On the Attribution of Changing Reference Evapotranspiration in a Coastal Area of China
Abstract
:1. Introduction
2. Study Area and Data
2.1. Study Area
2.2. Data
3. Methods
3.1. Calculation of ET0
3.2. Attribution of Changes in ET0
4. Results and Discussion
4.1. Changes in ET0
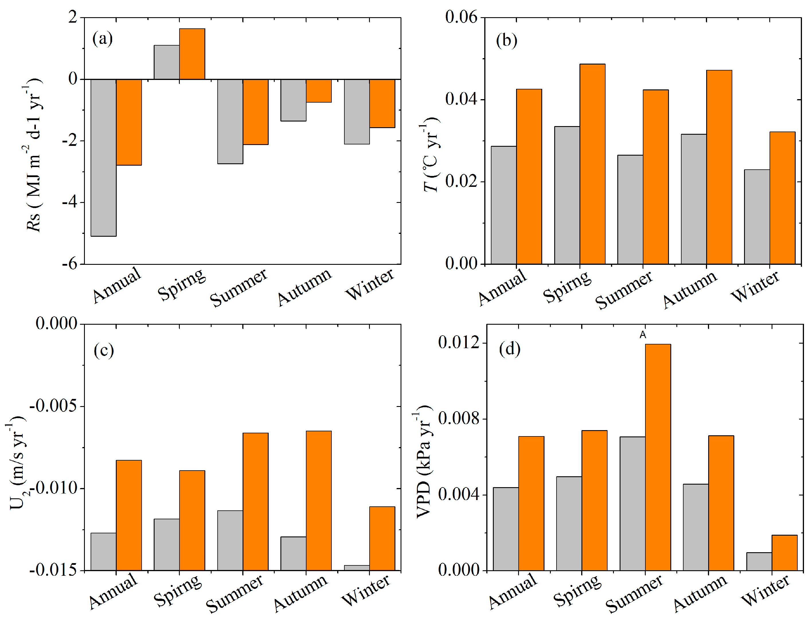
4.2. Changes in Climate Variables
4.3. Quantification of ET0 Changes
4.4. Influence of Topography on ET0 Changes
5. Conclusions
Acknowledgments
Author Contributions
Conflicts of Interest
References
- Cleverly, J.; Eamus, D.; Gorsel, E.V.; Chen, C.; Rumman, R.; Luo, Q.; Coupe, N.R.; Li, L.; Kljun, N.; Faux, R. Productivity and evapotranspiration of two contrasting semiarid ecosystems following the 2011 global carbon land sink anomaly. Agric. For. Meteorol. 2016, 220, 151–159. [Google Scholar] [CrossRef]
- Milly, P.C.D.; Dunne, K.A. Potential evapotranspiration and continental drying. Nat. Clim. Chang. 2016, 6, 946–949. [Google Scholar] [CrossRef]
- Zhang, D.; Liu, X.; Zhang, Q.; Liang, K.; Liu, C. Investigation of factors affecting intra-annual variability of evapotranspiration and streamflow under different climate conditions. J. Hydrol. 2016, 543, 759–769. [Google Scholar] [CrossRef]
- Liu, X.; Yang, T.; Hsu, K.; Liu, C.; Sorooshian, S. Evaluating the streamflow simulation capability of PERSIANN-CDR daily rainfall products in two river basins on the Tibetan Plateau. Hydrol. Earth Syst. Sci. 2017, 21, 169–181. [Google Scholar] [CrossRef]
- Brutsaert, W.; Parlange, M.B. Hydrologic cycle explains the evaporation paradox. Nature 1998, 396, 30. [Google Scholar] [CrossRef]
- Cong, Z.T.; Yang, D.W.; Ni, G.H. Does evaporation paradox exist in China? Hydrol. Earth Syst. Sci. 2008, 13, 357–366. [Google Scholar] [CrossRef]
- Hobbins, M.T.; Ramírez, J.A.; Brown, T.C. Trends in pan evaporation and actual evapotranspiration across the conterminous U.S.: Paradoxical or complementary? Geophys. Res. Lett. 2004, 31, 405–407. [Google Scholar] [CrossRef]
- Liu, X.; Luo, Y.; Zhang, D.; Zhang, M.; Liu, C. Recent changes in pan-evaporation dynamics in China. Geophys. Res. Lett. 2011, 38, 142–154. [Google Scholar] [CrossRef]
- Mcvicar, T.R.; Roderick, M.L.; Donohue, R.J.; Li, L.T.; Niel, T.G.V.; Thomas, A.; Grieser, J.; Jhajharia, D.; Himri, Y.; Mahowald, N.M. Global review and synthesis of trends in observed terrestrial near-surface wind speeds: Implications for evaporation. J. Hydrol. 2012, 416–417, 182–205. [Google Scholar] [CrossRef]
- Zhang, D.; Hong, H.; Zhang, Q.; Nie, R. Effects of climatic variation on pan-evaporation in the Poyang lake basin, China. Clim. Res. 2014, 61, 29–40. [Google Scholar] [CrossRef]
