Aerosols in Northern Morocco (Part 4): Seasonal Chemical Signatures of PM2.5 and PM10
Abstract
1. Introduction
2. Materials and Methods
2.1. Aerosol Sampling, Analysis, and Quality Assurance/Quality Control
| Parameter Category | Measured Parameter | Method/Instrument | Units | Temporal Resolution | Relative Uncertainty | Quality Control Measures | 
|---|---|---|---|---|---|---|
| Particulate Matter | PM2.5 and PM10 mass | Gravimetric/High-precision microbalance | µg m−3 | 24-h | 2.0% (PM2.5), 3.8% (PM10) | Field blanks, replicate weighing | 
| Carbonaceous Aerosols | OC, EC | Two-step combustion/Coulometry (Ströhlein 702C) | 24-h | 4.5% (EC), 7.6% (OC) | Glucose standard, blank correction | |
| SOC | EC tracer method/Estimated: SOC = OC − (OC-to-EC)pri × EC − POCnon-comb | |||||
| TCA | Estimated: TCA = 1.2 × OC + EC | Based on the OM/OC factor validated in Benchrif et al. [15] | ||||
| Water-Soluble Ions | SO42−, NO3−, Cl−, C2O42−, Na+, NH4+, K+, Mg2+, Ca2+ | Ion Chromatography (Dionex DX-600) | 24-h | <1% | IC calibration, anion-cation balance | |
| Sea-salt contribution | Estimated: [ss-Cl−] = [Na+] × 1.8; [ss-SO42−] = [Na+] × 0.252; [ss-Ca2+] = [Na+] × 0.038; [ss-Mg2+] = [Na+] × 0.12; [ss-K+] = [Na+] × 0.036 | The sea-salt fraction was calculated using their standard ratios to sodium (Na+) in seawater following Seinfeld et al. [32] | ||||
| Sugar Compounds | Levoglucosan, arabitol, glucose | IC-PAD | ng m−3 | 24-h | 10–15% RSD | Standard calibration, blank correction | 
| Meteorological Data | Temperature, RH, wind speed, rainfall | Local meteorological station (Sania-Ramel, 35.58° N, 5.33° W) | °C, %, m s−1, mm | 6-h | ||
| Boundary Layer Height | HYSPLIT (GDAS) | m | Data from GDAS (available at https://webspace.clarkson.edu/projects/TraPSA/public_html/en/downloaddata.html, accessed on 1 March 2021) | |||
| Air Mass Trajectories | 72-h back trajectories (CWT and Clustering) | HYSPLIT (GDAS) | 6-h endpoints (trajectories) | Data from GDAS and trajectory convergence check | 
| Specie | Overall (n = 89) | Summer (n = 23) | Autumn (n = 19) | Winter (n = 25) | Spring (n = 22) | |||||
|---|---|---|---|---|---|---|---|---|---|---|
| PM10 | PM2.5 | PM10 | PM2.5 | PM10 | PM2.5 | PM10 | PM2.5 | PM10 | PM2.5 | |
| PM | 30.8 ± 9.7 [11.9–66.3] | 18.0 ± 6.4 [4.2–41.8] | 34.7 ± 9.9 [19.5–54.6] | 17.8 ± 3.7 [11.1–23.6] | 26.2 ± 6.3 [11.9–36.0] | 16.7 ± 4.9 [6.6–27.0] | 32.3 ± 10.4 [18.0–66.3] | 21.0 ± 8.0 [7.9–41.8] | 29.1 ± 9.4 [15.2–43.1] | 15.8 ± 6.9 [4.2–27.1] | 
| EC | 3.0 ± 1.2 [1.1–7.0] | 3.2 ± 1.6 [0.5–8.4] | 3.4 ± 1.4 [1.4–6.2] | 3.9 ± 1.9 [0.8–7.8] | 3.2 ± 1.2 [1.2–5.3] | 3.4 ± 1.1 [1.6–5.5] | 3.2 ± 1.2 [1.5–7.0] | 3.2 ± 1.6 [1.7–8.4] | 2.3 ± 0.8 [1.1–4.8] | 2.6 ± 1.4 [0.5–6.4] | 
| OC | 5.7 ± 2.4 [1.1–14.1] | 5.4 ± 2.8 [0.1–18.2] | 4.8 ± 1.2 [2.6–6.9] | 3.9 ± 2.1 [0.1–11.1] | 6.6 ± 1.9 [2.6–10.3] | 5.8 ± 1.5 [2.8–9.3] | 7.0 ± 3.2 [1.1–14.1] | 7.7 ± 3.4 [2.1–18.2] | 4.4 ± 1.1 [2.8–6.3] | 3.9 ± 1.0 [2.2–5.7] | 
| OC-to-EC | 2.1 ± 1.2 [0.4–8.6] | 2.1 ± 1.6 [0.2–10] | 1.7 ± 1.0 [0.5–4.8] | 1.2 ± 0.8 [0.2–3.4] | 2.6 ± 1.8 [0.5–8.6] | 1.9 ± 1.0 [0.7–4.5] | 2.3 ± 0.9 [0.4–4.8] | 2.7 ± 1.0 [0.3–4.6] | 2.1 ± 0.7 [1.0–3.5] | 2.4 ± 2.5 [0.5–10] | 
| TCA | 9.9 ± 3.4 [4.1–23.8] | 9.6 ± 3.7 [1.0–28.6] | 9.2 ± 1.8 [5.5–13.0] | 8.0 ± 2.6 [1.0–12.3] | 11.1 ± 2.1 [6.7–14.6] | 10.3 ± 1.6 [7.3–14.5] | 11.6 ± 4.8 [4.1–23.8] | 12.5 ± 4.7 [6.6–28.6] | 7.5 ± 1.8 [5.2–11.9] | 7.1 ± 1.1 [5.1–8.9] | 
| TCA-to-PM | 0.34 ± 0.13 [0.16–0.83] | 0.52 ± 0.16 [0.05–0.96] | 0.28 ± 0.07 [0.16–0.42] | 0.45 ± 0.15 [0.05–0.77] | 0.45 ± 0.15 [0.22–0.80] | 0.59 ± 0.15 [0.32–0.96] | 0.37 ± 0.14 [0.18–0.83] | 0.59 ± 0.13 [0.38–0.85] | 0.28 ± 0.09 [0.17–0.51] | 0.44 ± 0.17 [0.25–0.81] | 
| POC | 1.5 ± 0.6 [0.6–3.6] | 0.4 ± 0.2 [0.1–0.9] | 1.7 ± 0.7 [0.7–3.1] | 0.4 ± 0.2 [0.1–0.9] | 1.6 ± 0.6 [0.6–2.6] | 0.4 ± 0.1 [0.2–0.6] | 1.6 ± 0.6 [0.7–3.5] | 0.4 ± 0.2 [0.2–0.9] | 1.1 ± 0.4 [0.6–2.4] | 0.3 ± 0.2 [0.1–0.7] | 
| SOC | 4.3 ± 2.2 [0.8–12.5] | 5.0 ± 2.8 [0.1–17.4] | 3.2 ± 1.4 [0.8–6.2] | 3.5 ± 2.0 [0.1–10.2] | 5.3 ± 1.8 [2.7–9.7] | 5.4 ± 1.6 [2.4–9.0] | 5.7 ± 2.6 [1.4–12.5] | 7.3 ± 3.4 [1.2–17.4] | 3.2 ± 1.1 [1.8–5.3] | 3.6 ± 1.1 [1.9–5.6] | 
