Comparison of Land-Use Regression Modeling with Dispersion and Chemistry Transport Modeling to Assign Air Pollution Concentrations within the Ruhr Area
Abstract
:1. Introduction
2. Methods
2.1. Study Area
2.2. Exposure Assesment
2.2.1. EURAD-CTM
2.2.2. ESCAPE-LUR
2.3 Statistical Analysis
3. Results and Discussion
3.1. Comparison of Residence-Based EURAD-CTM and ESCAPE-LUR
3.2. Comparison of Estimated and Measured Air Pollution Concentrations
3.2.1. Comparison between 14-Day Mean ESCAPE-LUR Measurements and EURAD-CTM Estimates
3.2.2. Comparison between Routinely-Monitored and Estimated Air Pollution Concentrations
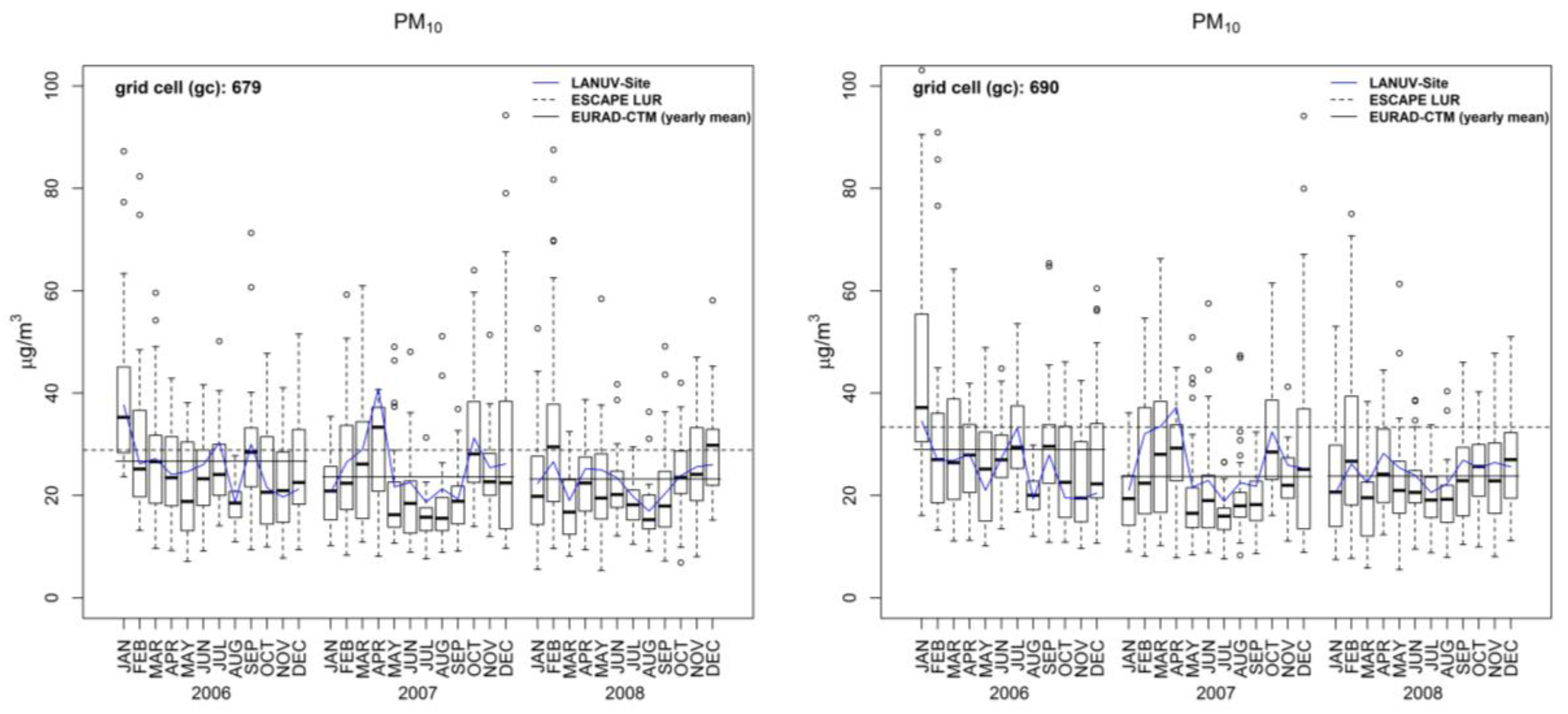
3.3. Temporal Resolution of Air Pollution Concentrations
3.4. Source-Specific EURAD-CTM
4. Conclusions
Supplementary Materials
Acknowledgments
Author Contributions
Conflicts of Interest
References
- World Health Organization. The World Health Report 2013: Research for Universal Health Coverage; WHO: Geneva, Switzerland, 2013. [Google Scholar]
- Dockery, D.W.; Pope, C.A.; Xu, X.; SPrengler, J.D.; Ware, J.H.; Fay, M.E.; Ferris, B.G.; Speizer, F.E. An association between air pollution and mortality in six U.S. cities. New Engl. J. Med. 1993, 329, 1753–1759. [Google Scholar] [CrossRef] [PubMed]
- Jerrett, M.; Arain, A.; Kanaroglou, P.; Beckerman, B.; Potoglou, D.; Sahsuvaroglu, T.; Morrison, J.; Giovis, C. A review and evaluation of intraurban air pollution exposure models. J. Expo. Anal. Environ. Epidemiol. 2005, 15, 185–204. [Google Scholar] [CrossRef] [PubMed]
- Health Effects Institute. HEI Panel on the Health Effect of Traffic-Related Air Pollution: A Critical Review of the Literature on Emissions, Exposure, and Health Effects; Health Effects Institute: Boston, MA, USA, 2010. [Google Scholar]
- Özkaynak, H.; Baxter, L.K.; Dionisio, K.L.; Burke, J. Air pollution exposure prediction approaches used in air pollution epidemiology studies. J. Expo. Sci. Environ. Epidemiol. 2013, 23, 566–572. [Google Scholar] [CrossRef] [PubMed]
- Briggs, D.J. The use of GIS to evaluate traffic-related pollution. Occup. Environ. Med. 2007, 64, 1–2. [Google Scholar] [CrossRef] [PubMed]