- Sun, S.; Chen, H.; Ju, W.; Yu, M.; Hua, W.; Yin, Y. On the attribution of the changing hydrological cycle in Poyang lake basin, china. J. Hydrol. 2014, 514, 214–225. [Google Scholar] [CrossRef]
- Xu, C.Y.; Gong, L.; Jiang, T.; Chen, D.; Singh, V.P. Analysis of spatial distribution and temporal trend of reference evapotranspiration and pan evaporation in Changjiang (Yangtze river) catchment. J. Hydrol. 2006, 327, 81–93. [Google Scholar] [CrossRef]
- Zhang, D.; Liu, X.; Hong, H. Assessing the effect of climate change on reference evapotranspiration in China. Stoch. Environ. Res. Risk Assess. 2013, 27, 1871–1881. [Google Scholar] [CrossRef]
- Vicente-Serrano, S.M.; Azorin-Molina, C.; Sanchez-Lorenzo, A.; Revuelto, J.; Morán-Tejeda, E.; López-Moreno, J.I.; Espejo, F. Sensitivity of reference evapotranspiration to changes in meteorological parameters in Spain (1961–2011). Water Resour. Res. 2015, 50, 8458–8480. [Google Scholar] [CrossRef]
- Liu, W.; Sun, F. Assessing estimates of evaporative demand in climate models using observed pan evaporation over China. J. Geophys. Res. Atmos. 2016, 121, 8329–8349. [Google Scholar] [CrossRef]
- Sun, S.; Chen, H.; Sun, G.; Ju, W.; Wang, G.; Li, X.; Yan, G.; Gao, C.; Huang, J.; Zhang, F. Attributing the changes in reference evapotranspiration in southwest China using a new separation method. J. Hydrometeorol. 2017, 18, 777–798. [Google Scholar] [CrossRef]
- Fisher, J.B.; Whittaker, R.J.; Malhi, Y. Et come home: Potential evapotranspiration in geographical ecology. Glob. Ecol. Biogeogr. 2015, 20, 1–18. [Google Scholar] [CrossRef]
- Pereira, L.S.; Allen, R.G.; Smith, M.; Raes, D. Crop evapotranspiration estimation with fao56: Past and future. Agric. Water Manag. 2015, 147, 4–20. [Google Scholar] [CrossRef]
- Kool, D.; Agam, N.; Lazarovitch, N.; Heitman, J.L.; Sauer, T.J.; Bengal, A. A review of approaches for evapotranspiration partitioning. Agric. For. Meteorol. 2014, 184, 56–70. [Google Scholar] [CrossRef]
- Wang, K.; Dickinson, R.E. A review of global terrestrial evapotranspiration: Observation, modeling, climatology, and climatic variability. Rev. Geophys. 2012, 50, RG2005. [Google Scholar] [CrossRef]
- Garcia, M.; Raes, D.; Allen, R.; Herbas, C. Dynamics of reference evapotranspiration in the Bolivian highlands (Altiplano). Agric. For. Meteorol. 2004, 125, 67–82. [Google Scholar] [CrossRef]
- Liu, X.; Zhang, D. Trend analysis of reference evapotranspiration in northwest China: The roles of changing wind speed and surface air temperature. Hydrol. Process. 2013, 27, 3941–3948. [Google Scholar] [CrossRef]
- Vicente-Serrano, S.M.; Azorin-Molina, C.; Sanchez-Lorenzo, A.; Revuelto, J.; López-Moreno, J.I.; González-Hidalgo, J.C.; Moran-Tejeda, E.; Espejo, F. Reference evapotranspiration variability and trends in Spain, 1961–2011. Glob. Planet. Chang. 2014, 121, 26–40. [Google Scholar] [CrossRef]
