Next Article in Journal
The 2025 Extreme Dust Events in China: Evidence, Attribution, and Implications for Regional Air Quality Assessment
Previous Article in Journal
Application of Solar HVAC System in Residential Buildings for Winter Conditions in Mediterranean Climate
 
 
Font Type:
Arial Georgia Verdana
Font Size:
Aa Aa Aa
Line Spacing:
Column Width:
Background:
Article

Field Evaluation of Residential Ventilation Performance Using Simultaneous Multi-Pollutant Generation and Continuous Monitoring

1
Department of Architectural Engineering, Chosun University, Gwangju 61452, Republic of Korea
2
Department of Architectural Engineering, Kyung Hee University, Yongin 17104, Republic of Korea
3
Department of Building and System Engineering, Hanbat National University, Daejeon 34158, Republic of Korea
*
Author to whom correspondence should be addressed.
Atmosphere 2026, 17(2), 212; https://doi.org/10.3390/atmos17020212
Submission received: 12 December 2025 / Revised: 29 January 2026 / Accepted: 11 February 2026 / Published: 17 February 2026
(This article belongs to the Section Air Pollution Control)

Abstract

This study evaluates the feasibility of continuous indoor pollutant monitoring as an indirect method for assessing extended ventilation performance in residential buildings. This research addresses key limitations of conventional short-term tracer-gas methods, which cannot account for occupant lifestyle, environmental fluctuations, and extended ventilation variability. The study employs a diffusion-based framework to interpret pollutant-concentration equalization across the residential space over extended monitoring periods. We conducted field experiments in an apartment unit equipped with both ducted and non-ducted ventilation systems. Pollutants (PM2.5, CO2, HCHO, and aromatic VOCs (BTEX + styrene)) were uniformly emitted. PM2.5 and CO2 were continuously monitored at six spatially distributed points using calibrated sensors, while HCHO and aromatic VOCs were quantified by repeated active sampling and laboratory analysis. Under ducted ventilation, average pollutant reduction rates reached 86.8% for PM2.5, 58.3% for CO2, and 53.6% for HCHO. Simultaneously, spatial concentration variance decreased by up to 71% within 120 min, indicating strong diffusion-driven equalizations. These results support the feasibility of extended ventilation performance monitoring using continuous pollutant sensing, with implications for IAQ management, energy optimization, and future integration with data-driven predictive models.

1. Introduction

Indoor air quality (IAQ) in residential buildings has become a central public health and building performance issue, particularly as modern housing trends toward airtight envelopes for energy efficiency. In such buildings, mechanical ventilation is expected to dilute and remove indoor contaminants and to support acceptable IAQ while balancing energy use. Contemporary residential ventilation guidance and standards (e.g., ANSI/ASHRAE 62.2) emphasize minimum ventilation requirements alongside source control and local exhaust, reflecting the recognition that ventilation is necessary but not a universal remedy for IAQ problems [1]. Importantly, residential indoor air typically contains a mixture of pollutants emitted simultaneously from occupant activities such as cooking and cleaning, building materials, furnishings, and consumer products. Performance-based assessment studies and reviews frequently identify a limited set of representative indicators—often including CO2, moisture, formaldehyde (HCHO), and PM2.5—because these pollutants capture complementary sources, exposure pathways, and risks in residences [2]. However, the pollutant removal response of a ventilation system can differ substantially across species due to differences in physical transport, deposition/resuspension, and chemical or surface interactions, implying that a single surrogate tracer cannot always represent real pollutant behavior.
Ventilation performance in residential buildings has traditionally been evaluated using short-term, single-pollutant measurement methods based on tracer-gas dilution techniques. Standardized procedures such as the CO2 concentration decay method (KS F 2603:2021) [3], the tracer-gas dilution method (ISO 12569:2021) [4], and the determination of local mean age of air (ISO 16000-8:2020) [5] have been widely applied to characterize mechanical ventilation systems. These methods reliably quantify air change rates and ventilation effectiveness under controlled conditions and are incorporated into national and international testing standards [6,7,8].
Historically, ventilation performance in buildings has been quantified using airflow measurements and tracer-gas techniques such as concentration decay and constant-injection approaches, which provide estimates of air change rate and ventilation effectiveness under defined assumptions. These approaches are widely standardized and remain essential for commissioning and diagnostics. Nevertheless, two limitations are repeatedly highlighted when translating such methods to real residential settings. While tracer-gas methods remain a robust approach for quantifying air change rates under controlled assumptions, the present study focuses on pollutant-specific behaviors under realistic residential conditions. To facilitate interpretation of the concentration reductions, an air change rate (ACR) is additionally reported as a complementary metric, estimated from the CO2 decay during the ventilation phase. Tracer-gas decay methods (e.g., SF6 decay) primarily yield an air change rate (ACR), and under ideal assumptions (single-zone, well-mixed, no additional sinks/sources), the concentration of an inert tracer decays exponentially as a function of the ACR. However, many indoor pollutants are not inert tracers and may be affected by deposition, resuspension, sorption/desorption, and sustained emissions. To clarify how the present multi-pollutant results extend beyond a traditional tracer-decay interpretation, this study additionally reports a tracer-decay-based ACR and compares this baseline against pollutant-specific decay behaviors. First, many tracer-based tests are short-term and are sensitive to disturbances such as door/window operation, pressure fluctuations, and variable occupancy—factors that are difficult to control in occupied dwellings. Second, tracer gas tests typically focus on a single inert tracer, which does not capture the diversity of indoor pollutant behaviors, especially for pollutants affected by surface sinks/sources or non-steady emissions. Evidence from field studies also suggests that the as-installed performance of residential ventilation systems can deviate from nominal values and can be highly sensitive to pressure differences and operational conditions. For example, Merzkirch et al. (2016) reported substantial deviations and imbalances in real buildings and highlighted the sensitivity of decentralized devices to differential pressure effects, underscoring the importance of evaluating ventilation under practical conditions rather than relying solely on nominal specifications [9]. In parallel, occupant practices and preferences—window opening, perceived comfort needs, noise tolerance—further complicate real-world ventilation effectiveness, contributing to performance gaps between intended and actual operation [10].
Recent progress in IAQ sensing and data acquisition has created new opportunities for continuous and multi-pollutant monitoring in real buildings. Long-term residential monitoring studies have demonstrated that time-resolved measurements can reveal sustained periods of inadequate ventilation and strong variability linked to weather and occupant operation [11]. Multi-pollutant field measurements in homes further indicate that pollutant levels and predictors can vary by season, ventilation features such as trickle vents, and indoor environmental conditions [12]. At the same time, the research community has emphasized that sensor-enabled IAQ assessment requires careful attention to sensor performance, calibration, and uncertainty. Controlled evaluations of consumer-grade and low-cost IAQ monitors report that while many devices can capture event dynamics and correlate with reference instruments, quantitative agreement can vary by pollutant and environmental condition [13]. New prototypes and field-calibrated multi-pollutant monitors have been proposed to improve reliability, but calibration and deployment strategy remain critical [14], and uncertainties in common IAQ indicators such as CO2 sensor readings have also been documented [15].
Despite this progress, a practical research gap remains between (i) standardized single-tracer ventilation tests and (ii) real-world, multi-pollutant IAQ outcomes under different residential ventilation configurations. First, many monitoring studies observe pollutants “as they occur” but do not provide controlled yet realistic multi-pollutant emission conditions that allow direct comparison of ventilation configurations with consistent initial pollutant loads. Second, even when multiple pollutants are measured, the interpretation is often reduced to a single indicator (typically CO2) rather than explicitly analyzing pollutant-specific removal dynamics. This is important because some pollutants exhibit behavior that is not well described by a simple first-order decay. For instance, formaldehyde concentrations may not decrease proportionally with increased ventilation if emissions are concentration-dependent or mass-transfer-limited; in-home measurements have shown that increasing ventilation can be substantially less effective than predicted under constant emission assumptions [16]. VOCs can also interact strongly with indoor materials, acting as sinks and later re-emitting through sorption/desorption processes; chamber research has quantified such sorptive interactions across common indoor materials and VOC species [17]. These mechanisms can lead to non-monotonic concentration trends or delayed decay, which short-duration single tracer tests may fail to detect.
To address these limitations, the present study proposes and demonstrates a multi-pollutant, monitoring-based framework for evaluating practical residential ventilation performance under controlled field conditions. We simultaneously generate and monitor key pollutant categories representing major residential IAQ concerns—PM2.5, CO2, HCHO, and aromatic VOCs—then analyze pollutant diffusion and subsequent concentration reduction under multiple ventilation configurations in an occupied-scale apartment setting. The experimental design compares (i) a ducted ventilation configuration and (ii) a window decentralized configuration, and further evaluates an obstruction scenario to reflect realistic airflow pathway disturbances. By directly comparing pollutant-specific decay profiles and time-resolved removal behavior across configurations, the study provides evidence on how ventilation system type and airflow pathway integrity influence pollutant removal—not only for a surrogate tracer but across chemically and physically distinct pollutants.
The main contributions of this work are as follows:
(1)
a controlled field protocol that enables simultaneous multi-pollutant emission and continuous monitoring for ventilation performance assessment;
(2)
an empirical comparison of ducted versus window-integrated ventilation performance using pollutant-specific removal metrics;
(3)
an interpretation of pollutant-dependent decay behaviors in relation to known mechanisms such as sorption/desorption and concentration-dependent emissions, supporting more realistic ventilation evaluation and future sensor-based IAQ management.