| SOC-to-OC | 0.7 ± 0.1 [0.3–0.9] | 0.9 ± 0.1 [0.3–1.0] | 0.6 ± 0.2 [0.3–0.9] | 0.9 ± 0.1 [0.3–1.0] | 0.7 ± 0.1 [0.6–0.9] | 0.9 ± 0.0 [0.8–1.0] | 0.8 ± 0.1 [0.5–0.9] | 0.9 ± 0.1 [0.6–1.0] | 0.7 ± 0.1 [0.5–0.9] | 0.9 ± 0.1 [0.8–1.0] | 
| Na+ | 1.4 ± 0.8 [0.3–3.9] | 0.5 ± 0.3 [0.1–1.7] | 1.9 ± 0.9 [0.4–3.9] | 0.7 ± 0.3 [0.2–1.7] | 1.4 ± 0.6 [0.3–2.5] | 0.4 ± 0.3 [0.1–0.9] | 1.0 ± 0.6 [0.5–2.5] | 0.4 ± 0.2 [0.2–0.8] | 1.4 ± 0.8 [0.3–3.6] | 0.5 ± 0.3 [0.1–1.2] | 
| NH4+ | 0.8 ± 0.5 [0.1–2.8] | 1.1 ± 0.7 [0.0–3.0] | 0.9 ± 0.4 [0.3–1.7] | 1.4 ± 0.6 [0.7–2.7] | 0.5 ± 0.5 [0.1–1.9] | 0.6 ± 0.7 [0.0–3.0] | 1.0 ± 0.7 [0.2–2.8] | 1.2 ± 0.8 [0.3–3.0] | 0.7 ± 0.5 [0.1–1.9] | 1.0 ± 0.6 [0.1–2.1] | 
| K+ | 0.5 ± 0.3 [0.0–2.0] | 0.4 ± 0.3 [0.0–1.7] | 0.3 ± 0.2 [0.1–0.7] | 0.3 ± 0.1 [0.2–0.7] | 0.5 ± 0.2 [0.1–0.9] | 0.4 ± 0.2 [0.1–0.8] | 0.8 ± 0.4 [0.3–2.0] | 0.7 ± 0.4 [0.3–1.7] | 0.4 ± 0.2 [0.0–1.1] | 0.3 ± 0.2 [0.0–0.9] | 
| Mg2+ | 0.2 ± 0.1 [0.1–0.6] | 0.1 ± 0.1 [0.0–0.3] | 0.3 ± 0.1 [0.1–0.6] | 0.2 ± 0.1 [0.1–0.3] | 0.2 ± 0.1 [0.1–0.4] | 0.1 ± 0.0 [0.0–0.1] | 0.2 ± 0.1 [0.1–0.3] | 0.0 [0.0–0.1] | 0.3 ± 0.1 [0.1–0.5] | 0.1 ± 0.1 [0.0–0.2] | 
| Ca2+ | 2.8 ± 0.9 [1.0–5.3] | 0.4 ± 0.3 [0.1–2.5] | 2.6 ± 0.6 [1.2–4.1] | 0.6 ± 0.5 [0.2–2.5] | 2.6 ± 0.8 [1.7–4.1] | 0.3 ± 0.2 [0.1–0.6] | 3.3 ± 0.9 [1.8–5.3] | 0.3 ± 0.1 [0.2–0.8] | 2.6 ± 0.9 [1.0–4.3] | 0.4 ± 0.2 [0.1–0.9] | 
| Cl− | 1.5 ± 1.0 [0.0–4.9] | 0.4 ± 0.4 [0.0–2.1] | 1.4 ± 1.2 [0.0–4.9] | 0.2 ± 0.3 [0.0–0.9] | 1.5 ± 0.7 [0.3–3.0] | 0.3 ± 0.3 [0.0–0.8] | 1.6 ± 1.0 [0.4–3.9] | 0.7 ± 0.5 [0.1–2.1] | 1.4 ± 1.2 [0.2–4.1] | 0.3 ± 0.3 [0.0–1.2] | 
| NO3− | 2.5 ± 1.3 [0.2–6.6] | 1.0 ± 0.8 [0.1–4.0] | 2.5 ± 1.3 [0.2–5.9] | 0.8 ± 0.5 [0.3–3.0] | 2.1 ± 1.0 [0.7–4.4] | 0.7 ± 0.4 [0.1–1.9] | 3.0 ± 1.5 [0.8–6.6] | 1.5 ± 1.0 [0.4–3.9] | 2.2 ± 1.0 [0.5–4.1] | 1.0 ± 0.8 [0.3–4.0] | 
| SO42− | 3.6 ± 1.9 [0.7–9.0] | 3.0 ± 1.7 [0.2–6.6] | 5.0 ± 2.0 [2.5–9.0] | 4.3 ± 1.4 [2.2–6.6] | 2.9 ± 2.0 [0.7–8.8] | 2.0 ± 1.6 [0.2–6.5] | 3.0 ± 1.1 [1.2–5.4] | 2.6 ± 1.2 [0.9–5.3] | 3.6 ± 1.9 [0.9–6.9] | 2.9 ± 1.7 [0.4–5.8] | 
| C2O42− | 0.1 ± 0.1 [0.0–0.4] | 0.1 ± 0.1 [0.0–0.3] | 0.2 ± 0.1 [0.0–0.4] | 0.0 ± 0.1 [0.0–0.3] | 0.1 ± 0.1 [0.0–0.2] | 0.1 ± 0.1 [0.0–0.2] | 0.1 ± 0.1 [0.1–0.2] | 0.1 ± 0.1 [0.0–0.2] | 0.1 ± 0.1 [0.0–0.3] | 0.1 ± 0.1 [0.0–0.2] | 
| WSI | 13.5 ± 4.6 [4.4–23.6] | 7.0 ± 3.3 [0.6–17.6] | 15.1 ± 4.9 [7.5–23.6] | 8.5 ± 2.8 [5.2–17.6] | 11.8 ± 4.3 [4.4–20.8] | 4.7 ± 2.7 [0.6–11.0] | 14.0 ± 4.4 [6.2–22.3] | 7.7 ± 3.5 [3.0–14.8] | 12.6 ± 4.2 [5.8–20.8] | 6.6 ± 3.0 [1.6–12.0] | 
| SIA | 6.6 ± 3.1 [1.5–13.9] | 5.0 ± 2.7 [0.3–11.6] | 8.0 ± 3.1 [3.9–13.8] | 6.4 ± 2.1 [3.3–11.0] | 5.2 ± 3.0 [1.5–12.4] | 3.2 ± 2.4 [0.3–9.9] | 6.7 ± 2.9 [2.4–13.9] | 5.2 ± 2.8 [1.5–11.6] | 6.2 ± 3.0 [1.7–11.0] | 4.9 ± 2.5 [0.8–9.1] | 
| Levoglucosan | 21.7 ± 16.9 [1.5–84.0] | 10.8 ± 11.5 [0.5–49.2] | 17.2 ± 8.8 [4.2–35.4] | 5.5 ± 6.1 [0.5–26.4] | n.a. | n.a. | n.a. | n.a. | 26.7 ± 21.9 [1.5–84.0] | 16.6 ± 13.3 [1.0–49.2] | 
| Arabitol | 1.93 ± 2.58 [0.0–11.70] | 0.23 ± 0.26 [0.0–1.26] | 0.67 ± 1.25 [0.0–6.24] | 0.23 ± 0.17 [0.0–0.48] | n.a. | n.a. | n.a. | n.a. | 3.30 ± 2.97 [0.0–11.7] | 0.22 ± 0.33 [0.0–1.26] | 
| Glucose | 10 ± 15 [0.1–67.7] | 2.2 ± 2.4 [0.1–9.6] | 6.2 ± 8.8 [0.3–41.2] | 2.3 ± 3.0 [0.2–9.6] | n.a. | n.a. | n.a. | n.a. | 14.1 ± 18.9 [0.1–67.7] | 2.0 ± 1.5 [0.1–5.2] | 
| T | 19.2 [9.9–27.9] | 25.1 [22.3–27.9] | 18.0 [13.6–22.5] | 13.7 [9.9–16.4] | 20.4 [14.7–27.0] | |||||
| Rainfall | 0.9 [0.0–24.1] | 0.1 [0.0–0.8] | 1.3 [0.0–11.3] | 0.7 [0.0–6.3] | 1.7 [0.0–24.1] | |||||
| WS | 4.4 [1.6–9.8] | 4.2 [2.7–6.8] | 4.0 [2.4–5.4] | 4.6 [2.9–9.1] | 4.7 [1.6–9.8] | |||||
| RH | 67 [36–90] | 65 [46–80] | 70 [55–81] | 66 [48–86] | 68 [36–90] | |||||
| BLH | 461 [207–1025] | 400 [207–605] | 477 [283–725] | 480 [280–846] | 490 [221–1024] | |||||
| VC | 2146 [431–10,051] | 1724 [558–3677] | 1922 [953–3748] | 2373 [864–7729] | 2523 [431–10,051] | |||||
2.2. Estimation of Secondary Organic Aerosols
