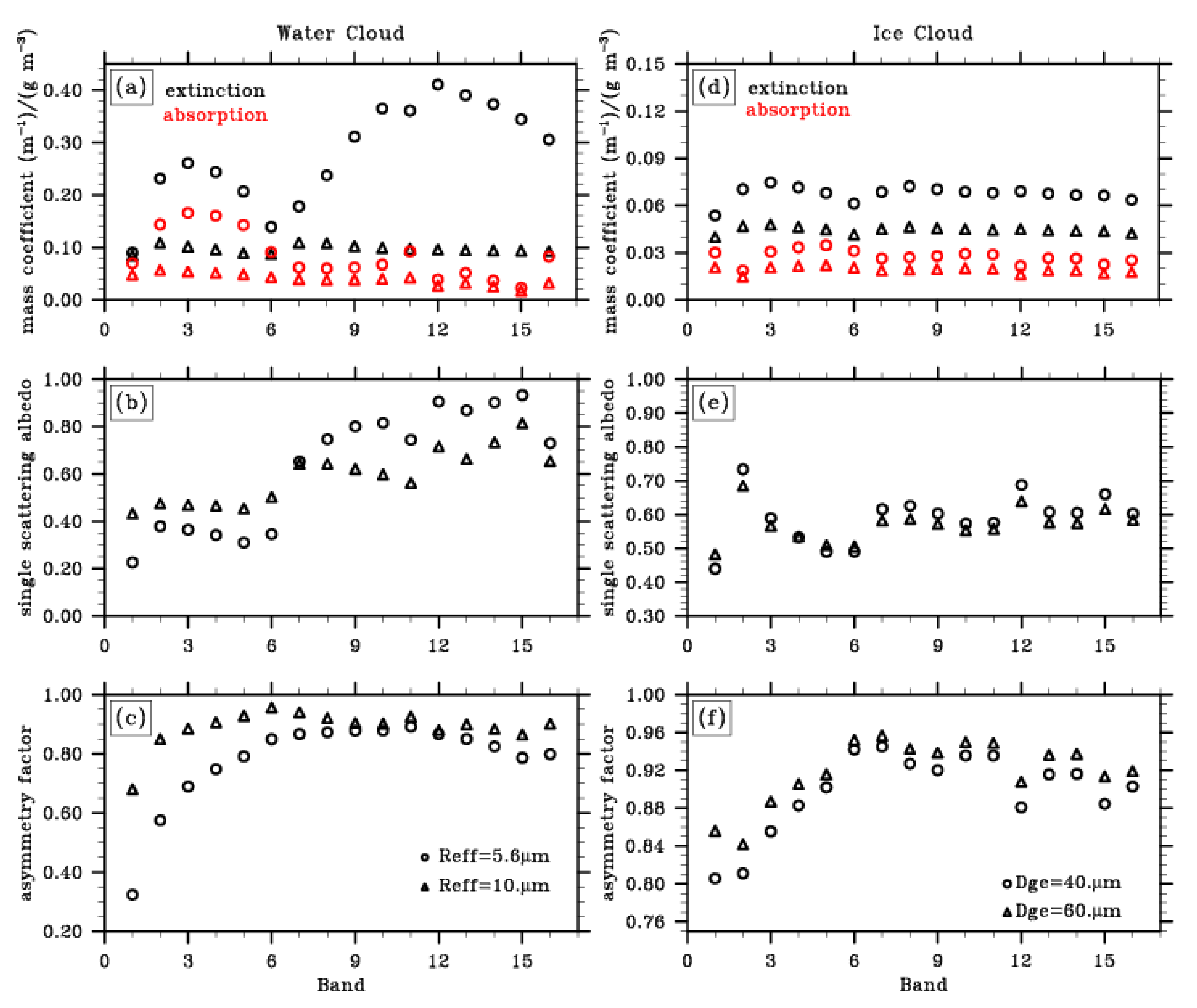
2.3. LW Optical Properties of Water and Ice Clouds
3. Standalone Radiative Transfer Model Results
4. Global Climate Model Results
4.1. Diagnostic Run
4.2. Interactive Runs
4.3. Discussions
5. Summary
Supplementary Materials
Acknowledgments
Author Contributions
Conflicts of Interest
References
- Donohoe, A.; Armour, K.C.; Pendergrass, A.G.; Battisti, D.S. Shortwave and longwave radiative contributions to global warming under increasing CO2. Proc. Natl. Acad. Sci. USA 2014, 111, 16700–16705. [Google Scholar] [CrossRef] [PubMed]
- Hong, Y.; Liu, G.; Li, J.-L.F. Assessing the radiative effects of global ice clouds based on CloudSat and CALIPSO measurements. J. Clim. 2016, 29, 7651–7674. [Google Scholar] [CrossRef]
- Baran, A.J. From the single-scattering properties of ice crystals to climate prediction: A way forward. Atmos. Res. 2012, 112, 45–69. [Google Scholar] [CrossRef]
- Kim, D.; Ahn, M.-S.; Kang, I.-S.; Genio, A. Role of longwave cloud-radiation feedback in the simulation of the Madden-Julian oscillation. J. Clim. 2015, 28, 6979–6993. [Google Scholar] [CrossRef]
- Fu, Q.; Liou, K.N.; Cribb, M.C.; Charlock, T.P.; Grossman, A. On multiple scattering in thermal infrared radiative transfer. J. Atmos. Sci. 1997, 54, 2799–2812. [Google Scholar] [CrossRef]
- Chou, M.D.; Lee, K.T.; Tsay, S.C.; Fu, Q. Parameterization for cloud longwave scattering for use in atmospheric models. J. Clim. 1999, 12, 159–169. [Google Scholar] [CrossRef]
- Li, J. Accounting for unresolved clouds in a 1D infrared radiative transfer model. Part I: Solution for radiative transfer, including cloud scattering and overlap. J. Atmos. Sci. 2002, 59, 3302–3320. [Google Scholar] [CrossRef]
- Costa, S.M.S.; Shine, K.P. An estimate of the global impact of multiple scattering by clouds on outgoing long-wave radiation. Q. J. R. Meteorol. Soc. 2006, 132, 885–895. [Google Scholar] [CrossRef]
- Chen, X.; Huang, X.; Flanner, M.G. Sensitivity of modeled far-IR radiation budgets in polar continents to treatments of snow surface and ice cloud radiative properties. Geophys. Res. Lett. 2014, 41, 6530–6537. [Google Scholar] [CrossRef]
- Li, J.; Fu, Q. Absorption approximation with scattering effect for infrared radiation. J. Atmos. Sci. 2000, 57, 2905–2914. [Google Scholar] [CrossRef]
- Zhang, F.; Wu, K.; LI, J.; Yang, Q.; Zhao, J.; Li, J. Analytical infrared delta-four-stream adding method from invariance principle. J. Atmos. Sci. 2016, 73, 4171–4188. [Google Scholar] [CrossRef]
