A Commercial Aircraft Fuel Burn and Emissions Inventory for 2005–2011
Abstract
:1. Introduction
2. Methodology
2.1. 4-D Aircraft Fuel Burn and Emission Inventory Derivation
2.2. 3-D NOx Emissions Distribution Fields
3. Results and Discussion
3.1. Global Totals
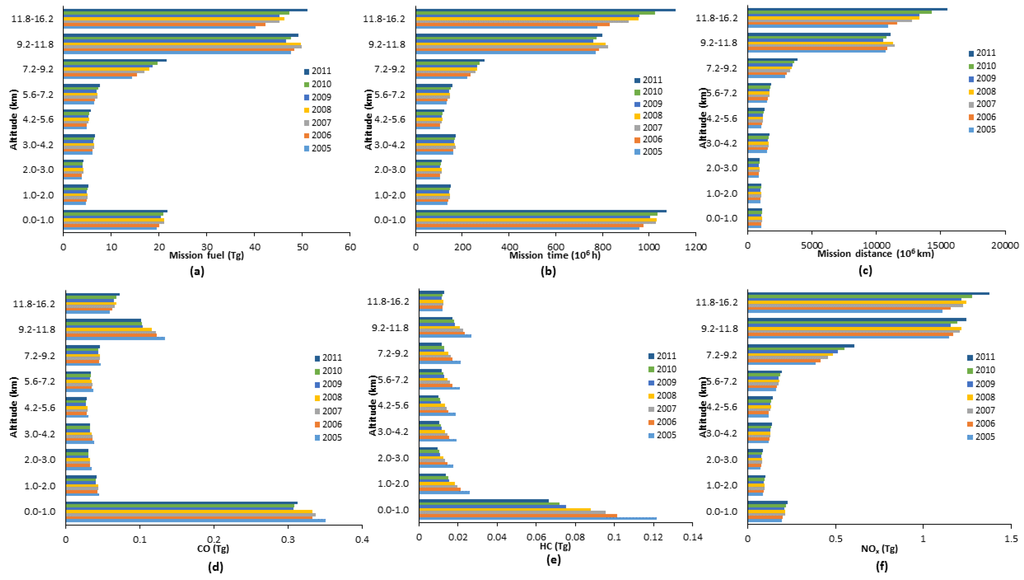
3.2. Global Vertical Profiles
3.3. Spatial Distribution of Global Aircraft NOx Emissions
3.4. Regional Totals
4. Conclusions
Supplementary Materials
Acknowledgements
Author Contributions
Conflicts of Interest
References
- Penner, J.E.; Lister, D.H.; Griggs, D.J.; Dokken, D.J.; McFarland, M. Aviation and the Global Atmosphere. A Special Report of Working Groups I and III of the Intergovernmental Panel on Climate Change (IPCC); Cambridge University Press: Cambridge, UK, 1999. [Google Scholar]
- Lee, D.S.; Pitari, G.; Grewe, V.; Gierens, K.; Penner, J.E.; Petzold, A.; Prather, M.J.; Schumann, U.; Bais, A.; Berntsen, T.; et al. Transport impacts on atmosphere and climate: Aviation. Atmos. Environ. 2010, 44, 4678–4734. [Google Scholar] [CrossRef]
- Lee, D.S.; Fahey, D.W.; Forster, P.M.; Newton, P.J.; Wit, R.C.N.; Lim, L.L.; Owen, B.; Sausen, R. Aviation and global climate change in the 21st century. Atmos. Environ. 2009, 43, 3520–3537. [Google Scholar] [CrossRef]
- Mahashabde, A.; Wolfe, P.; Ashok, A.; Dorbian, C.; He, Q.; Fan, A.; Lukachko, S.; Mozdzanowska, A.; Wollersheim, C.; Barrett, S.R.H.; et al. Assessing the environmental impacts of aircraft noise and emissions. Prog. Aero. Sci. 2011, 47, 15–52. [Google Scholar] [CrossRef]
- Holmes, C.D.; Tang, Q.; Prather, M.J. Uncertainties in climate assessment for the case of aviation NO. Proc. Natl Acad. Sci. USA 2011, 108, 10997–11002. [Google Scholar] [CrossRef] [PubMed]
- Burkhardt, U.; Kärcher, B. Global radiation forcing from contrail cirrus. Nat. Clim. Change 2011, 1, 54–58. [Google Scholar] [CrossRef]
- Skowron, A.; Lee, D.S.; de León, R.R. The assessment of the impact of aviation NOx on ozone and other radiative forcing responses: The importance of representing cruise altitudes accurately. Atmos. Environ. 2013, 74, 159–168. [Google Scholar] [CrossRef]
- Olsen, S.C.; Wuebbles, D.J.; Owen, B. Comparison of global 3-D aviation emissions datasets. Atmos. Chem. Phys. 2013, 13, 429–441. [Google Scholar] [CrossRef]