2.3. Backward Trajectory and Concentration-Weighted Trajectory Analysis
2.4. Statistical Analyses
3. Results and Discussion
3.1. Temporal Variation in PM10 and PM2.5 Mass Concentrations
3.2. Concentration Distribution of Water-Soluble Inorganic Ions in PM10 and PM2.5 Aerosols
3.3. Levels and Temporal Distribution of Carbonaceous Compounds in PM10 and PM2.5
3.3.1. Organic Carbon and Elemental Carbon
3.3.2. Secondary Organic Carbon
3.3.3. Total Carbonaceous Aerosol
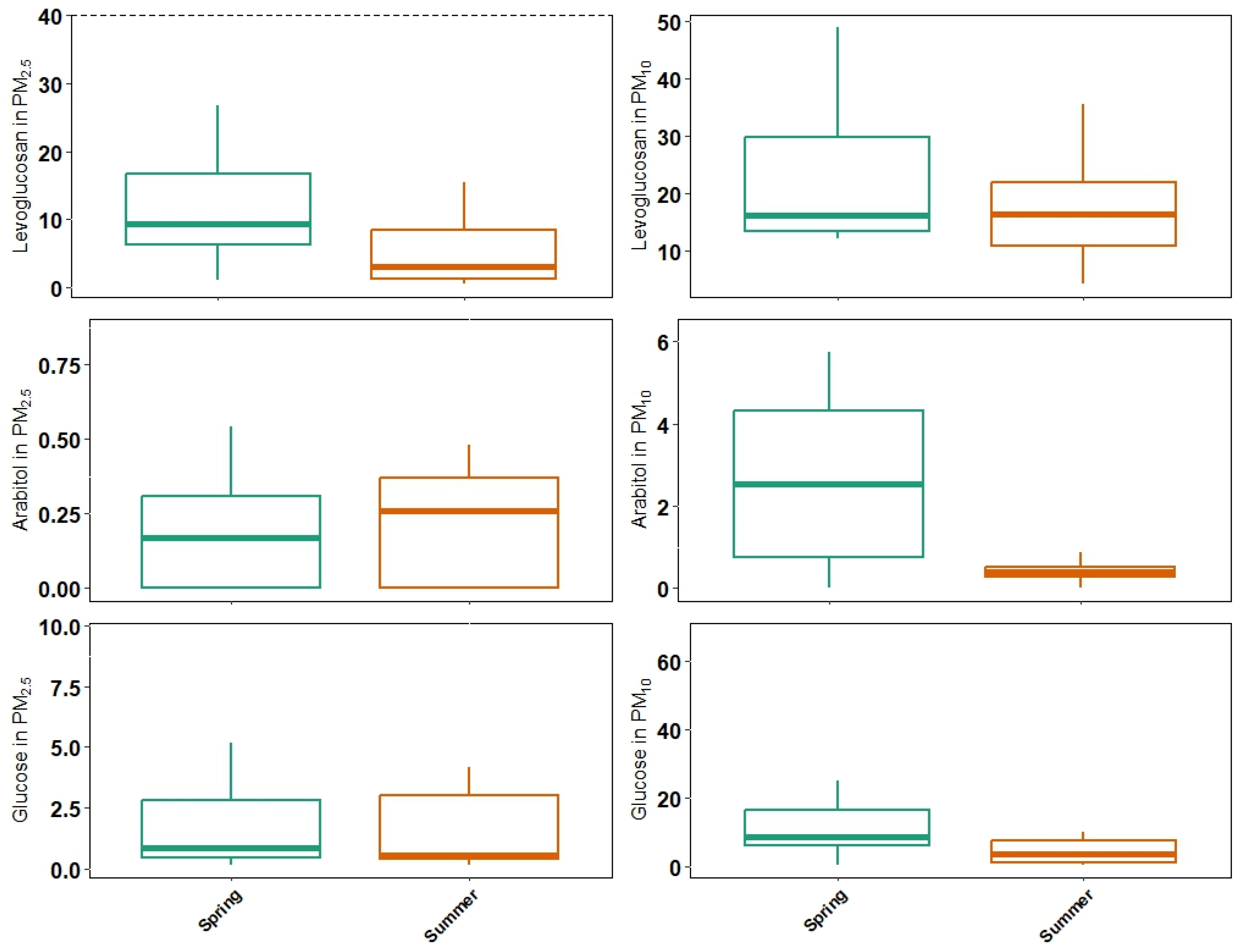
3.4. Levels and Variability of Sugar Compound Concentrations
3.4.1. Levoglucosan
3.4.2. Arabitol
3.4.3. Glucose
4. Conclusions
- PM2.5 and PM10 in Tetouan exhibit pronounced seasonal variability, with higher concentrations during winter and autumn and lower levels in spring. Annual mean concentrations were 18.0 ± 6.5 µg m−3 for PM2.5 and 30.8 ± 9.7 µg m−3 for PM10, with an average PM2.5-to-PM10 ratio of 0.59, highlighting the dominance of fine particles, particularly during colder periods.
- WSIs contributed ~39% of PM2.5 and ~44% of PM10 mass, with maximum levels in summer, likely driven by enhanced photochemical activity. Non-sea-salt sulfate showed the strongest summer maximum (4.1 µg m−3 in PM2.5), while nitrate and chloride exhibited winter peaks (1.5 µg m−3 and 0.7 µg m−3 in PM2.5; 3.0 µg m−3 and 1.6 µg m−3 in PM10, respectively), reflecting seasonal shifts in gas-to-particle partitioning under varying temperature and humidity conditions. Seasonal variations indicate that cold periods favour the accumulation of locally emitted and transported coarse-mode salts, while warm periods enhance the formation of secondary inorganic aerosols through atmospheric chemical processes. Therefore, a dual influence of local sources (winter) and regional photochemistry (summer) in controlling the seasonal dynamics of WSIs in the Southwestern Mediterranean.
- Carbonaceous components were the main contributors to fine aerosol mass, with total carbonaceous aerosol (TCA) accounting for ~52% of PM2.5 and ~34% of PM10. OC concentrations were significantly higher during colder months, driven by both meteorological conditions and enhanced secondary organic carbon (SOC) formation. EC showed a less pronounced seasonal trend, reflecting its primary origin from combustion sources, which tend to have relatively constant emissions throughout the year. SOC was particularly abundant in PM2.5, reaching 7.3 ± 3.4 µg m−3 in winter and contributing up to 90% of OC, reflecting the significance of secondary aerosol formation processes, especially under low-temperature and low-mixing-height conditions. Although local meteorology was a major driver during the cold season, long-range atmospheric transport and photochemistry contributed noticeably to the warmer period. The elevated SOC-to-OC ratios observed in winter were strongly associated with thermodynamic conditions, namely low temperature and limited vertical mixing, whereas in summer, the influence of these meteorological parameters was minimal, and the increase in SOC was attributed to enhanced photochemical oxidation and episodic transport from regional sources.
- Sugar tracers, including levoglucosan, arabitol, and glucose, exhibited pronounced seasonal and size-dependent patterns, with a clear coarse-mode dominance and spring maxima. The unexpected coarse-mode enrichment of levoglucosan (21.7 ± 16.9 ng m−3 in PM10) suggests either adsorption onto larger particles or growth through hygroscopic processes. Levoglucosan decline in summer indicates enhanced photochemical degradation by OH radicals under high solar radiation. Arabitol, primarily emitted by fungal spores, was strongly associated with PM10 (1.9 ± 2.6 ng m−3) and exhibited spring maxima consistent with periods of intensified biological activity and favourable thermal convection. Glucose, originating from plant detritus and microbial material, also showed coarse-mode dominance, with PM10 concentrations peaking in early spring (14.1 ± 18.9 ng m−3) and inter-monthly variability in PM2.5, with a notable July peak (4.7 ng m−3).