- Oreopoulos, L.; Mlawer, E.; Delamere, J.; Shippert, T.; Cole, J.; Fomin, B.; Iacono, M.; Jin, Z.; Li, J.; Manners, J.; et al. The Continual Intercomparison of Radiation Codes: Results from Phase I. J. Geophys. Res. 2012, 117, D06118. [Google Scholar] [CrossRef]
- Edwards, J.M.; Slingo, A. Studies with a flexible new radiation code. I: Choosing a configuration for a large-scale model. Q. J. R. Meteorol. Soc. 1996, 122, 689–719. [Google Scholar] [CrossRef]
- Zhang, Y.; Rossow, W.B.; Lacis, A.A.; Oinas, V.; Mishchenko, M.I. Calculation of radiative fluxes from the surface to top of atmosphere based on ISCCP and other global data sets: Refinements of the radiative transfer model and the input data. J. Geophys. Res. 2004, 109, D19105. [Google Scholar] [CrossRef]
- Fomin, B.A. Monte-Carlo algorithm for line-by-line calculations of thermal radiation in multiple scattering layered atmospheres. J. Quant. Spectrosc. Radiat. Transf. 2006, 98, 107–115. [Google Scholar] [CrossRef]
- Stephens, G.L.; Gabriel, P.M.; Partain, P.T. Parameterization of atmospheric radiative transfer. Part I: Validity of simple models. J. Atmos. Sci. 2001, 58, 3391–3409. [Google Scholar] [CrossRef]
- Joseph, E.; Min, Q. Assessment of multiple scattering and horizontal inhomogeneity in IR radiative transfer calculations of observed thin cirrus clouds. J. Geophys. Res. 2003, 108, 4380. [Google Scholar] [CrossRef]
- Kuo, C.-P.; Yang, P.; Huang, X.; Feldman, D.; Flanner, M.; Kuo, C.; Mlawer, E.J. Impact of Multiple scattering on longwave radiative transfer involving clouds. J. Adv. Model. Earth Syst. 2017, 9, 3082–3098. [Google Scholar] [CrossRef]
- Park, S.; Bretherton, C.S.; Rasch, P.J. Integrating cloud processes in the community atmosphere model, version 5. J. Clim. 2014, 27, 6821–6856. [Google Scholar] [CrossRef]
- Tao, W.-K.; Simpson, J.; Sui, C.-H.; Ferrier, B.; Lang, S.; Scala, J.; Chou, M.-D.; Pickering, K. Heating, moisture, and water budgets of tropical and midlatitude squall lines: Comparisons and sensitivity to longwave radiation. J. Atmos. Sci. 1993, 50, 673–690. [Google Scholar] [CrossRef]
- Shupe, M.D.; Intrieri, J.M. Cloud radiative forcing of the arctic surface: The influence of cloud properties, surface albedo, and solar zenith angle. J. Clim. 2004, 17, 616–628. [Google Scholar] [CrossRef]
- Zelinka, M.D.; Klein, S.A.; Taylor, K.E.; Andrews, T.; Webb, M.J.; Gregory, J.M.; Forster, P.M. Contributions of different cloud types to feedbacks and rapid adjustments in CMIP5. J. Clim. 2013, 26, 5007–5027. [Google Scholar] [CrossRef]
- Huang, Y.; Ramaswamy, V.; Soden, B. An investigation of the sensitivity of the clear-sky outing longwave radiation to atmospheric temperature and water vapor. J. Geophys. Res. 2007, 112, D05104. [Google Scholar] [CrossRef]