- Dessens, O.; Köhler, M.O.; Rogers, H.L.; Jones, R.L.; Pyle, J.A. Aviation and climate change. Transport. Policy 2014, 34, 14–20. [Google Scholar] [CrossRef]
- Brasseur, G.P.; Gupta, M.; Anderson, B.E.; Balasubramanian, S.; Barrett, S.; Duda, D.; Fleming, G.; Forster, P.M.; Fuglestvedt, J.; Gettelman, A.; et al. Impact of Aviation on Climate: FAA’s Aviation Climate Change Research Initiative (ACCRI) Phase II. Bull. Amer. Meteor. Soc. 2015. [Google Scholar] [CrossRef]
- Airbus. Global Market Forecast 2015–2034, 2015. Available online: http://www.airbus.com/company/market/forecast/ (accessed on 20 December 2015).
- European Commission Climate Action (ECCA), 2015. Available online: http://ec.europa.eu/clima/policies/transport/aviation/index_en.htm (accessed on 21 August 2015).
- Brasseur, G.P.; Cox, R.A.; Hauglustaine, D.; Isaksen, I.; Lelieveld, J.; Lister, D.H.; Sausen, R.; Schumann, U.; Wahner, A.; Wiesen, P. European scientific assessment of the atmospheric effects of aircraft emissions. Atmos. Environ. 1998, 32, 2329–2418. [Google Scholar] [CrossRef]
- Kentarchos, A.S.; Roelofs, G.J. Impact of aircraft NOx emissions on tropospheric ozone calculated with a chemistry general circulation model: sensitivity to higher hydrocarbon chemistry. J. Geophys. Res. 2002, 107, ACH 8-1–ACH 8-12. [Google Scholar] [CrossRef]
- Brühl, C.; Pöschl, U.; Crulzen, P.J.; Steil, B. Acetone and PAN in the upper troposphere: Impact on ozone production from aircraft emissions. Atmos. Environ. 2000, 34, 3931–3938. [Google Scholar] [CrossRef]
- Köhler, M.O.; Rädel, G.; Dessens, O.; Shine, K.P.; Rogers, H.L.; Wild, O.; Pyle, J.A. Impact of perturbations to nitrogen oxide emissions from global aviation. J. Geophys. Res. 2008, 113, D11305. [Google Scholar] [CrossRef]
- Grewe, V.; Stenke, A. AirClim: An efficient tool for climate evaluation of aircraft technology. Atmos. Chem. Phys. 2008, 8, 4621–4639. [Google Scholar] [CrossRef]
- Pitari, G.; Mancini, E.; Bregman, A. Climate forcing of subsonic aviation: Indirect role of sulfate particles via heterogeneous chemistry. Geophys. Res. Lett. 2002, 29, 2057. [Google Scholar] [CrossRef]
- McInnes, G.; Walker, C.T. The Global Distribution of Aircraft Air Pollutant Emissions; Warren Spring Laboratory Report LR872; Department of Trade and Industry, Warren Spring Laboratory: Stevenage, UK, 1992.
