Next Article in Journal
Importance of Ship Emissions to Local Summertime Ozone Production in the Mediterranean Marine Boundary Layer: A Modeling Study
Previous Article in Journal
The Synoptic Patterns Associated with Spring Widespread Dusty Days in Central and Eastern Saudi Arabia
 
 
Font Type:
Arial Georgia Verdana
Font Size:
Aa Aa Aa
Line Spacing:
Column Width:
Background:
Article

Genetic Programming for the Downscaling of Extreme Rainfall Events on the East Coast of Peninsular Malaysia

Department of Hydraulics & Hydrology, Faculty of Civil Engineering, Universiti Teknologi Malaysia, 81310 Johor Bahru, Malaysia
*
Author to whom correspondence should be addressed.
Atmosphere 2014, 5(4), 914-936; https://doi.org/10.3390/atmos5040914
Submission received: 4 September 2014 / Revised: 18 November 2014 / Accepted: 20 November 2014 / Published: 27 November 2014

Abstract

:
A genetic programming (GP)-based logistic regression method is proposed in the present study for the downscaling of extreme rainfall indices on the east coast of Peninsular Malaysia, which is considered one of the zones in Malaysia most vulnerable to climate change. A National Centre for Environmental Prediction reanalysis dataset at 42 grid points surrounding the study area was used to select the predictors. GP models were developed for the downscaling of three extreme rainfall indices: days with larger than or equal to the 90th percentile of rainfall during the north-east monsoon; consecutive wet days; and consecutive dry days in a year. Daily rainfall data for the time periods 1961–1990 and 1991–2000 were used for the calibration and validation of models, respectively. The results are compared with those obtained using the multilayer perceptron neural network (ANN) and linear regression-based statistical downscaling model (SDSM). It was found that models derived using GP can predict both annual and seasonal extreme rainfall indices more accurately compared to ANN and SDSM.

1. Introduction

Climate change due to global warming will modify the climate in terms of both the mean and variability of rainfall [1,2]. Small changes in rainfall variability and the mean can produce relatively large changes in the probability of extreme rainfall events [3,4]. As the primary impacts of climate change on human life, environments, economies and societies result from extreme events, changes in extreme weather events due to global warming have become a major concern in recent years [2,5,6]. Therefore, reliable projection of future changes in extreme indices at the local scale is a major challenge in any climate region.
General circulation models (GCMs) are generally designed to simulate the present climate and project the future climate. However, GCMs cannot be used to project local- and regional-scale climates and their changes, because of their coarse spatial resolutions. Therefore, GCM simulations are downscaled into much finer spatial resolution for climate change impact studies at local and regional scales [7]. Two major downscaling approaches are often used: dynamical downscaling methods that are based on high-resolution regional climate models [8,9] and statistical downscaling methods based on some established statistical relationships between large-scale atmospheric variables (predictors) and local climate variables (predictands) [10,11]. Compared to dynamic downscaling, statistical downscaling requires simple computational skills to downscale GCM outputs in order to understand possible future changes in climate at the local scale [12].
A number of studies on downscaling extreme indices has been carried out in recent years [12,13,14,15,16,17]. However, this is still new in Malaysia and Southeast Asian countries, where studies of statistical downscaling have focused mainly on mean climate. Logistic regression is a popular technique for classifying information into two mutually exclusive and exhaustive categories [18]. It has been used for the downscaling of extreme rainfall indices in a number of research papers [19,20,21]. Logistic regression creates decision trees for the creation of decision rules. One of the main drawbacks of conventional logistic regression-based statistical downscaling procedures is that the performance of such models depends on theoretical assumptions and data restrictions. Furthermore, conventional statistical logistic regression methods show poor performance when the variable of interest is precipitation; the predictor/predictand relationships are very complex, and conventional downscaling methods may not work satisfactorily [22]. Genetic programming (GP) is a kind of non-parametric regression, which can relate the predictors and predictands and provide a predictive model identical to the analytical optimal solution when interrelationships between variables are poorly understood [23,24,25,26,27,28,29]. Genetic-based statistical logistic regression offers a clear advantage over the standard statistical logistic regression method [30,31]. It generates a set of logical expressions describing the structure of the data through iterative subsumption and probabilistically picks the most appropriate set to allow the system to predict in non-deterministic situations, while the achievement of this is not possible with current statistical logistic regression. Thus, the objective of the present study was to use a GP-based logistic regression method for the downscaling of rainfall extremes. The method is tested for the east coast of Peninsular Malaysia.
Three extreme rainfall indices that are important for the economy and livelihood of the population of the east coast of Peninsular Malaysia were downscaled: heavy rainfall days (days with larger than or equal to the 90th percentile of rainfall) during the north-east (NE) monsoon; consecutive dry days; and consecutive wet days in a year. The east coast of Peninsular Malaysia is one of the zones most vulnerable to climate change in the country [32]. It has been reported that extreme rainfall events have increased in Peninsular Malaysia in recent years [32,33,34]. Floods triggered by heavy rainfall are a major hydrological disaster, and almost every year, phenomena occur in the area. Deni et al. [33] reported that rainfall intensity increased in much of Peninsular Malaysia during the south-west (SW) monsoon. During the NE monsoon, total rainfall, the frequency of extreme rainfall events and rainfall intensity increased all over the peninsula [34]. It is anticipated that variability in inter-annual and inter-seasonal rainfall due to climate change will cause more hydrologic extremes on the east coast of Peninsular Malaysia and make people’s livelihoods and local infrastructure more vulnerable. Therefore, downscaling extreme rainfall indices is very important for the creation of rational countermeasures in the context of climate change.

2. Methodology

2.1. Data and Sources

Rainfall data recorded at three stations, namely Besut, Dungun and Kemaman, on the east coast of Peninsular Malaysia were used to downscale the extreme rainfall indices using GP. The location of rainfall stations on the map of Peninsular Malaysia is shown in Figure 1a. The climate of the area can be loosely divided into four seasons: the NE monsoon from October to February; the SW monsoon from April to August; and two inter-monsoonal transitional periods in March and September. The east coast is considered as the wet belt of Peninsular Malaysia, with an annual rainfall of 2800 mm. Heavy rainfall on the east coast of Peninsular Malaysia is usually associated with the NE monsoon. Maximum precipitation usually occurs during the months of November and December. On the other hand, cloudless skies are observed during the SW monsoon. The topographic map of the study area, prepared using the Advanced Spaceborne Thermal Emission and Reflection Radiometer Global Digital Elevation Model, is shown in Figure 1b. The elevation in the area varies from −4 m on the narrow coastal plain to 2270 m in the interior mountainous region.
Daily rainfall data series for the time period 1961–2000 recorded at three locations in the study area were obtained from the Department of Irrigation and Drainage Malaysia. The predictors were obtained from the National Centre for Environmental Prediction (NCEP) reanalysis dataset [35]. Climate model data represent an aggregate over a grid box, and therefore, NCEP data are not an ideal representation of precipitation extremes computed from averages over stations. However, a number of studies have reported that the relationship between the extremes of gridded climatological datasets and observed point-level data from weather stations can be used to predict point-level extreme behavior from future runs of climate models [36,37,38,39,40,41].
Data quality control is a necessary step before the calculation of indices, because erroneous outliers can seriously impact index calculation and trends [42]. A number of quality control checks were carried out to identify errors, such as precipitation values below 0 mm, rainfall higher than 250 mm, more than 20 consecutive dry days during the NE monsoon and more than 20 consecutive wet days during the SW monsoon. Histograms of the data were also created to reveal problems in the dataset as a whole [43]. A Student’s t-test was used to test the difference in the means between the two segments of the dataset to ensure the homogeneity of data. Differences between the sub-set series are not significant at the 95% level of confidence for any station.
Figure 1. (a) Location of the rain gauge stations in Peninsular Malaysia; (b) terrain map of the study area.
Figure 1. (a) Location of the rain gauge stations in Peninsular Malaysia; (b) terrain map of the study area.
Three extreme rainfall indices were computed for the present study. Table 1 provides descriptions of the indices. The indices were calculated on a seasonal or annual basis. In computing the percentile-based index, the percentile was calculated from the reference period 1961–1990, which is a normal climate period as defined by the World Meteorological Organization [44]. Heavy rainfall on the east coast of Peninsular Malaysia is usually associated with the NE monsoon. Therefore, only heavy rainfall days (the days with larger than or equal to the 90th percentile of rainfall) during the NE monsoon were downscaled in the present study.
Table 1. Definitions of precipitation indices used in the present study.
Table 1. Definitions of precipitation indices used in the present study.
IndexDescriptionUnit
R90Total number of days during NE monsoon in a year with rainfall ≥90th percentile of 1961–1990 daily rainfallday
CDDMaximum number of consecutive dry days (rainfall = 0) in a yearday
CWDMaximum number of consecutive wet days (rainfall > 0) in a yearday