- Huang, Y. A simulated climatology of spectrally decomposed atmospheric infrared radiation. J. Clim. 2012, 26, 1702–1715. [Google Scholar] [CrossRef]
- Huang, Y. On the longwave climate feedbacks. J. Clim. 2013, 26, 7603–7610. [Google Scholar] [CrossRef]
- Harries, J.E.; Brindley, H.E.; Sagoo, P.J.; Bantges, R.J. Increases in greenhouse forcing inferred from the outgoing longwave radiation spectra of the Earth in 1970–1997. Nature 2001, 410, 355–357. [Google Scholar] [CrossRef] [PubMed]
- Sandeep, S.; Stordal, F. Use of daily outgoing longwave radiation (OLR) data in detecting precipitation extremes in the tropics. Remote Sens. Lett. 2013, 6, 570–578. [Google Scholar] [CrossRef]
- Kiladis, G.N.; Dias, J.; Straub, K.H.; Wheeler, M.C.; Tulich, S.N.; Kikuchi, K.; Weickmann, K.M.; Ventrice, M.J. A Comparison of OLR and Circulation-Based Indices for Tracking the MJO. Mon. Weather Rev. 2014, 142, 1697–1715. [Google Scholar] [CrossRef]
- Stamnes, K.; Tsay, S.C.; Wiscombe, W.; Jayaweera, K. Numerically stable algorithm for discrete-ordinate-method radiative transfer in multiple scattering and emitting layered media. Appl. Opt. 1988, 27, 2502–2509. [Google Scholar] [CrossRef] [PubMed]
- Joseph, J.H.; Wiscombe, W.J.; Weinman, J.A. The delta Eddington approximation for radiative flux transfer. J. Atmos. Sci. 1976, 33, 2452–2459. [Google Scholar] [CrossRef]
- Li, J. Gaussian quadrature and its application to infrared radiation. J. Atmos. Sci. 2000, 57, 753–765. [Google Scholar] [CrossRef]
- Mlawer, E.J.; Taubman, S.J.; Brown, P.D.; Iacono, M.J.; Clough, S.A. Radiative transfer for inhomogeneous atmospheres: RRTM, a validated correlated-k model for the longwave. J. Geophys. Res. 1997, 102, 16663–16682. [Google Scholar] [CrossRef]
- Iacono, M.J.; Delamere, J.S.; Mlawer, E.J.; Shephard, M.W.; Clough, S.A.; Collins, W.D. Radiative forcing by longlived greenhouse gases: Calculations with the AER radiative transfer models. J. Geophys. Res. 2008, 113, D13103. [Google Scholar] [CrossRef]
- Neale, R.B.; Chen, C.-C.; Gettelman, A.; Lauritzen, P.H.; Park, S.; Williamson, D.L.; Conley, A.J.; Garcia, R.; Kinnison, D.; Lamarque, J.-F.; et al. Description of the NCAR Community Atmosphere Model (CAM 5.0); NCAR Tech. Note NCAR/TN-486+STR. 2012. Available online: http://www.cesm.ucar.edu/models/cesm1.0/cam/docs/description/cam5_desc.pdf (accessed on 29 January 2018).
- Eidhammer, T.; Morrison, H.; Bansemer, A.; Gettelman, A.; Heymsfield, A.J. Comparison of ice clod properties simulated by the Community Atmosphere Model (CAM5) with in-situ observations. Atmos. Chem. Phys. 2014, 14, 10103–10118. [Google Scholar] [CrossRef]