2. Methodology

The experiments were conducted in one apartment unit equipped with both ducted and window-integrated ventilation systems. The study was designed as a controlled field demonstration of a multi-pollutant monitoring framework and as a within-unit comparative test of ventilation configurations. Conducting the comparison within a single dwelling reduces confounding influences from differences in floor plan, envelope leakage, building orientation, and occupant-related variability, thereby improving internal validity when comparing the three operating conditions (ducted, window-integrated, and obstructed window-integrated). Nevertheless, the results should be interpreted as case-study evidence derived from the tested unit and the tested ventilation systems, and additional multi-site validation is required for broader generalization across building types, orientations, and device brands.

2.1. Instrumentation, Sensor Deployment, and Data Acquisition

2.1.1. Continuous Monitoring (PM2.5, CO2, T/RH)

A sensor network was deployed at six locations (A–F) shown in Figure 1 to capture spatially distributed pollutant dynamics. Sensors were installed at a height of approximately 1.2 m above the floor (breathing zone). PM2.5, CO2, Temperature and relative humidity (T/RH) were measured using Air 365 (K-Weather Inc., Seoul, Republic of Korea). All sensors were time-synchronized and logged at Δt = 1 min intervals.
For data presentation, the main text reports either (i) the full time series or (ii) representative values at 0, 30, 60, 90, and 120 min extracted from the monitoring time series using 1 min moving averages centered at each time point to reduce short-term noise.

2.1.2. Air Change Rate (ACR) Estimation Using CO2 Decay

In addition to pollutant-specific decay analysis, the air change rate (ACR, h−1) was estimated as a supplementary ventilation metric using the CO2 decay measured during the ventilation-driven concentration-reduction phase. CO2 served as a practical tracer because it was uniformly elevated by a controlled release during the emission phase, and no additional CO2 was introduced during the subsequent diffusion stabilization and ventilation phases.
Assuming a single-zone, well-mixed first-order mass balance with a constant outdoor/background concentration C o u t , the CO2 decay can be expressed as follows:
d C ( t ) d t = λ   [ C t   C o u t ]
where C ( t ) is the indoor CO2 concentration (ppm) and λ is the ACR (h−1). Therefore, the ACR can be estimated from Equation (2):
λ = 1 t ln C t   C o u t C 0   C o u t
In practice, λ was obtained by linear regression of l n [ C ( t ) C o u t ] versus time using CO2 data recorded at 0, 30, 60, 90, and 120 min during ventilation operation. The background concentration C o u t was determined as 1 min outdoor average measured near the unit. ACRs are presented as the mean ± standard deviation across the six repeats and the six spatial locations.

2.1.3. Repeated Sampling and Laboratory Analysis (HCHO and VOCs)

HCHO was measured according to the Korean Indoor Air Quality Official Test Method (Ministry of Environment Public Notice No. 2004-80) using DNPH-cartridge sampling followed by HPLC analysis. Air was drawn through Sep-Pak XPoSure Aldehyde Sampler (WAT047205, Waters Corporation, Milford, MA, USA) using a calibrated sampling pump (Air Chek XR5000, SKC Inc., Eighty Four, PA, USA) at 1.0 L/min for 1 min at each time point (0 h, 1 h, 2 h). DNPH derivatives were analyzed using HPLC (1260 Infinity II LC System, Agilent Technologies, Santa Clara, CA, USA).
Aromatic VOCs (benzene, toluene, ethylbenzene, and styrene) were collected using sorbent tubes (Air Toxic Analyzer tube, Markes International, Llantristant, UK) with a calibrated pump at 50 mL/min for 10 min, followed by thermal desorption (UNITY-xr, Markes International) and GC/MS analysis (7890B GC/5977B MSD, Agilent Technologies, Santa Clara, CA, USA).
HCHO and aromatic VOCs (BTEX + styrene) were collected by active pumped sampling using DNPH cartridges (HCHO) and sorbent tubes (VOCs). The samplers were not used as passive diffusive tubes over the entire ventilation period. At each target time point (0 h, 1 h, and 2 h after the start of ventilation), a new DNPH cartridge/sorbent tube was connected to a calibrated pump and sampled at a constant flow rate Q for a fixed duration Δt, and then immediately capped and stored for laboratory analysis. The reported concentration for each time point represents the time-weighted average (TWA) over the sampling interval, calculated as follows:
C a v g = m Q   Δ t
where m is the collected mass. The time shown in figures corresponds to the sampling midpoint.

2.1.4. Comparison with Residential IAQ Measurements

To benchmark the realism of the experimental conditions, the initial concentrations established in this study were compared with reported ranges from residential field measurements and large compilations (Table 1). Cooking-related residential measurements frequently report short-term PM2.5 peaks in the range of 200–1400 µg/m3 (1 min mean) in kitchens/living rooms following cooking events, indicating that elevated PM episodes are realistic in homes. Long-term residential monitoring also reports mean indoor CO2 levels around 1278 ± 504 ppm, with episodes exceeding 2000 ppm not uncommon, supporting the realism of the CO2 levels used here as representative of high-occupancy/low-ventilation periods.
For formaldehyde, residential concentrations vary strongly with renovation status and the presence of new materials; for example, national-scale exposure assessments and systematic reviews report typical values on the order of tens of µg/m3, with elevated levels in newly renovated settings reaching >100 µg/m3 and higher. Background aromatic VOC concentrations in residences are typically reported in the range of a single µg/m3 to tens of µg/m3. In this study, aromatic VOC levels were intentionally set toward a high-end “stress-test” condition to ensure a clear signal above analytical quantification limits within the short experimental window and to evaluate pollutant-specific decay behavior under controlled but severe indoor emission scenarios.

2.1.5. Calibration and Quality Assurance (QA)/Quality Control (QC)

PM2.5 sensor performance was calibrated against a reference aerosol instrument, PALAS ACK 2000 (PALAS GmbH, Karlsruhe, Gemany), using test aerosol KCl prior to the experiments. CO2 sensors were verified using certified CO2 calibration gases (0, 400, 1000, and 2000 ppm) or a reference analyzer (LI-820, LI-COR Biosciences, Lincoln, NE, USA) before each experimental day. Field blanks and calibration standards were analyzed for HCHO and VOCs, and detection limits are provided in Table 2.

2.2. Experimental Methods

A controlled field experiment was conducted to evaluate residential ventilation performance using simultaneous generation and monitoring of multiple indoor air pollutants. The protocol examined pollutant diffusion after emission and the subsequent concentration reduction under different ventilation configurations. Unlike conventional short-duration, single-tracer tests, the present methodology integrates multi-pollutant generation, continuous sensor-based monitoring, and measurements in a real residential space.
The experiment comprised three sequential phases: (1) multi-pollutant emission, (2) diffusion stabilization, and (3) ventilation-driven concentration reduction. Four pollutant categories—PM2.5, CO2, HCHO, and VOCs (benzene, toluene, ethylbenzene, and styrene)—were generated simultaneously to reproduce mixed contamination events associated with cooking and combustion, material emissions, consumer product use, and occupancy. After the emission phase, a diffusion stabilization period was implemented to allow pollutants to disperse naturally within the space. This step minimized near-source concentration gradients so that the subsequent decay trends primarily reflected ventilation-driven removal.
Pollutant accumulation was produced by operating multiple emission sources concurrently for a fixed duration. Specifically, PM2.5 was generated using a portable particle generator in combination with mosquito coil combustion. CO2 was introduced through a controlled release system to represent typical occupancy-related buildup. HCHO was emitted via a controlled application of paint and composite material samples. Aromatic VOCs (benzene, toluene, ethylbenzene, and styrene) were generated through combined evaporation and emission from selected consumer products. The emission phase was maintained for 60 min to ensure sufficient pollutant buildup across all chemical classes and to enable observation of pollutant-specific diffusion behavior in the space.
After pollutant generation, all emission sources were stopped. A 30 min diffusion stabilization period followed under natural air movement without mechanical ventilation, allowing concentrations to become spatially more representative of typical indoor distributions. This diffusion phase was necessary to isolate ventilation-driven removal performance rather than near-source declines.
Following diffusion stabilization, three ventilation operating scenarios were tested to compare removal efficiency under different system configurations:
  • Case A (ducted system) used a ceiling-mounted ducted ventilation system supplying and exhausting air through dedicated ductwork and diffusers, representing a centralized residential system.
  • Case B (non-ducted system) used a window-integrated, non-ducted ventilation unit that directly supplied and exhausted air through an exterior window module, representing a decentralized approach.
  • Case C (obstructed non-ducted system) evaluated the Case B system under disturbed airflow conditions by partially blocking the inlet/outlet pathway with a blackout curtain.
Each ventilation case was operated for a fixed duration, and pollutant concentrations were recorded to characterize pollutant-specific decay curves for each scenario. Ventilation specifications are summarized in Table 2, and instrument specifications are summarized in Table 3. Photographs of the installed ventilation units and the measurement environment are provided in Figure 1.
(1) PM2.5 and CO2 were measured using direct-reading field instruments. PM2.5 was quantified using an optical light-scattering method, and CO2 was quantified using a nondispersive infrared (NDIR) method.
(2) HCHO was measured according to the Korean Indoor Air Quality Official Test Method (Ministry of Environment Public Notice No. 2004-80) using the 2,4-DNPH derivatization method followed by liquid chromatography. Air samples were collected using cartridges coated with 2,4-DNPH, and quantitative analysis was performed using high-performance liquid chromatography (HPLC).
(3) VOCs were measured using the solid adsorption/thermal desorption method followed by gas chromatography/mass spectrometry (TD–GC/MS), as specified in the Indoor Air Quality Official Test Procedures. VOCs were collected on sorbent tubes, thermally desorbed, pre-treated, and analyzed using GC/MS.
Sensors were distributed throughout the target living space to capture representative pollutant behavior across all experimental phases. In addition, an IAQ station provided comparative reference measurements for the target pollutants and continuously monitored indoor temperature and relative humidity. Ventilation performance was evaluated by comparing concentration decay curves among the three ventilation cases. For each pollutant category, the analysis included the concentration immediately after diffusion stabilization, the absolute and relative reduction during ventilation operation, and pollutant-specific decay characteristics reflecting inherent physical and chemical differences. This protocol enabled a comparative assessment of ventilation performance across system types while capturing distinct behaviors of multiple indoor pollutants under realistic residential conditions. Measurement uncertainty was considered by applying compound-specific analytical error ranges based on typical GC instrument accuracy and previous literature. The assumed uncertainties were ±15% for formaldehyde, ±5–7% for benzene and toluene, ±7–10% for ethylbenzene, and ±10% for styrene.