2.2. Selection of Predictors

One of the major challenges in climate downscaling, especially in downscaling extreme rainfall indices, is the selection of appropriate predictors. It is expected that predictors should be highly correlated with extreme rainfall indices. Furthermore, the predictors should be accurately projected by available GCMs for the future projection of climate. There are no general guidelines for the selection of predictors in different parts of the world, and therefore, a comprehensive search of predictors is necessary [45]. Twenty-six NCEP variables that are usually projected by various climate models, including the Hadley Centre Climate Model (HadCM), were used in the present study for the selection of predictors. The description of 26 NCEP variables is given in Table 2.
Table 2. Description of 26 NCEP variables used for predictor selection.
Table 2. Description of 26 NCEP variables used for predictor selection.
No.VariablesDescriptionNo.VariablesDescription
1mslpMean sea level pressure14p5zh500 hPa divergence
2p_fSurface airflow strength15p8_f850 hPa airflow strength
3p_uSurface zonal velocity16p8_u850 hPa zonal velocity
4p_vSurface meridional velocity17p8_v850 hPa meridional velocity
5p_zSurface vorticity18p8_z850 hPa vorticity
6p_thSurface wind direction19p800850 hPa geopotential height
7p_zhSurface divergence20p8th850 hPa wind direction
8p5_f500 hPa airflow strength21p8zh850 hPa divergence
9p5_u500 hPa zonal velocity22rhumNear surface relative humidity
10p5_v500 hPa meridional velocity23r500Relative humidity at 500 hPa
11p5_z500 hPa vorticity24r850Relative humidity at 850 hPa
12p500500 hPa geopotential height25shumNear surface specific humidity
13p5th500 hPa wind direction26tempMean temperature
The climatic system is influenced by the combined action of multiple atmospheric variables in a wide tempo-spatial space. Any single circulation predictor and/or small tempo-spatial space are unlikely to be sufficient for climate projection, as they fail to capture key rainfall mechanisms based on thermodynamics and vapor content [46]. Following the suggestions of Wilby and Wigley [47], the regional synoptic circulation patterns that contributed to the anomalous rainfall pattern in Malaysia were considered in the selection of the spatial domain of each predictor, represented as 42 grid points surrounding the study area. All 26 daily NCEP variables at 42 NCEP grid points surrounding the study area (Figure 2) (total 26 × 42 = 1092) were individually correlated with local extreme rainfall events. The non-parametric Kendall tau correlation coefficient was used to measure the degree of association between NCEP variables and local extreme rainfall events. Finally, the NCEP variables that have a strong correlation with a particular rainfall event at a particular rainfall station were used for the selection of the final set of predictors through stepwise regression processes to downscale the corresponding rainfall event at that station.

2.3. Statistical Downscaling Model

The statistical downscaling model (SDSM) is a widely used downscaling tool developed by Wilby et al. [48]. The SDSM uses the multiple linear regression technique for the development of downscaling models. It develops each model by establishing the statistical relationship between the predictands and predictors as a first step and then simulates the future series of predictands by using the predicted data from GCMs. The SDSM uses two separate sub-models to determine the occurrence and the amount of conditional meteorological variables (or discrete variables), such as precipitation. Therefore, the SDSM can be classified as a conditional weather generator in which regression equations are used to estimate the parameters of daily precipitation occurrence and amount separately. Therefore, it is more sophisticated than a straightforward regression model [49].
Figure 2. Location of NCEP grid points used to select the predictors.
Figure 2. Location of NCEP grid points used to select the predictors.

2.4. Statistical Downscaling Using Multilayer Perceptron Artificial Neural Network

Multilayer perceptron (MLP) is the most popular, flexible and simplest type of artificial neural network (ANN), widely used to map non-linear relationships between predictors and predictands [50,51]. The main function of an ANN is to improve the performance function between the predicted and observed values. The MLP ANN is composed of an input layer, any number of hidden layers and an output layer of neurons [52,53]. Studies have revealed that statistical downscaling based on ANN models can present good non-linear regression models [54,55,56]. Therefore, ANN models have been used successfully for climate downscaling in many climatic regions [52,57].
The MLP neural network uses the following equations to model precipitation:
y k = F ( j = 1 h w j G ( s i ) + b k )
where F represents the linear activation function of the output neuron, bk is the threshold and wj represents the connection. G is the hyperbolic tangent sigmoid used as the activation function for the hidden nodes and can be expressed as follows:
G ( s i ) = e S i e S i e S i + e S i
where si is the weighted sum of all incoming information and also referred to as the input signal:
s i = i = 1 n w i x i
where xi is the input to the network (NCEP predictors) and wi is the connection weight between nodes of the input and hidden layers.