Supplementary Materials
Author Contributions
Funding
Institutional Review Board Statement
Informed Consent Statement
Data Availability Statement
Acknowledgments
Conflicts of Interest
References
- Lelieveld, J.; Hadjinicolaou, P.; Kostopoulou, E.; Giannakopoulos, C.; Pozzer, A.; Tanarhte, M.; Tyrlis, E. Model Projected Heat Extremes and Air Pollution in the Eastern Mediterranean and Middle East in the Twenty-First Century. Reg. Environ. Change 2014, 14, 1937–1949. [Google Scholar] [CrossRef]
- Karanasiou, A.; Querol, X.; Alastuey, A.; Perrino, C.; de la Rosa, J.; Berti, G.; Artiñano, B.; Sunyer, J.; Forastiere, F.; Stafoggia, M.; et al. PM Components and Sources across Mediterranean Countries: Results from the Med-Particles Project. ISEE Conf. Abstr. 2013, 2013, 4972. [Google Scholar] [CrossRef]
- Salameh, D.; Detournay, A.; Pey, J.; Pérez, N.; Liguori, F.; Saraga, D.; Bove, M.C.; Brotto, P.; Cassola, F.; Massabò, D.; et al. PM2.5 Chemical Composition in Five European Mediterranean Cities: A 1-Year Study. Atmos. Res. 2015, 155, 102–117. [Google Scholar] [CrossRef]
- Ealo, M.; Alastuey, A.; Pérez, N.; Ripoll, A.; Querol, X.; Pandolfi, M. Impact of Aerosol Particle Sources on Optical Properties in Urban, Regional and Remote Areas in the North-Western Mediterranean. Atmos. Chem. Phys. 2018, 18, 1149–1169. [Google Scholar] [CrossRef]
- Chiapello, I.; Formenti, P.; Mbemba Kabuiku, L.; Ducos, F.; Tanré, D.; Dulac, F. Aerosol Optical Properties Derived from POLDER-3/PARASOL (2005–2013) over the Western Mediterranean Sea-Part 2: Spatial Distribution and Temporal Variability. Atmos. Chem. Phys. 2021, 21, 6761–6784. [Google Scholar] [CrossRef]
- Gill, T.; Pauraitė, J.; Kalinauskaitė, A.; Byčenkienė, S.; Plauškaitė, K. Long-Term Study of Chemical Characteristics of Aerosol Compositions in the Rural Environment of Rūgšteliškis (Lithuania). Atmos. Pollut. Res. 2024, 15, 102048. [Google Scholar] [CrossRef]
- Huang, B.; Gan, T.; Pei, C.; Li, M.; Cheng, P.; Chen, D.; Cai, R.; Wang, Y.; Li, L.; Huang, Z.; et al. Size-Segregated Characteristics and Formation Mechanisms of Water-Soluble Inorganic Ions during Different Seasons in Heshan of Guangdong, China. Aerosol Air Qual. Res. 2020, 20, 1961–1973. [Google Scholar] [CrossRef]
- Chen, T.; Liu, J.; Ma, Q.; Chu, B.; Zhang, P.; Ma, J.; Liu, Y.; Zhong, C.; Liu, P.; Wang, Y.; et al. Measurement Report: Effects of Photochemical Aging on the Formation and Evolution of Summertime Secondary Aerosol in Beijing. Atmos. Chem. Phys. 2021, 21, 1341–1356. [Google Scholar] [CrossRef]
- Zalakeviciute, R.; Alexandrino, K.; Rybarczyk, Y.; Debut, A.; Vizuete, K.; Diaz, M. Seasonal Variations in PM10 Inorganic Composition in the Andean City. Sci. Rep. 2020, 10, 17049. [Google Scholar] [CrossRef]
- Xu, G.; Jiao, L.; Zhang, B.; Zhao, S.; Yuan, M.; Gu, Y.; Liu, J.; Tang, X. Spatial and Temporal Variability of the PM2.5/PM10 Ratio in Wuhan, Central China. Aerosol Air Qual. Res. 2017, 17, 741–751. [Google Scholar] [CrossRef]
- Kaskaoutis, D.G.; Liakakou, E.; Grivas, G.; Gerasopoulos, E.; Mihalopoulos, N.; Alastuey, A.; Dulac, F.; Pandolfi, M.; Sciare, J.; Titos, G. Chemical Composition and Levels of Concentrations of Aerosols in the Mediterranean; Springer International Publishing: Cham, Switzerland, 2023; ISBN 9783031127410. [Google Scholar]
- Putaud, J.P.; Van Dingenen, R.; Alastuey, A.; Bauer, H.; Birmili, W.; Cyrys, J.; Flentje, H.; Fuzzi, S.; Gehrig, R.; Hansson, H.C.; et al. A European Aerosol Phenomenology-3: Physical and Chemical Characteristics of Particulate Matter from 60 Rural, Urban, and Kerbside Sites across Europe. Atmos. Environ. 2010, 44, 1308–1320. [Google Scholar] [CrossRef]
- Querol, X.; Alastuey, A.; Pey, J.; Cusack, M.; Pérez, N.; Mihalopoulos, N.; Theodosi, C.; Gerasopoulos, E.; Kubilay, N.; Koçak, M. Variability in Regional Background Aerosols within the Mediterranean. Atmos. Chem. Phys. 2009, 9, 4575–4591. [Google Scholar] [CrossRef]
- Gerasopoulos, E.; Koulouri, E.; Kalivitis, N.; Kouvarakis, G.; Saarikoski, S.; Mäkelä, T.; Hillamo, R.; Mihalopoulos, N. Size-Segregated Mass Distributions of Aerosols over Eastern Mediterranean: Seasonal Variability and Comparison with AERONET Columnar Size-Distributions. Atmos. Chem. Phys. 2007, 7, 2551–2561. [Google Scholar] [CrossRef]
- Benchrif, A.; Tahri, M.; Guinot, B.; Chakir, E.M.; Zahry, F.; Bagdhad, B.; Bounakhla, M.; Cachier, H.; Costabile, F. Aerosols in Northern Morocco-2: Chemical Characterization and PMF Source Apportionment of Ambient PM2.5. Atmosphere 2022, 13, 1701. [Google Scholar] [CrossRef]
- Lemou, A.; Rabhi, L.; Merabet, H.; Ladji, R.; Nicolas, J.B.; Bonnaire, N.; Mustapha, M.A.; Dilmi, R.; Sciare, J.; Mihalopoulos, N.; et al. Chemical Characterization of Fine Particles (PM2.5) at a Coastal Site in the South Western Mediterranean during the ChArMex Experiment. Environ. Sci. Pollut. Res. 2020, 27, 20427–20445. [Google Scholar] [CrossRef]
- Koulouri, E.; Saarikoski, S.; Theodosi, C.; Markaki, Z.; Gerasopoulos, E.; Kouvarakis, G.; Mäkelä, T.; Hillamo, R.; Mihalopoulos, N. Chemical Composition and Sources of Fine and Coarse Aerosol Particles in the Eastern Mediterranean. Atmos. Environ. 2008, 42, 6542–6550. [Google Scholar] [CrossRef]
- Benchrif, A.; Guinot, B.; Bounakhla, M.; Cachier, H.; Damnati, B.; Baghdad, B. Aerosols in Northern Morocco: Input Pathways and Their Chemical Fingerprint. Atmos. Environ. 2018, 174, 140–147. [Google Scholar] [CrossRef]
- Bimenyimana, E.; Sciare, J.; Oikonomou, K.; Iakovides, M.; Pikridas, M.; Vasiliadou, E.; Savvides, C.; Mihalopoulos, N. Cross-Validation of Methods for Quantifying the Contribution of Local (Urban) and Regional Sources to PM2.5 Pollution: Application in the Eastern Mediterranean (Cyprus). Atmos. Environ. 2025, 343, 120975. [Google Scholar] [CrossRef]
- Pikridas, M.; Vrekoussis, M.; Sciare, J.; Kleanthous, S.; Vasiliadou, E.; Kizas, C.; Savvides, C.; Mihalopoulos, N. Spatial and Temporal (Short and Long-Term) Variability of Submicron, Fine and Sub-10 Μm Particulate Matter (PM1, PM2.5, PM10) in Cyprus. Atmos. Environ. 2018, 191, 79–93. [Google Scholar] [CrossRef]
- Remoundaki, E.; Papayannis, A.; Kassomenos, P.; Mantas, E.; Kokkalis, P.; Tsezos, M. Influence of Saharan Dust Transport Events on PM2.5 Concentrations and Composition over Athens. Water. Air. Soil Pollut. 2013, 224, 1373. [Google Scholar] [CrossRef]
- Cerro, J.C.; Cerdà, V.; Querol, X.; Alastuey, A.; Bujosa, C.; Pey, J. Variability of Air Pollutants, and PM Composition and Sources at a Regional Background Site in the Balearic Islands: Review of Western Mediterranean Phenomenology from a 3-Year Study. Sci. Total Environ. 2020, 717, 137177. [Google Scholar] [CrossRef] [PubMed]