3. Results

This section reports the outcomes of the multi-pollutant emission–diffusion–reduction experiments conducted under the three ventilation modes: ducted, window-integrated, and window-integrated with airflow obstruction by a curtain. Six spatial monitoring locations (A–F) were used within a single apartment unit to capture spatial variability in pollutant concentrations during the emission–diffusion–ventilation phases. PM2.5 and CO2 concentrations were measured using direct-reading instruments at 0, 30, 60, 90, and 120 min during ventilation operation. In contrast, HCHO and VOC species (benzene, toluene, ethylbenzene, and styrene) were quantified at three distinct sampling times (0, 1 h, 2 h) using HPLC (HCHO) and GC/MS (VOCs). Following the 60 min simultaneous pollutant generation and the subsequent 30 min diffusion period, elevated initial concentrations were successfully established prior to activating the ventilation systems. Across all six cases, initial PM2.5 concentrations ranged from 121 to 190 μg/m3 and CO2 from 1841 to 2147 ppm. Initial HCHO ranged from 240 to 338 μg/m3. VOCs showed broader ranges depending on species (e.g., benzene 1243–1632 μg/m3; styrene 3924–4095 μg/m3). These initial conditions confirm that the experimental protocol produced mixed contamination events representative of typical residential indoor air quality issues.
These initial conditions confirm that the protocol produced elevated mixed-contamination episodes suitable for comparative ventilation evaluation. The PM2.5 and CO2 levels are consistent with magnitudes reported during realistic residential episodes (e.g., cooking-related PM2.5 peaks and poorly ventilated occupancy periods), whereas HCHO and aromatic VOC levels were set toward the high end to generate a robust concentration gradient for short-term decay analysis. Table 1 summarizes the benchmark comparison with residential measurement literature.

3.1. PM2.5 Reduction Under Ventilation (0–120 min)

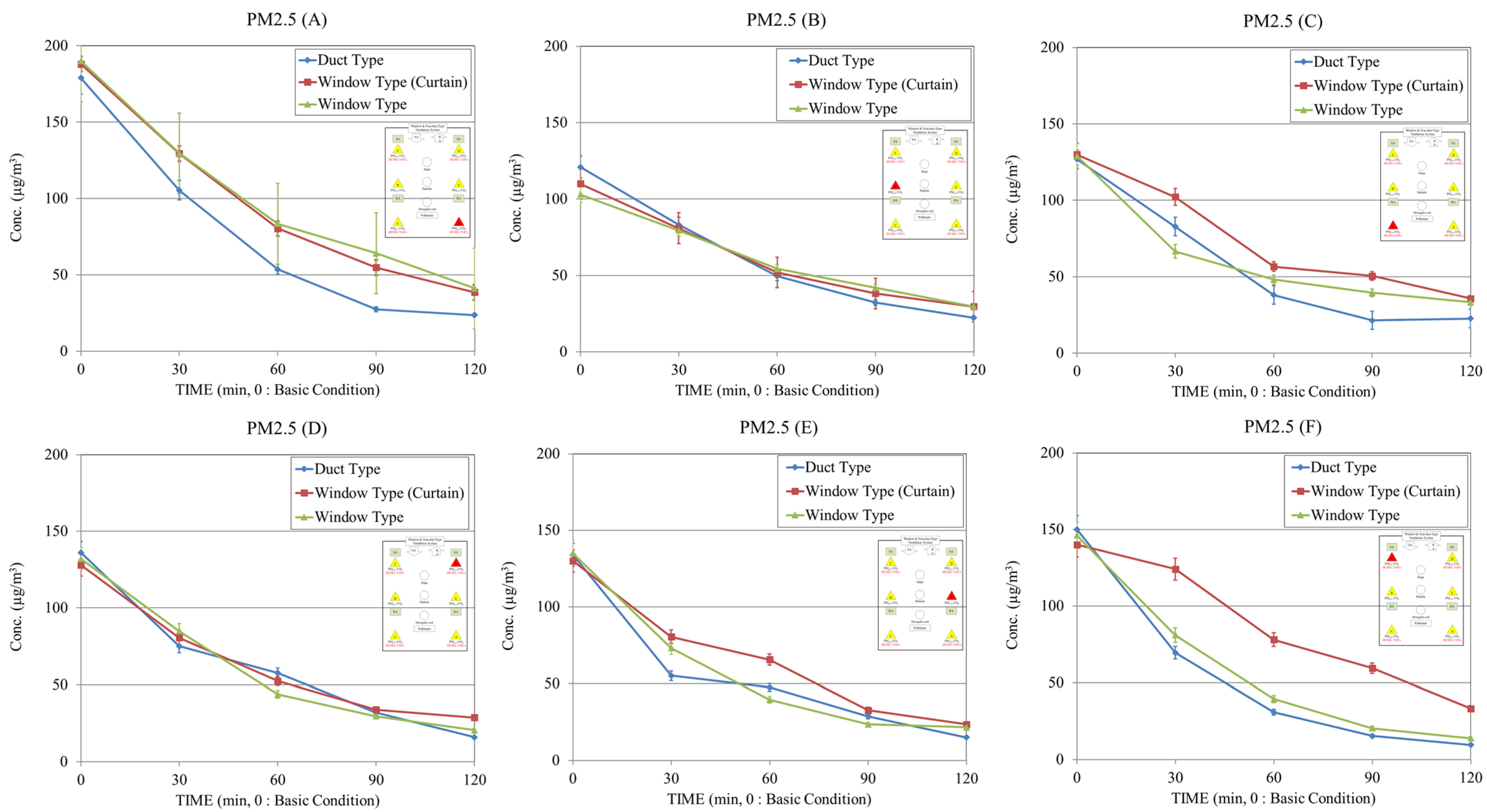
PM2.5 concentration consistently decreased in all ventilation modes over the 120 min operation period. The duct-type ventilation system generally exhibited the fastest removal rate. The concentration changes according to the ventilation method are visually detailed in Figure 2. For instance, in Location F, PM2.5 decreased significantly from 150 μg/m3 to 9.7 μg/m3 with the ducted ventilation system, compared with a reduction from 146.0 μg/m3 to 14 μg/m3 (no duct-type ventilation system) and 140.0 μg/m3 to 33.2 μg/m3 (curtain-obstructed). In Location A, PM2.5 dropped from 179 μg/m3 to 23.7 μg/m3 (ducted), while the window and curtain cases showed a decrease from 190 μg/m3 to 41.1 μg/m3 and from 188 μg/m3 to 38.6 μg/m3, respectively. Overall, the airflow obstruction consistently increased the residual PM2.5 concentration at 120 min, indicating that particulate removal performance is highly sensitive to disturbed airflow pathways.