2.5. Downscaling Using GP-Based Logistic Regression

Logistic regression follows the same principles of linear regression, except that the outcome is a dichotomous variable representing success or failure. It assumes that the probability of success or failure, P(X), is related to X by the function. The general multiple logistic regression model can be represented in terms of p, i.e., probability of success (or failure) as:
p = e L 1 + e L
and, L = e β 0 + β 1 + β 2 + + ε , where β0 is the intercept, β1, β2, …, βn are the slope coefficients and ε is the random error.
Like linear regression, the goal is to estimate the regression coefficients (β0, β1, β2, …, βn) for a dataset. Unfortunately, the techniques used in linear regression to estimate the regression coefficients cannot be applied to logistic regression [18]. Traditionally, a stepwise regression procedure combined with the maximum likelihood method is used to determine significant predictors and their contribution to the probability of the target variable. The main disadvantage of stepwise regression with forward selection is that it can often result in biased selection of significant predictors [58]. In order to overcome this problem, a number of methods have been proposed, such as ridge regression, the least absolute shrinkage and selection operator [59], the elastic net [60], etc. However, these techniques often fail to infer sparse models or can exhibit undesirable behavior in the presence of highly correlated predictors [58]. Recently, GP has been proposed to overcome the inherent difficulties of logistic regression. Biesheuvel et al. [30] compared the performance of GP with logistic regression in diagnosing pulmonary embolism and reported that although the interpretation of a GP model is less intuitive, it is a promising technique for the development of prediction rules for diagnostic and prognostic purposes. Engoren et al. [31] also came to a similar conclusion and reported that GP can improve the prediction accuracy of logistic regression. The application of GP-based logistic regression has increased in recent years in different fields of science and technology [61,62,63,64].
In the present study, predictors (NCEP variables) were used to predict whether a rainfall event will occur or not. Therefore, the task of downscaling extreme indices is to find a model or function that maps the extreme rainfall indices from the predictors. The GP method is used to solve this problem by generating thousands of randomly-created computer programs. GP computer programs are often represented as symbolic expressions or an alternative representation of symbolic expressions given by expression trees. The tree representations consist of nodes and are of variable length. The nodes can either be non-terminal or terminal nodes; the former consist of functions that perform some action on one or more signals within the structure to produce an output signal, and the terminal nodes represent an input variable or a constant. The fitness of each program is computed according to its prediction ability, which is measured using a hit rate. A hit rate, also known as a success rate, is calculated as:
Hit Rate = Success in Prediction Success in Prediction + Failure in Prediction
After evaluating the fitness, better programs are selected for the next generation. Genetic operators, namely mutation and crossover, are used to generate offspring form the existing individuals. Crossover between two trees is carried out by randomly choosing a branch in each tree and switching them. Mutation is performed by choosing a node and changing its value or meaning, i.e., the function symbol could become another function symbol or be deleted and the terminal value could be modified. The process is repeated until the termination conditions are met. The fittest program in the final generation is the prediction model of a particular extreme rainfall event [28,65].
The commercial software, Discipulus [66], is used for the development of GP-based logistic regression models. Discipulus is a general purpose GP system, which can be used for regression and binary classification problems. The software creates small programs with the technique of GP, which answer questions. For example, it can be used to decide whether a 90th percentile rainfall amount will occur during a specific day or not. Daily rainfall data for the time period 1961–1990 were used as the GP learning set, and the data for the time period 1991–2000 were used for validation.

3. Results

3.1. Selection of Predictors

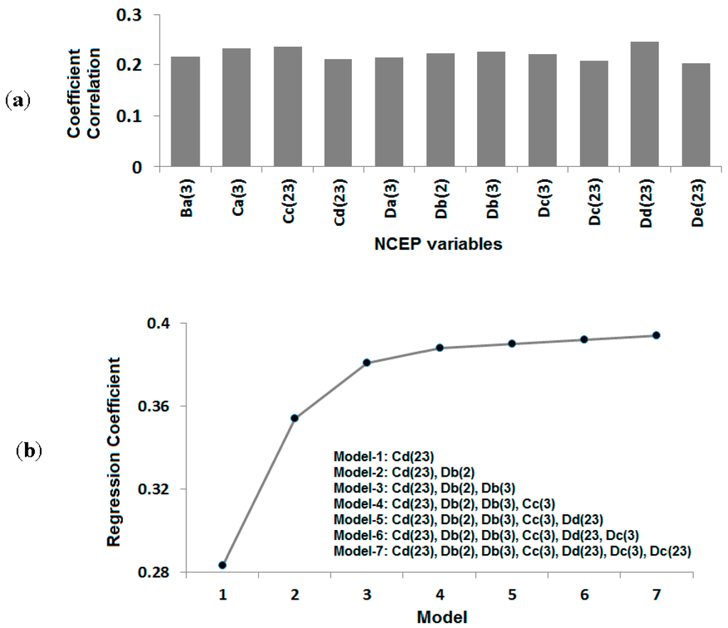
For the selection of predictors, the NCEP variables from 42 grid points surrounding the study area were individually correlated with local rainfall events. The NCEP variables from different grid points, having high correlation with heavy rainfall event at Dungun station, are shown in Figure 3a. In the figure, the capital letter in an NCEP variable name represents the column and the lower case letter represents the row of the NCEP grid point, as shown in Figure 2. The number in brackets represents the NCEP variable, as described in Table 1. Therefore, Cd(23) represents relative humidity at 500 hPa at the grid point located in column “C” and row “d”. Eleven NCEP variables from different grid points were found to have high correlation with a heavy rainfall event. These NCEP variables were used to select the final set of predictors for the downscaling using stepwise multiple regression. Stepwise multiple regression is a way of choosing predictors of a particular dependent variable on the basis of statistical criteria, such as an F-test or adjusted R-squared test. Stepwise multiple regression adds and removes predictors, in a stepwise manner, until there is no justifiable reason to add or remove more. Therefore, it allows the selection of the subset of independent variables that is the best predictor. The plot of regression coefficients between different subsets of independent variables and 90th percentile rainfall events at Dungun station is shown in Figure 3b. The figure shows that the model performance increases with the inclusion of more NCEP variables. However, it does not increase substantially after the inclusion of more variables with three independent variables, namely Cd(23), Db(2) and Db(3). Therefore, these three NCEP variables were finally chosen as predictors for the downscaling of heavy rainfall days at Dungun station.
Figure 3. (a) The NCEP variables from different grid points with good correlation with heavy rainfall events during the NE monsoon; (b) the plot of regression coefficients between different subsets of NCEP variables and heavy rainfall events at Dungun station.
Figure 3. (a) The NCEP variables from different grid points with good correlation with heavy rainfall events during the NE monsoon; (b) the plot of regression coefficients between different subsets of NCEP variables and heavy rainfall events at Dungun station.
The process produced the same set of NCEP variables for all three stations. The NCEP variables selected as predictors for different rainfall indices are given in Table 3. NCEP variables at grid points located in the NE direction have more influence on the rainfall of the study area. This is justifiable, as the rainfall in the study area is influenced by the NE monsoon.
Table 3 shows that the NCEP variables selected for downscaling rainfall indices are relative humidity at 500 and 850 hPa, surface airflow strength and surface zonal velocity. Precipitation at a location depends on the available air moisture content and flow of moist air. Relative humidity at 500 and 850 hPa represents the water vapor available in the air; surface airflow strength represents the regime of near surface air flow and surface zonal velocity on the equator cause zonal wind stress. Therefore, selection of these variables is physically plausible for rainfall downscaling. Other researchers also used those variables as predictors for rainfall downscaling in Malaysia [67,68]. It is very important to remember that the predictors used for downscaling should be reliably simulated by GCMs. The predictors selected in the present study are well simulated by many GCMs, including Hadley Centre Coupled Model, version 2 (HadCM2), Canadian Global Coupled Model, version 2 (CGCM2), etc. Therefore, these predictors have been widely used for the downscaling and projection of future rainfall [67,68,69].
Table 3. NCEP variables used to build downscaled models.
Table 3. NCEP variables used to build downscaled models.
EventPredictor CodeDescription
90th percentile rainfall eventP1Cd(23)Relative humidity at 500 hPa at grid point Cd
P2Db(2)Surface airflow strength at grid point Db
P3Dc(3)Surface zonal velocity at grid point Dc
Rainfall eventP1Cd(23)Relative humidity at 500 hPa at grid point Cd
P2Dd(24)Relative humidity at 850 hPa at grid point Dd
P3Db(3)Surface zonal velocity at grid point Db

3.2. Downscaling Using GP

The goal of a GP downscaling process is to produce an algebraic expression or model that best describes the daily rainfall from predictors. For this purpose, the GP algorithm works with solution candidates, which are tree structure representations of symbolic expressions. The function set used for non-terminal nodes includes +, −, ×, /, %, square root, log, as well as logical and other commonly-used trigonometric operators. As the goal is to find the extreme rainfall from NCEP variables, the terminal nodes must consist of selected NCEP variables, as well as constants. The obtained results are discussed below.

