PM2.5 and Lung Cancer: An Ecological Study (2014–2023) Using Data from Brazilian Capitals
Abstract
1. Introduction
2. Materials and Methods
2.1. Study Area
2.2. Data Sample
2.3. Attributable Deaths
2.4. Data Analysis
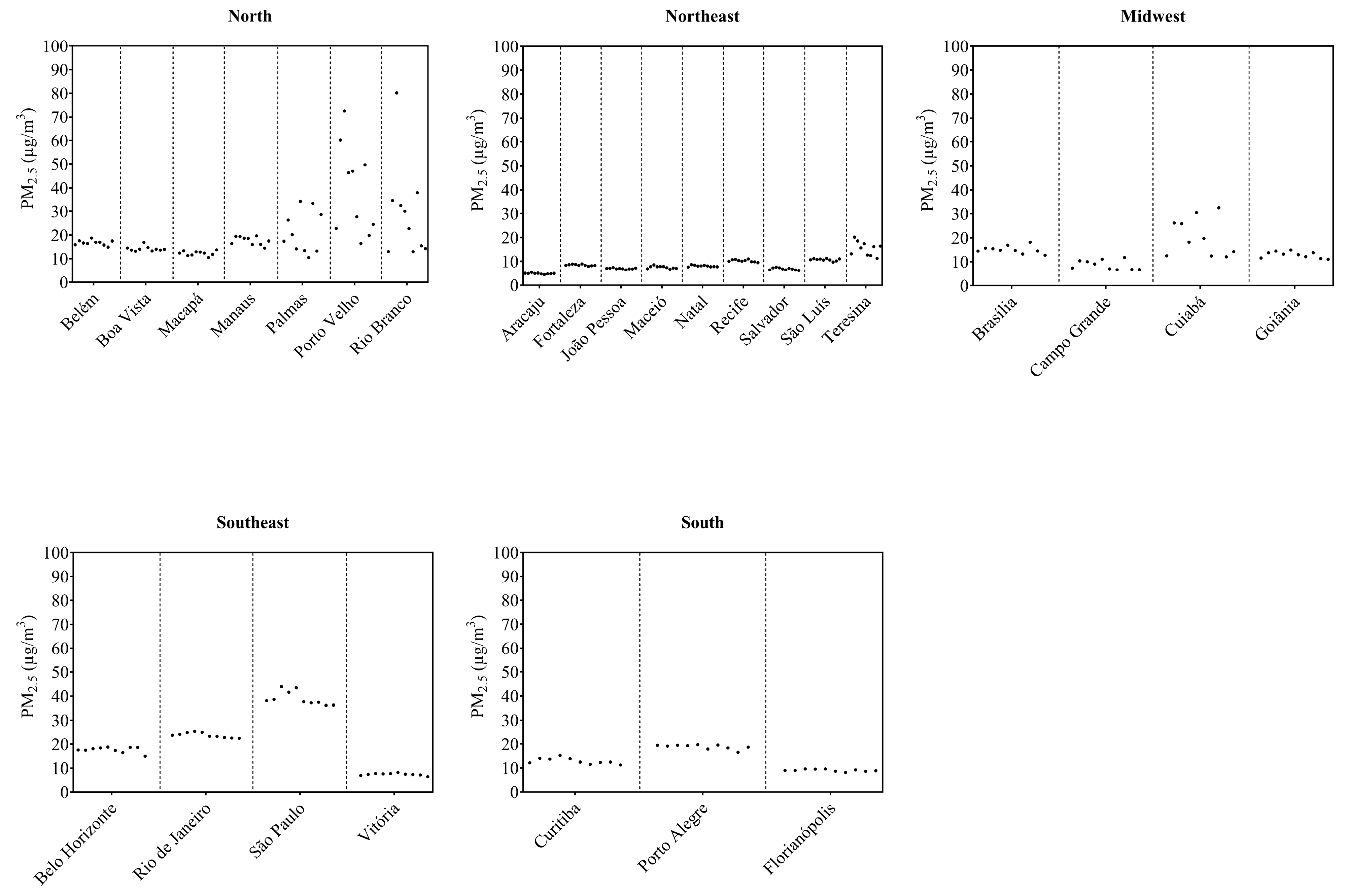
3. Results
4. Discussion
5. Conclusions
Supplementary Materials
Author Contributions
Funding
Institutional Review Board Statement
Informed Consent Statement
Data Availability Statement
Acknowledgments
Conflicts of Interest
References
- Bittoni, M.A.; Carbone, D.P.; Harris, R.E. Vaping, Smoking and Lung Cancer Risk. J. Oncol. Res. Ther. 2024, 9, 10229. [Google Scholar] [CrossRef] [PubMed]
- Chen, C.Y.; Huang, K.Y.; Chen, C.C.; Chang, Y.H.; Li, H.J.; Wang, T.H.; Yang, P.C. The role of PM2.5 exposure in lung cancer: Mechanisms, genetic factors, and clinical implications. EMBO Mol. Med. 2025, 17, 31–40. [Google Scholar] [CrossRef] [PubMed]
- Zhang, Y.; Wang, W.; Dai, K.; Huang, Y.; Wang, R.; He, D.; He, J.; Liang, H. Global lung cancer burden attributable to air fine particulate matter and tobacco smoke exposure: Spatiotemporal patterns, sociodemographic characteristics, and transnational inequalities from 1990 to 2021. BMC Public Health 2025, 25, 1260. [Google Scholar] [CrossRef]
- Deng, Y.; Li, Z.; Zhang, P.; Yang, Y.; Xie, Y.; Cheng, Y.; Yu, S.; Zhu, G.; Han, L.; Jia, L.; et al. Global, regional and national burden of lung cancer attributable to PM2.5 air pollution: Trends from 1990 to 2021 with projections to 2045. J. Environ. Manag. 2025, 390, 126216. [Google Scholar] [CrossRef]
- Corrales, L.; Rosell, R.; Cardona, A.F.; Martin, C.; Zatarain-Barrón, Z.L.; Arrieta, O. Lung cancer in never smokers: The role of different risk factors other than tobacco smoking. Crit. Rev. Oncol. Hematol. 2020, 148, 102895. [Google Scholar] [CrossRef]
- Yu, P.; Xu, R.; Li, S.; Coelho, M.S.Z.S.; Saldiva, P.H.N.; Sim, M.R.; Abramson, M.J.; Guo, Y. Loss of life expectancy from PM2.5 in Brazil: A national study from 2010 to 2018. Environ. Int. 2022, 166, 107350. [Google Scholar] [CrossRef]
- Yu, P.; Xu, R.; Huang, W.; Coelho, M.S.Z.S.; Saldiva, P.H.N.; Ye, T.; Wen, B.; Liu, Y.; Yang, Z.; Li, S.; et al. Cancer mortality risk from short-term PM2.5 exposure and temporal variations in Brazil. J. Hazard. Mater. 2024, 473, 134606. [Google Scholar] [CrossRef]
- Wikuats, C.F.H.; Nogueira, T.; Squizzato, R.; de Freitas, E.D.; Andrade, M.d.F. Health Risk Assessment of Exposure to Air Pollutants Exceeding the New WHO Air Quality Guidelines (AQGs) in São Paulo, Brazil. Int. J. Environ. Res. Public Health 2023, 20, 5707. [Google Scholar] [CrossRef] [PubMed]