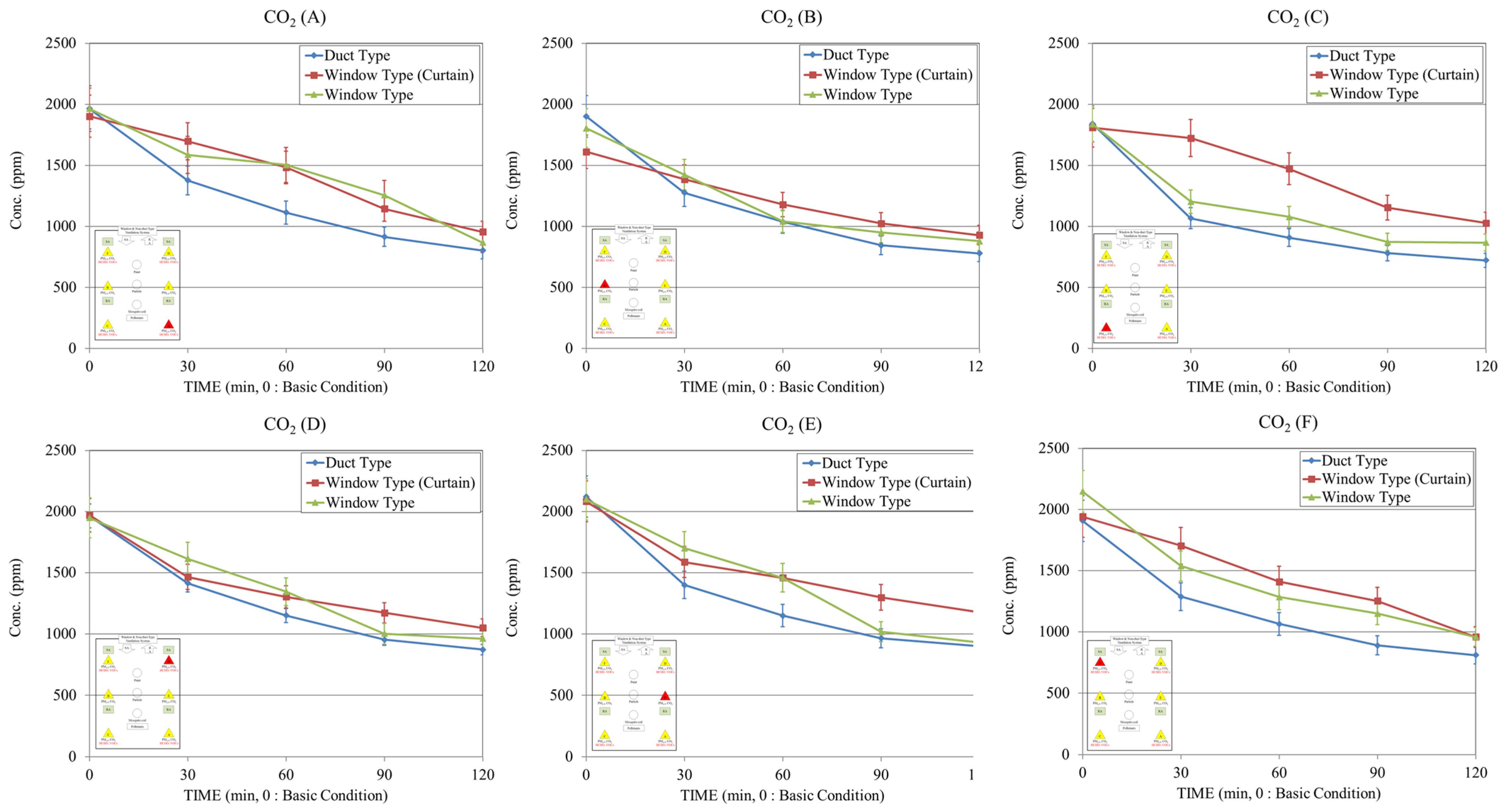
3.2. CO2 Dilution Under Ventilation (0–120 min)

The ACRs estimated from the CO2 decay provide a quantitative explanation for the concentration reductions observed in Figure 2, Figure 3 and Figure 4. Although the nominal supply/exhaust flow rate was set to 50 m3/h for both ventilation systems (Table 2), the effective ACR differed among the three operating conditions, reflecting differences in airflow pathways and the imposed obstruction (curtain). The ducted system exhibited the highest ACR, followed by the unobstructed window-integrated system, while the curtain-obstructed case showed the lowest ACR. These ACR differences are consistent with the faster dilution of CO2 (Figure 3) and contribute to the observed reduction trends for PM2.5 and HCHO (Figure 2 and Figure 4).
CO2 concentrations also decreased monotonically in all ventilation cases, with the ducted system consistently providing the strongest dilution across most tests. The concentration changes according to the ventilation method are graphically presented in Figure 3. For instance, in Case E, CO2 concentration decreased from 2122 ppm to 900 ppm under the ducted ventilation system, which outperformed the window-integrated system (reduction from 2099 ppm to 929 ppm and the curtain-obstructed system (reduction from 2083 ppm to 1178 ppm. Similarly, in Case D, the ducted system achieved a reduction from 1964 ppm to 871 ppm, compared with reductions from 1947 ppm to 961 ppm (window-integrated) and 1969 ppm to 1050 ppm (curtain-obstructed). Compared with the PM2.5 decay profiles, the CO2 decay curves were noticeably smoother. This result is consistent with the removal mechanism being dominated by simple gas-phase dilution rather than complex physical processes such as deposition and resuspension.

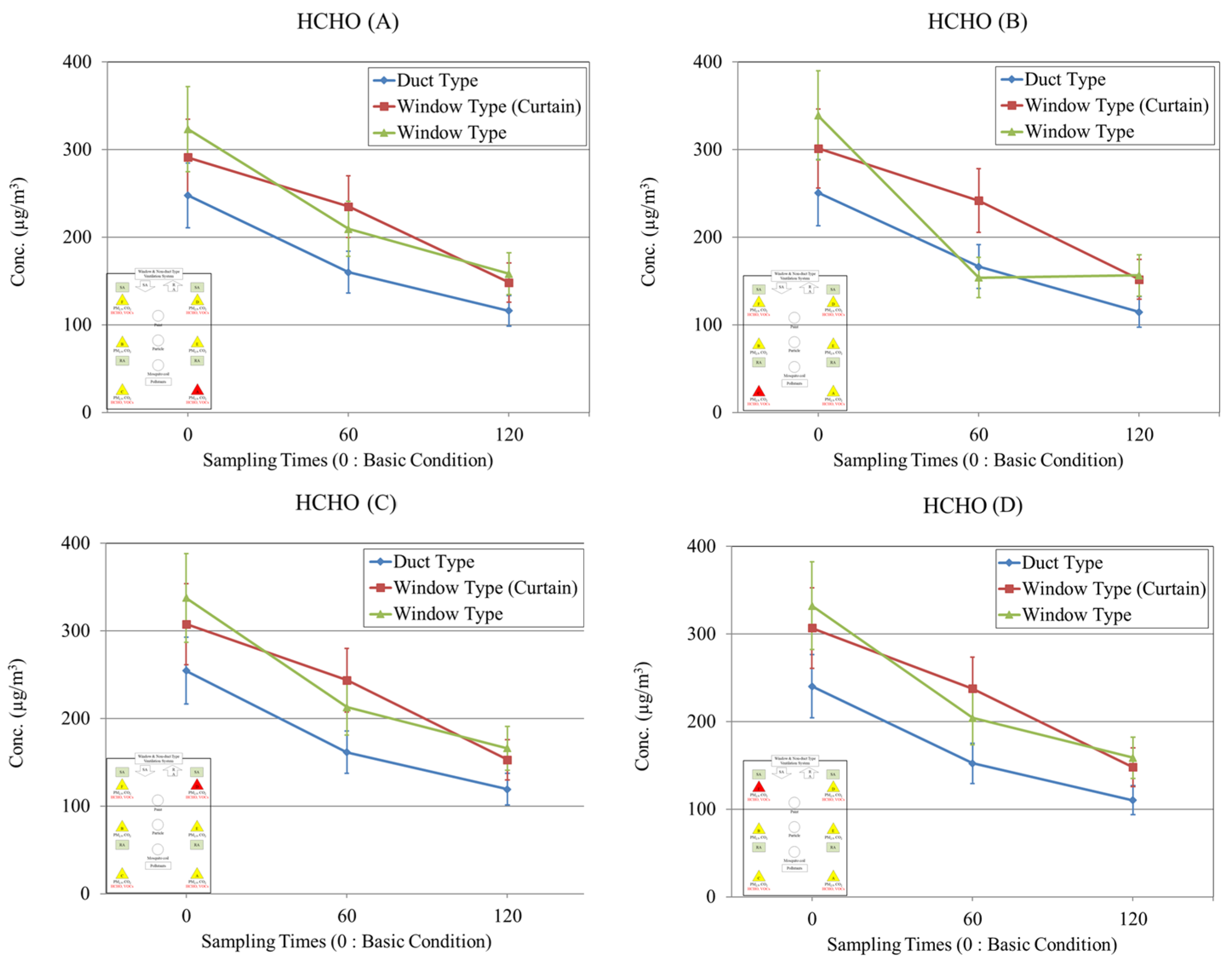
3.3. HCHO Reduction (Sampling 0 h, 1 h, 2 h)

HCHO concentrations consistently decreased in all tested ventilation cases across the 2 h ventilation period. The concentration changes according to the ventilation method are visually detailed in Figure 4.
The ducted ventilation system consistently delivered the greatest reduction (e.g., Case A: 247.8 → 160.1 → 116.1 μg/m3) throughout the measurement duration, whereas the non-ducted ventilation system and curtain-obstructed cases showed slower decay (Location A, window: 323.6 → 209.5 → 158.3 μg/m3; Location A, curtain: 291.2 → 235.0 → 148.3 μg/m3). Similar trends were observed in Locations C, D, and F, indicating that sustained ventilation is important for reducing material-emitted pollutants.

