Vertical Sampling Scales for Atmospheric Boundary Layer Measurements from Small Unmanned Aircraft Systems (sUAS)
Abstract
:1. Introduction
2. Theory and Calculations
3. Experiments
3.1. Study Site and Data Collection
3.2. Platform and Sensors
3.2.1. Platform
3.2.2. Sensors
3.3. Surface Weather Observations
3.4. Variograms
3.4.1. Sample Variograms
3.4.2. Fitting Model Variograms
3.4.3. Monin–Obukhov Length Scale Calculations
4. Results
4.1. Flight Summaries
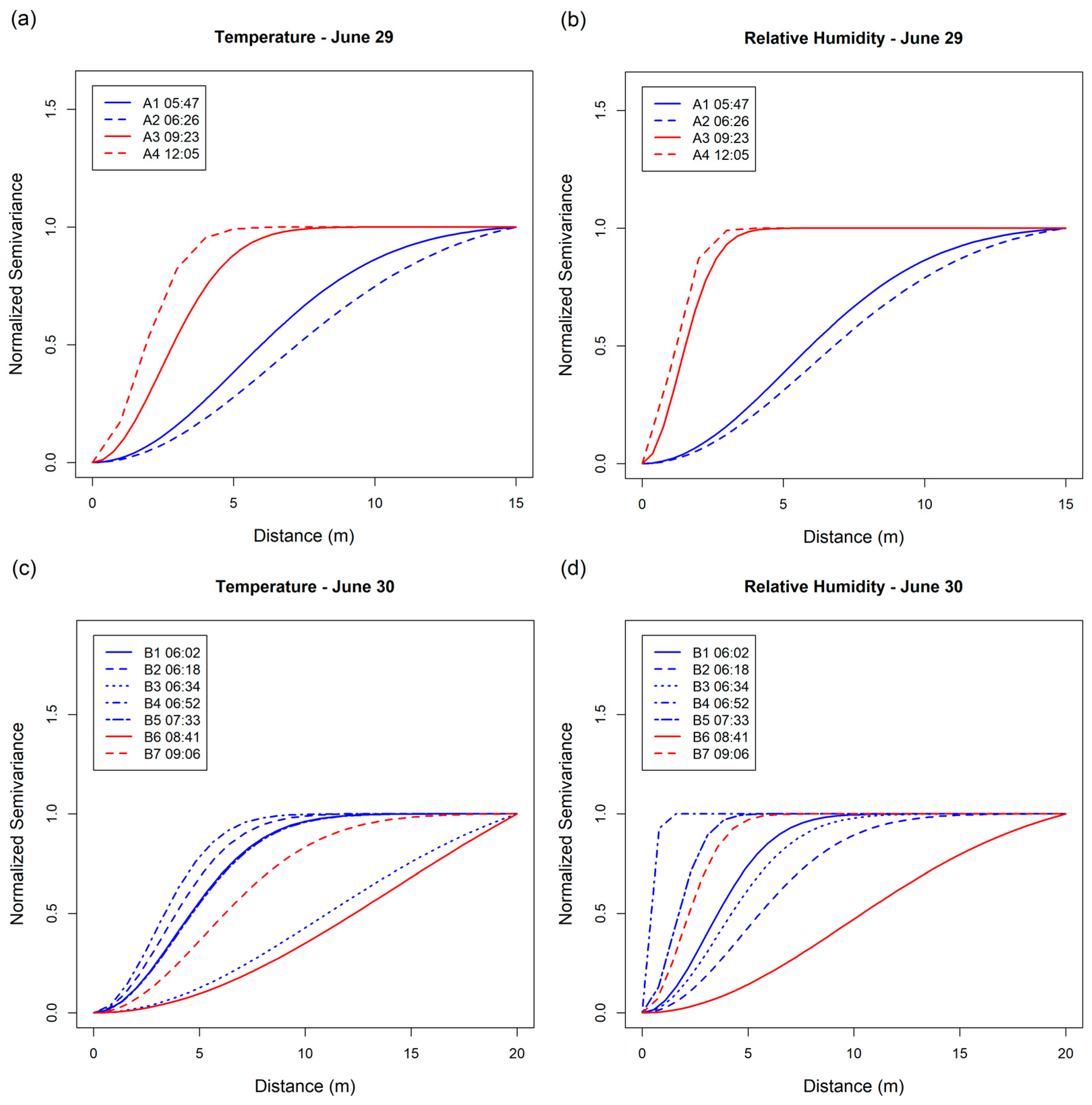
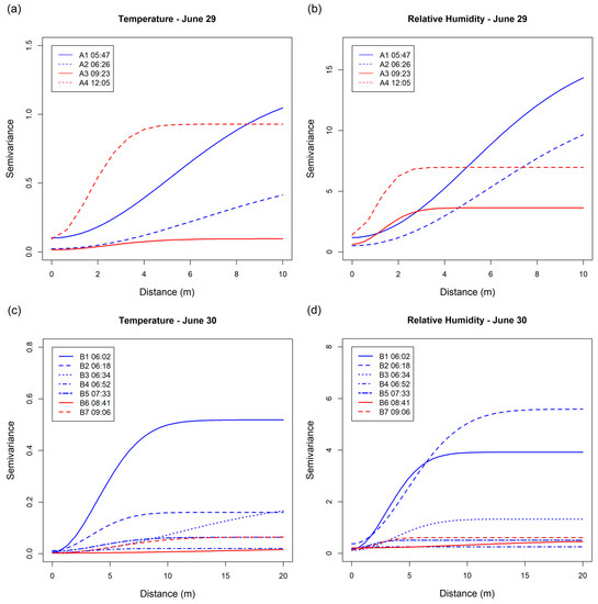
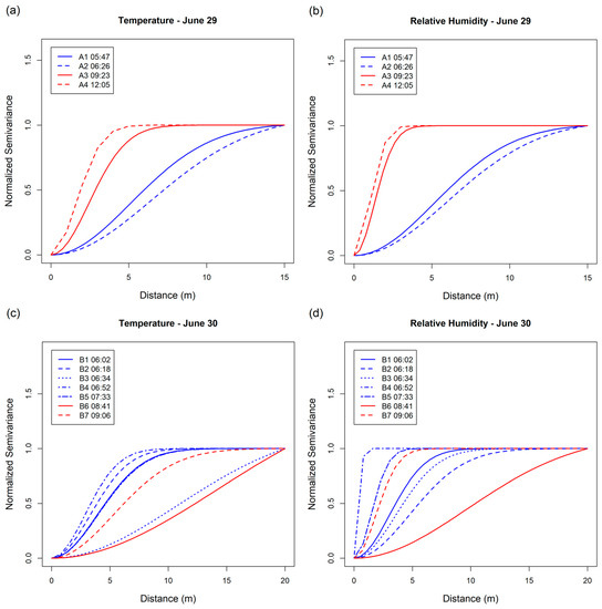
4.2. Variogram Modeling
5. Discussion
6. Conclusions
Acknowledgments
Author Contributions
Conflicts of Interest
References
- Stull, R.B. An Introduction to Boundary Layer Meteorology, 1st ed.; Kluwer Academic Publishers: Dordrecht, The Netherlands, 1988. [Google Scholar]
- Garratt, J.R. The Atmospheric Boundary Layer, 1st ed.; Cambridge University Press: Cambridge, New York, NY, USA, 1994. [Google Scholar]
- Mayer, S.; Sandvik, A.; Jonassen, M. O.; Reuder, J. Atmospheric profiling with the UAS SUMO: A new perspective for the evaluation of fine-scale atmospheric models. Meteorol. Atmos. Phys. 2012, 116, 15–26. [Google Scholar] [CrossRef]
- LaDue, D.S.; Heinselman, P.L.; Newman, J.F. Strengths and limitations of current radar systems for two stakeholder groups in the southern plains. Bull. Am. Meteorol. Soc. 2010, 91, 899–910. [Google Scholar] [CrossRef]
- Frew, E.W.; Elston, J.; Argrow, B.; Houston, A.; Rasmussen, E. Sampling severe local storms and related phenomena: Using unmanned aircraft systems. IEEE Robot. Autom. Mag. 2012, 19, 85–95. [Google Scholar] [CrossRef]
- McPherson, R.A.; Fiebrich, C.A.; Crawford, K. C.; Kilby, J.R.; Grimsley, D.L.; Martinez, J.E.; Basara, J.B.; Illston, B.G.; Morris, D.A.; Kloesel, K.A. Statewide monitoring of the mesoscale environment: A technical update on the Oklahoma Mesonet. J. Atmos. Ocean. Tech. 2007, 24, 301–321. [Google Scholar] [CrossRef]
- Fujita, T.T. A Review of Researches on Analytical Mesometeorology; Mesometeorology Project: Department of the Geophysical Sciences, University of Chicago, Chicago, IL, USA, 1962. [Google Scholar]