- Hoinaski, L.; Will, R.; Ribeiro, C.B. Brazilian Atmospheric Inventories—BRAIN: A comprehensive database of air quality in Brazil. Earth Syst. Sci. Data 2024, 16, 2385–2405. [Google Scholar] [CrossRef]
- Liang, H.; Zhou, X.; Zhu, Y.; Li, D.; Jing, D.; Su, X.; Pan, P.; Liu, H.; Zhang, Y. Association of outdoor air pollution, lifestyle, genetic factors with the risk of lung cancer: A prospective cohort study. Environ. Res. 2023, 218, 114996. [Google Scholar] [CrossRef]
- Wang, T.H.; Huang, K.Y.; Chen, C.C.; Chang, Y.H.; Chen, H.Y.; Hsueh, C.; Liu, Y.T.; Yang, S.C.; Yang, P.C.; Chen, C.Y. PM2.5 promotes lung cancer progression through activation of the AhR-TMPRSS2-IL18 pathway. EMBO Mol. Med. 2023, 15, e17014. [Google Scholar] [CrossRef]
- Tavella, R.A.; De Moura, F.R.; Miraglia, S.G.E.K.; Da Silva Júnior, F.M.R. A New Dawn for Air Quality in Brazil. Lancet Planet. Health 2024, 8, e717–e718. [Google Scholar] [CrossRef]
- De Moura, F.R.; De Moura, D.F.F.; Tavella, R.A.; Da Silva Júnior, F.M.R. Letter to the Editor Regarding the Article “Open Air Quality Data Platforms for Environmental Health Research and Action”. Curr. Environ. Health Rep. 2025, 12, 42. [Google Scholar] [CrossRef] [PubMed]
- Buralli, R.J.; Connerton, P. Poluição do ar, saúde e regulação no Brasil: Estamos avançando? Cad. Saúde Pública 2025, 41, e00172924. [Google Scholar] [CrossRef]
- Moore, J.P.; Will, R.; Bastos, C.R.; Réquia, W.J.; Hoinaski, L. Spatial analysis of cardiopulmonary disease risks linked to air pollution in Brazil. Air Qual. Atmos. Health 2025. Epub ahead of printing. [Google Scholar] [CrossRef]
- Cancio, A.K.C.; Guerrero-Moreno, M.A.; Silva, E.C.; Oliveira, F.A.; Dias-Silva, K.; Moura, J.F., Jr.; Vieira, T.A.; Calvão, L.B.; Juen, L.; Oliveira-Júnior, J.M.B. The impacts off ire use in the Brazilian Amazon: A bibliometric analysis. Int. J. Wildland Fire 2025, 34, WF24182. [Google Scholar] [CrossRef]
- De Moura, F.R.; Machado, P.D.W.; Ramires, P.F.; Tavella, R.A.; Carvalho, H.; Silva Júnior, F.M.R. In the line of fire: Analyzing burning impacts on air pollution and air quality in an Amazonian city, Brazil. Atmos. Pollut. Res. 2024, 14, 102033. [Google Scholar] [CrossRef]
- Ellwanger, J.H.; Ziliotto, M.; Kulmann-Leal, B.; Chies, J.A.B. Environmental Challenges in Southern Brazil: Impacts of Pollution and Extreme Weather Events on Biodiversity and Human Health. Int. J. Environ. Res. Public Health 2025, 22, 305. [Google Scholar] [CrossRef] [PubMed]