3.4. Aromatic VOC Behaviors (BTEX + Styrene) (Sampling 0–1 h–2 h)

The volatile organic compounds (VOCs) exhibited pollutant-specific responses that significantly differed from PM2.5 and CO2, primarily reflecting their distinct volatility and surface interactions. Benzene generally responded strongly to ventilation, particularly under ducted operation. For example, the ducted ventilation system showed a consistent reduction from 1139.5, 767.8 to 408 μg/m3. In contrast, curtain-obstructed scenarios occasionally showed weak decay or concentration increases over time, consistent with delayed removal under disturbed airflow. Figure 5 presents the concentration changes for benzene.
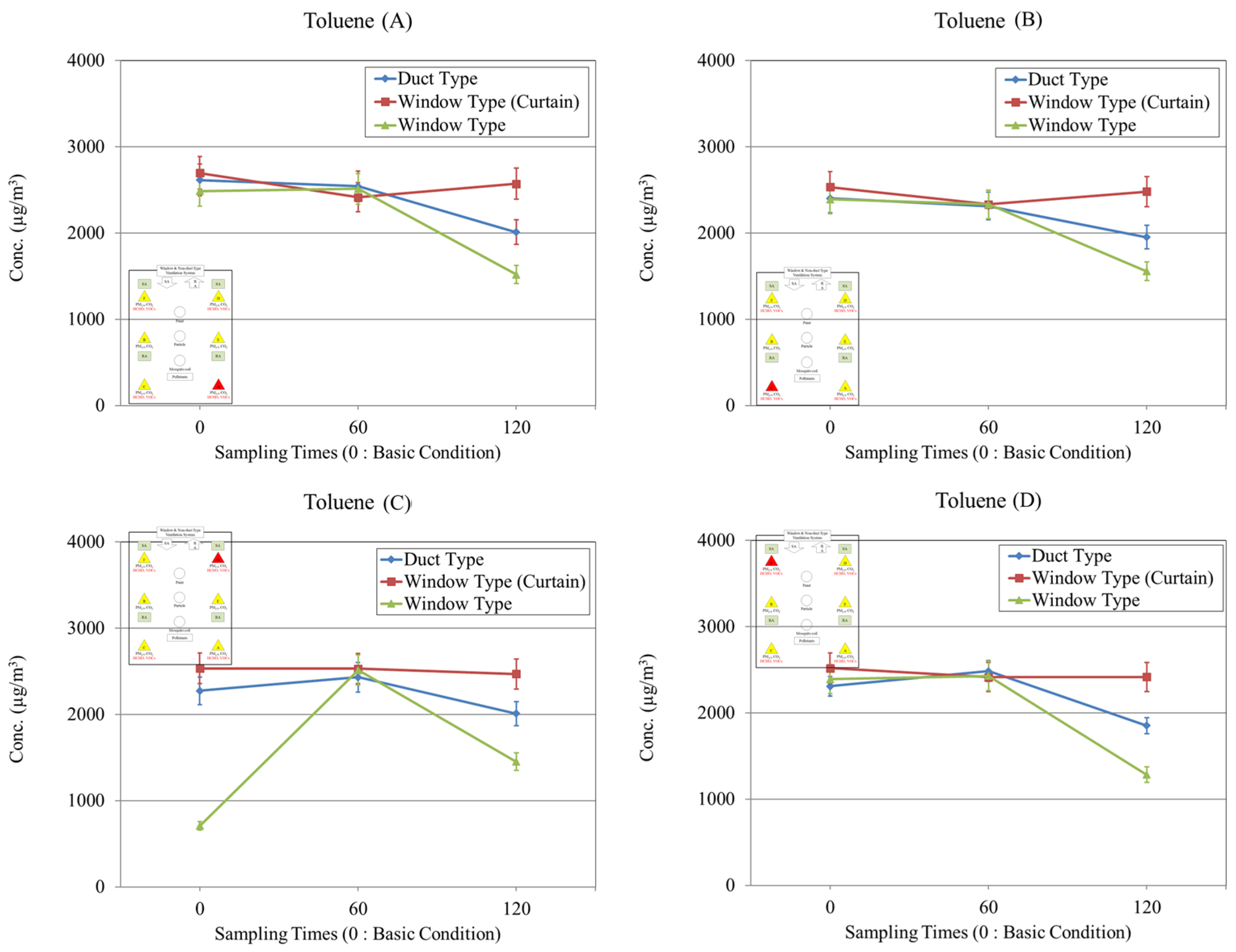
Toluene showed several non-monotonic patterns, including mid-period increases in some scenarios (Figure 6), suggesting that evaporation and adsorption–desorption effects were superimposed on the ventilation removal rate.
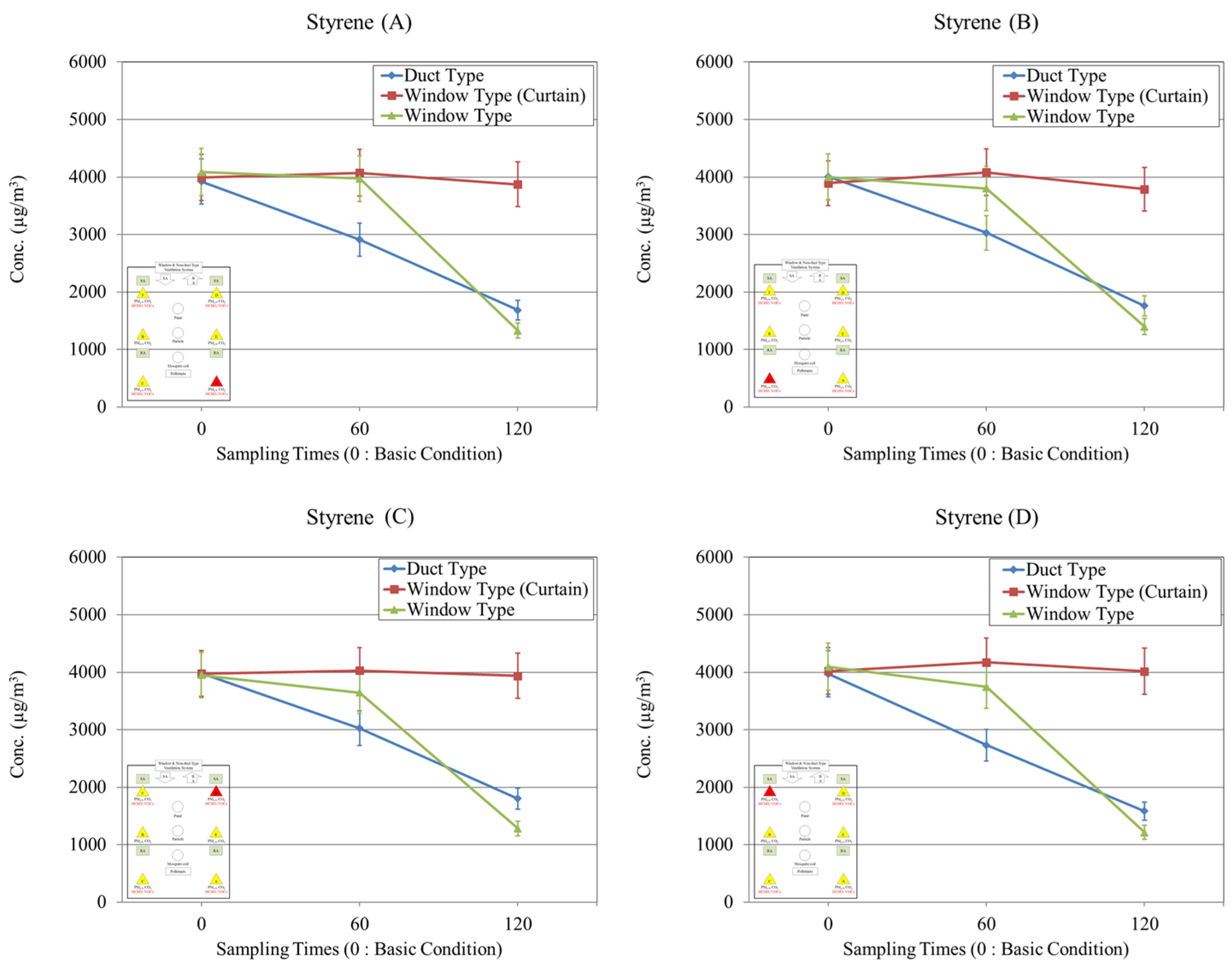
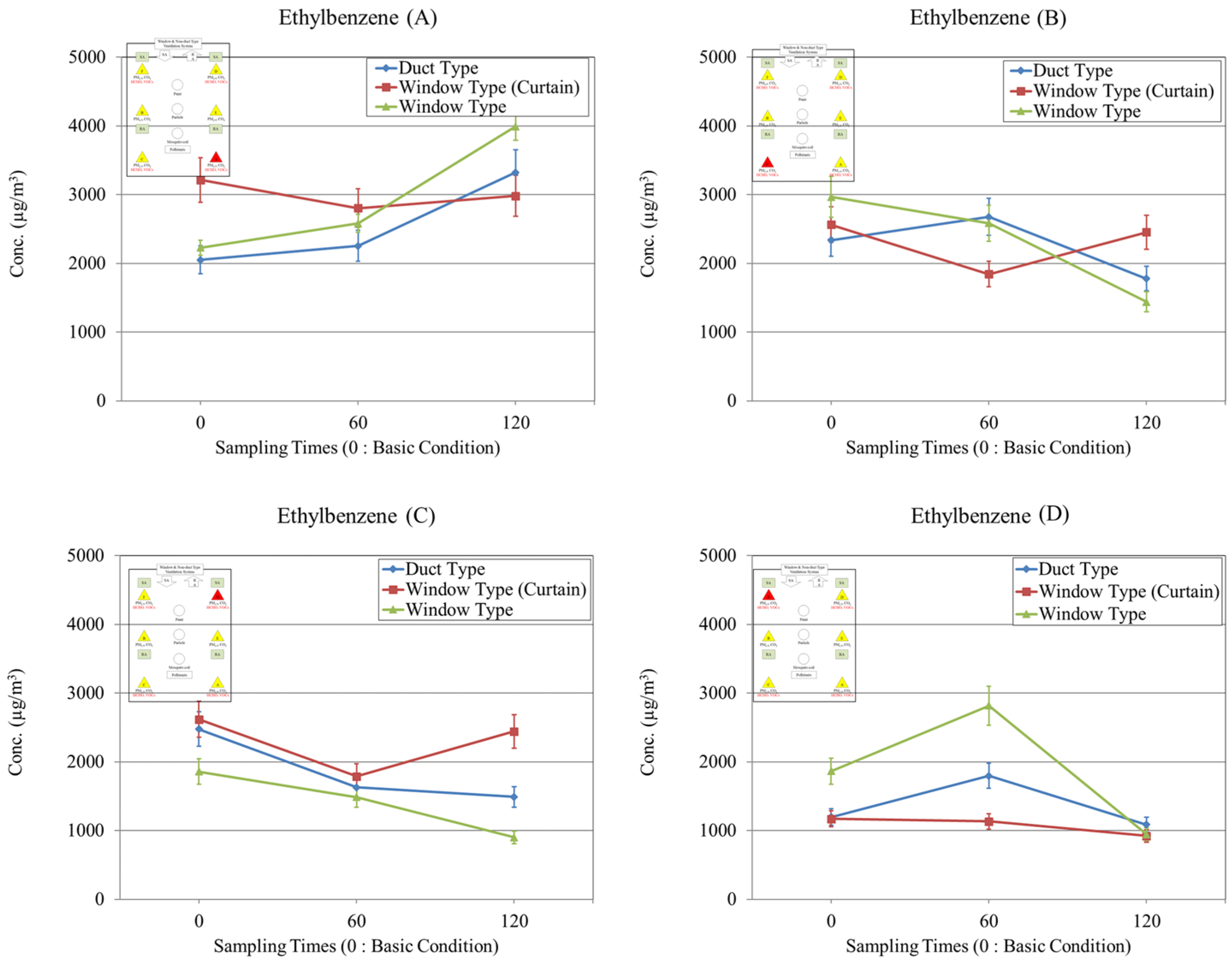
Ethylbenzene exhibited species- and case-dependent behavior; although ducted ventilation reduced concentrations in some cases, temporary increases were also observed (e.g., Location A, ducted: 2052.9 → 2254.1 → 3324.8 μg/m3), indicating strong sensitivity to source dynamics and surface interactions. Figure 7 presents the concentration changes for ethylbenzene. Styrene had the highest initial concentrations among the measured VOCs and generally decreased more consistently under ducted ventilation (e.g., Location F, ducted: 3974.3 → 2732.2 → 1585.4 μg/m3), whereas curtain-obstructed cases frequently showed weak decay. Figure 8 presents the concentration changes for styrene. These findings demonstrate that multi-pollutant monitoring is essential as it reveals removal characteristics that depend significantly on inherent pollutant properties. Therefore, ventilation performance assessment should explicitly account for these pollutant-specific dynamics rather than relying solely on single-tracer dilution assumptions.