- Benchrif, A.; Tahri, M.; Guinot, B.; Chakir, E.M.; Zahry, F.; Bagdhad, B.; Bounakhla, M.; Cachier, H. Aerosols in Northern Morocco (Part 3): The Application of Three Complementary Approaches towards a Better Understanding of PM10 Sources. J. Atmos. Chem. 2024, 81, 2. [Google Scholar] [CrossRef]
- Borlaza, L.J.; Weber, S.; Marsal, A.; Uzu, G.; Jacob, V.; Besombes, J.L.; Chatain, M.; Conil, S.; Jaffrezo, J.L. Nine-Year Trends of PM10sources and Oxidative Potential in a Rural Background Site in France. Atmos. Chem. Phys. 2022, 22, 8701–8723. [Google Scholar] [CrossRef]
- Bourcier, L.; Sellegri, K.; Chausse, P.; Pichon, J.M.; Laj, P. Seasonal Variation of Water-Soluble Inorganic Components in Aerosol Size-Segregated at the Puy de Dôme Station (1465 Ma.s.l.), France. J. Atmos. Chem. 2012, 69, 47–66. [Google Scholar] [CrossRef]
- Van Dingenen, R.; Raes, F.; Putaud, J.P.; Baltensperger, U.; Charron, A.; Facchini, M.C.; Decesari, S.; Fuzzi, S.; Gehrig, R.; Hansson, H.C.; et al. A European Aerosol Phenomenology-1: Physical Characteristics of Particulate Matter at Kerbside, Urban, Rural and Background Sites in Europe. Atmos. Environ. 2004, 38, 2561–2577. [Google Scholar] [CrossRef]
- Sekmoudi, I.; Tanarhte, M.; Bouzghiba, H.; Khomsi, K.; Idrissi, L.; El Jarmouni, M.; Géczi, G. Systematic Review of Air Pollution in Morocco: Status, Impacts, and Future Directions. Adv. Sustain. Syst. 2024, 8, 2400006. [Google Scholar] [CrossRef]
- Guinot, B.; Cachier, H.; Oikonomou, K.; Geochemical, K.O. Geochemical Perspectives from a New Aerosol Chemical Mass Closure To Cite This Version: And Physics Geochemical Perspectives from a New Aerosol Chemical Mass Closure. Atmos. Chem. Phys. 2007, 7, 12021–12055. [Google Scholar] [CrossRef]
- Lee, B.; Park, G. Characteristics of Heavy Metals in Airborne Particulate Matter on Misty and Clear Days. J. Hazard. Mater. 2010, 184, 406–416. [Google Scholar] [CrossRef]
- Xue, F.; Niu, H.; Hu, S.; Wu, C.; Zhang, C.; Gao, N.; Ren, X.; Li, S.; Hu, W.; Wang, J.; et al. Seasonal Variations and Source Apportionment of Carbonaceous Aerosol in PM2.5 from a Coal Mining City in the North China Plain. Energy Explor. Exploit. 2022, 40, 834–851. [Google Scholar] [CrossRef]
- Cachier, H.; Bremond, M.P.; Buat-Menard, P. Determination of Atmospheric Soot Carbon with a Sample Thermal Method. Tellus Ser. B Chem. Phys. Meteorol. 1989, 41, 379–390. [Google Scholar] [CrossRef]
- Seinfeld, J.H.; Pandis, S.N.; Noone, K. Atmospheric Chemistry and Physics: From Air Pollution to Climate Change. Phys. Today 1998, 51, 88–90. [Google Scholar] [CrossRef]
- Turpin, B.J.; Huntzicker, J.J. Secondary Formation of Organic Aerosol in the Los Angeles Basin: A Descriptive Analysis of Organic and Elemental Carbon Concentrations. Atmos. Environ. Part A Gen. Top. 1991, 25, 207–215. [Google Scholar] [CrossRef]
- Turpin, B.J.; Huntzicker, J.J. Identification of Secondary Organic Aerosol Episodes and Quantitation of Primary and Secondary Organic Aerosol Concentrations during SCAQS. Atmos. Environ. 1995, 29, 3527–3544. [Google Scholar] [CrossRef]
- Wu, C.; Zhen Yu, J. Evaluation of Linear Regression Techniques for Atmospheric Applications: The Importance of Appropriate Weighting. Atmos. Meas. Tech. 2018, 11, 1233–1250. [Google Scholar] [CrossRef]
- Sheoran, R.; Dumka, U.C.; Kaskaoutis, D.G.; Grivas, G.; Ram, K.; Prakash, J.; Hooda, R.K.; Tiwari, R.K.; Mihalopoulos, N. Chemical Composition and Source Apportionment of Total Suspended Particulate in the Central Himalayan Region. Atmosphere 2021, 12, 1228. [Google Scholar] [CrossRef]
- Day, M.C.; Zhang, M.; Pandis, S.N. Evaluation of the Ability of the EC Tracer Method to Estimate Secondary Organic Carbon. Atmos. Environ. 2015, 112, 317–325. [Google Scholar] [CrossRef]
- Salma, I.; Varga, P.T.; Vasanits, A.; Machon, A. Secondary Organic Carbon in Different Atmospheric Environments of a Continental Region and Seasons. Atmos. Res. 2022, 278, 106360. [Google Scholar] [CrossRef]
- Xu, H.; Guinot, B.; Shen, Z.; Ho, K.F.; Niu, X.; Xiao, S.; Huang, R.J.; Cao, J. Characteristics of Organic and Elemental Carbon in PM2.5 and PM0.25 in Indoor and Outdoor Environments of a Middle School: Secondary Formation of Organic Carbon and Sources Identification. Atmosphere 2015, 6, 361–379. [Google Scholar] [CrossRef]
- Zhao, P.; Dong, F.; Yang, Y.; He, D.; Zhao, X.; Zhang, W.; Yao, Q.; Liu, H. Characteristics of Carbonaceous Aerosol in the Region of Beijing, Tianjin, and Hebei, China. Atmos. Environ. 2013, 71, 389–398. [Google Scholar] [CrossRef]
- Wu, C.; Wu, D.; Yu, J.Z. Estimation and Uncertainty Analysis of Secondary Organic Carbon Using 1 Year of Hourly Organic and Elemental Carbon Data. J. Geophys. Res. Atmos. 2019, 124, 2774–2795. [Google Scholar] [CrossRef]
- Wu, C.; Wu, D.; Zhen Yu, J. Quantifying Black Carbon Light Absorption Enhancement with a Novel Statistical Approach. Atmos. Chem. Phys. 2018, 18, 289–309. [Google Scholar] [CrossRef]
- Wu, C.; Yu, J.Z. Determination of Primary Combustion Source Organic Carbon-to-Elemental Carbon (OC/EC) Ratio Using Ambient OC and EC Measurements: Secondary OC-EC Correlation Minimization Method. Atmos. Chem. Phys. 2016, 16, 5453–5465. [Google Scholar] [CrossRef]
- Draxler, R.R.; Rolph, G.D. HYSPLIT (HYbrid Single-Particle Lagrangian Integrated Trajectory) Model Access via NOAA ARL READY Website; NOAA Air Resources Laboratory: College Park, MD, USA, 2014; Volume 8. Available online: https://ready.arl.noaa.gov/HYSPLIT.php (accessed on 1 March 2022).
- Goel, V.; Hazarika, N.; Kumar, M.; Singh, V.; Thamban, N.M.; Tripathi, S.N. Variations in Black Carbon Concentration and Sources during COVID-19 Lockdown in Delhi. Chemosphere 2021, 270, 129435. [Google Scholar] [CrossRef]
- Deng, J.; Guo, H.; Zhang, H.; Zhu, J.; Wang, X.; Fu, P. Source Apportionment of Black Carbon Aerosols from Light Absorption Observation and Source-Oriented Modeling: An Implication in a Coastal City in China. Atmos. Chem. Phys. 2020, 20, 14419–14435. [Google Scholar] [CrossRef]
- R Development Core Team R Core Team. R: A Language and Environment for Statistical Computing; R Foundation for Statistical Computing, Vienna, Austria. 2020. Available online: https://www.r-project.org/ (accessed on 1 March 2021).
- Carslaw, D.C.; Ropkins, K. Openair-An R Package for Air Quality Data Analysis. Environ. Model. Softw. 2012, 27–28, 52–61. [Google Scholar] [CrossRef]
- Wickham, H. Ggplot2: Elegant Graphics for Data Analysis. J. Stat. Softw. 2009, 35, 160–167. [Google Scholar]
- Grolemund, G.; Wickham, H. Dates and Times Made Easy with Lubridate. J. Stat. Softw. 2011, 40, 1–25. [Google Scholar] [CrossRef]
- Wickham, H.; François, R.; Henry, L.; Müller, K.; Vaughan, D. Dplyr: A Grammar of Data Manipulation. CRAN Contrib. Packag. 2014.