- Hoek, G.; Beelen, R.; de Hoogh, K.; Vienneau, D.; Gulliver, J.; Fischer, P.; Briggs, D. A review of land-use regression models to assess spatial variation of outdoor air pollution. Atmos. Environ. 2008, 42, 7561–7578. [Google Scholar] [CrossRef]
- Cyrys, J.; Hochadel, M.; Gehring, U.; Hoek, G.; Diegmann, V.; Brunekreef, B.; Heinrich, J. GIS-based estimation of exposure to particulate matter and NO2 in an urban area: Stochastic versus dispersion modeling. Environ. Health Perspect. 2005, 113, 987–992. [Google Scholar] [CrossRef] [PubMed]
- Marshall, J.D.; Nethery, E.; Brauer, M. Within-urban variability in ambient air pollution: Comparison of estimation methods. Atmos. Environ. 2008, 42, 1359–1369. [Google Scholar] [CrossRef]
- Briggs, D.J.; Collins, S.; Elliott, P.; Fischer, P.; Kingham, S.; Lebret, E.; Pryl, K.; Van Reeuwijk, H.; Smallbone, K.; van Der Veen, A. Mapping urban air pollution using GIS: A regression-based approach. Int. J. Geogr. Inf. Sci. 1997, 11, 699–718. [Google Scholar] [CrossRef]
- Beelen, R.; Voogt, M.; Duyzer, J.; Zandveld, P.; Hoek, G. Comparison of the performances of land use regression modelling and dispersion modelling in estimating small-scale variations in long-term air pollution concentrations in a Dutch urban area. Atmos. Environ. 2010, 44, 4614–4621. [Google Scholar] [CrossRef]
- De Hoogh, K.; Korek, M.; Vienneau, D.; Keuken, M.; Kukkonen, J.; Nieuwenhuijsen, M.J.; Badaloni, C.; Beelen, R.; Bolignano, A.; Cesaroni, G.; et al. Comparing land use regression and dispersion modelling to assess residential exposure to ambient air pollution for epidemiological studies. Environ. Int. 2014, 73, 382–392. [Google Scholar] [PubMed]
- Perez, L.; Wolf, K.; Hennig, F.; Penell, J.; Basagaña, X.; Aguilera, I.; Agis, D.; Beelen, R.; Brunekreef, B.; Cyrys, J.; et al. Air pollution and atherosclerosis: A cross-sectional analysis of four European cohort studies in the ESCAPE study. Environ. Health Perspect. 2015, 123, 597–605. [Google Scholar] [PubMed]
- Duisburg-Essen University. Ruhr & Culture. Available online: https://www.uni-due.de/welcome-services/en/rk_index.php (accessed on 3 December2015).