- Kay, J.E.; Wall, C.; Yettella, V.; Medeiros, B.; Hannay, C.; Caldwell, P.; Bitz, C. Global climate impacts of fixing the Southern Ocean shortwave radiation bias in the Community Earth System Model (CESM). J. Clim. 2016, 29, 4617–4636. [Google Scholar] [CrossRef]
- Kay, J.E.; Bourdages, L.; Miller, N.B.; Morrison, A.; Yettella, V.; Chepfer, H.; Eaton, B. Evaluating and improving cloud phase in the Community Atmosphere Model version 5 using spaceborne lidar observations. J. Geophys. Res. Atmos. 2016, 121, 4162–4176. [Google Scholar] [CrossRef]
- Baran, A.J. A review of the light scattering properties of cirrus. J. Quant. Spectrosc. Radiat. Transf. 2009, 110, 1239–1260. [Google Scholar] [CrossRef]
- Slingo, A.; Schrecker, H.M. On the shortwave radiative properties of stratiform water clouds. Q. J. R. Meteorol. Soc. 1982, 108, 407–426. [Google Scholar] [CrossRef]
- Fu, Q.; Liou, K.N. Parameterization of the radiative properties of cirrus clouds. J. Atmos. Sci. 1993, 50, 2008–2025. [Google Scholar] [CrossRef]
- Fu, Q.; Yang, P.; Sun, W.B. An accurate parameterization of the infrared radiative properties of cirrus clouds for climate models. J. Clim. 1998, 11, 2223–2237. [Google Scholar] [CrossRef]
- Foot, J.S. Some observations of the optical properties of clouds. II: Cirrus. Q. J. R. Meteorol. Soc. 1988, 114, 141–164. [Google Scholar] [CrossRef]
- Herman, G.F.; Curry, J.A. Observational and theoretical studies of solar radiation in arctic stratus clouds. J. Clim. Appl. Meteorol. 1984, 23, 5–24. [Google Scholar] [CrossRef]
- Slingo, A. A GCM parameterization for the shortwave radiative properties of water clouds. J. Atmos. Sci. 1989, 46, 1419–1427. [Google Scholar] [CrossRef]
- Hong, Y.; Liu, G. The characteristics of ice cloud properties derived from CloudSat and CALIPSO measurements. J. Clim. 2015, 28, 3880–3901. [Google Scholar] [CrossRef]
- Hu, Y.X.; Stamnes, K. An accurate parameterization of the radiative properties of water clouds suitable for use in climate models. J. Clim. 1993, 6, 728–742. [Google Scholar] [CrossRef]
- Lindner, T.H.; Li, J. Parameterization of the optical properties for water clouds in the infrared. J. Clim. 2000, 13, 1797–1805. [Google Scholar] [CrossRef]
- Yi, B.; Yang, P.; Baum, B.A.; L’Ecuyer, T.; Oreopoulos, L.; Mlawer, E.J.; Heymsfield, A.J.; Liou, K.-N. Influence of ice particle surface roughening on the global cloud radiative effect. J. Atmos. Sci. 2013, 70, 2794–2807. [Google Scholar] [CrossRef]