- Wuebbles, D.J.; Maiden, D.; Seals, R.K.; Baughcum, S.L.; Metwally, M.; Mortlock, A. Emissions scenarios development: Report of the emissions scenarios committee. In The Atmospheric Effects of Stratospheric Aircraft: A Third Program Report; Stolarski, R.S., Wesoky, H.L., Eds.; NASA Reference Publication 1313; National Aeronautics and Space Administration: Washington, DC, USA, 1993; pp. 63–85. [Google Scholar]
- ANCAT/EC. A Global Inventory of Aircraft NOx Emissions. A First Version (April 1994) Prepared for the AERONOX Programme; Abatement of Nuisances Caused by Air Transport (ANCAT) and European Community Working Group: London, UK, 1995. [Google Scholar]
- Baughcum, S.L.; Henderson, S.C.; Hertel, P.S.; Maggiora, D.R.; Oncina, C.A. Stratospheric Emissions Effects Database Development; Boeing Commercial Airplane Group, National Aeronautics and Space Administration (NASA) Contractor Report 4592; Langley Research Centre: Hampton, VA, USA, 1994.
- Baughcum, S.L.; Henderson, S.C.; Tritz, T.G. Scheduled Civil Aircraft Emission Inventories for 1976 and 1984: Database Development and Analysis; Boeing Commercial Airplane Group, National Aeronautics and Space Administration (NASA) Contractor Report-4722; Langley Research Centre: Hampton, VA, USA, 1996.
- Baughcum, S.L.; Tritz, T.G.; Henderson, S.C.; Pickett, D.C. Scheduled Civil Aircraft Emission Inventories for 1992: Database Development and Analysis; National Aeronautics and Space Administration Contractor Report-4700; Langley Research Centre: Hampton, VA, USA, 1996.
- Sutkus, D.J., Jr.; Baughcum, S.L.; DuBois, D.P. Commercial Aircraft Emission Scenario for 2020: Database Development and Analysis; NASA/CR-2003-212331; National Aeronautics and Space Administration, Glenn Research Centre: Hanover, MD, USA, 2003.
- Eyers, C.J.; Norman, P.; Middel, J.; Plohr, M.; Michot, S.; Atkinson, K. AERO2k Global Aviation Emissions Inventories for 2002 and 2025; European Commission, QinetiQ Ltd.: Hampshire, UK, 2004. [Google Scholar]
- Gardner, R.M.; Adams, K.; Cook, T.; Deidewig, F.; Ernedal, S.; Falk, R.; Fleuti, E.; Herms, E.; Johnson, C.E.; Lecht, M.; et al. The ANCAT/EC global inventory of NOx emissions from aircraft. Atmos. Environ. 1997, 31, 1751–1766. [Google Scholar] [CrossRef]
- Kim, B.Y.; Fleming, G.; Balasubramanian, S.; Malwitz, A.; Lee, J.; Waitz, I.; Klima, K.; Locke, M.; Holsclaw, C.; Morales, A.; McQueen, E.; Gillette, W. System for Assessing Aviation’s Global Emissions (SAGE), Version 1.5; Global Aviation Emissions Inventories for 2000 through 2004; FAA-EE-2005–02; Federal Aviation Administration Office of Environment and Energy: Washington, DC, USA, 2005. [Google Scholar]
- Kim, B.Y.; Fleming, G.G.; Lee, J.J.; Waitz, I.A.; Clarke, J.P.; Balasubramanian, S.; Malwitz, A.; Klima, K.; Locke, M.; Holslaw, C.A.; et al. System for assessing Aviation’s Global Emissions (SAGE), Part 1: Model description and inventory results. Transport. Res. Part D: Transp. Environ. 2007, 12, 325–346. [Google Scholar] [CrossRef]