3.5. Average Reduction Rate by Pollutant According to the Ventilation Method

Figure 9 and Table 4 summarize the average reduction rate for each pollutant under the three ventilation configurations, where the average reduction rate is defined as the mean of the final reduction rates across all measurement points. PM2.5, CO2, and HCHO exhibited consistent ventilation-driven removal across modes, with the ducted system achieving the highest average reductions for PM2.5 (86.8%) and CO2 (58.3%). HCHO showed comparable average reductions between ducted (53.6%) and window-integrated ventilation (52.0%), and slightly lower removal under the curtain-obstructed condition (50.2%).
In contrast, VOC species displayed strong pollutant- and configuration-dependent variability. Benzene and styrene showed high average reductions under ducted ventilation (67.6% and 57.0%, respectively) and under the unobstructed window-integrated condition (83.9% and 67.6%), whereas their reductions were near zero under curtain obstruction (0.2% for benzene and 1.7% for styrene). Toluene and ethylbenzene exhibited low average reductions across all modes (toluene: 18.3%, 3.3%, 3.7%; ethylbenzene: 2.8%, 9.9%, 18.2%), indicating that their observed responses over the tested duration were not consistently governed by ventilation-driven dilution alone and were likely influenced by pollutant-specific processes such as volatility, adsorption–desorption, and transient re-emission from indoor surfaces. Compared with the unobstructed window-integrated condition, curtain obstruction reduced average removal by 3.6 percentage points for PM2.5 (80.4% → 76.8%) and 7.6 percentage points for CO2 (53.6% → 46.0%), and nearly eliminated apparent removal for benzene and styrene. Overall, these results reinforce the need for pollutant-specific interpretation when using real pollutants for ventilation performance assessment, and they highlight how disturbed airflow pathways can disproportionately degrade removal performance.

4. Discussion

This study was designed as a controlled field demonstration of how simultaneous multi-pollutant monitoring can complement conventional ventilation performance metrics in a real apartment. Across the three operating conditions (ducted, window-integrated, and window-integrated with curtain obstruction), pollutant reductions followed two consistent patterns: (i) the ducted system produced the most stable and repeatable removal across species, and (ii) pollutant behavior diverged substantially from a single-tracer “dilution-only” expectation, particularly for reactive or surface-interactive compounds. These findings reinforce that air change rate (ACR) alone is necessary but not sufficient to interpret IAQ outcomes when real pollutants are considered.
A key driver of the differences among the three ventilation cases is the integrity of the airflow pathway. With nominally similar supply/exhaust flow settings, the ducted system maintains a more predictable supply–exhaust routing, which supports smoother mixing and more consistent decay across measurement points. In contrast, the window-integrated configuration is inherently more sensitive to local short-circuiting, pressure differences, and near-unit flow disturbances. The curtain-obstructed condition illustrates this sensitivity clearly: partial blockage reduces effective exchange and disrupts room-scale circulation, leading to slower removal and, for some VOCs, near-zero apparent reduction over the test duration. This is consistent with the reductions summarized in Table 4, where CO2 and PM2.5 reductions decrease under obstruction, and certain VOCs are disproportionately impacted.
To clarify what multi-pollutant monitoring adds beyond a traditional tracer-gas interpretation, the CO2 decay can be viewed as a practical analog to an inert tracer decay test: CO2 is non-depositing and only weakly reactive under typical indoor conditions, so its decay is dominated by ventilation dilution and mixing. Consistent with this, CO2 exhibited smooth, monotonic decay curves compared with other pollutants. In a revised analysis, an effective ACR (λ_CO2) can be estimated from the CO2 decay during the ventilation phase using a standard single-zone mass balance. To make the contrast between “dilution-only” behavior and pollutant-specific behavior visually explicit, an informative addition is an overlay plot of normalized decay curves—e.g., C ( t ) C b g ) / ( C 0 C b g —for CO2 and selected pollutants, together with the ideal tracer expectation e x p ( λ C O 2 t ) . Such a comparison highlights which species track the tracer expectation and which deviate due to sinks/sources and surface interactions.
The concept of an “apparent air exchange rate” further helps interpret the deviations. For any pollutant i , an apparent exchange rate can be computed from the decay slope (analogous to tracer methods) as follows:
λ a p p , i = d d t l n C i ( t ) C b g , i
when C b g , i is known or approximated. If a species behaves as an inert tracer, then λ a p p , i λ C O 2 . Departures from this equality quantify the influence of non-ventilation processes. For PM2.5, apparent removal can exceed the tracer-based ACR because particles are subject to additional loss mechanisms such as gravitational settling and deposition to indoor surfaces; this interpretation is consistent with PM2.5 showing stronger removal than CO2 under ducted ventilation (Table 4). Conversely, for emitted or surface-buffered gases (e.g., HCHO and several VOCs), λ a p p can fall below λ C O 2 or even become effectively near-zero if ongoing emissions offset the dilution loss.
The VOC results are particularly instructive because different aromatic species responded very differently under the same ventilation conditions. Benzene and styrene exhibited relatively strong apparent reductions under ducted and unobstructed window-integrated operation, whereas toluene and ethylbenzene showed weak reduction overall and, in some cases, non-monotonic trends. Several mechanisms can plausibly explain why benzene and styrene dilution did not align with toluene and ethylbenzene behavior, even though all are aromatic VOCs measured with the same analytical method.
First, source dynamics can differ by compound even within the same “consumer product” category. If the emission phase produces a short, impulsive release for one compound but a persistent release for another, the post-ventilation trajectory can diverge. Weak decay of toluene and ethylbenzene is consistent with continued volatilization from residual sources and/or desorption from surfaces that were loaded during the emission period. Second, sorption/desorption “buffering” differs across species. Compounds with stronger affinity to common indoor materials can be temporarily absorbed during the high-concentration period and later re-emitted when gas-phase concentrations decline under ventilation. This buffering can flatten the observed concentration decay and can produce mid-period increases, which were observed for toluene and ethylbenzene in some cases. Third, the airflow pathway can selectively amplify these effects. Under the obstructed window-integrated condition, reduced mixing and weaker exchange can prolong near-surface concentration gradients and enhance the influence of re-emission relative to dilution, which helps explain why certain VOCs show disproportionately poor apparent removal compared with CO2.
Importantly, the VOC measurements were obtained via discrete sampling/analysis, so each plotted value represents a time-weighted average over the sampling window rather than an instantaneous concentration at an exact moment. This averaging can smooth rapid changes and can shift apparent peaks slightly in time; however, it does not by itself create the persistent cross-species differences observed. The contrast among benzene, styrene, toluene, and ethylbenzene therefore supports the central point: even among chemically similar VOCs, the effective “removal rate” depends on source persistence and surface interactions, not only on the ventilation rate.
The reviewer’s suggestion to include CO as an additional non-reactive tracer is well taken. CO would provide an independent, inert-like decay curve that could corroborate the CO2-derived ACR under combustion-related emission scenarios and help separate “dilution-only” behavior from species-specific sinks/sources. CO was not included in the present campaign, but it is a clear priority for follow-up work, particularly when combustion sources are part of the pollutant generation protocol. More broadly, multi-pollutant monitoring enables a practical validation step that is often missing in tracer-only tests: if a candidate tracer is reactive, sorbing, or has residual sources, the inferred ACR can be biased. Reporting λ_CO2 (tracer-based ACR) alongside pollutant-specific λ a p p , i provides a direct way to quantify that bias and to demonstrate why relying on a reactive species for ACR estimation can under- or over-estimate true ventilation exchange.
Overall, the results show that ACR-based dilution explains CO2 behavior well and partially explains trends for PM2.5 and HCHO, but it cannot predict VOC trajectories when re-emission and persistent sources are present—especially under disturbed airflow pathways. This is the practical advantage of the proposed framework: it retains the interpretability of a tracer-based baseline (via CO2-derived ACR) while revealing pollutant-specific mechanisms that determine real IAQ outcomes under residential ventilation operation.