- Ebel, A. The Eurad Project. Available online: http://www.uni-koeln.de/math-nat-fak/geomet/eurad/index_e.html (accessed on 30 November 2015).
- Hass, H.; Ebel, A.; Feldmann, H.; Jakobs, H.J.; Memmesheimer, M. Evaluation studies with a regional chemical transport model (EURAD) using air quality data from the EMEP monitoring network. Atmos. Environ. A. Gen. Top. 1993, 27, 867–887. [Google Scholar] [CrossRef]
- Ebel, A.; Elbern, H.; Feldmann, H.; Jakobs, H.; Kessler, C.; Memmesheimer, M. Air Pollution Studies with the EURAD Model System (3): EURAD-European Air Pollution Dispersion Model SYSTEM; University of Cologne: Cologne, Germany, 1997. [Google Scholar]
- Memmesheimer, M.; Friesse, E.; Ebel, A.; Jakobs, H.; Feldmann, H.; Kessler, C. Long-term simulations of particulate matter in Europe on different scales using sequential nesting of a regional model. Int. J. Environ. Pollut. 2004, 22, 108–132. [Google Scholar] [CrossRef]
- Schell, B.; Ackermann, I.; Hass, H.; Binkowski, F.; Ebel, A. Modeling the formation of secondary organic aerosol within a comprehensive air quality modeling system. J. Geophys. Res. 2001, 106, 28275–28293. [Google Scholar] [CrossRef]
- Büns, C.; Klemm, O.; Wurzler, S.; Hebbinghaus, H.; Steckelbach, I.; Friesel, J.; Ebel, A.; Friese, E.; Jakobs, H.; Memmesheimer, M. Comparison of four years of air pollution data with a mesoscale model. Atmos. Res. 2012, 118, 404–417. [Google Scholar] [CrossRef]
- Grell, G.A.; Oceanic, N.; Administr, A.; Dudhia, J. A Description of the Fifth-Generation Penn State/NCAR Mesoscale Model (MM5); University Corporation for Atmospheric Research (UCAR): Boulder, CO, USA, 2016. [Google Scholar]
- Memmesheimer, M.; Tippke, J.; Ebel, A.; Hass, H.; Jakobs, H.; Laube, M. On the use of EMEP emission inventories for European scale air pollution modelling with the EURAD model. In Proceedings of the 1991 EMEP Workshop on Photooxidant Modelling for Long Range Transport in Relation to Abatement Strategies, Berlin, Germany, 16–19 April 1991; pp. 307–324.
- Elbern, H.; Strunk, A.; Schmidt, H.; Talagrand, O. Emission rate and chemical state estimation by 4-dimensional variational inversion. Atmos. Chem. Phys. 2007, 7, 3749–3769. [Google Scholar] [CrossRef]
- Petry, H.; Ebel, A.; Franzkowiak, V.; Hendricks, J.; Lippert, E.; Möllhoff, M. Impact of aircraft exhaust on atmosphere: Box model studies and 3-d mesoscale numerical case studies of seasonal differences. In Proceedings of 1996 Impact of Aircraft Emissions upon the Atmosphere, Paris, France, 15–18 October 1996; pp. 241–246.