- Wilkerson, J.T.; Jacobson, M.Z.; Malwitz, A.; Balasubramanian, S.; Wayson, R.; Fleming, G.; Naiman, A.D.; Lele, S.K. Analysis of emission data from global commercial aviation: 2004 and 2006. Atmos. Chem. Phys. 2010, 10, 6391–6408. [Google Scholar] [CrossRef]
- Owen, B.; Lee, D.S.; Lim, L. Flying into the future: aviation emissions scenarios to 2050. Environ. Sci. Technol. 2010, 44, 2255–2260. [Google Scholar] [CrossRef] [PubMed]
- Chèze, B.; Gastineau, P.; Chevallier, J. Forecasting world and regional aviation jet fuel demands to the mid-term (2025). Energy Policy 2011, 39, 5147–5158. [Google Scholar] [CrossRef]
- Simone, N.W.; Stettler, M.E.J.; Barrett, S.R.H. Rapid estimation of global civil aviation emissions with uncertainty quantification. Transport. Res. Part D Transp. Environ. 2013, 25, 33–41. [Google Scholar] [CrossRef]
- Yan, F.; Winijkul, E.; Streets, D.G.; Lu, Z.; Bond, T.C.; Zhang, Y. Global emission projections for the transportation sector using dynamic technology modelling. Atmos. Chem. Phys. 2014, 14, 5709–5733. [Google Scholar] [CrossRef]
- Wasiuk, D.K.; Lowenberg, M.H.; Shallcross, D.E. An aircraft performance model implementation for the estimation of global and regional commercial aviation fuel burn and emissions. Transport. Res. Part D Transp. Environ. 2015, 35, 142–159. [Google Scholar] [CrossRef]
- ICAO. Aircraft Engine Emissions Databank, 18th ed.; International Civil Aviation Organization Committee on Aviation Environmental Protection: Montreal, YQB, Canada, 2012. [Google Scholar]
- Hasselrot, A. Confidential Database for Turboprop Engine Emissions; Swedish Defence Research Agency: Stockholm, Sweden, 2002.
- DuBois, D.; Paynter, G.C. Fuel Flow Method 2 for Estimating Aircraft Emissions; SAElnternational, The Boing Company: Washington, DC, USA, 2006. [Google Scholar]
- SAE. SAE Aerospace. Procedure for the Calculation of Aircraft Emissions; Technical Report AIR5715; SAE International: Warrendale, PA, USA, 2009. [Google Scholar]
- Collins, W.J.; Stevenson, D.S.; Johnson, C.E.; Derwent, R.G. Tropospheric ozone in a Global-Scale Three-Dimensional Lagrangian Model and its response to NOx emission controls. J. Atmos. Chem. 1997, 26, 223–274. [Google Scholar] [CrossRef]
- Utembe, S.R.; Cooke, M.C.; Archibald, A.T.; Jenkin, M.E.; Derwent, R.G.; Shallcross, D.E. Using a reduced Common Representative Intermediates (CRI v2-R5) mechanism to simulate tropospheric ozone in a 3-D Lagrangian chemistry transport model. Atmos. Environ. 2010, 13, 1609–1622. [Google Scholar] [CrossRef]
- Schumann, U. The impact of nitrogen oxides emissions from aircraft upon the atmosphere at flight altitudes–results from the AERONOX project. Atmos. Environ. 1997, 31, 1723–1733. [Google Scholar] [CrossRef]
- IEA. International Energy Agency Oil Statistics. 2015. Available online: http://www.iea.org/stats/oildata.asp?COUNTRY_CODE=29 (accessed on 06 May 2015).
- Sutkus, D.J., Jr.; Baughcum, S.L.; DuBois, D.P. Scheduled Civil Aircraft Emission Inventories for 1999: Database Development and Analysis; NASA/CR-2001-211216; National Aeronautics and Space Administration, Glenn Research Centre: Hanover, MD, USA, 2001.