5. Conclusions

This study proposed and validated a multi-pollutant, monitoring-based framework for evaluating practical residential ventilation performance under realistic conditions. By simultaneously generating and tracking PM2.5, CO2, HCHO, and aromatic VOCs (benzene, toluene, ethylbenzene, styrene), the study demonstrated that ventilation effectiveness cannot be fully characterized by conventional short-term, single-tracer approaches.
The major findings are summarized as follows:
Multi-pollutant monitoring provides a realistic basis for ventilation assessment. The proposed protocol reproduced mixed indoor contamination conditions and enabled pollutant-specific performance evaluation using directly measured concentration trends.
Ducted ventilation delivered the most consistent pollutant removal across all cases. Compared with window-integrated ventilation, the ducted system showed faster and more stable reductions for PM2.5, CO2, and HCHO, indicating robust dilution and removal performance under comparable flow settings.
Airflow obstruction markedly degraded removal performance. The curtain-obstructed window configuration consistently yielded higher residual concentrations, particularly for PM2.5 and VOCs, highlighting the sensitivity of window-type systems to disturbed airflow pathways.
VOC species exhibited non-monotonic behavior consistent with surface interactions. Temporary increases and weak decay in some cases suggest adsorption–desorption and/or re-emission effects, emphasizing that pollutant-specific interpretation is essential when using real pollutants for ventilation evaluation.
Continuous monitoring offers clear advantages over short-duration tests. The monitoring-based approach captured time-dependent and pollutant-dependent responses that would be missed by brief single-tracer measurements, supporting its applicability for practical performance verification and extended IAQ management.
Overall, the proposed multi-pollutant evaluation approach addresses key limitations of conventional ventilation tests and provides a practical foundation for future applications such as routine IAQ performance verification and data-driven ventilation optimization in residential buildings. The conclusions should be interpreted within the scope of this case-study experiment in a single apartment unit. While the comparative trends observed here provide useful evidence on how airflow pathways and obstruction affect pollutant removal, broader generalization requires multi-site validation across apartment types, orientations, and ventilation device brands/models.

Author Contributions

Conceptualization, B.P. and T.H.; methodology, B.P., G.K., J.K., and T.H.; software G.K. and J.K.; validation, B.P., G.K., J.K., and T.H.; formal analysis, B.P.; investigation, G.K.; resources, B.P. and T.H.; data curation, B.P. and G.K.; writing—original draft preparation, B.P. and T.H.; writing—review and editing, T.H.; visualization, B.P., J.K., and T.H.; supervision, T.H.; project administration, T.H.; funding acquisition, T.H. All authors have read and agreed to the published version of the manuscript.

Funding

This work was supported by the National Research Foundation of Korea (NRF) grant funded by the Korea government (MSIT) and (No. RS-2024-00359420).

Institutional Review Board Statement

Not applicable.

Informed Consent Statement

Not applicable.

Data Availability Statement

The data presented in this study are available on request from the corresponding author. The data are not publicly available due to the supporting project involving a confidentiality agreement.

Conflicts of Interest

The authors declare no conflicts of interest.