- Wiscombe, W.J. Mie Scattering Calculations: Advances in Technique and Fast, Vector-Speed Computer Codes; Technical Report Tech. Note. NCAR/TN-140+STR. 1996. Available online: http://dust.ess.uci.edu/ppr/ppr_Wis79.pdf (accessed on 29 January 2018).
- Taylor, K.E.; Stouffer, R.J.; Meehl, G.A. An overview of CMIP5 and the experiment design. Bull. Am. Meteorol. Soc. 2012, 93, 485–498. [Google Scholar] [CrossRef]
- Morrison, H.; Gettelman, A. A New Two-Moment Bulk Stratiform Cloud Microphysics Scheme in the Community Atmosphere Model, Version 3 (CAM3). Part I: Description and Numerical Tests. J. Clim. 2008, 21, 3642–3659. [Google Scholar] [CrossRef]
- Li, J.; Chylek, P.; Zhang, F. The dissipation structure of extratropical cyclones. J. Atmos. Sci. 2014, 71, 69–88. [Google Scholar] [CrossRef]
- Muhlbauer, A.; McCoy, I.L.; Wood, R. Climatology of stratocumulus cloud morphologies: Microphysical properties and radiative effects. Atmos. Chem. Phys. 2014, 14, 6695–6716. [Google Scholar] [CrossRef]
- Boucher, O.; Randall, D.; Artaxo, P.; Bretherton, C.; Feingold, G.; Forster, P.; Kerminen, V.-M.; Kondo, Y.; Liao, H.; Lohmann, U.; et al. Clouds and Aerosols. In Climate Change 2013: The Physical Science Basis. Contribution of Working Group I to the Fifth Assessment Report of the Intergovernmental Panel on Climate Change; Cambridge University Press: Cambridge, UK; New York, NY, USA, 2013. [Google Scholar]
- Kang, S.M.; Seager, R.; Frierson, D.M.W.; Liu, X. Croll revisited: Why is the northern hemisphere warmer than the southern hemisphere? Clim. Dyn. 2015, 44, 1457–1472. [Google Scholar] [CrossRef]
- Lu, J.; Vecchi, G.A.; Reichler, T. Expansion of the Hadley cell under global warming. Geophys. Res. Lett. 2007, 34, L06805. [Google Scholar]
- Adam, O.; Schneider, T.; Harnik, N. Role of changes in mean temperatures versus temperature gradients in the recent widening of the Hadley circulation. J. Clim. 2014, 27, 7450–7461. [Google Scholar] [CrossRef]
- Ceppi, P.; Shepherd, T.G. Contributions of climate feedbacks to changes in atmospheric circulation. J. Clim. 2017, 30, 9097–9118. [Google Scholar] [CrossRef]
- Dargan, M.D.F.; Hwang, Y.T. Extratropical influence on ITCZ shifts in slab ocean simulations of global warming. J. Clim. 2011, 25, 720–733. [Google Scholar]
- Hawcroft, M.; Haywood, J.M.; Collins, M.; Jones, A.; Jones, A.C.; Stephens, G. Southern ocean albedo, inter-hemispheric energy transports and the double ITCZ: Global impacts of biases in a coupled model. Clim. Dyn. 2016, 48, 2279–2295. [Google Scholar] [CrossRef]