- De Moura, F.R.; Buffarini, R.; Barlem, E.L.D.; Nadaleti, W.C.; Carvalho, H.; Silva Júnior, F.M.R. Amazon’s climate crossroads: Analyzing air pollution and health impacts under machine learning-based temperature increase scenarios in Northern Mato Grosso, Brazil. Environ. Geochem. Health 2025, 47, 206. [Google Scholar] [CrossRef]
- Gueymard, C.A.; Yang, D. Worldwide validation of CAMS and MERRA-2 reanalysis aerosol optical depth products using 15 years of AERONET observations. Atmos. Environ. 2020, 225, 117216. [Google Scholar] [CrossRef]
- Requia, W.J.; Amini, H.; Mukherjee, R.; Gold, D.R.; Schwartz, J.D. Health impacts of wildfire-related air pollution in Brazil: A nationwide study of more than 2 million hospital admissions between 2008 and 2018. Nat. Commun. 2021, 12, 6555. [Google Scholar] [CrossRef]
- Brum, A.N.; Brum, R.L.; Bonifácio, A.S.; Da Silva Júnior, F.M.R.; Zhang, L. Impact of temperature increase on air pollutants—A case study in a small city in southern Brazil. Case Stud. Chem. Environ. Eng. 2024, 9, 100624. [Google Scholar] [CrossRef]
- Casciaro, G.; Cavaiola, M.; Mazzino, A. Calibrating the CAMS European multi-model air quality forecasts for regional air pollution monitoring. Atmos. Environ. 2022, 287, 119259. [Google Scholar] [CrossRef]
- Inness, A.; Ades, M.; Agustí-Panareda, A.; Barré, J.; Benedictow, A.; Blechschmidt, A.M.; Dominguez, J.J.; Engelen, R.; Eskes, H.; Flemming, J.; et al. The CAMS reanalysis of atmospheric composition. Atmos. Chem. Phys. 2019, 19, 3515–3556. [Google Scholar] [CrossRef]
- Hijmans, R.J.; Van Etten, J.; Sumner, M.; Cheng, J.; Baston, D.; Bevan, A.; Bivand, R.; Busetto, L.; Canty, M.; Fasoli, B.; et al. Package ‘raster’. 2021. Available online: https://cran.r-project.org/web/packages/raster/raster.pdf (accessed on 17 May 2025).
- Hoffmann, B.; Boogaard, H.; de Nazelle, A.; Andersen, Z.J.; Abramson, M.; Brauer, M.; Brunekreef, B.; Forastiere, F.; Huang, W.; Kan, H.; et al. WHO Air Quality Guidelines 2021-Aiming for Healthier Air for all: A Joint Statement by Medical, Public Health, Scientific Societies and Patient Representative Organisations. Int. J. Public Health 2021, 66, 1604465. [Google Scholar] [CrossRef] [PubMed]
- National Environment Council (CONAMA), Ministry of Environment and Climate Change, Brazil. CONAMA Resolution No 506, of 5 July 2024. Establishes National Air Quality Standards and Provides Guidelines for Their Application. 2024. Available online: https://conama.mma.gov.br/?option=com_sisconama&task=arquivo.download&id=827 (accessed on 1 October 2025).