- Current concentrations of air pollutants in Germany. Available online: http://www.umweltbundesamt.de/daten/luftbelastung/aktuelle-luftdaten (accessed 30 November 30 2015).
- Stationen und Messwerte. Available online: http://www.lanuv.nrw.de/umwelt/luft/immissionen/stationen-und-messwerte/ (accessed on 30 November 2015).
- Elbern, H. The Objectives of Chemical Data Assimilation. Available online: http://db.eurad.uni-koeln.de/en/research/working_group_he/data_assimilation.php (accessed on 16 December 2015).
- Hebbinghaus, H.; Wurzler, S.; Friese, E.; Jakobs, H.J.; Kessler, C.; Ebel, A. Determination of the contribution of different groups of emission sources on the concentration of PM10, PM2.5, and NO2 in North Rhine-Westphalia—A whodunnit. In Proceedings of the 2009 European Aerosol Conference, Karlsruhe, Germany, 6–11 September 2009.
- Nonnemacher, M.; Jakobs, H.; Viehmann, A.; Vanberg, I.; Kessler, C.; Moebus, S.; Möhlenkamp, S.; Erbel, R.; Hoffmann, B.; Memmesheimer, M. Spatio-temporal modelling of residential exposure to particulate matter and gaseous pollutants for the Heinz Nixdorf Recall Cohort. Atmos. Environ. 2014, 91, 15–23. [Google Scholar] [CrossRef]
- Fagerli, H.; Dutcheak, S.; Torseth, K.; QAmman, M.; Ritter, M. EMEP. Available online: http://www.emep.int/ (accessed on 30 November 2015).
- European Environment Agency. Index to methodology chapters ordered by SNAP97 Activity. Available online: http://www.eea.europa.eu/publications/EMEPCORINAIR4/page009-a.html (accessed on 30 November 2015).
- Hennig, F.; Fuks, K.; Moebus, S.; Weinmayr, G.; Memmesheimer, M.; Jakobs, H.; Bröcker-Preuss, M.; Führer-Sakel, D.; Möhlenkamp, S.; Erbel, R.; et al. Association between Source-Specific Particulate Matter Air Pollution and hs-CRP: Local Traffic and Industrial Emissions. Environ. Health Perspect. 2014, 122, 703–710. [Google Scholar] [PubMed]
- Keil, M.; Bock, M.; Esch, T.; Metz, A.; Nieland, S.; Pfitzner, A. CORINE Land Cover Aktualisierung 2006 für Deutschland. Available online: http://www.uba.de/uba-info-medien/4086.html (accessed on 16 December 2015).
- Eeftens, M.; Beelen, R.; de Hoogh, K.; Bellander, T.; Cesaroni, G.; Cirach, M.; Declercq, C.; Dedele, A.; Dons, E.; de Nazelle, A.; et al. Development of Land Use Regression Models for PM2.5, PM2.5 Absorbance, PM10 and PMcoarse in 20 European Study Areas; Results of the ESCAPE Project. Environ. Sci. Technol. 2012, 46, 11195–11205. [Google Scholar]
- Cyrys, J.; Eeftens, M.; Heinrich, J.; Ampe, C.; Armengaud, A.; Beelen, R.; Bellander, T.; Beregszaszi, T.; Birk, M.; Cesaroni, G.; et al. Variation of NO2 and NOx concentrations between and within 36 European study areas: Results from the ESCAPE study. Atmos. Environ. 2012, 62, 374–390. [Google Scholar]
- Beelen, R.; Hoek, G.; Vienneau, D.; Eeftens, M.; Dimakopoulou, K.; Pedeli, X.; Tsai, M.Y.; Künzli, N.; Schikowski, T.; Marcon, A.; et al. Development of NO2 and NOx land use regression models for estimating air pollution exposure in 36 study areas in Europe—The ESCAPE project. Atmos. Environ. 2013, 72, 10–23. [Google Scholar]
- Wang, M.; Brunekreef, B.; Gehring, U.; Szpiro, A.; Hoek, G.; Beelen, R. A New Technique for Evaluating Land-use Regression Models and Their Impact on Health Effect Estimates. Epidemiology 2016, 27, 51–56. [Google Scholar] [CrossRef] [PubMed]
- ESCAPE manuals. Available online: http://www.escapeproject.eu/manuals/ (accessed on 16 December 2015).