3.2.1. Downscaling Heavy Rainfall Days

A GP model for the downscaling of the days with larger than or equal to 90th percentile rainfall was developed first. The amounts of 90th percentile daily rainfall over the normal climate period (1961–1990) defined by the World Meteorological Organization [44] are 23.2, 24.6 and 25.8 mm at Besut, Dungun and Kemaman stations, respectively. GP-based logistic regression was used to decide whether 90th percentile rainfall will occur or not during a day from the NCEP variables.
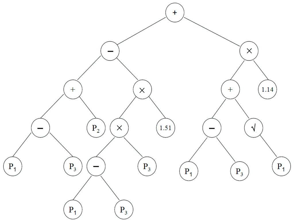
The GP software (Discipulus) used in the present study performs multiple runs by default. In the present study, 100 runs were used to produce a wide range of results. Termination of each run was considered as 200 generations without any improvement in fitness function. The distribution of results from multiple GP runs includes a distributional tail of excellent solutions. The best solution is selected based on the hit rate. The highest overall hit rates were obtained in downscaling heavy rainfall days in run 52 after 652 generations at Besut station, in run 47 after 712 generations at Dungun and in run 34 after 512 generations at Kemaman. The highest overall hit rates obtained at different stations is given in Table 4. It can be seen from the table that GP is able to model the 90th percentile rainfall index in 78.3%–81.1% of cases during calibration and 75.9%–78.0% of cases during validation. This means that GP-based logistic regression is successful in downscaling heavy rainfall days in more than 78.3% of cases. The best tree structure representations of symbolic expressions produced by GP in downscaling heavy rainfall days at Besut station is shown in Figure 4. The simplified equations obtained from the GP structures that can be used to downscale the number of heavy rainfall days in the vicinity of three rainfall stations is given in Table 5.
Table 4. Overall hit rates during training and validation of genetic programming (GP) models in downscaling rainfall indices.
Table 4. Overall hit rates during training and validation of genetic programming (GP) models in downscaling rainfall indices.
Rainfall IndicesStation NameHit Rate (%)
TrainingValidation
Days with larger than or equal to 90th percentile rainfallBesut81.178.0
Dungun80.176.8
Kemaman78.375.9
Rainy daysBesut86.182.0
Dungun84.580.2
Kemaman83.981.0
Figure 4. The tree structure representations of symbolic expressions produced by GP for heavy rainfall event downscaling at Besut (descriptions of P1, P2 and P3 are given in Table 3).
Figure 4. The tree structure representations of symbolic expressions produced by GP for heavy rainfall event downscaling at Besut (descriptions of P1, P2 and P3 are given in Table 3).
Table 5. The simplified equations derived by GP for the downscaling of extreme rainfall indices (descriptions of P1, P2 and P3 are given in Table 3).
Table 5. The simplified equations derived by GP for the downscaling of extreme rainfall indices (descriptions of P1, P2 and P3 are given in Table 3).
Rainfall IndicesStation NameEquation
Days with larger than or equal to 90th percentile rainfallBesut−1.28[P2P1 + 1.258[P2P1 − 1.36[P2 + P3]]] × [P2P1]
Dungun[P2 + P1 − 2.56[P2 + P1 − 3.26[P1 + P2 + P3]]] × 1.23P2
Kemaman−1.11[P2P1 + 1.56[P2 P1 − 1.45[P2 + P3]]] × [P2 P1 + P3]
Rainy daysBesut(P3 P1 + P2) − 1.51(P3 × P2P1) + 1.14(P1P3 + sqrt(P1))
Dungun1.23 × (P1 + P2) − 1.26(P3 × P2P1) + 0.86(P1 P2)
Kemaman2.34 × P2 − 2.13(P3 × 1.54 − P1) + 1.45(P1P3 × P1)

3.2.2. Downscaling Consecutive Wet and Dry Days

For downscaling of consecutive wet and dry days, a GP model was developed to predict whether rainfall will occur or not during a day. This produced a binary time series for the whole period, which was used to compute the consecutive wet and dry days in a year.
The GP model required different numbers of generations to give the highest overall hit rates at different stations. The best hit rates in downscaling rainy days at different stations is given in Table 4. It can be seen from the table that GP-based logistic regression was successful in downscaling rainfall days in 83.9%–86.1% of cases during calibration and 80.2%–82.0% of cases during validation. The best tree structure produced by the GP in downscaling rainy days at Besut is shown in Figure 5. The simplified equations obtained from the structures that can be used for downscaling rainy days at different stations are given in Table 5.
Figure 5. The tree structure representations of symbolic expressions produced by GP for the downscaling of rainy days at Besut (descriptions of P1, P2 and P3 are given in Table 3).
Figure 5. The tree structure representations of symbolic expressions produced by GP for the downscaling of rainy days at Besut (descriptions of P1, P2 and P3 are given in Table 3).

3.3. Downscaling Using ANN

A feed-forward learning-based three-layer MLP ANN developed in MATLAB was used in the present study to downscale extreme rainfall indices. The same predictors used in GP (Table 3) were also used in the ANN. Like GP, an ANN is used to decide whether rainfall will occur or not during a day from the NCEP variables. Data for the time periods 1961–1990 and 1991–2000 were used for calibration and validation of the ANN model, respectively. The ANN was run 100 times, and the obtained results from each run were stored. A termination criterion for a single run was chosen as 200 generations without improvement. The best ANN model was selected based on the hit rate. The results were then compared with those obtained using GP and the SDSM.

3.4. Downscaling Using the SDSM

The SDSM package was also used to downscale daily rainfall with the same predictors used for GP (given in Table 3). Daily rainfall data for the time periods 1961–1990 and 1991–2000 were used for calibration and validation of the SDSM, respectively. The extreme rainfall indices were then estimated from the daily rainfall downscaled by the SDSM. In the present study, extreme rainfall indices during the validation period were computed and compared with observed and GP-based downscaled results.
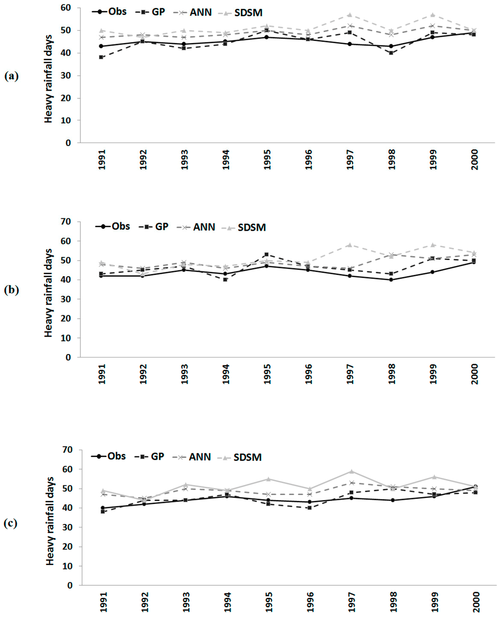
Figure 6. Observed number of heavy rainfall days and those downscaled by GP, the ANN and the statistical downscaling model (SDSM) during model validation at: (a) Besut; (b) Dungun; and (c) Kemaman.
Figure 6. Observed number of heavy rainfall days and those downscaled by GP, the ANN and the statistical downscaling model (SDSM) during model validation at: (a) Besut; (b) Dungun; and (c) Kemaman.
Figure 7. Observed number of consecutive wet days and those downscaled by GP, the ANN and the SDSM during model validation at: (a) Besut; (b) Dungun; and (c) Kemaman.
Figure 7. Observed number of consecutive wet days and those downscaled by GP, the ANN and the SDSM during model validation at: (a) Besut; (b) Dungun; and (c) Kemaman.