- Hill, M.; Konrad, T.; Meyer, J.; Rowland, J. A small, radio-controlled aircraft as a platform for meteorological sensors. Appl. Phys. Lab. Tech. Digest 1970, 10, 11–19. [Google Scholar]
- Jensen, J.R. Introductory Digital Image Processing: A Remote Sensing Perspective; Prentice Hall, Inc.: Old Tappan, NJ, USA, 1986. [Google Scholar]
- Doviak, R.J.; Zrnic, D.S. Doppler Radar & Weather Observations; Academic Press: Cambridge, MA, USA, 2014. [Google Scholar]
- Bendix, J.; Fries, A.; Zárate, J.; Trachte, K.; Rollenbeck, R.; Pucha-Cofrep, F.; Paladines, R.; Palacios, I.; Orellana, J.; Oñate-Valdivieso, F. RadarNet-Sur First Weather Radar Network In Tropical High Mountains. Bull. Am. Meteorol. Soc. 2017, 98, 1235–1254. [Google Scholar] [CrossRef]
- RoyChowdhury, A.; Sheldon, D.; Maji, S.; Learned-Miller, E. Distinguishing Weather Phenomena from Bird Migration Patterns in Radar Imagery. In Proceedings of the 2016 IEEE Conference on Computer Vision and Pattern Recognition Workshops (CVPRW), Las Vegas, NV, USA, 26 June–1 July 2016; pp. 10–17. [Google Scholar]
- Farnsworth, A.; Van Doren, B.M.; Hochachka, W.M.; Sheldon, D.; Winner, K.; Irvine, J.; Geevarghese, J.; Kelling, S. A characterization of autumn nocturnal migration detected by weather surveillance radars in the northeastern USA. Ecol. Appl. 2016, 26, 752–770. [Google Scholar] [CrossRef] [PubMed]
- Golbon-Haghighi, M.-H.; Zhang, G.; Li, Y.; Doviak, R.J. Detection of Ground Clutter from Weather Radar Using a Dual-Polarization and Dual-Scan Method. Atmosphere 2016, 7, 83. [Google Scholar] [CrossRef]
- Frazier, A.E.; Mathews, A.J.; Hemingway, B.; Crick, C.; Martin, E.; Smith, S.W. Integrating unmanned aircraft systems (UAS) into GIScience: Challenges and opportunities. Conference Presentation, GI_Forum, Salzburg, Austria, 3–6 July 2017. [Google Scholar]
- Federal Aviation Administration. Part 107 of the Small Unmanned Aircraft Regulations. Available online: https://www.faa.gov/news/fact_sheets/news_story.cfm?newsId=20516 (assessed on 19 March 2017).