- Belobaba, P.; Odoni, A.; Barnhart, C. The Global Airline Industry, 2nd ed.; John Wiley & Sons, Ltd.: West Sussex, UK, 2015. [Google Scholar]
- Gilmore, C.K.; Barrett, S.R.H.; Koo, J.; Wang, Q. Temporal and spatial variability in the aviation NOx-related O3 impact. Environ. Res. Lett. 2013, 8, 034027. [Google Scholar] [CrossRef] [Green Version]





| Year | 2005 | 2006 | 2007 | 2008 | 2009 | 2010 | 2011 |
|---|---|---|---|---|---|---|---|
| Departures (106) | 28.4 | 28.9 | 30.5 | 30.6 | 29.7 | 30.7 | 31.8 |
| (1.9) | (5.6) | (0.2) | (−2.8) | (3.2) | (3.8) | ||
| Distance (109 km) | 31.5 | 32.7 | 35.0 | 35.6 | 34.8 | 36.4 | 38.5 |
| (3.8) | (7.2) | (1.7) | (−2.4) | (4.5) | (5.9) | ||
| Mission time (106 h) | 56.3 | 58.0 | 61.9 | 62.6 | 60.9 | 63.4 | 66.7 |
| (3.1) | (6.6) | (1.1) | (−2.6) | (4.0) | (5.2) | ||
| Mission fuel burn (Tg) | 147.6 | 152.2 | 160.9 | 163.0 | 158.1 | 163.9 | 173.2 |
| (3.1) | (5.7) | (1.3) | (−3.0) | (3.6) | (5.7) | ||
| Reserve fuel (Tg) | 94.0 | 96.0 | 101.6 | 102.1 | 99.0 | 102.0 | 106.4 |
| (2.1) | (5.8) | (0.6) | (−3.1) | (3.0) | (4.3) |
| Year | Fuel Burn (Tg) | CO2 (Tg) | CO (Tg) | H2O (Tg) | HC (Tg) | NOx (Tg) | SOx (Tg) | Reference |
|---|---|---|---|---|---|---|---|---|
| 1990 | 92.8 | 293.0 | 0.53 | 115.0 | 0.14 | 1.2 | 0.074 | [22] |
| 1992 | 110.0 | 347.0 | n/a | 135.0 | n/a | n/a | 0.13 | [8] |
| 1992 | 94.9 | 423.0 | 0.50 | 165.0 | 0.195 | 1.2 | n/a | [24] |
| 1999 | 128.0 | n/a | 0.69 | n/a | 0.19 | 1.7 | n/a | [44] |
| 1999 | 136.0 | 430.0 | 0.67 | 167.0 | 0.23 | 1.4 | 0.16 | [8] |
| 2000 | 181.0 | 572.0 | 0.54 | 224.0 | 0.08 | 2.5 | 0.15 | [28] |
| 2000 | 214.0 | 677.0 | n/a | n/a | n/a | 2.9 | n/a | [31] |
| 2000 | 152.0 | 480.0 | n/a | 187.0 | n/a | 2.0 | 0.18 | [8] |
| 2001 | 170.0 | 536.0 | 0.46 | 210.0 | 0.06 | 2.4 | 0.14 | [28] |
| 2002 | 171.0 | 539.0 | 0.48 | 211.0 | 0.06 | 2.4 | 0.14 | [28] |
| 2002 | 156.0 | 492.0 | 0.51 | 193.0 | 0.06 | 2.1 | n/a | [26] |
| 2002 | 154.0 | 486.0 | n/a | 190.0 | n/a | n/a | 0.18 | [8] |
| 2003 | 176.0 | 557.0 | 0.49 | 218.0 | 0.06 | 2.5 | 0.14 | [28] |
| 2004 | 188.0 | 595.0 | 0.51 | 233.0 | 0.06 | 2.7 | 0.15 | [28] |
| 2004 | 174.1 | 549.7 | 0.63 | 215.3 | 0.09 | 2.5 | 0.20 | [30] |
| 2005 | 203.0 | 641.0 | 0.55 | 251.0 | 0.07 | 2.9 | 0.16 | [29] |