- Cobelo, I.; Castelhano, F.J.; Borge, R.; Roig, H.L.; Adams, M.; Amini, H.; Koutrais, P.; Réquia, W.J. The impact of wildfires on air pollution and health across land use categories in Brazil over a 16-year period. Environ. Res. 2023, 224, 115522. [Google Scholar] [CrossRef] [PubMed]
- Palmeiro-Silva, Y.; Llerena-Cayo, C.; Blanco-Villafuerte, L.; Rojas-Rueda, D.; Borchers Arriagada, N.; Vela-Clavo, Z.; de Camargo, T.; Rusticucci, M.; Valdes-Velasquez, A.; Hartinger, S.M. The 2024 South America ablaze: Health impacts and policy imperatives for protecting population health in an era of wildfires. Lancet Reg. Health Am. 2025, 48, 101160. [Google Scholar] [CrossRef]
- Yuan, F.; Yao, R.; Yu, W.; Sadrizadeh, S.; Awbi, H.; Kumar, P. Dynamic characteristics of particulate matter resuspension due to human activities in indoor environments: A comprehensive review. J. Build. Eng. 2023, 79, 107914. [Google Scholar] [CrossRef]
- Hoek, G.; Krishnan, R.M.; Beelen, R.; Peters, A.; Ostro, B.; Brunekreef, B.; Kaufman, J.D. Long-term air pollution exposure and cardio- respiratory mortality: A review. Environ. Health 2013, 12, 43. [Google Scholar] [CrossRef] [PubMed]
- Liu, C.; Chen, R.; Sera, F.; Vicedo-Cabrera, A.M.; Guo, Y.; Tong, S.; Coelho, M.S.Z.S.; Saldiva, P.H.N.; Lavigne, E.; Matus, P.; et al. Ambient Particulate Air Pollution and Daily Mortality in 652 Cities. N. Engl. J. Med. 2019, 381, 705–715. [Google Scholar] [CrossRef]
- Cohen, A.J.; Brauer, M.; Burnett, R.; Anderson, H.R.; Frostad, J.; Estep, K.; Balakrishnan, K.; Brunekreef, B.; Dandona, L.; Dandona, R.; et al. Estimates and 25-year trends of the global burden of disease attributable to ambient air pollution: An analysis of data from the Global Burden of Diseases Study 2015. Lancet 2017, 389, 1907–1918. [Google Scholar] [CrossRef]
- Kinzunga, M.N.; Westervelt, D.M.; Masisa, D.M.; Bangelesa, F.; Isevulambire, P.K.; Tabou, T.T.; Obel, B.K.; Mbela, G.K.; Ntumba, J.M.K. Assessment of Respiratory Health Impacts of PM2.5 by AirQ+ Software in a Sub-Saharan African Urban Setting. Atmosphere 2024, 15, 1518. [Google Scholar] [CrossRef]
- Zhou, R.X.; Liao, H.J.; Hu, J.J.; Xiong, H.; Cai, X.Y.; Ye, D.W. Global Burden of Lung Cancer Attributable to Household Fine Particulate Matter Pollution in 204 Countries and Territories, 1990 to 2019. J. Thorac. Oncol. 2024, 19, 883–897. [Google Scholar] [CrossRef]