- Elston, J.; Argrow, B.; Stachura, M.; Weibel, D.; Lawrence, D.; Pope, D. Overview of small fixed-wing unmanned aircraft for meteorological sampling. J. Atmos. Ocean. Tech. 2015, 32, 97–115. [Google Scholar] [CrossRef]
- Houston, A.L.; Argrow, B.; Elston, J.; Lahowetz, J.; Frew, E.W.; Kennedy, P.C. The collaborative Colorado–Nebraska unmanned aircraft system experiment. Bull. Am. Meteorol. Soc. 2012, 93, 39–54. [Google Scholar] [CrossRef]
- Roadman, J.; Elston, J.; Argrow, B.; Frew, E. Mission Performance of the Tempest Unmanned Aircraft System in Supercell Storms. J. Aircraft. 2012, 49, 1821–1830. [Google Scholar] [CrossRef]
- Cook, D.; Strong, P.; Garrett, S.; Marshall, R. A small unmanned aerial system (UAS) for coastal atmospheric research: Preliminary results from New Zealand. J. R. Soc. N. Z. 2013, 43, 108–115. [Google Scholar] [CrossRef]
- Cassano, J.J. Observations of atmospheric boundary layer temperature profiles with a small unmanned aerial vehicle. Antarct. Sci. 2014, 26, 205–213. [Google Scholar] [CrossRef]
- Bolstad, P. GIS Fundamentals: A First Text on Geographic Information Systems, 2nd ed.; Eider Press: White Bear lake, MN, USA, 2005. [Google Scholar]
- Crick, C.; Pfeffer, A. Loopy belief propagation as a basis for communication in sensor networks. In UAI’03, Proceedings of the Nineteenth Conference on Uncertainty in Artificial Intelligence; Morgan Kaufmann Publishers Inc.: San Francisco, CA, USA, 2003; pp. 159–166. [Google Scholar]
- Isaaks, E.H.; Srivastava, R.M. Applied Geostatistics; Oxford University Press: England, UK, 1989. [Google Scholar]
- Burrough, P.A.; McDonnell, R.; McDonnell, R.A.; Lloyd, C.D. Principles of Geographical Information Systems; Oxford University Press: England, UK, 2015. [Google Scholar]
- Oliver, M.A.; Webster, R. Basic Steps in Geostatistics: The Variogram and Kriging; Springer: New York, NY, USA, 2015. [Google Scholar]
- Pebesma, E.J. Multivariable geostatistics in S: The gstat package. Comput. Geosci. 2004, 30, 683–691. [Google Scholar]
- R Core Team. R: A Language and Environment for Statistical Computing. Available online: https://www.r-project.org/ (accessed on 19 March 2017).