- Svedova, B.; Ruzickova, J.; Kucbel, M.; Raclavska, H.; Raclavsky, K. Identification of Air Pollution by Macro-Tracers for Source Apportionment. IOP Conf. Ser. Earth Environ. Sci. 2017, 92, 012065. [Google Scholar] [CrossRef]
- Li, H.; He, Q.; Liu, X. Identification of Long-Range Transport Pathways and Potential Source Regions of Pm2.5 and Pm10 at Akedala Station, Central Asia. Atmosphere 2020, 11, 1183. [Google Scholar] [CrossRef]
- Blanco-Becerra, L.C.; Gáfaro-Rojas, A.I.; Rojas-Roa, N.Y. Influence of Precipitation Scavenging on the PM2.5/PM10 Ratio at the Kennedy Locality of Bogotá, Colombia. Rev. Fac. Ing. 2015, 2015, 58–65. [Google Scholar] [CrossRef]
- Bounakhla, Y.; Benchrif, A.; Costabile, F.; Tahri, M.; El Gourch, B.; Kafssaoui, E.; Hassan, E.; Zahry, F.; Bounakhla, M. Overview of PM10, PM2.5 and BC and Their Dependent Relationships with Meteorological Variables in an Urban Area in Northwestern Morocco. Atmosphere 2023, 14, 162. [Google Scholar] [CrossRef]
- Danek, T.; Weglinska, E.; Zareba, M. The Influence of Meteorological Factors and Terrain on Air Pollution Concentration and Migration: A Geostatistical Case Study from Krakow, Poland. Sci. Rep. 2022, 12, 11050. [Google Scholar] [CrossRef]
- Sugimoto, N.; Shimizu, A.; Matsui, I.; Nishikawa, M. A Method for Estimating the Fraction of Mineral Dust in Particulate Matter Using PM2.5-to-PM10 Ratios. Particuology 2016, 28, 114–120. [Google Scholar] [CrossRef]
- Singh, K.; Tiwari, S.; Jha, A.K.; Aggarwal, S.G.; Bisht, D.S.; Murty, B.P.; Khan, Z.H.; Gupta, P.K. Mass-Size Distribution of PM10 and Its Characterization of Ionic Species in Fine (PM2.5) and Coarse (PM10-2.5) Mode, New Delhi, India. Nat. Hazards 2013, 68, 775–789. [Google Scholar] [CrossRef]
- Allouche, Y.; Fadel, M.; Ferté, A.; Verdin, A.; Ledoux, F.; Courcot, D. Phenomenology of the Composition of PM2.5 at an Urban Site in Northern France. Atmosphere 2024, 15, 603. [Google Scholar] [CrossRef]
- Massoud, R.; Shihadeh, A.L.; Roumié, M.; Youness, M.; Gerard, J.; Saliba, N.; Zaarour, R.; Abboud, M.; Farah, W.; Saliba, N.A. Intraurban Variability of PM10 and PM2.5 in an Eastern Mediterranean City. Atmos. Res. 2011, 101, 893–901. [Google Scholar] [CrossRef]
- Zammit, C.; Bilocca, D.; Ruggieri, S.; Drago, G.; Perrino, C.; Canepari, S.; Balzan, M.; Montefort, S.; Viegi, G.; Cibella, F. Association between the Concentration and the Elemental Composition of Outdoor PM2.5 and Respiratory Diseases in Schoolchildren: A Multicenter Study in the Mediterranean Area. Atmosphere 2020, 11, 1290. [Google Scholar] [CrossRef]
- In’t Veld, M.; Alastuey, A.; Pandolfi, M.; Amato, F.; Pérez, N.; Reche, C.; Via, M.; Minguillón, M.C.; Escudero, M.; Querol, X. Compositional Changes of PM2.5 in NE Spain during 2009–2018: A Trend Analysis of the Chemical Composition and Source Apportionment. Sci. Total Environ. 2021, 795, 148728. [Google Scholar] [CrossRef] [PubMed]
- Titos, G.; del Águila, A.; Cazorla, A.; Lyamani, H.; Casquero-Vera, J.A.; Colombi, C.; Cuccia, E.; Gianelle, V.; Močnik, G.; Alastuey, A.; et al. Spatial and Temporal Variability of Carbonaceous Aerosols: Assessing the Impact of Biomass Burning in the Urban Environment. Sci. Total Environ. 2017, 578, 613–625. [Google Scholar] [CrossRef]
- Clemente, Á.; Galindo, N.; Nicolás, J.F.; Crespo, J.; Pastor, C.; Yubero, E. Local versus Regional Contributions to PM10 Levels in the Western Mediterranean. Aerosol Air Qual. Res. 2023, 23, 230218. [Google Scholar] [CrossRef]
- Theodosi, C.; Grivas, G.; Zarmpas, P.; Chaloulakou, A.; Mihalopoulos, N. Mass and Chemical Composition of Size-Segregated Aerosols (PM1, PM2.5, PM10) over Athens, Greece: Local versus Regional Sources. Atmos. Chem. Phys. 2011, 11, 11895–11911. [Google Scholar] [CrossRef]
- Saliba, N.A.; El Jam, F.; El Tayar, G.; Obeid, W.; Roumie, M. Origin and Variability of Particulate Matter (PM10 and PM2.5) Mass Concentrations over an Eastern Mediterranean City. Atmos. Res. 2010, 97, 106–114. [Google Scholar] [CrossRef]
- Oujidi, B.; Benchrif, A.; Tahri, M.; Zahry, F.; Bounakhla, M.; Bazairi, H.; Mhammdi, N.; Snoussi, M. Gaseous Pollutants and Particulate Matter in Ambient Air: First Field Experiment in an Urban Mediterranean Area (Nador, Morocco). Aerosol Air Qual. Res. 2023, 23, 220451. [Google Scholar] [CrossRef]
- Intergovernmental Panel on Climate Change (IPCC). Short-Lived Climate Forcers; Intergovernmental Panel on Climate Change (IPCC): Geneva, Switzerland, 2023; ISBN 9781009157896. [Google Scholar]
- Lelieveld, J.; Evans, J.S.; Fnais, M.; Giannadaki, D.; Pozzer, A. The Contribution of Outdoor Air Pollution Sources to Premature Mortality on a Global Scale. Nature 2015, 525, 367–371. [Google Scholar] [CrossRef] [PubMed]
- Liu, Y.N.; Zhong, L.H.; Han, L.H.; Yan, J. Emission of Gaseous Pollutants and Water-Soluble Inorganic Ions from Civil Fuel Flue Gas. China Environ. Sci. 2019, 39, 3225–3232. [Google Scholar]
- Ye, X.; Li, C.; Xia, Z.; Wang, Y.; Bian, Y.; Xiao, X.; Liao, S.; Zheng, J. Characteristics of Gaseous Pollutants and Fine Particulates from Diesel Forklifts. Acta Sci. Circumst. 2018, 38, 1392–1403. [Google Scholar] [CrossRef]
- Morin, S.; Savarino, J.; Frey, M.M.; Domine, F.; Jacobi, H.W.; Kaleschke, L.; Martins, J.M.F. Comprehensive Isotopic Composition of Atmospheric Nitrate in the Atlantic Ocean Boundary Layer from 65°S to 79°N. J. Geophys. Res. Atmos. 2009, 114, D05303. [Google Scholar] [CrossRef]
- Alvi, M.U.; Kistler, M.; Mahmud, T.; Shahid, I.; Alam, K.; Chishtie, F.; Hussain, R.; Kasper-Giebl, A. The Composition and Sources of Water Soluble Ions in PM10 at an Urban Site in the Indo-Gangetic Plain. J. Atmos. Solar-Terrestr. Phys. 2019, 196, 105142. [Google Scholar] [CrossRef]
- Wang, K.; Wang, W.; Li, L.; Li, J.; Wei, L.; Chi, W.; Hong, L.; Zhao, Q.; Jiang, J. Seasonal Concentration Distribution of PM1.0 and PM2.5 and a Risk Assessment of Bound Trace Metals in Harbin, China: Effect of the Species Distribution of Heavy Metals and Heat Supply. Sci. Rep. 2020, 10, 8160. [Google Scholar] [CrossRef]
- Park, S.S.; Cho, S.Y.; Jung, C.H.; Lee, K.H. Characteristics of Water-Soluble Inorganic Species in PM10 and PM2.5 at Two Coastal Sites during Spring in Korea. Atmos. Pollut. Res. 2016, 7, 370–383. [Google Scholar] [CrossRef]
- Huang, Y.; Zhang, L.; Peng, C.; Chen, Y.; Li, T.; Yang, F. Pollution Characteristics of Water-Soluble Inorganic Ions in PM2.5 from a Mountainous City in Southwest China. Atmosphere 2022, 13, 1713. [Google Scholar] [CrossRef]
- Farrell, S.L.; Pye, H.O.T.; Gilliam, R.; Pouliot, G.; Huff, D.; Sarwar, G.; Vizuete, W.; Briggs, N.; Duan, F.; Ma, T.; et al. Predicted Impacts of Heterogeneous Chemical Pathways on Particulate Sulfur over Fairbanks (Alaska), the Northern Hemisphere, and the Contiguous United States. Atmos. Chem. Phys. 2025, 25, 3287–3312. [Google Scholar] [CrossRef] [PubMed]