| 2005 | 180.6 | 570.5 | 0.75 | n/a | 0.2 | 2.7 | 0.22 | [33] |
| 2005 | 147.6 | 464.7 | 0.78 | 181.5 | 0.28 | 3.4 | 0.12 | This study |
| 2006 | 188.2 | 594.3 | 0.68 | 232.8 | 0.10 | 2.7 | 0.22 | [8,30] |
| 2006 | 152.2 | 479.3 | 0.74 | 187.2 | 0.24 | 3.5 | 0.13 | This study |
| 2007 | 160.9 | 506.8 | 0.75 | 198.0 | 0.23 | 3.7 | 0.14 | This study |
| 2008 | 229.0 | 725.0 | 0.69 | 282.0 | 0.09 | 3.2 | 0.18 | [32] |
| 2008 | 163.0 | 513.4 | 0.74 | 200.5 | 0.21 | 3.8 | 0.14 | This study |
| 2009 | 158.1 | 498.0 | 0.69 | 194.5 | 0.18 | 3.7 | 0.13 | This study |
| 2010 | 240.0 | n/a | 1.92 | n/a | 0.3 | 3.02 | n/a | [34] |
| 2010 | 163.9 | 516.0 | 0.69 | 201.5 | 0.17 | 3.9 | 0.14 | This study |
| 2011 | 173.2 | 545.3 | 0.70 | 213.0 | 0.16 | 4.1 | 0.15 | This study |
| 2015 | 255.0 | 803.0 | 1.14 | 315.0 | 0.10 | 2.3 | 0.10 | [22] |
| 2015 | 282.0 | n/a | 1.44 | n/a | 0.23 | 3.9 | n/a | [25] |
| 2020 | 336.0 | n/a | 1.39 | n/a | 0.23 | 4.9 | n/a | [25] |
| 2025 | 327.0 | 1029.0 | 1.15 | 404.0 | 0.15 | 3.3 | n/a | [26] |
| 2030 | 440.0 | n/a | 2.33 | n/a | 0.29 | 4.95 | n/a | [34] |
| 2050 | 770.0 | n/a | 2.64 | n/a | 0.25 | 7.5 | n/a | [34] |
© 2016 by the authors; licensee MDPI, Basel, Switzerland. This article is an open access article distributed under the terms and conditions of the Creative Commons Attribution (CC-BY) license (http://creativecommons.org/licenses/by/4.0/).
Share and Cite
Wasiuk, D.K.; Khan, M.A.H.; Shallcross, D.E.; Lowenberg, M.H. A Commercial Aircraft Fuel Burn and Emissions Inventory for 2005–2011. Atmosphere 2016, 7, 78. https://doi.org/10.3390/atmos7060078
Wasiuk DK, Khan MAH, Shallcross DE, Lowenberg MH. A Commercial Aircraft Fuel Burn and Emissions Inventory for 2005–2011. Atmosphere. 2016; 7(6):78. https://doi.org/10.3390/atmos7060078
Chicago/Turabian StyleWasiuk, Donata K., Md Anwar H. Khan, Dudley E. Shallcross, and Mark H. Lowenberg. 2016. "A Commercial Aircraft Fuel Burn and Emissions Inventory for 2005–2011" Atmosphere 7, no. 6: 78. https://doi.org/10.3390/atmos7060078
APA StyleWasiuk, D. K., Khan, M. A. H., Shallcross, D. E., & Lowenberg, M. H. (2016). A Commercial Aircraft Fuel Burn and Emissions Inventory for 2005–2011. Atmosphere, 7(6), 78. https://doi.org/10.3390/atmos7060078