- Loeb, N.G.; Wang, H.; Cheng, A.; Kato, S.; Fasullo, J.T.; Xu, K.M.; Allan, R.P. Observational constraints on atmospheric and oceanic cross-equatorial heat transports: Revisiting the precipitation asymmetry problem in climate models. Clim Dyn. 2016, 46, 3239–3257. [Google Scholar] [CrossRef]
- Holton, J. An Introduction to Dynamic Meteorology; Academic Press: Cambridge, MA, USA, 2004; p. 372. [Google Scholar]
- Räisänen, P.; Barker, H.W.; Khairoutdinov, M.; Li, J. Stochastic generation of subgrid-scale cloudy columns for large-scale models. Q. J. R. Meteorol. Soc. 2004, 130, 2047–2068. [Google Scholar] [CrossRef]
- Takara, E.E.; Ellingson, R.G. Broken cloud field longwave-scattering effects. J. Atmos. Sci. 2000, 57, 1298–1310. [Google Scholar] [CrossRef]
- Bacmeister, J.T.; Wehner, M.F.; Neale, R.B.; Gettelman, A.; Hannay, C.; Lauritzen, P.H.; Caron, J.M.; Truesdale, J.E. Exploratory High-Resolution Climate Simulations using the Community Atmosphere Model (CAM). J. Clim. 2014, 27, 3073–3099. [Google Scholar] [CrossRef]









| Band Index | Band Min (μm) | Band Max (μm) | Band Min (cm−1) | Band Max (cm−1) |
|---|---|---|---|---|
| 1 | 28.57 | 1000.0 | 10 | 350 |
| 2 | 20.00 | 28.57 | 350 | 500 |
| 3 | 15.87 | 20.00 | 500 | 630 |
| 4 | 14.29 | 15.87 | 630 | 700 |
| 5 | 12.20 | 14.29 | 700 | 820 |
| 6 | 10.20 | 12.20 | 820 | 980 |
| 7 | 9.26 | 10.20 | 980 | 1080 |
| 8 | 8.47 | 9.26 | 1080 | 1180 |
| 9 | 7.19 | 8.47 | 1180 | 1390 |
| 10 | 6.76 | 7.19 | 1390 | 1480 |
| 11 | 5.56 | 6.76 | 1480 | 1800 |
| 12 | 4.81 | 5.56 | 1800 | 2080 |
| 13 | 4.44 | 4.81 | 2080 | 2250 |
| 14 | 4.20 | 4.44 | 2250 | 2380 |
| 15 | 3.85 | 4.20 | 2380 | 2600 |
| 16 | 3.08 | 3.85 | 2600 | 3250 |
© 2018 by the authors. Licensee MDPI, Basel, Switzerland. This article is an open access article distributed under the terms and conditions of the Creative Commons Attribution (CC BY) license (http://creativecommons.org/licenses/by/4.0/).
Share and Cite
Zhao, W.; Peng, Y.; Wang, B.; Li, J. Cloud Longwave Scattering Effect and Its Impact on Climate Simulation. Atmosphere 2018, 9, 153. https://doi.org/10.3390/atmos9040153
Zhao W, Peng Y, Wang B, Li J. Cloud Longwave Scattering Effect and Its Impact on Climate Simulation. Atmosphere. 2018; 9(4):153. https://doi.org/10.3390/atmos9040153
Chicago/Turabian StyleZhao, Wenjie, Yiran Peng, Bin Wang, and Jiangnan Li. 2018. "Cloud Longwave Scattering Effect and Its Impact on Climate Simulation" Atmosphere 9, no. 4: 153. https://doi.org/10.3390/atmos9040153
APA StyleZhao, W., Peng, Y., Wang, B., & Li, J. (2018). Cloud Longwave Scattering Effect and Its Impact on Climate Simulation. Atmosphere, 9(4), 153. https://doi.org/10.3390/atmos9040153