References

  1. ASHRAE Standard 62.1:2025; Ventilation and Acceptable Indoor Air Quality. ASHRAE: Peachtree Corners, GA, USA, 2025.
  2. Poirier, B.; Guyot, G.; Geoffroy, G.; Woloszyn, M.; Ondarts, M.; Gonze, E. Pollutants emission scenarios for residential ventilation performance assessment. A review. J. Build. Eng. 2021, 42, 102488. [Google Scholar] [CrossRef]
  3. KS F 2603:2021; Method for Measuring Amount of Room Ventilation (Carbon Dioxide Method). Korean Standards Association: Seoul, Republic of Korea, 2021.
  4. KS L ISO12569:2021; Thermal Performance of Buildings—Determination of Air Change in Buildings—Tracer Gas Dilution Method. Korean Standards Association: Seoul, Republic of Korea, 2021.
  5. KS I ISO 16000-8:2020; Indoor Air—Part 8: Determination of Local Mean Ages of Air in Buildings for Characterizing Ventilation Conditions. Korean Standards Association: Seoul, Republic of Korea, 2020.
  6. ASHRAE Standard 129-1997(RA 2002):2002; Measuring Air-Change Effectiveness. ASHRAE: Peachtree Corners, GA, USA, 2022.
  7. ASTM E741-11; Standard Test Method for Determining Air Change in a Single Zone by Means of a Tracer Gas Dilution. ASTM International: West Conshohocken, PA, USA, 2017.
  8. ISO 12569:2017; Thermal Performance of Buildings and Materials—Determination of Specific Airflow Rate in Buildings—Tracer Gas Dilution Method. International Organization for Standardization: Geneva, Switzerland, 2017.
  9. Merzkirch, A.; Maas, S.; Scholzen, F.; Waldmann, D. Field tests of centralized and decentralized ventilation units in residential buildings—Specific fan power, heat recovery efficiency, shortcuts and volume flow unbalances. Energy Build. 2016, 116, 376–383. [Google Scholar] [CrossRef]
  10. Berneiser, J.; Auerswald, S.; Maier, D.; Gölz, S.; Carbonare, N.; Pflug, T. Feeling the breeze? Ventilation practices and occupant requirements for mechanical ventilation in residential buildings. Energy Build. 2024, 302, 113702. [Google Scholar] [CrossRef]
  11. De Jode, M. Long term monitoring of CO2 levels and ventilation rates in a naturally ventilated residential apartment. Indoor Environ. 2024, 1, 100030. [Google Scholar] [CrossRef]
  12. Alonso, M.J.; Moazami, T.N.; Liu, P.; Jørgensen, R.B.; Mathisen, H.M. Assessing the indoor air quality and their predictor variable in 21 home offices during the Covid-19 pandemic in Norway. Build. Environ. 2022, 225, 109580. [Google Scholar] [CrossRef] [PubMed]
  13. Demanega, I.; Mujan, I.; Singer, B.C.; Anđelković, A.S.; Babich, F.; Licina, D. Performance assessment of low-cost environmental monitors and single sensors under variable indoor air quality and thermal conditions. Build. Environ. 2021, 187, 107415. [Google Scholar] [CrossRef]
  14. Chojer, H.; Branco, P.T.B.S.; Martins, F.G.; Sousaet, S.I.V. A novel low-cost sensors system for real-time multipollutant indoor air quality monitoring—Development and performance. Build. Environ. 2024, 266, 112055. [Google Scholar] [CrossRef]
  15. Borodinecs, A.; Palcikovskis, A.; Jacnevs, V. Indoor Air CO2 Sensors and Possible Uncertainties of Measurements: A Review and an Example of Practical Measurements. Energies 2022, 15, 6961. [Google Scholar] [CrossRef]
  16. Hult, E.L.; Willem, H.; Price, P.N.; Hotchi, T.; Russell, M.L.; Singer, B.C. Formaldehyde and Acetaldehyde Exposure Mitigation in US Residences: In-Home Measurements of Ventilation Control and Source Control; Lawrence Berkeley National Laboratory: Berkeley, CA, USA, 2014. [Google Scholar]
  17. Won, D.; Corsi, R.L.; Rynes, M. Sorptive interactions between VOCs and indoor materials. Indoor Air 2001, 11, 246–256. [Google Scholar] [CrossRef] [PubMed]
Figure 1. Schematic of target building and pollutants measuring systems.
Figure 1. Schematic of target building and pollutants measuring systems.
Atmosphere 17 00212 g001
Figure 2. Concentration change measurement results by pollutant according to the ventilation method (PM2.5) (A) measurement location A; (B) measurement location B; (C) measurement location C; (D) measurement location D; (E) measurement location E; (F) measurement location F.
Figure 2. Concentration change measurement results by pollutant according to the ventilation method (PM2.5) (A) measurement location A; (B) measurement location B; (C) measurement location C; (D) measurement location D; (E) measurement location E; (F) measurement location F.
Atmosphere 17 00212 g002
Figure 3. Concentration change measurement results by pollutant according to the ventilation method (CO2) (A) measurement location A; (B) measurement location B; (C) measurement location C; (D) measurement location D; (E) measurement location E; (F) measurement location F.
Figure 3. Concentration change measurement results by pollutant according to the ventilation method (CO2) (A) measurement location A; (B) measurement location B; (C) measurement location C; (D) measurement location D; (E) measurement location E; (F) measurement location F.
Atmosphere 17 00212 g003
Figure 4. Concentration change measurement results by pollutant according to the ventilation method (HCHO) (A) measurement location A; (B) measurement location C; (C) measurement location D; (D) measurement location F.
Figure 4. Concentration change measurement results by pollutant according to the ventilation method (HCHO) (A) measurement location A; (B) measurement location C; (C) measurement location D; (D) measurement location F.
Atmosphere 17 00212 g004
Figure 5. Concentration change measurement results by pollutant according to the ventilation method (benzene) (A) measurement location A; (B) measurement location C; (C) measurement location D; (D) measurement location F.
Figure 5. Concentration change measurement results by pollutant according to the ventilation method (benzene) (A) measurement location A; (B) measurement location C; (C) measurement location D; (D) measurement location F.
Atmosphere 17 00212 g005
Figure 6. Concentration change measurement results by pollutant according to the ventilation method (toluene) (A) measurement location A; (B) measurement location C; (C) measurement location D; (D) measurement location F.
Figure 6. Concentration change measurement results by pollutant according to the ventilation method (toluene) (A) measurement location A; (B) measurement location C; (C) measurement location D; (D) measurement location F.
Atmosphere 17 00212 g006
Figure 7. Concentration change measurement results by pollutant according to the ventilation method (ethylbenzene) (A) measurement location A; (B) measurement location C; (C) measurement location D; (D) measurement location F.
Figure 7. Concentration change measurement results by pollutant according to the ventilation method (ethylbenzene) (A) measurement location A; (B) measurement location C; (C) measurement location D; (D) measurement location F.
Atmosphere 17 00212 g007
Figure 8. Concentration change measurement results by pollutant according to the ventilation method (styrene) (A) measurement location A; (B) measurement location C; (C) measurement location D; (D) measurement location F.
Figure 8. Concentration change measurement results by pollutant according to the ventilation method (styrene) (A) measurement location A; (B) measurement location C; (C) measurement location D; (D) measurement location F.
Atmosphere 17 00212 g008
Figure 9. Average reduction rate by pollutant under three ventilation configurations (mean of final reduction rates across all measurement points).
Figure 9. Average reduction rate by pollutant under three ventilation configurations (mean of final reduction rates across all measurement points).
Atmosphere 17 00212 g009
Table 1. Benchmarking of initial concentrations against residential measurements.
Table 1. Benchmarking of initial concentrations against residential measurements.
PollutantsInitial RangeResidential MeasurementsInterpretation Note
PM2.5 [μg/m3]121–190Cooking-related peaks reported 200–1400 µg/m3 (1 min mean)Falls within elevated-event magnitudes (post-diffusion)
CO2 [μg/m3]1841–2147Mean 1278 ± 504 ppm, >2000 ppm not uncommon in residential long-term monitoringRepresents high-occupancy/low-ventilation periods
HCHO [μg/m3]240–338Baseline ~23 µg/m3, new materials can yield ~142 µg/m3 (example); newly renovated residence median 153 µg/m3High-end/renovation-like condition
Benzene [μg/m3]1243–1632Background indoor (post-1990 residences): 95th percentile ~9.9–29 µg/m3Intentionally elevated “stress-test” (above background)
Toluene [μg/m3]2457–2789Background indoor: 95th percentile ~79–144 µg/m3Provide context; clarify stress-test if elevated
Ethylbenzene [μg/m3]2053–3325Background indoor: 95th percentile ~12–17 µg/m3Provide context; clarify stress-test if elevated
Styrene [μg/m3]3924–4095Typical residential measurements often ~0.1–50 µg/m3; example field range 12.86–38.91 µg/m3Intentionally elevated “stress-test” (above typical)
Table 2. Specifications of the measuring device.
Table 2. Specifications of the measuring device.
CategoryParameterInstrument (Model)ManufacturerPrinciple/MethodRange
(Accuracy)
Logging
[min]
Continuous monitoringPM2.5Air 365K-Weather Inc., Seoul, Republic of KoreaOptical light scattering0–1000 [μg/m3]
(±1.5%)
Δt = 1
CO2Air 365K-Weather Inc., Seoul, Republic of KoreaNDIR0–2000 ppm
(±1.5%)
Δt = 1
TemperatureAir 365K-Weather Inc., Seoul, Republic of KoreaThermistor0–100 °C
(±0.1 °C)
Δt = 1
Relative
humidity
Air 365K-Weather Inc., Seoul, Republic of KoreaCapacitive0–100% RH
(±5% RH)
Δt = 1
Reference (verification)AerosolACK 2000PALAS GmbH, Karlsruhe, GemanyOptical aerosol spectrometry-as needed
Sampling
+ lab analysis
HCHOAir 365K-Weather Inc., Seoul, Republic of KoreaDNPH derivatization + HPLCLOD/LOQ < 1.50 h, 1 h, 2 h
VOCsAir 365K-Weather Inc., Seoul, Republic of KoreaSorbent tube + TD–GC/MSLOD/LOQ < 1.50 h, 1 h, 2 h
Table 3. Measurement conditions and methods.
Table 3. Measurement conditions and methods.
Ventilation SystemsSpecification
Supply Air Volume [m3/h]Return Air Volume [m3/h]
Duct-type5050
Non-duct-type window with a curtain5050
Table 4. Average reduction rate (%) by pollutant according to the ventilation configuration during ventilation operation.
Table 4. Average reduction rate (%) by pollutant according to the ventilation configuration during ventilation operation.
PollutantVentilation System Condition (0 min to 120 min)
Duct-TypeWindow-Type
(With Curtain)
Window-Type
PM2.586.876.880.4
CO258.346.053.6
HCHO53.650.252.0
Benzene67.60.283.9
Toluene18.33.33.7
Ethylbenzene2.89.918.2
Styrene57.01.767.6
Disclaimer/Publisher’s Note: The statements, opinions and data contained in all publications are solely those of the individual author(s) and contributor(s) and not of MDPI and/or the editor(s). MDPI and/or the editor(s) disclaim responsibility for any injury to people or property resulting from any ideas, methods, instructions or products referred to in the content.

Share and Cite

MDPI and ACS Style

Hwang, T.; Kim, G.; Kim, J.; Park, B. Field Evaluation of Residential Ventilation Performance Using Simultaneous Multi-Pollutant Generation and Continuous Monitoring. Atmosphere 2026, 17, 212. https://doi.org/10.3390/atmos17020212

AMA Style

Hwang T, Kim G, Kim J, Park B. Field Evaluation of Residential Ventilation Performance Using Simultaneous Multi-Pollutant Generation and Continuous Monitoring. Atmosphere. 2026; 17(2):212. https://doi.org/10.3390/atmos17020212

Chicago/Turabian Style

Hwang, Taeyon, Gon Kim, Joowook Kim, and Beungyong Park. 2026. "Field Evaluation of Residential Ventilation Performance Using Simultaneous Multi-Pollutant Generation and Continuous Monitoring" Atmosphere 17, no. 2: 212. https://doi.org/10.3390/atmos17020212

APA Style

Hwang, T., Kim, G., Kim, J., & Park, B. (2026). Field Evaluation of Residential Ventilation Performance Using Simultaneous Multi-Pollutant Generation and Continuous Monitoring. Atmosphere, 17(2), 212. https://doi.org/10.3390/atmos17020212

Note that from the first issue of 2016, this journal uses article numbers instead of page numbers. See further details here.

Article Metrics

Back to TopTop