- Sun, S.; Chen, H.; Wang, G.; Li, J.; Mu, M.; Yan, G.; Xu, B.; Huang, J.; Wang, J.; Zhang, F. Shift in potential evapotranspiration and its implications for dryness/wetness over southwest China. J. Geophys. Res. Atmos. 2016, 121, 9342–9355. [Google Scholar] [CrossRef]
- Litvak, E.; Manago, K.F.; Hogue, T.S.; Pataki, D.E. Evapotranspiration of urban landscapes in Los Angeles, California at the municipal scale. Water Resour. Res. 2017, 53, 4236–4252. [Google Scholar] [CrossRef]
- Han, S.; Xu, D.; Wang, S. Decreasing potential evaporation trends in China from 1956 to 2005: Accelerated in regions with significant agricultural influence? Agric. For. Meteorol. 2012, 154–155, 44–56. [Google Scholar] [CrossRef]
- Ye, X.; Wei, Y.D. Geospatial analysis of regional development in china: The case of Zhejiang province and the Wenzhou model. Eurasian Geogr. Econ. 2005, 46, 445–464. [Google Scholar] [CrossRef]
- Xu, Y.P.; Pan, S.; Fu, G.; Tian, Y.; Zhang, X. Future potential evapotranspiration changes and contribution analysis in Zhejiang province, east China. J. Geophys. Res. Atmos. 2014, 119, 2174–2192. [Google Scholar] [CrossRef]
- Pan, S.; Gao, X.; Ma, C.; Zhang, X.; Xu, Y. A Total-order Sensitivity Analysis of Potential Evapotranspiration in Shengsi Islands. China Rural Water Hydropower 2014, 35–38. (In Chinese) [Google Scholar] [CrossRef]
- Ye, H.; Shi, X.; Li, D.; Xu, Z. Spatiotemporal characteristics of agricultural climate resources in Zhejiang Province. Acta Agric. Zhejiangensis 2014, 26, 1021–1030. (In Chinese) [Google Scholar]
- Zhang, F. Zhejiang Province is the first place in the whole country to build awell-off society. Stat. Sci. Pract. 2006, 8, 4–6. (In Chinese) [Google Scholar]
- Ge, Q.S.; Guo, X.F.; Zheng, J.Y.; Hao, Z.X. Meiyu in the middle and lower reaches of the Yangtze River since 1736. Chin. Sci. Bull. 2008, 53, 107–114. [Google Scholar] [CrossRef]
- Yu, L.-N.; Lei, Y.; Cao, M.L.; Chen, C.X. Statistical analysis on the tropical cyclones affected and landfalled on Zhejiang in recent 58 years. J. Oceanogr. Taiwan Strait 2007, 2, 007. [Google Scholar]
- Feng, L.H.; Luo, G.Y. Analysis on fuzzy risk of landfall typhoon in Zhejiang province of China. Math. Comput. Simul. 2009, 79, 3258–3266. [Google Scholar] [CrossRef]
- Yang, Z.; Jin, X. Effects of input of land resource on economic growth based on panal data-A case of Zhejiang province. Yangtze River Watershed Resour. Environ. 2009, 18, 409–415. (In Chinese) [Google Scholar]
- Global Land Cover Facility. Available online: ftp://ftp.glcf.umd.edu/glcf/SRTM (accessed on 10 October 2017).