3.5. Comparison of Results

Comparisons of observed and downscaled heavy rainfall days during monsoon, as well as consecutive wet days and consecutive dry days in a year over the model validation period (1991–2000) are shown in Figure 6, Figure 7 and Figure 8, respectively. It can be seen in Figure 6 that all of the methods estimated the number of heavy rainfall days successfully over the evaluation period. However, the downscaled output from GP is closer to the observed values compared to those estimated by the ANN and the SDSM. In most of the years, both the ANN model and SDSM overestimated the number of heavy rainfall days. Compared to the ANN, the SDSM overestimated heavy rainfall days more often. On the other hand, GP underestimated the number of days in certain years, but the estimated GP values were found to be very close to observed values in almost all of the years and at all of the stations. The root mean squared error (RMSE) and correlation coefficient (expressed as r2) between observed and downscaled values during validation are given in Table 6. The table shows that the errors in estimation of the number of heavy rainfall days by GP are always significantly less compared to ANN and SDSM estimations. The correlation coefficient between observed values and GP downscaled values during the validation period was also found to be higher compared to ANN and SDSM downscaling.
Figure 8. Observed number of consecutive dry days and those downscaled by GP, the ANN and the SDSM during model validation at (a) Besut; (b) Dungun; and (c) Kemaman.
Figure 8. Observed number of consecutive dry days and those downscaled by GP, the ANN and the SDSM during model validation at (a) Besut; (b) Dungun; and (c) Kemaman.
Similar results were obtained for consecutive wet days and consecutive dry days in a year. It can be seen from Figure 7 that the number of consecutive wet days in a year was overestimated by the ANN model and SDSM in most of the years at all three stations during the validation period. GP also overestimated the number of consecutive wet days in certain years. However, GP downscaled values are found to be closer to observed values compared to those downscaled by the ANN and SDSM at all of the stations. Table 6 shows that the errors in the number of consecutive wet days in a year estimated by GP is always significantly less compared to ANN and SDSM estimations. The correlation coefficient between observed and GP downscaled values during the validation period was also found to be higher.
Errors in GP downscaling of the number of consecutive dry days in a year were found to be similar to those in the estimations of the other two extreme indices. It can be seen from Figure 8 that the downscaled number of consecutive dry days in a year by GP, the ANN and SDSM is less than the observed number of days in most of the years at all three stations. However, GP downscaled values are still found to be closer compared to those downscaled by the ANN and SDSM.
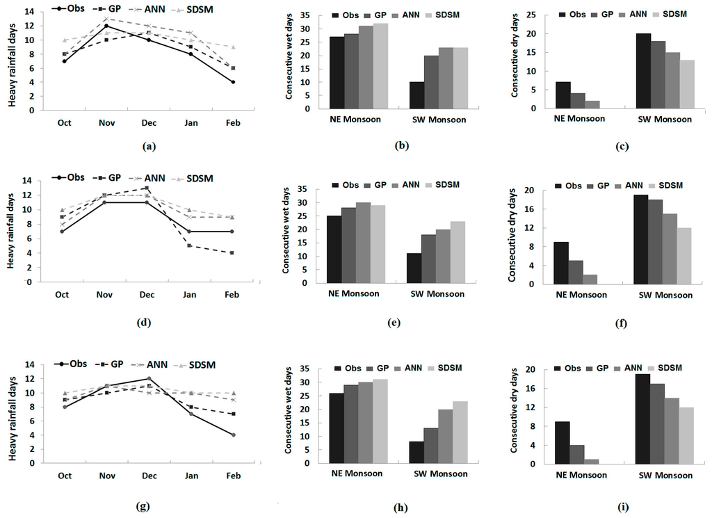
Comparison of observed and downscaled heavy rainfall days during different months of the NE monsoon, as well as continuous wet days and continuous dry days during NE and SW monsoons at different stations during model validation is shown in Figure 9. It can be seen from Figure 9 that seasonal or monthly variations in extreme rainfall indices are well reconstructed by GP compared to those by the ANN and SDSM. In the case of heavy rainfall days, the SDSM was found to downscale almost to the same number in all of the NE monsoon months. The ANN is able to show some variation in the number of heavy rainfall days, but not like GP. It can also be noted from the values in Figure 9 that all of the methods overestimated the number of heavy rainfall days in most of the months. Still, the values estimated by GP are closer to the observed values compared to those estimated by the ANN and SDSM. The RMSEs between the observed and estimated number of heavy rainfall days using different methods during model validation are given in Table 7. The table shows that the error in the estimation of the number of heavy rainfall days by GP is always less compared to the ANN and SDSM.
Table 6. The RMSEs and correlation coefficients (r2) between observed and downscaled extreme indices estimated by GP, the ANN and the SDSM during model validation.
Table 6. The RMSEs and correlation coefficients (r2) between observed and downscaled extreme indices estimated by GP, the ANN and the SDSM during model validation.
IndicesStationGPANNSDSM
RMSEr2RMSEr2RMSEr2
90th percentile rainfall daysBesut1.080.751.310.582.160.43
Dungun1.140.731.830.582.690.41
Kemaman1.130.671.620.612.570.51
Consecutive wet daysBesut1.020.881.730.801.950.65
Dungun1.050.891.540.831.740.61
Kemaman1.100.961.660.922.200.46
Consecutive dry daysBesut1.060.831.550.731.990.67
Dungun1.040.911.650.872.280.85
Kemaman1.230.821.600.822.260.77
Figure 9. Monthly/seasonal distribution of: (a) heavy rainfall days, (b) consecutive wet days and (c) consecutive dry days at Besut; (d) heavy rainfall days; (e) consecutive wet days and (f) consecutive dry days at Dungun; and (g) heavy rainfall days, (h) consecutive wet days and (i) consecutive dry days at Kemaman.
Figure 9. Monthly/seasonal distribution of: (a) heavy rainfall days, (b) consecutive wet days and (c) consecutive dry days at Besut; (d) heavy rainfall days; (e) consecutive wet days and (f) consecutive dry days at Dungun; and (g) heavy rainfall days, (h) consecutive wet days and (i) consecutive dry days at Kemaman.
Table 7. The RMSE in downscaled seasonal extreme indices using GP, the ANN and the SDSM during model validation.
Table 7. The RMSE in downscaled seasonal extreme indices using GP, the ANN and the SDSM during model validation.
IndicesStationGPANNSDSM
90th percentile rainfall daysBesut1.662.183.16
Dungun1.682.352.45
Kemaman1.803.123.54
Consecutive wet daysBesut5.026.806.96
Dungun3.815.156.32
Kemaman2.926.967.91
Consecutive dry daysBesut1.803.544.95
Dungun2.064.035.70
Kemaman2.694.725.70
The number of consecutive wet days in two major seasons (SW monsoon and NE monsoon) was overestimated by the ANN and SDSM during the validation period at all three stations (Figure 9). GP also overestimated the number of consecutive wet days, but GP downscaled values were found to be closer to observed values compared to those downscaled by the ANN and SDSM in both of the seasons and at all of the stations. Table 7 shows that the errors in estimation of seasonal consecutive wet spells estimated by GP are always less compared to those estimated by the ANN and SDSM. Errors in the downscaling number of seasonal dry spells are also found to be less for GP. It can be seen from Figure 9 that downscaled lengths of seasonal dry spells estimated by GP, the ANN and the SDSM are lower than the observed number of consecutive dry days in both seasons at all of the stations. However, GP downscaled values were still found to be closer compared to those downscaled by the ANN and SDSM.