- Chilson, P.; Huck, R.; Fiebrich, C.; Cornish, D.; Wawrzyniak, T.; Mazuera, S.; Dixon, A.; Burns, E.; Greene, B. Calibration and Validation of Weather Sensors for Rotary-Wing UAS: The Devil is in the Details. In Proceedings of the 97th American Meteorological Society Annual Meeting, Seattle, WA, USA, 21 January 2017. [Google Scholar]
- Jacob, J.; Axisa, D.; Oncley, S. Unmanned Aerial Systems for Atmospheric Research: Instrumentation Isues for Atmospheric Measurements. In Proceedings of the NCAR/EOL Community Workshop for Unmanned Aerial Systems for Atmospheric Research, Boulder, CO, USA, 21–24 February 2017. [Google Scholar]
- Dyer, A. A review of flux-profile relationships. Bound. Layer Meteorol. 1974, 7, 363–372. [Google Scholar] [CrossRef]
- Essa, K.S. Estimation of Monin-Obukhov Length Using RIchardson and Bulk Richardson Number. In Proceedings of the 2nd Conference on Nuclear and Particle Physics, Cairo, Egypt, 13–17 November 1999. [Google Scholar]
- Businger, J. A.; Wyngaard, J.C.; Izumi, Y.; Bradley, E.F. Flux-profile relationships in the atmospheric surface layer. J. Atmos. Sci. 1971, 28, 181–189. [Google Scholar] [CrossRef]
- Foken, T. 50 years of the Monin–Obukhov similarity theory. Bound. Layer Meteorol. 2006, 119, 431–447. [Google Scholar] [CrossRef]
- Yeung, P. Lagrangian investigations of turbulence. Annu. Rev. Fluid Mech. 2002, 34, 115–142. [Google Scholar] [CrossRef]
- Elbing, B.R.; Winkel, E.S.; Ceccio, S.L.; Perlin, M.; Dowling, D.R. High-reynolds-number turbulent-boundary-layer wall-pressure fluctuations with dilute polymer solutions. Phys. Fluids 2010, 22, 085104. [Google Scholar] [CrossRef]
- Horn, G.; Ouwersloot, H.; De Arellano, J.V.-G.; Sikma, M. Cloud Shading Effects on Characteristic Boundary-Layer Length Scales. Bound. Layer Meteorol. 2015, 157, 237–263. [Google Scholar] [CrossRef]









| Flight ID | Date | Start Time | End Time | Max Alt. AGL (m) | No. Obs. | Min Temp | Mean Temp | Max Temp | Min RH | Mean RH | Max RH |
|---|---|---|---|---|---|---|---|---|---|---|---|
| A1 | 29-Jun | 5:47:30 | 5:52:06 | 107.87 | 277 | 18.11 | 21.02 | 24.94 | 46.6 | 62.98 | 76.1 |
| A2 | 29-Jun | 6:26:06 | 6:29:41 | 110.95 | 216 | 19.06 | 22.13 | 26.47 | 41.0 | 58.8 | 70.6 |
| A3 | 29-Jun | 9:23:45 | 9:27:23 | 111.21 | 219 | 23.77 | 24.58 | 26.33 | 51.3 | 57.85 | 67.1 |
| A4 | 29-Jun | 12:05:23 | 12:09:55 | 111.39 | 273 | 27.51 | 28.92 | 33.39 | 47.6 | 55.28 | 59.9 |
| A5 | 29-Jun | 13:30:48 | 13:37:42 | 111.97 | 415 | 29.35 | 30.6 | 36.09 | 47.7 | 54.71 | 60.5 |
| B1 | 30-Jun | 6:02:10 | 6:05:56 | 130.06 | 227 | 21.09 | 23.46 | 25.07 | 54.9 | 64.26 | 76.3 |