- R Development Core Team. R: A Language and Environment for Statistical Computing; R Foundation for Statistical Computing: Vienna, Austria, 2015. [Google Scholar]
- Auswertung der Luftbelastungssituation 2009. Available online: http://www.umweltbundesamt.de/sites/default/files/medien/515/dokumente/3895.pdf (accessed on 16 December 2015).
- Pedersen, M.; Giorgis-Allemand, L.; Bernard, C.; Aguilera, I.; Andersen, A.M. N.; Ballester, F.; Beelen, R.M.J.; Chatzi, L.; Cirach, M.; Danileviciute, A.; et al. Ambient air pollution and low birthweight: A European cohort study (ESCAPE). Lancet Respir. Med. 2013, 1, 695–704. [Google Scholar] [PubMed]
- Hertel, S.; Viehmann, A.; Moebus, S.; Mann, K.; Bröcker-Preuss, M.; Möhlenkamp, S.; Nonnnemacher, M.; Erbel, R.; Jakobs, H.; Memmesheimer, M.; et al. Influence of short-term exposure to ultrafine and fine particles on systemic inflammation. Eur. J. Epidemiol. 2010, 25, 581–592. [Google Scholar] [PubMed]
- Akita, Y.; Baldasano, J.M.; Beelen, R.; Cirach, M.; de Hoogh, K.; Hoek, G.; Nieuwenhuijsen, M.; Serre, M.L.; de Nazelle, A. Large Scale Air Pollution Estimation Method Combining Land Use Regression and Chemical Transport Modeling in a Geostatistical Framework. Environ. Sci. Technol. 2014, 48, 4452–4459. [Google Scholar] [CrossRef] [PubMed]
- Vienneau, D.; de Hoogh, K.; Bechle, M.J.; Beelen, R.; van Donkelaar, A.; Martin, R.V.; Millet, D.B.; Hoek, G.; Marshall, J.D. Western European land use regression incorporating satellite- and ground-based measurements of NO2 and PM10. Environ. Sci. Technol. 2013, 47, 13555–13564. [Google Scholar]




| - | Land use regression (ESCAPE-LUR) | European Air Quality and Dispersion Chemistry Transport Model (EURAD-CTM) |
|---|---|---|
| Model Type | Linear regression model, to predict annual averages derived from selected monitored concentrations with land use data | Mesoscale chemistry transport model involving emissions, transport, diffusion, chemical transformation, wet and dry deposition, and sedimentation of gases and aerosols |
| Aim & Application | Estimation of long-term traffic-related air pollution for population-based exposure studies and epidemiological health outcome analyses |
|
| Model Input |
|
|
| Modelled Air Pollutants | PM2.5, PM10, NO2 (additional pollutants: PM2.5 absorbance, PM coarse, NO, NOx) | PM2.5, PM10, NO2 (additional pollutants: PM1, O3, SO2, CO, PNC, NH4, NO3, SO4, BC, EC) |
| Temporal Resolution (Output) | Yearly mean concentration (October16, 2008 until October 15, 2009) | Any temporal resolution > day within October 2000 until December 2003 and January 2006 until December 2008 is possible; e.g., 7-,14-, 21-,28-,91-,182-, and 365-day mean concentration |