4. Conclusions

Downscaling daily rainfall is an extremely difficult task, as the relations between predictors and predictands are often difficult to map. This is especially true for Malaysia, where relations between local rainfall and ocean-atmospheric circulation parameters are not clearly understood. The application of GP shows that extreme rainfall indices in a tropical area, like the east coast of Peninsular Malaysia, can be downscaled with reasonable accuracy. It is expected that the GP-based methodology proposed in the present study can be used as a reliable tool for the projection of extreme rainfall indices at the local and regional scale, where climate projection under different climate change scenarios is important.
It should be noted that extreme weather phenomena often occur at small scales; thus, coarse resolution models may not always be able to simulate extreme rainfall events accurately. In projecting future climates using downscaling models, it should be remembered that GCMs designed with a single run for long-term climate projection are apparently not dependent on the initial model conditions, as they are soon destroyed after a short period of simulation. These models, as a result, tend to diagnose tendencies of future climate states rather than precise predictions of whether particular events are likely to occur [70]. Downscaled models contain considerable uncertainties, and quantification of uncertainty for the outputs of downscaling models is very important. Studies can be carried out in the future to quantify the uncertainty in GP-based models in the downscaling of extreme rainfall indices on the east coast of Peninsular Malaysia.

Acknowledgments

We are grateful to the Ministry of Higher Education (Malaysia) and Universiti Teknologi Malaysia for financial support of this research through the Fundamental Research Grant Scheme (FRGS) research project (Vote No. R.J130000.7822.4F541). A course on scientific writing and publication was given by Universiti Teknologi Malaysia (UTM) in 2013. The feedback from the facilitators at this course is gratefully acknowledged.

Author Contributions

Sahar Hadipour and Sobri Bin Harun jointly conducted data quality assessments and modelling. Sahar Hadipour also wrote the first draft of the paper. Shamsuddin Shahid coordinated the research and contributed to writing the article.

Conflicts of Interest

The authors declare no conflict of interest.