| B2 | 30-Jun | 6:18:54 | 6:22:22 | 130.48 | 210 | 21.27 | 23.71 | 25.17 | 54.5 | 62.74 | 74.5 |
| B3 | 30-Jun | 6:34:31 | 6:37:59 | 133.30 | 213 | 21.75 | 23.6 | 24.84 | 56 | 63.01 | 72.6 |
| B4 | 30-Jun | 6:52:45 | 6:56:05 | 135.40 | 202 | 22.13 | 23.55 | 24.63 | 56.6 | 62.32 | 69 |
| B5 | 30-Jun | 7:33:31 | 7:38:06 | 132.44 | 278 | 22.64 | 23.52 | 24.55 | 58 | 63.98 | 68.9 |
| B6 | 30-Jun | 8:41:57 | 8:44:32 | 137.10 | 156 | 25.02 | 25.61 | 26.19 | 55.2 | 57.15 | 59.4 |
| B7 | 30-Jun | 9:06:49 | 9:10:00 | 141.99 | 193 | 25.39 | 26.05 | 28.17 | 49.6 | 55.08 | 57.3 |
| Flight ID | Temp Sill | Temp Range | Temp Nugget | Temp RMSE | RH Sill | RH Range | RH Nugget | RH RMSE | L (m) |
|---|---|---|---|---|---|---|---|---|---|
| A1 | 1.214 | 7.258 | 0.101 | 0.300 | 16.623 | 7.239 | 1.178 | 1.121 | 69 |
| A2 | 0.584 | 9.150 | 0.022 | 0.031 | 12.594 | 8.410 | 0.509 | 2.065 | 1200 |
| A3 | 0.095 | 3.423 | 0.015 | 0.024 | 3.627 | 1.831 | 0.622 | 1.031 | −3700 |
| A4 | 0.928 | 2.280 | 0.094 | 0.354 | 6.961 | 1.397 | 1.402 | 1.601 | −4300 |
| A5 * | - | - | - | - | - | - | - | - | −4500 |
| B1 | 0.518 | 5.513 | 0.004 | 0.060 | 3.920 | 4.295 | 0.147 | 0.572 | 4500 |
| B2 | 0.160 | 4.676 | 0.011 | 0.058 | 2.364 | 2.511 | 0.362 | 1.979 | 5600 |
| B3 | 0.200 | 15.131 | 0.003 | 0.017 | 1.327 | 5.071 | 0.111 | 0.222 | 4100 |
| B4 | 0.020 | 4.028 | 0.003 | 0.007 | 0.248 | 0.496 | 0.146 | 0.200 | 11000 |
| B5 | 0.063 | 5.592 | 0.009 | 0.014 | 0.508 | 2.058 | 0.174 | 0.078 | −26000 |
| B6 | 0.023 | 19.934 | 0.002 | 0.001 | 0.490 | 13.597 | 0.207 | 0.053 | −7900 |
| B7 | 0.064 | 7.463 | 0.002 | 0.020 | 0.610 | 2.655 | 0.130 | 0.111 | −5400 |
© 2017 by the authors. Licensee MDPI, Basel, Switzerland. This article is an open access article distributed under the terms and conditions of the Creative Commons Attribution (CC BY) license (http://creativecommons.org/licenses/by/4.0/).
Share and Cite
Hemingway, B.L.; Frazier, A.E.; Elbing, B.R.; Jacob, J.D. Vertical Sampling Scales for Atmospheric Boundary Layer Measurements from Small Unmanned Aircraft Systems (sUAS). Atmosphere 2017, 8, 176. https://doi.org/10.3390/atmos8090176
Hemingway BL, Frazier AE, Elbing BR, Jacob JD. Vertical Sampling Scales for Atmospheric Boundary Layer Measurements from Small Unmanned Aircraft Systems (sUAS). Atmosphere. 2017; 8(9):176. https://doi.org/10.3390/atmos8090176
Chicago/Turabian StyleHemingway, Benjamin L., Amy E. Frazier, Brian R. Elbing, and Jamey D. Jacob. 2017. "Vertical Sampling Scales for Atmospheric Boundary Layer Measurements from Small Unmanned Aircraft Systems (sUAS)" Atmosphere 8, no. 9: 176. https://doi.org/10.3390/atmos8090176