- Masiol, M.; Squizzato, S.; Formenton, G.; Khan, M.B.; Hopke, P.K.; Nenes, A.; Pandis, S.N.; Tositti, L.; Benetello, F.; Visin, F.; et al. Hybrid Multiple-Site Mass Closure and Source Apportionment of PM2.5 and Aerosol Acidity at Major Cities in the Po Valley. Sci. Total Environ. 2020, 704, 135287. [Google Scholar] [CrossRef] [PubMed]
- Jeong, C.H.; Herod, D.; Dabek-Zlotorzynska, E.; Ding, L.; McGuire, M.L.; Evans, G. Identification of the Sources and Geographic Origins of Black Carbon Using Factor Analysis at Paired Rural and Urban Sites. Environ. Sci. Technol. 2013, 47, 8462–8470. [Google Scholar] [CrossRef]
- Alwadei, M.; Srivastava, D.; Alam, M.S.; Shi, Z.; Bloss, W.J. Chemical Characteristics and Source Apportionment of Particulate Matter (PM2.5) in Dammam, Saudi Arabia: Impact of Dust Storms. Atmos. Environ. X 2022, 14, 100164. [Google Scholar] [CrossRef]
- Hama, S.; Ouchen, I.; Wyche, K.P.; Cordell, R.L.; Monks, P.S. Carbonaceous Aerosols in Five European Cities: Insights into Primary Emissions and Secondary Particle Formation. Atmos. Res. 2022, 274, 106180. [Google Scholar] [CrossRef]
- Singh, S.; Kumar, K.; Mandal, P.; Kulshrestha, M.J. Seasonal Trends and Source Apportionment of Carbonaceous Aerosols in PM10 at Central Delhi, India. MAPAN 2023, 38, 959–973. [Google Scholar] [CrossRef]
- Liu, F.; Peng, L.; Dai, S.; Bi, X.; Shi, M. Size-Segregated Characteristics of Organic Carbon (OC) and Elemental Carbon (EC) in Marine Aerosol in the Northeastern South China Sea. Atmosphere 2023, 14, 661. [Google Scholar] [CrossRef]
- Cesari, D.; Merico, E.; Dinoi, A.; Marinoni, A.; Bonasoni, P.; Contini, D. Seasonal Variability of Carbonaceous Aerosols in an Urban Background Area in Southern Italy. Atmos. Res. 2018, 200, 97–108. [Google Scholar] [CrossRef]
- Deabji, N.; Fomba, K.W.; dos Santos Souza, E.J.; Mellouki, A.; Herrmann, H. Influence of Anthropogenic Activities on Metals, Sugars and PAHs in PM10 in the City of Fez, Morocco: Implications on Air Quality. Environ. Sci. Pollut. Res. 2024, 31, 25238–25257. [Google Scholar] [CrossRef] [PubMed]
- Cui, H.; Mao, P.; Zhao, Y.; Nielsen, C.P.; Zhang, J. Patterns in Atmospheric Carbonaceous Aerosols in China: Emission Estimates and Observed Concentrations. Atmos. Chem. Phys. 2015, 15, 8657–8678. [Google Scholar] [CrossRef]
- Kaskaoutis, D.G.; Liakakou, E.; Grivas, G.; Gerasopoulos, E.; Mihalopoulos, N.; Alastuey, A.; Dulac, F.; Pandolfi, M.; Sciare, J.; Titos, G. Diurnal to Seasonal Variability of Aerosols Above the Mediterranean; Springer International Publishing: Cham, Switzerland, 2023; ISBN 9783031127410. [Google Scholar]
- Galindo, N.; Yubero, E.; Nicolás, J.F.; Varea, M.; Crespo, J. Characterization of Metals in PM1 and PM10 and Health Risk Evaluation at an Urban Site in the Western Mediterranean. Chemosphere 2018, 201, 243–250. [Google Scholar] [CrossRef]
- Paraskevopoulou, D.; Liakakou, E.; Gerasopoulos, E.; Theodosi, C.; Mihalopoulos, N. Long-Term Characterization of Organic and Elemental Carbon in the PM2.5 Fraction: The Case of Athens, Greece. Atmos. Chem. Phys. 2014, 14, 13313–13325. [Google Scholar] [CrossRef]
- Xie, F.; Guo, L.; Wang, Z.; Tian, Y.; Yue, C.; Zhou, X.; Wang, W.; Xin, J.; Lü, C. Geochemical Characteristics and Socioeconomic Associations of Carbonaceous Aerosols in Coal-Fueled Cities with Significant Seasonal Pollution Pattern. Environ. Int. 2023, 179, 108179. [Google Scholar] [CrossRef]
- Yuan, Z.B.; Yu, J.Z.; Lau, A.K.H.; Louie, P.K.K.; Fung, J.C.H. Application of Positive Matrix Factorization in Estimating Aerosol Secondary Organic Carbon in Hong Kong and Its Relationship with Secondary Sulfate. Atmos. Chem. Phys. 2006, 6, 25–34. [Google Scholar] [CrossRef]
- Khan, M.B.; Masiol, M.; Formenton, G.; Di Gilio, A.; de Gennaro, G.; Agostinelli, C.; Pavoni, B. Carbonaceous PM2.5 and Secondary Organic Aerosol across the Veneto Region (NE Italy). Sci. Total Environ. 2016, 542, 172–181. [Google Scholar] [CrossRef]
- Kawichai, S.; Prapamontol, T.; Cao, F.; Song, W.; Zhang, Y.L. Characteristics of Carbonaceous Species of PM2.5 in Chiang Mai City, Thailand. Aerosol Air Qual. Res. 2024, 24, 230269. [Google Scholar] [CrossRef]
- Zhou, S.; Wang, Z.; Gao, R.; Xue, L.; Yuan, C.; Wang, T.; Gao, X.; Wang, X.; Nie, W.; Xu, Z.; et al. Formation of Secondary Organic Carbon and Long-Range Transport of Carbonaceous Aerosols at Mount Heng in South China. Atmos. Environ. 2012, 63, 203–212. [Google Scholar] [CrossRef]
- Yttri, K.E.; Aas, W.; Bjerke, A.; Cape, J.N.; Cavalli, F.; Ceburnis, D.; Dye, C.; Emblico, L.; Facchini, M.C.; Forster, C.; et al. Elemental and Organic Carbon in PM10: A One Year Measurement Campaign within the European Monitoring and Evaluation Programme EMEP. Atmos. Chem. Phys. 2007, 7, 5711–5725. [Google Scholar] [CrossRef]
- Herrera Murillo, J.; Rojas Marin, J.F.; Rodriguez Roman, S.; Beita Guerrero, V.H.; Solorzano Arias, D.; Campos Ramos, A.; Cardenas Gonzalez, B.; Gibson Baumgardner, D. Temporal and Spatial Variations in Organic and Elemental Carbon Concentrations in PM10/PM2.5 in the Metropolitan Area of Costa Rica, Central America. Atmos. Pollut. Res. 2013, 4, 53–63. [Google Scholar] [CrossRef]
- Nicolás, J.F.; Castañer, R.; Crespo, J.; Yubero, E.; Galindo, N.; Pastor, C. Seasonal Variability of Aerosol Absorption Parameters at a Remote Site with High Mineral Dust Loads. Atmos. Res. 2018, 210, 100–109. [Google Scholar] [CrossRef]
- Gonçalves, C.; Rienda, I.C.; Pina, N.; Gama, C.; Nunes, T.; Tchepel, O.; Alves, C. Pm10-Bound Sugars: Chemical Composition, Sources and Seasonal Variations. Atmosphere 2021, 12, 194. [Google Scholar] [CrossRef]
- Pio, C.A.; Legrand, M.; Alves, C.A.; Oliveira, T.; Afonso, J.; Caseiro, A.; Puxbaum, H.; Sanchez-Ochoa, A.; Gelencsér, A. Chemical Composition of Atmospheric Aerosols during the 2003 Summer Intense Forest Fire Period. Atmos. Environ. 2008, 42, 7530–7543. [Google Scholar] [CrossRef]
- Xu, S.; Ren, L.; Lang, Y.; Hou, S.; Ren, H.; Wei, L.; Wu, L.; Deng, J.; Hu, W.; Pan, X.; et al. Molecular Markers of Biomass Burning and Primary Biological Aerosols in Urban Beijing: Size Distribution and Seasonal Variation. Atmos. Chem. Phys. 2020, 20, 3623–3644. [Google Scholar] [CrossRef]
- Theodosi, C.; Panagiotopoulos, C.; Nouara, A.; Zarmpas, P.; Nicolaou, P.; Violaki, K.; Kanakidou, M.; Sempéré, R.; Mihalopoulos, N. Sugars in Atmospheric Aerosols over the Eastern Mediterranean. Prog. Oceanogr. 2018, 163, 70–81. [Google Scholar] [CrossRef]
- Nguyen, D.L.; Czech, H.; Pieber, S.M.; Schnelle-Kreis, J.; Steinbacher, M.; Orasche, J.; Henne, S.; Popovicheva, O.B.; Abbaszade, G.; Engling, G.; et al. Carbonaceous Aerosol Composition in Air Masses Influenced by Large-Scale Biomass Burning: A Case Study in Northwestern Vietnam. Atmos. Chem. Phys. 2021, 21, 8293–8312. [Google Scholar] [CrossRef]
- IEA Clean Energy Technology Assessment Methodology Pilot Study Morocco; OECD/IEA: Paris, France, 2016; pp. 1–69. Available online: https://iea.blob.core.windows.net/assets/34705b9c-8bd5-45c4-ba33-4fe72b6819e7/PartnerCountrySeriesCleanEnergyTechnologyAssessmentMethodologyPilotStudyMorocco.pdf (accessed on 1 July 2025).