| Model Validation | a) Goodness of fit (cf. Table S2): PM2.5 (R2 = 0.85), PM10 (R2 = 0.66), NO2 (R2 = 0.88) b) Leave-one-out cross-validation: PM2.5 (R2 = 0.74), PM10 (R2 = 0.59), NO2 (R2 = 0.82) | Validation for daily mean concentration in N3 area with routine measurements (mean bias, correlation); year: a) Before data assimilation: PM10 (−6.5, 0.45); 2006 NO2 (4.0, 0.39); 2007 b) After data assimilation PM10 (−0.9, 0.93); 2006 NO2 (0.6, 0.95); 2007 |
| Spatial Resolution | Point-specific | 1 km × 1 km grid |
| Additional Features |
| Source-specific air pollutant concentrations (only local traffic (TRA), only local industry (IND)) |
| -- | PM2.5 | PM10 | NO2 |
|---|---|---|---|
| Mean ± SD (Min, Max) | Mean ± SD (Min, Max) | Mean ± SD (Min, Max) | |
| EURAD-CTM (µg/m3) | |||
| 2001 year-mean | 16.6 ± 1.5 (14.0, 21.6) | 21.2 ± 2.9 (17.0, 30.1) | 42.2 ± 4.2 (28.2, 55.4) |
| 2002 year-mean | 16.8 ± 1.4 (14.3, 21.2) | 20.4 ± 1.9 (16.7, 27.0) | 39.3 ± 3.8 (27.5, 50.2) |
| 2003 year-mean | 18.2 ± 1.4 (15.5, 22.7) | 22.4 ± 3.3 (17.8, 32.4) | 42.7 ± 4.1 (30.1, 56.1) |
| 2006 year-mean | 16.2 ± 1.3 (13.9, 21.2) | 21.0 ± 3.7 (16.5, 34.2) | 40.0 ± 4.8 (27.1, 57.2) |
| 2007 year-mean | 15.7 ± 1.3 (13.4, 20.3) | 19.8 ± 2.9 (15.7, 30.8) | 37.7 ± 4.5 (26, 53.7) |
| 2008 year-mean | 14.6 ± 1.1 (12.5, 19.0) | 18.0 ± 2.3 (14.9, 25.1) | 37.5 ± 3.9 (26.3, 47.9) |
| ESCAPE-LUR (µg/m3) | |||
| back-extrapolated (2-year averages) | -- | 30.3 ± 2.1 (25.5, 38.7) | 30.5 ± 5.0 (19.3, 62.0) |
| Year 2008–2009 | 18.4 ± 1.0 (16.0, 21.4) | 27.7 ± 1.8 (23.9, 34.7) | 30.1 ± 4.9 (19.8, 62.4) |
| Difference (µg/m3) | |||
| ∆ESCAPE-LUR (2008–09) EURAD-CTM (2008) | 3.7 ± 1.3 (−0.7, 7.0) | 9.8 ± 2.4 (0.9, 16.5) | −7.4 ± 4.9 (−26.8, 18.9) |
| Background | ESCAPE Site (µg/m3) | EURAD-CTM (µg/m3) | Spearman Correlation Coefficient (r) |
|---|---|---|---|
| Mean ± SD | Mean ± SD | ||
| PM2.5 (N = 9) | 17.78 ± 2.40 | 19.80 ± 5.80 | 0.34 |
| PM10 (N = 9) | 26.12 ± 4.70 | 23.29 ± 5.98 | 0.93 |
| NO2 (N = 16) | 37.85 ± 6.21 | 50.82 ± 10.07 | 0.34 |
| traffic | |||
| PM2.5 (N = 6) | 19.75 ± 3.75 | 21.78 ± 6.96 | 0.43 |
| PM10 (N = 6) | 29.26 ± 4.95 | 26.97 ± 7.68 | 0.37 |
| NO2 (N = 13) | 50.43 ± 9.83 | 58.04 ± 10.33 | 0.60 |
| Background + traffic | |||
| PM2.5 (N = 15) | 18.57 ± 3.05 | 20.59 ± 6.13 | 0.45 |
| PM10 (N = 15) | 27.37 ± 4.89 | 24.77 ± 6.71 | 0.77 |
| NO2 (N = 29) | 43.49 ± 10.13 | 54.06 ± 10.65 | 0.55 |
| Air Pollutant (µg/m3) | LANUV Monitor (2008) | EURAD-CTM (2008) | Pearson Correlation Coefficient (LANUV*EURAD-CTM) | LANUV Monitor (October 2008–October 2009) | ESCAPE-LUR Prediction (October 2008-October 2009) | Closest ESCAPE-Measurement Site |
|---|---|---|---|---|---|---|
| Mülheim-Styrum (BG) (grid cell: 679) | ||||||