- Feng, Y.; Jin, T.; Wei, Y.; Steenland, K.; Schwartz, J. Long-term exposure to PM2.5 constituents and incident cancer among Medicare beneficiaries in the USA: A national cohort study. Lancet Planet. Health 2025, 9, 101334. [Google Scholar] [CrossRef]
- Yu, P.; Xu, R.; Li, S.; Coelho, M.S.Z.S.; Saldiva, P.H.N.; Sim, M.R.; Abramson, M.J.; Guo, Y. Associations between long-term exposure to PM2.5 and site-specific cancer mortality: A nationwide study in Brazil between 2010 and 2018. Environ. Pollut. 2022, 302, 119070. [Google Scholar] [CrossRef] [PubMed]
- Wang, M.; Kim, R.Y.; Kohonen-Corish, M.R.J.; Chen, H.; Donovan, C.; Oliver, B.G. Particulate matter air pollution as a cause of lung cancer: Epidemiological and experimental evidence. Br. J. Cancer 2025, 132, 986–996. [Google Scholar] [CrossRef] [PubMed]
- GBD 2021 Diseases and Injuries Collaborators. Global incidence, prevalence, years lived with disability (YLDs), disability-adjusted life-years (DALYs), and healthy life expectancy (HALE) for 371 diseases and injuries in 204 countries and territories and 811 subnational locations, 1990–2021: A systematic analysis for the Global Burden of Disease Study 2021. Lancet 2024, 403, 2133–2161. [Google Scholar] [CrossRef]
- Yazdi, M.D.; Wang, Y.; Di, Q.; Requia, W.J.; Wei, Y.; Shi, L.; Sabath, M.B.; Dominici, F.; Coull, B.; Evans, J.S.; et al. Long-term effect of exposure to lower concentrations of air pollution on mortality among US Medicare participants and vulnerable subgroups: A doubly-robust approach. Lancet Planet. Health 2021, 10, e689–e697. [Google Scholar] [CrossRef]
- Stafoggia, M.; Oftedal, B.; Chen, J.; Rodopoulou, S.; Renzi, M.; Atkinson, R.W.; Bauwelinck, M.; Klompmaker, J.O.; Mehta, A.; Vienneau, D.; et al. Long-term exposure to low ambient air pollution concentrations and mortality among 28 million people: Results from seven large European cohorts within the ELAPSE project. Lancet Planet. Health 2022, 6, e9–e18. [Google Scholar] [CrossRef]
- Oliveira, I.N.; Oliveira, B.F.A.; Silveira, I.H.; Machado, L.M.G.; Villardi, J.W.R.; Ignotti, E. Air pollution from forest burning as environmental risk for millions of inhabitants of the Brazilian Amazon: An exposure indicator for human health. Cad. Saúde Pública 2023, 39, e00131422. [Google Scholar] [CrossRef]
- Velásquez-García, M.P.; Hernández, K.S.; Vergara-Correa, J.A.; Pope, R.J.; Gómez-Marín, M.; Rendón, A.M. Long-range transport of air pollutants increases the concentration of hazardous components of PM2.5 in northern South America. Atmos. Chem. Phys. 2024, 24, 11497–11520. [Google Scholar] [CrossRef]