- Allen, R.G.; Pereira, L.S.; Raes, D.; Smith, M. Crop evapotranspiration—Guidelines for computing crop water requirements—FAO irrigation and drainage paper 56. FAO Rome 1998, 300, 1–15. [Google Scholar]
- Feng, Z.; Tang, Y.; Yang, Y.; Zhang, D. The Relief Degree of Land Surface in China and Its Correlation with Population Distribution. Acta Geogr. Sin. 2007, 10, 1073–1082. (In Chinese) [Google Scholar]
- Roering, J.J.; Kirchner, J.W.; Dietrich, W.E. Characterizing structural and lithologic controls on deep-seated landsliding: Implications for topographic relief and landscape evolution in the oregon coast range, USA. Geol. Soc. Am. Bull. 2005, 117, 654–668. [Google Scholar] [CrossRef]
- Reed, D.; Anderson, T.; Dempewolf, J.; Metzger, K.; Serneels, S. The spatial distribution of vegetation types in the serengeti ecosystem: The influence of rainfall and topographic relief on vegetation patch characteristics. J. Biogeogr. 2009, 36, 770–782. [Google Scholar] [CrossRef]
- Zhu, H.; Chen, N.; Liu, H.; Tang, G. Extracting landform fluctuate degree from 1:10,000 scale DEM—A scale of Shanbei plateau. Sci. Surv. Mapp. 2005, 30, 86–88. (In Chinese) [Google Scholar]
- Vautard, R.; Cattiaux, J.; Yiou, P.; Thépaut, J.-N.; Ciais, P. Northern hemisphere atmospheric stilling partly attributed to an increase in surface roughness. Nat. Geosci. 2010, 3, 756–761. [Google Scholar] [CrossRef]
- McVicar, T.R.; Roderick, M.L. Atmospheric science: Winds of change. Nat. Geosci. 2010, 3, 747–748. [Google Scholar] [CrossRef]
- Wang, Y.; Di Sabatino, S.; Martilli, A.; Li, Y.; Wong, M.; Gutiérrez, E.; Chan, P. Impact of land surface heterogeneity on urban heat island circulation and sea-land breeze circulation in Hong Kong. J. Geophys. Res. Atmos. 2017, 122, 4332–4352. [Google Scholar] [CrossRef]
- Sequera, P.; González, J.E.; McDonald, K.; LaDochy, S.; Comarazamy, D. Improvements in land-use classification for estimating daytime surface temperatures and sea-breeze flows in southern California. Earth Interact. 2016, 20, 1–32. [Google Scholar] [CrossRef]
- Lin, C.; Yang, K.; Huang, J.; Tang, W.; Qin, J.; Niu, X.; Chen, Y.; Chen, D.; Lu, N.; Fu, R. Impacts of wind stilling on solar radiation variability in China. Sci. Rep. 2015, 5, 15135. [Google Scholar] [CrossRef] [PubMed]









| Experiment | Description |
|---|---|
| Control Test: ET0_CTR | air temperature, solar radiation, wind speed, actual vapor pressure from 1973–2013 |
| Temperature Test: ET0_T | air temperature maintained in 1973, the others same as the control test |
| Solar radiation Test: ET0_Rs | solar radiation maintained in 1973, the others same as the control test |
| Wind speed Test: ET0_U2 | wind speed maintained in 1973, the others same as the control test |
| Actual vapor pressure Test: ET0_VPD | water vapor pressure deficits maintained in 1973, the others same as the control test |