- Li, Q.; Zhang, K.; Li, R.; Yang, L.; Yi, Y.; Liu, Z.; Zhang, X.; Feng, J.; Wang, Q.; Wang, W.; et al. Underestimation of Biomass Burning Contribution to PM2.5 Due to Its Chemical Degradation Based on Hourly Measurements of Organic Tracers: A Case Study in the Yangtze River Delta (YRD) Region, China. Sci. Total Environ. 2023, 872, 162071. [Google Scholar] [CrossRef]
- Sang, X.F.; Gensch, I.; Kammer, B.; Khan, A.; Kleist, E.; Laumer, W.; Schlag, P.; Schmitt, S.H.; Wildt, J.; Zhao, R.; et al. Chemical Stability of Levoglucosan: An Isotopic Perspective. Geophys. Res. Lett. 2016, 43, 5419–5424. [Google Scholar] [CrossRef]
- Khedidji, S.; Müller, K.; Rabhi, L.; Spindler, G.; Fomba, K.W.; van Pinxteren, D.; Yassaa, N.; Herrmann, H. Chemical Characterization of Marine Aerosols in a South Mediterranean Coastal Area Located in Bou Ismaïl, Algeria. Aerosol Air Qual. Res. 2020, 20, 2448–2473. [Google Scholar] [CrossRef]
- Reche, C.; Viana, M.; Amato, F.; Alastuey, A.; Moreno, T.; Hillamo, R.; Teinilä, K.; Saarnio, K.; Seco, R.; Peñuelas, J.; et al. Biomass Burning Contributions to Urban Aerosols in a Coastal Mediterranean City. Sci. Total Environ. 2012, 427, 175–190. [Google Scholar] [CrossRef]
- Becerril-Valle, M.; Coz, E.; Prévôt, A.S.H.; Močnik, G.; Pandis, S.N.; Sánchez de la Campa, A.M.; Alastuey, A.; Díaz, E.; Pérez, R.M.; Artíñano, B. Characterization of Atmospheric Black Carbon and Co-Pollutants in Urban and Rural Areas of Spain. Atmos. Environ. 2017, 169, 36–53. [Google Scholar] [CrossRef]
- Oliveira, C.; Pio, C.; Alves, C.; Evtyugina, M.; Santos, P.; Gonçalves, V.; Nunes, T.; Silvestre, A.J.D.; Palmgren, F.; Wåhlin, P.; et al. Seasonal Distribution of Polar Organic Compounds in the Urban Atmosphere of Two Large Cities from the North and South of Europe. Atmos. Environ. 2007, 41, 5555–5570. [Google Scholar] [CrossRef]
- Waked, A.; Afif, C.; Formenti, P.; Chevaillier, S.; El-Haddad, I.; Doussin, J.F.; Borbon, A.; Seigneur, C. Characterization of Organic Tracer Compounds in PM2.5 at a Semi-Urban Site in Beirut, Lebanon. Atmos. Res. 2014, 143, 85–94. [Google Scholar] [CrossRef]
- Yttri, K.E.; Dye, C.; Slørdal, L.H.; Braathen, O.A. Quantification of Monosaccharide Anhydrides by Liquid Chromatography Combined with Mass Spectrometry: Application to Aerosol Samples from an Urban and a Suburban Site Influenced by Small-Scale Wood Burning. J. Air Waste Manag. Assoc. 2005, 55, 1169–1177. [Google Scholar] [CrossRef] [PubMed]
- Massimi, L.; Simonetti, G.; Buiarelli, F.; Di Filippo, P.; Pomata, D.; Riccardi, C.; Ristorini, M.; Astolfi, M.L.; Canepari, S. Spatial Distribution of Levoglucosan and Alternative Biomass Burning Tracers in Atmospheric Aerosols, in an Urban and Industrial Hot-Spot of Central Italy. Atmos. Res. 2020, 239, 104904. [Google Scholar] [CrossRef]
- Lee, J.J.; Engling, G.; Candice Lung, S.C.; Lee, K.Y. Particle Size Characteristics of Levoglucosan in Ambient Aerosols from Rice Straw Burning. Atmos. Environ. 2008, 42, 8300–8308. [Google Scholar] [CrossRef]
- Petit, J.E.; Pallarès, C.; Favez, O.; Alleman, L.Y.; Bonnaire, N.; Rivière, E. Sources and Geographical Origins of PM10 in Metz (France) Using Oxalate as a Marker of Secondary Organic Aerosols by Positive Matrix Factorization Analysis. Atmosphere 2019, 10, 370. [Google Scholar] [CrossRef]
- Belis, C.A.; Larsen, B.R.; Amato, F.; Haddad, I.E.; Favez, O.; Harrison, R.M.; Hopke, P.K.; Nava, S.; Paatero, P.; Prévôt, A.; et al. European Guide on Air Pollution Source Apportionment with Receptor Models; European Commission, Joint Research Centre: Ispra, Italy, 2014; ISBN 9789279325137. [Google Scholar]
- Nirmalkar, J.; Deb, M.K.; Tsai, Y.I.; Deshmukh, D.K. Arabitol and Mannitol as Tracer for Fungal Contribution to Size-Differentiated Particulate Matter of Rural Atmospheric Aerosols. Int. J. Environ. Sci. Dev. 2015, 6, 460–463. [Google Scholar] [CrossRef]
- Samaké, A.; Jaffrezo, J.-L.; Favez, O.; Weber, S.; Jacob, V.; Canete, T.; Albinet, A.; Charron, A.; Riffault, V.; Perdrix, E.; et al. Arabitol, Mannitol, and Glucose as Tracers of Primary Biogenic Organic Aerosol: The Influence of Environmental Factors on Ambient Air Concentrations and Spatial Distribution over France. Atmos. Chem. Phys. 2019, 19, 11013–11030. [Google Scholar] [CrossRef]
- Waked, A.; Favez, O.; Alleman, L.Y.; Piot, C.; Petit, J.-E.; Delaunay, T.; Verlinden, E.; Golly, B.; Besombes, J.-L.; Jaffrezo, J.-L.; et al. Source Apportionment of PM10 in a North-Western Europe Regional Urban Background Site (Lens, France) Using Positive Matrix Factorization and Including Primary Biogenic Emissions. Atmos. Chem. Phys. 2014, 14, 3325–3346. [Google Scholar] [CrossRef]
- Ledoux, F.; Roche, C.; Delmaire, G.; Roussel, G.; Favez, O.; Fadel, M.; Courcot, D. Measurement Report: A One-Year Study to Estimate Maritime Contributions to PM10 in a Coastal Area in Northern France. Atmos. Chem. Phys. 2023, 23, 8607–8622. [Google Scholar] [CrossRef]
- Samaké, A.; Jaffrezo, J.-L.; Favez, O.; Weber, S.; Jacob, V.; Albinet, A.; Riffault, V.; Perdrix, E.; Waked, A.; Golly, B.; et al. Polyols and Glucose Particulate Species as Tracers of Primary Biogenic Organic Aerosols at 28 French Sites. Atmos. Chem. Phys. 2019, 19, 3357–3374. [Google Scholar] [CrossRef]
- Carvalho, A.; Pio, C.; Santos, C. Water-Soluble Hydroxylated Organic Compounds in German and Finnish Aerosols. Atmos. Environ. 2003, 37, 1775–1783. [Google Scholar] [CrossRef]







| Disclaimer/Publisher’s Note: The statements, opinions and data contained in all publications are solely those of the individual author(s) and contributor(s) and not of MDPI and/or the editor(s). MDPI and/or the editor(s) disclaim responsibility for any injury to people or property resulting from any ideas, methods, instructions or products referred to in the content. | 
© 2025 by the authors. Licensee MDPI, Basel, Switzerland. This article is an open access article distributed under the terms and conditions of the Creative Commons Attribution (CC BY) license (https://creativecommons.org/licenses/by/4.0/).
Share and Cite
Benchrif, A.; Tahri, M.; Khalfaoui, O.; Baghdad, B.; Bounakhla, M.; Cachier, H. Aerosols in Northern Morocco (Part 4): Seasonal Chemical Signatures of PM2.5 and PM10. Atmosphere 2025, 16, 982. https://doi.org/10.3390/atmos16080982
Benchrif A, Tahri M, Khalfaoui O, Baghdad B, Bounakhla M, Cachier H. Aerosols in Northern Morocco (Part 4): Seasonal Chemical Signatures of PM2.5 and PM10. Atmosphere. 2025; 16(8):982. https://doi.org/10.3390/atmos16080982
Chicago/Turabian StyleBenchrif, Abdelfettah, Mounia Tahri, Otmane Khalfaoui, Bouamar Baghdad, Moussa Bounakhla, and Hélène Cachier. 2025. "Aerosols in Northern Morocco (Part 4): Seasonal Chemical Signatures of PM2.5 and PM10" Atmosphere 16, no. 8: 982. https://doi.org/10.3390/atmos16080982
APA StyleBenchrif, A., Tahri, M., Khalfaoui, O., Baghdad, B., Bounakhla, M., & Cachier, H. (2025). Aerosols in Northern Morocco (Part 4): Seasonal Chemical Signatures of PM2.5 and PM10. Atmosphere, 16(8), 982. https://doi.org/10.3390/atmos16080982
 
        


 
       