| PM2.5 | 17.90 | 16.33 | 0.66 | 20.71 | 19.50 | 19.00 a |
| PM10 | 25.24 | 23.21 | 0.88 | 28.20 | 28.86 | 29.00 a |
| NO2 | 34.17 | 39.33 | 0.80 | 34.67 | 31.42 | 33.00 a |
| Essen-Vogelheim (BG) (grid cell: 942) | ||||||
| PM2.5 | 22.08 | 16.21 | 0.74 | 20.18 | 19.31 | 18.50 b |
| PM10 | 27.66 | 23.79 | 0.81 | 27.32 | 26.64 | 26.40 b |
| NO2 | 35.17 | 41.56 | 0.76 | 35.70 | 28.75 | 53.30 c |
| Essen-Ost city (TRAFFIC) (grid cell: 690) | ||||||
| PM2.5 | 20.08 | 14.72 | 0.69 | 20.51 | 21.05 | 20.90 d |
| PM10 | 26.61 | 23.77 | 0.81 | 26.64 | 33.38 | 32.70 d |
| NO2 | 46.36 | 44.97 | 0.87 | 47.65 | 42.01 | 43.50 d |
| EURAD-CTMTRA (Traffic-Specific) | ESCAPE Background Sites | ESCAPE Traffic Sites | All ESCAPE Sites |
|---|---|---|---|
| PM2.5 | 0.69 (n = 9) | 0.88 (n = 6) | 0.77 (n = 15) |
| PM10 | 0.02 (n = 9) | 0.83 (n = 6) | 0.32 (n = 15) |
| NO2 | 0.57 (n = 16) | 0.79 (n = 13) | 0.63 (n = 29) |
© 2016 by the authors; licensee MDPI, Basel, Switzerland. This article is an open access article distributed under the terms and conditions of the Creative Commons by Attribution (CC-BY) license (http://creativecommons.org/licenses/by/4.0/).
Share and Cite
Hennig, F.; Sugiri, D.; Tzivian, L.; Fuks, K.; Moebus, S.; Jöckel, K.-H.; Vienneau, D.; Kuhlbusch, T.A.J.; De Hoogh, K.; Memmesheimer, M.; et al. Comparison of Land-Use Regression Modeling with Dispersion and Chemistry Transport Modeling to Assign Air Pollution Concentrations within the Ruhr Area. Atmosphere 2016, 7, 48. https://doi.org/10.3390/atmos7030048
Hennig F, Sugiri D, Tzivian L, Fuks K, Moebus S, Jöckel K-H, Vienneau D, Kuhlbusch TAJ, De Hoogh K, Memmesheimer M, et al. Comparison of Land-Use Regression Modeling with Dispersion and Chemistry Transport Modeling to Assign Air Pollution Concentrations within the Ruhr Area. Atmosphere. 2016; 7(3):48. https://doi.org/10.3390/atmos7030048
Chicago/Turabian StyleHennig, Frauke, Dorothea Sugiri, Lilian Tzivian, Kateryna Fuks, Susanne Moebus, Karl-Heinz Jöckel, Danielle Vienneau, Thomas A.J. Kuhlbusch, Kees De Hoogh, Michael Memmesheimer, and et al. 2016. "Comparison of Land-Use Regression Modeling with Dispersion and Chemistry Transport Modeling to Assign Air Pollution Concentrations within the Ruhr Area" Atmosphere 7, no. 3: 48. https://doi.org/10.3390/atmos7030048
APA StyleHennig, F., Sugiri, D., Tzivian, L., Fuks, K., Moebus, S., Jöckel, K.-H., Vienneau, D., Kuhlbusch, T. A. J., De Hoogh, K., Memmesheimer, M., Jakobs, H., Quass, U., & Hoffmann, B. (2016). Comparison of Land-Use Regression Modeling with Dispersion and Chemistry Transport Modeling to Assign Air Pollution Concentrations within the Ruhr Area. Atmosphere, 7(3), 48. https://doi.org/10.3390/atmos7030048