| Variable | Annual | Spring | Summer | Autumn | Winter |
|---|---|---|---|---|---|
| ET0 (mm·year−1) | 1.58 * | 1.12 * | 0.23 | 0.34 | −0.17 |
| T (°C·year−1) | 0.04 * | 0.04 * | 0.03 * | 0.03 * | 0.03 * |
| U2 (m/s·year−1) | −0.01 * | −0.01 * | −0.01 * | −0.01 * | −0.01 * |
| VPD (kPa·year−1) | 0.005 * | 0.006 * | 0.009 * | 0.005 * | 0.001 * |
| Rs (MJ·m−2·day−1·year−1) | −3.94 * | 1.37 | −2.43 * | −1.05 | −1.84 * |
| Time | Trend | ET0 | T | U2 | VPD | Rs |
|---|---|---|---|---|---|---|
| Annual | Upward | 39(24) | 46(46) | 11(4) | 46(45) | 12(0) |
| Downward | 7(1) | 0 | 35(29) | 0 | 34(26) | |
| Spring | Upward | 46(45) | 46(45) | 11(3) | 46(46) | 42(14) |
| Downward | 0 | 0 | 35(27) | 0 | 4(0) | |
| Summer | Upward | 28(5) | 46(45) | 14(4) | 46(45) | 3(0) |
| Downward | 18(1) | 0 | 32(23) | 0 | 43(24) | |
| Autumn | Upward | 35(16) | 46(45) | 14(5) | 46(44) | 9(0) |
| Downward | 11(0) | 0 | 32(23) | 0 | 37(13) | |
| Winter | Upward | 11(0) | 46(27) | 10(3) | 43(35) | 0 |
| Downward | 35(8) | 0 | 36(30) | 3(0) | 46(33) |
| Variable | Annual | Spring | Summer | Autumn | Winter | |
|---|---|---|---|---|---|---|
| Contribution (mm·year−1) | ET0 | 1.58 | 1.12 | 0.29 | 0.34 | −0.17 |
| T | 0.39 | 0.08 | 0.11 | 0.10 | 0.11 | |
| U2 | −0.56 | −0.12 | −0.17 | −0.16 | −0.12 | |
| VPD | 2.62 | 0.82 | 0.95 | 0.61 | 0.22 | |
| Rs | −0.61 | 0.41 | −0.55 | −0.17 | −0.35 | |
| Error | −0.26 | −0.07 | −0.05 | −0.04 | −0.03 | |
| Relative contribution (%) | T | 24.7 | 7.1 | 37.9 | 29.4 | −64.7 |
| U2 | −35.4 | −10.7 | −58.6 | −47.1 | 70.6 | |
| VPD | 165.8 | 73.2 | 327.6 | 179.4 | −129.4 | |
| Rs | −38.6 | 36.6 | −189.7 | −50.0 | 205.9 | |
| Error | −16.5 | −6.2 | −17.2 | −11.8 | 17.6 |
© 2018 by the authors. Licensee MDPI, Basel, Switzerland. This article is an open access article distributed under the terms and conditions of the Creative Commons Attribution (CC BY) license (http://creativecommons.org/licenses/by/4.0/).
Share and Cite
Gu, R.; Zhang, D.; Liao, A.; Shen, H.; Zhao, X.; Pan, J. On the Attribution of Changing Reference Evapotranspiration in a Coastal Area of China. Atmosphere 2018, 9, 9. https://doi.org/10.3390/atmos9010009
Gu R, Zhang D, Liao A, Shen H, Zhao X, Pan J. On the Attribution of Changing Reference Evapotranspiration in a Coastal Area of China. Atmosphere. 2018; 9(1):9. https://doi.org/10.3390/atmos9010009
Chicago/Turabian StyleGu, Renying, Dan Zhang, Anhua Liao, Huayu Shen, Xiaotong Zhao, and Jingru Pan. 2018. "On the Attribution of Changing Reference Evapotranspiration in a Coastal Area of China" Atmosphere 9, no. 1: 9. https://doi.org/10.3390/atmos9010009
APA StyleGu, R., Zhang, D., Liao, A., Shen, H., Zhao, X., & Pan, J. (2018). On the Attribution of Changing Reference Evapotranspiration in a Coastal Area of China. Atmosphere, 9(1), 9. https://doi.org/10.3390/atmos9010009