- Rosas Santana, J.; Lima da Silva, G.; Akemi Yamasoe, M.; Èvora do Rosario, N. Biomass burning smoke transport and radiative impact over the city of São Paulo: An extreme event case study. Atmos. Chem. Phys. 2025, 25, 15935–15951. [Google Scholar] [CrossRef]
- Lelieveld, J.; Pozzer, A.; Pöschl, U.; Fnais, M.; Haines, A.; Münzel, T. Loss of life expectancy from air pollution compared to other risk factors: A worldwide perspective. Cardiovasc. Res. 2020, 116, 1910–1917. [Google Scholar] [CrossRef] [PubMed]
- Liu, X.; Mubarik, S.; Wang, F.; Yu, Y.; Wang, Y.; Shi, F.; Wen, H.; Yu, C. Lung Cancer Death Attributable to Long-Term Ambient Particulate Matter (PM2.5) Exposure in East Asian Countries During 1990–2019. Front. Med. 2021, 8, 742076. [Google Scholar] [CrossRef] [PubMed]



| Capital City | Slope (m) | p Value | R2 |
|---|---|---|---|
| Aracaju | - | - | - |
| Belém | −0.005 | 0.749 | 0.014 |
| Belo Horizonte | 0.022 | 0.191 | 0.203 |
| Boa Vista | 0.029 | 0.294 | 0.136 |
| Brasília | −0.006 | 0.755 | 0.013 |
| Campo Grande | −0.024 | 0.485 | 0.063 |
| Cuiabá | −0.045 | 0.517 | 0.054 |
| Curitiba | −0.009 | 0.620 | 0.032 |
| Florianópolis | −0.005 | 0.743 | 0.014 |
| Fortaleza | −0.008 | 0.298 | 0.134 |
| Goiânia | −0.028 | 0.240 | 0.167 |
| Joao Pessoa | 0.003 | 0.469 | 0.067 |
| Macapá | 0.011 | 0.589 | 0.038 |
| Maceió | −0.013 | 0.219 | 0.182 |
| Manaus | −0.043 | 0.020 | 0.510 |
| Natal | 0.003 | 0.809 | 0.008 |
| Palmas | 0.057 | 0.303 | 0.131 |
| Porto Alegre | −0.015 | 0.520 | 0.053 |
| Porto Velho | −0.094 | 0.340 | 0.114 |
| Recife | −0.008 | 0.397 | 0.091 |
| Rio Branco | −0.129 | 0.372 | 0.101 |
| Rio de Janeiro | −0.075 | 0.003 | 0.688 |
| Salvador | −0.008 | 0.249 | 0.162 |
| São Luís | −0.003 | 0.781 | 0.010 |
| São Paulo | −0.022 | 0.417 | 0.084 |
| Teresina | −0.061 | 0.154 | 0.237 |
| Vitória | −0.013 | 0.436 | 0.077 |
| Capital City | Beta Coefficient (β) | p Value | Dispersion |
|---|---|---|---|
| Aracaju | - | - | - |
| Belém | −0.042 | 0.753 | 0.189 |
| Belo Horizonte | 0.016 | 0.401 | 0.344 |
| Boa Vista | 0.044 | 0.681 | 0.417 |
| Brasília | −0.012 | 0.598 | 0.294 |
| Campo Grande | −0.036 | 0.629 | 1.501 |
| Cuiabá | −0.013 | 0.814 | 1.805 |
| Curitiba | −0.012 | 0.644 | 0.517 |
| Florianópolis | −0.015 | 0.813 | 0.121 |
| Fortaleza | −0.011 | 0.829 | 0.170 |
| Goiânia | −0.002 | 0.944 | 0.303 |
| Joao Pessoa | 0.049 | 0.831 | 0.033 |
| Macapá | 0.125 | 0.638 | 0.321 |