References

  1. Shahid, S.; Harun, S.B.; Katimon, A. Changes in diurnal temperature range in Bangladesh during the time period 1961–2008. Atmos. Res. 2012, 118, 260–270. [Google Scholar] [CrossRef]
  2. IPCC. Summary for policymakers. In Climate Change 2013: The Physical Science Basis. Contribution of the Working Group I to the Fifth Assessment Report of the Intergovernmental Panel on Climate Change; Cambridge University Press: Cambridge, UK/New York, NY, USA, 2013. [Google Scholar]
  3. Su, B.D.; Jiang, T.; Jin, W.B. Recent trends in observed temperature and precipitation extremes in the Yangtze River basin, China. Theor. Appl. Climatol. 2006, 83, 139–151. [Google Scholar] [CrossRef]
  4. Shahid, S. Trends in extreme rainfall events of Bangladesh. Theor. Appl. Climatol. 2011, 104, 489–499. [Google Scholar] [CrossRef]
  5. Shahid, S. Rainfall variability and the trends of wet and dry periods in Bangladesh. Int. J. Climatol. 2010, 30, 2299–2313. [Google Scholar] [CrossRef]
  6. Gao, T.; Xie, L. Multivariate regression analysis and statistical modeling for summer extreme precipitation over the Yangtze River Basin, China. Adv. Meteorol. 2014. [Google Scholar] [CrossRef]
  7. Solman, S.A. Regional climate modeling over South America: A review. Adv. Meteorol. 2013. [Google Scholar] [CrossRef]
  8. Laprise, R. Regional climate modelling. J. Comput. Phys. 2008, 227, 3641–3666. [Google Scholar] [CrossRef]
  9. Liu, Y.; Xie, L.; Morrison, J.M.; Kamykowski, D. Dynamic downscaling of the impact of climate change on the ocean circulation in the Galápagos Archipelago. Adv. Meteorol. 2013. [Google Scholar] [CrossRef]
  10. Wilby, R.L.; Charles, S.P.; Zorita, E.; Timbal, B.; Whetton, P.; Mearns, L.O. Guidelines for Use of Climate Scenarios Developed from Statistical Downscaling Methods. Supporting Material of the Intergovernmental Panel on Climate Change. Available online: www.ipcc-data.org/guidelines/dgm_no2_v1_09_2004.pdf (accessed on 24 November 2014).
  11. Do Hoai, N.; Udo, K.; Mano, A. Downscaling global weather forecast outputs using ANN for flood prediction. J. Appl. Math. 2011. [Google Scholar] [CrossRef]
  12. Khalili, M.; van Nguyen, V.T.; Gachon, P. A statistical approach to multi-site multivariate downscaling of daily extreme temperature series. Int. J. Climatol. 2013, 33, 15–32. [Google Scholar] [CrossRef]
  13. Fan, L.; Chen, D.; Fu, C.; Yan, Z. Statistical downscaling of summer temperature extremes in northern China. Adv. Atmos. Sci. 2013, 30, 1085–1095. [Google Scholar] [CrossRef]
  14. Flaounas, E.; Drobinski, P.; Vrac, M.; Bastin, S.; Lebeaupin-Brossier, C.; Stéfanon, M.; Borga, M.; Calvet, J.C. Precipitation and temperature space-time variability and extremes in the Mediterranean region: Evaluation of dynamical and statistical downscaling methods. Clim. Dynam. 2013, 40, 2687–2705. [Google Scholar] [CrossRef]
  15. Bürger, G.; Sobie, S.R.; Cannon, A.J.; Werner, A.T.; Murdock, T.Q. Downscaling extremes: An intercomparison of multiple methods for future climate. J. Clim. 2013, 26, 3429–3449. [Google Scholar] [CrossRef]
  16. White, C.J.; McInnes, K.L.; Cechet, R.P.; Corney, S.P.; Grose, M.R.; Holz, G.K.; Katzfey, J.J.; Bindoff, N.L. On regional dynamical downscaling for the assessment and projection of temperature and precipitation extremes across Tasmania, Australia. Clim. Dynam. 2013, 41, 3145–3165. [Google Scholar] [CrossRef]
  17. Jeong, D.I.; St-Hilaire, A.; Ouarda, T.B.M.J.; Gachon, P. Projection of future daily precipitation series and extreme events by using a multi-site statistical downscaling model over the great montréal area, Québec, Canada. Hydrol. Res. 2013, 44, 147–168. [Google Scholar] [CrossRef]
  18. Christensen, R. Log-Linear Models and Logistic Regression, 2nd ed.; Springer Verlag: New York, NY, USA, 1997. [Google Scholar]
  19. Fealy, R.; Sweeney, J. Statistical downscaling of precipitation for a selection of sites in Ireland employing a generalised linear modelling approach. Int. J. Climatol. 2007, 27, 2083–2094. [Google Scholar] [CrossRef]
  20. Yang, W.; Bardossy, A.; Caspary, H.J. Downscaling daily precipitation time series using a combined circulation- and regression-based approach. Theor. Appl. Climatol. 2010, 102, 439–454. [Google Scholar]
  21. Levavasseur, G.; Vrac, M.; Roche, D.M.; Paillard, D.; Martin, A.; Vandenberghe, J. Present and LGM permafrost from climate simulations: Contribution of statistical downscaling. Clim. Past. 2011, 7, 1225–1246. [Google Scholar] [CrossRef]
  22. Hashmi, M.Z.; Shamseldin, A.Y.; Melville, B.W. Statistical downscaling of watershed precipitation using gene expression programming (GEP). Environ. Model. Softw. 2011, 26, 1639–1646. [Google Scholar] [CrossRef]
  23. Banzhaf, W.; Nordin, P.; Keller, R.E.; Francone, F.D. Genetic Programming: An Introduction; Morgan Kaufmann, Inc.: San Francisco, CA, USA, 1998. [Google Scholar]
  24. Coulibaly, P. Downscaling daily extreme temperatures with genetic programming. Geophys. Res. Lett. 2004. [Google Scholar] [CrossRef]
  25. Shahid, S.; Hasan, M.; Mondal, R.U. Modeling monthly mean maximum temperature using genetic programming. Int. J. Soft Comput. 2007, 2, 612–616. [Google Scholar]
  26. Liu, X.; Coulibaly, P.; Evora, N. Comparison of data-driven methods for downscaling ensemble weather forecasts. Hydrol. Earth Syst. Sci. 2008, 12, 615–624. [Google Scholar] [CrossRef]
  27. Hashmi, M.Z.; Shamseldin, A.Y.; Melville, B.W. Statistical downscaling of precipitation: State-of-the-art and application of Bayesian multi-model approach for uncertainty assessment. Hydrol. Earth Syst. Sci. Discuss. 2009, 6, 6535–6579. [Google Scholar] [CrossRef]
  28. Kisi, O.; Shiri, J. Precipitation forecasting using wavelet-genetic programming and wavelet-neuro-fuzzy conjunction models. Water Resour. Manag. 2011, 25, 3135–3152. [Google Scholar] [CrossRef]
  29. Zerenner, T.; Venema, V.; Simmer, C. Atmospheric Downscaling Using Genetic Programming. Available online: http://meetingorganizer.copernicus.org/EGU2013/EGU2013-3380.pdf (accessed on 24 November 2014).
  30. Biesheuvel, C.J.; Siccama, I.; Grobbee, D.E.; Moons, K.G. Genetic programming outperformed multivariable logistic regression in diagnosing pulmonary embolism. J. Clin. Epidemiol. 2004, 57, 551–560. [Google Scholar] [CrossRef]
  31. Engoren, M.; Habib, R.H.; Dooner, J.J.; Schwann, T.A. Use of genetic programming, logistic regression, and artificial neural nets to predict readmission after coronary artery bypass surgery. J. Clin. Monit. Comput. 2013, 27, 455–464. [Google Scholar] [CrossRef] [PubMed]
  32. Yusuf, A.A.; Francisco, H.A. Climate Change Vulnerability Mapping for Southwest Asia; Economy and Environment Program for Southeast Asia (EEPSEA): Singapore, 2009. [Google Scholar]
  33. Deni, S.M.; Suhaila, J.; Zin, W.Z.W.; Jemain, A.A. Spatial trends of dry spells over Peninsular Malaysia during monsoon seasons. Theor. Appl. Climatol. 2010, 99, 357–371. [Google Scholar] [CrossRef]
  34. Suhaila, J.; Deni, S.M.; Zin, W.Z.W.; Jemain, A.A. Spatial patterns and trends of daily rainfall regime in Peninsular Malaysia during the southwest and northeast monsoons: 1975–2004. Meteorol. Atmos. Phys. 2010, 110, 1–8. [Google Scholar] [CrossRef]
  35. Kalnay, E.; Kanamitsu, M.; Kistler, R.; Collins, W.; Deaven, D.; Gandin, L.; Iredell, M.; Saha, S.; White, G.; Woollen, J.; et al. The NCEP/NCAR 40-year reanalysis project. Bull. Amer. Meteor. Soc. 1996, 77, 437–470. [Google Scholar] [CrossRef]
  36. Friederichs, P.; Hense, A. Statistical downscaling of extreme precipitation events using censored quantile regression. Mon. Weather Rev. 2007, 135, 2365–2378. [Google Scholar] [CrossRef]
  37. Wang, J.F.; Zhang, X.B. Downscaling and projection of winter extreme daily precipitation over North America. J. Clim. 2008, 21, 923–937. [Google Scholar] [CrossRef]