| Maceió | −0.024 | 0.727 | 0.331 |
| Manaus | −0.006 | 0.917 | 0.542 |
| Natal | 0.001 | 0.980 | 0.456 |
| Palmas | 0.028 | 0.892 | 0.380 |
| Porto Alegre | −0.007 | 0.861 | 0.498 |
| Porto Velho | −0.062 | 0.706 | 0.463 |
| Recife | −0.004 | 0.924 | 0.328 |
| Rio Branco | −0.063 | 0.811 | 0.504 |
| Rio de Janeiro | −0.043 | 0.589 | 0.414 |
| Salvador | −0.026 | 0.587 | 0.358 |
| São Luís | −0.012 | 0.710 | 0.414 |
| São Paulo | −0.012 | 0.700 | 0.419 |
| Teresina | −0.025 | 0.722 | 0.506 |
| Vitória | −0.011 | 0.847 | 0.379 |
Disclaimer/Publisher’s Note: The statements, opinions and data contained in all publications are solely those of the individual author(s) and contributor(s) and not of MDPI and/or the editor(s). MDPI and/or the editor(s) disclaim responsibility for any injury to people or property resulting from any ideas, methods, instructions or products referred to in the content. |
© 2026 by the authors. Licensee MDPI, Basel, Switzerland. This article is an open access article distributed under the terms and conditions of the Creative Commons Attribution (CC BY) license.
Share and Cite
de Almeida Neto, A.B.; de Moura, F.R.; Bonifácio, A.d.S.; da Silva, V.M.; Brum, R.d.L.; Tavella, R.A.; Fernandes, R.C.; Mariano, G.L.; da Silva Júnior, F.M.R. PM2.5 and Lung Cancer: An Ecological Study (2014–2023) Using Data from Brazilian Capitals. Atmosphere 2026, 17, 175. https://doi.org/10.3390/atmos17020175
de Almeida Neto AB, de Moura FR, Bonifácio AdS, da Silva VM, Brum RdL, Tavella RA, Fernandes RC, Mariano GL, da Silva Júnior FMR. PM2.5 and Lung Cancer: An Ecological Study (2014–2023) Using Data from Brazilian Capitals. Atmosphere. 2026; 17(2):175. https://doi.org/10.3390/atmos17020175
Chicago/Turabian Stylede Almeida Neto, Albery Batista, Fernando Rafael de Moura, Alicia da Silva Bonifácio, Vitória Machado da Silva, Rodrigo de Lima Brum, Ronan Adler Tavella, Ronabson Cardoso Fernandes, Glauber Lopes Mariano, and Flavio Manoel Rodrigues da Silva Júnior. 2026. "PM2.5 and Lung Cancer: An Ecological Study (2014–2023) Using Data from Brazilian Capitals" Atmosphere 17, no. 2: 175. https://doi.org/10.3390/atmos17020175
APA Stylede Almeida Neto, A. B., de Moura, F. R., Bonifácio, A. d. S., da Silva, V. M., Brum, R. d. L., Tavella, R. A., Fernandes, R. C., Mariano, G. L., & da Silva Júnior, F. M. R. (2026). PM2.5 and Lung Cancer: An Ecological Study (2014–2023) Using Data from Brazilian Capitals. Atmosphere, 17(2), 175. https://doi.org/10.3390/atmos17020175