  38. Mannshardt-Shamseldin, E.C.; Smith, R.L.; Sain, S.R.; Mearns, L.O.; Cooley, D. Downscaling extremes: A comparison of extreme value distributions in point-source and gridded precipitation data. Ann. Appl. Stat. 2010, 4, 484–502. [Google Scholar]
  39. Kallache, M.; Vrac, M.; Naveau, P.; Michelangeli, P.A. Nonstationary probabilistic downscaling of extreme precipitation. J. Geophys. Res. 2011. [Google Scholar] [CrossRef]
  40. Leanna, M.M.; King, S.I.; Sarwar, KR.; McLeod, A.I.A.; Slobodan, P.; Simonovic, P. The effects of climate change on extreme precipitation events in the Upper Thames River Basin: A comparison of downscaling approaches. Can. Water Resour. J. 2012, 37, 253–274. [Google Scholar] [CrossRef]
  41. Bürger, G.; Murdock, T.Q.; Werner, A.T.; Sobie, S.R.; Cannon, A.J. Downscaling extremes—An intercomparison of multiple statistical methods for present climate. J. Clim. 2012, 25, 4366–4388. [Google Scholar] [CrossRef]
  42. You, Q.; Kang, S.; Aguilar, E.; Yan, Y. Changes in daily climate extremes in the eastern and central Tibetan Plateau during 1961–2005. J. Geophys. Res. 2008. [Google Scholar] [CrossRef]
  43. Aguilar, E.; Peterson, T.C.; Ramírez Obando, P.; Frutos, R.; Retana, J.A.; Solera, M.; Soley, J.; González García, I.; Araujo, R.M.; Rosa Santos, A.; et al. Changes in precipitation and temperature extremes in CentralAmerica and northern South America, 1961–2003. J. Geophys. Res. 2005. [Google Scholar] [CrossRef]
  44. WMO. The Role of Climatological Normals in A Changing Climate; WCDMP-No. 61, WMO-TD No. 1377, World Climate Data and Monitoring Programme; World Meteorological Organization: Geneva, Switzerland, 2007. [Google Scholar]
  45. Tripathi, S.; Srinivas, V.V.; Nanjundiah, S.R. Support vector machine approach to downscale precipitation in climate change scenarios. J. Hydrol. 2006, 330, 621–640. [Google Scholar] [CrossRef]
  46. Wilby, R. Statistical downscaling of daily precipitation using daily airflow and seasonal teleconnection indices. Clim. Res. 1998, 10, 163–178. [Google Scholar] [CrossRef]
  47. Wilby, R.L.; Wigley, T.M.L. Precipitation predictors for downscaling: Observed and general circulation model relations relationhips. Int. J. Climatol. 2000, 20, 641–661. [Google Scholar] [CrossRef]
  48. Wilby, R.L.; Dawson, C.W.; Barrow, E.M. SDSM—A decision support tool for the assessment of regional climate change impacts. Environ. Model. Softw. 2002, 17, 145–157. [Google Scholar] [CrossRef]
  49. Tavakol-Davani, H.; Nasseri, M.; Zahraie, B. Improved statistical downscaling of daily precipitation using SDSM platform and data-mining methods. Int. J. Climatol. 2012, 33, 2561–2578. [Google Scholar] [CrossRef]
  50. Dawson, C.W.; Wilby, R.L. Hydrological modeling using artificial neural networks. Prog. Phys. Geogr. 2004, 25, 80–108. [Google Scholar] [CrossRef]
  51. Chadwick, R.; Coppola, E.; Giorgi, F. Anartificial neural network technique for downscaling GCM outputs to RCM spatial scale. Nonlinear Proc. Geoph. 2011, 18, 1013–1028. [Google Scholar] [CrossRef]
  52. Harpham, C.; Dawson, C.W. The effect of different basis functions on a radial basis function network for time series prediction: A comparative study. Neurocomputing 2006, 69, 2161–2170. [Google Scholar] [CrossRef]
  53. Hsieh, W.W. Machine Learning Methods in the Environmental Sciences: Neural Networks and Kernels; Cambridge University Press: Cambridge, UK, 2009. [Google Scholar]
  54. Haylock, M.R.; Cawley, G.C.; Harpham, C.; Wilby, R.L.; Goodess, C.M. Downscaling heavy precipitation over the United Kingdom: A comparison of dynamical and statistical methods and their future scenarios. Int. J. Climatol. 2006, 26, 1397–1415. [Google Scholar] [CrossRef]
  55. Karamouz, M.; Fallahi, M.; Nazif, S.; Rahimi Farahani, M. Long lead rainfall prediction using statistical downscaling and articial neural network modeling. Trans. A: Civ. Eng. 2009, 16, 165–172. [Google Scholar]
  56. Gardner, M.W.; Dorling, S.R. Artificial neural networks (the multilayer perceptron)—A review of applications in the atmospheric sciences. Atmos. Environ. 1998, 32, 2627–2636. [Google Scholar] [CrossRef]
  57. Cannon, A.J. Probabilistic multisite precipitation downscaling by an expanded Bernoulli–Gamma density network. J. Hydrometeorol. 2008, 9, 1284–1300. [Google Scholar] [CrossRef]
  58. Makalic, E.; Schmidt, D.F. Review of modern logistic regression methods with application to small and medium sample size problems. Lecture Notes Comput. Sci. 2011. [Google Scholar] [CrossRef]
  59. Tibshirani, R. Regression shrinkage and selection via the lasso. J. R. Stat. Soc. B 1996, 58, 267–288. [Google Scholar]
  60. Zou, H.; Hastie, T. Regularization and variable selection via the elastic net. J. R. Stat. Soc. B 2005, 67, 301–320. [Google Scholar] [CrossRef]
  61. Hunter, A. Using multiobjective genetic programming to infer logistic polynomial regression models. Experimental Supplement. In Proceedings of the 15th European Conference on Artificial Intelligence, Lyon, France, 21–26 July 2002.
  62. Siccama, I.; Keijzer, M. Genetic Programming as a Method to Develop Powerful Predictive Models for Clinical Diagnosis; Association for Computing Machinery (ACM) Press: Washington, DC, USA, 2005; pp. 164–166. [Google Scholar]
  63. Helfand, B.T.; Loeb, S.; Meeks, J.J.; Fought, A.J.; Kan, D.; Catalona, W.J. Pathological outcomes associated with the 17q prostate cancer risk variants. J. Urol. 2009, 181, 2502–2507. [Google Scholar] [CrossRef] [PubMed]
  64. Ratner, B. Statistical and Machine-Learning Data Mining: Techniques for Better Predictive Modeling and Analysis of Big Data; Taylor & Francis: New York, NY, USA, 2011. [Google Scholar]
  65. Koza, J.R. Genetic Programming: A Paradigm for Genetically Breeding Populations of Computer Program to Solve Problem; Technical Report STAN-CS-90-1314; Stanford University Computer Science Department: Stanford, CA, USA, 1990. [Google Scholar]
  66. Francone, F.D. Discipulus™ Software Owner’s Manual, Version 3.0 Draft; Machine Learning Technologies Inc.: Littleton, CO, USA, 1998. [Google Scholar]
  67. Hassan, Z.; Shamsudin, S.; Harun, S.B. Application of SDSM and LARS-WG for simulating and downscaling of rainfall and temperature. Theor. Appl. Climatol. 2012, 116, 243–257. [Google Scholar] [CrossRef]
  68. Tukimat, N.N.A.; Harun, S.B. The projection of future rainfall change over Kedah, Malaysia with the statistical downscaling model. Malays. J. Civ. Eng. 2013, 23, 67–79. [Google Scholar]
  69. Hessami, M.; Gachon, P.; Ouarda, T.B.M.J.; St-Hilaire, A. Automated regression-based statistical downscaling tool. Environ. Model. Softw. 2008, 23, 813–834. [Google Scholar] [CrossRef]
  70. Cullen, H. The Weather of the Future: Heat Waves, Extreme Storms, and Other Scenes from a Climate-Changed Planet; HarperCollins Publishers: New York, NY, USA, 2010. [Google Scholar]

Share and Cite

MDPI and ACS Style

Pour, S.H.; Harun, S.B.; Shahid, S. Genetic Programming for the Downscaling of Extreme Rainfall Events on the East Coast of Peninsular Malaysia. Atmosphere 2014, 5, 914-936. https://doi.org/10.3390/atmos5040914

AMA Style

Pour SH, Harun SB, Shahid S. Genetic Programming for the Downscaling of Extreme Rainfall Events on the East Coast of Peninsular Malaysia. Atmosphere. 2014; 5(4):914-936. https://doi.org/10.3390/atmos5040914

Chicago/Turabian Style

Pour, Sahar Hadi, Sobri Bin Harun, and Shamsuddin Shahid. 2014. "Genetic Programming for the Downscaling of Extreme Rainfall Events on the East Coast of Peninsular Malaysia" Atmosphere 5, no. 4: 914-936. https://doi.org/10.3390/atmos5040914

APA Style

Pour, S. H., Harun, S. B., & Shahid, S. (2014). Genetic Programming for the Downscaling of Extreme Rainfall Events on the East Coast of Peninsular Malaysia. Atmosphere, 5(4), 914-936. https://doi.org/10.3390/atmos5040914

Article Metrics

Back to TopTop