Evaluation Model of Climatic Suitability for Olive Cultivation in Central Longnan, China
Abstract
1. Introduction
2. Materials and Methods
2.1. Study Area
2.2. Data and Methods
3. Results
3.1. Identification of Key Growth Stages Affecting the Climate and Physicochemical Quality of Longnan Olive Oil
3.2. Quality Grading of Longnan Olive Oil
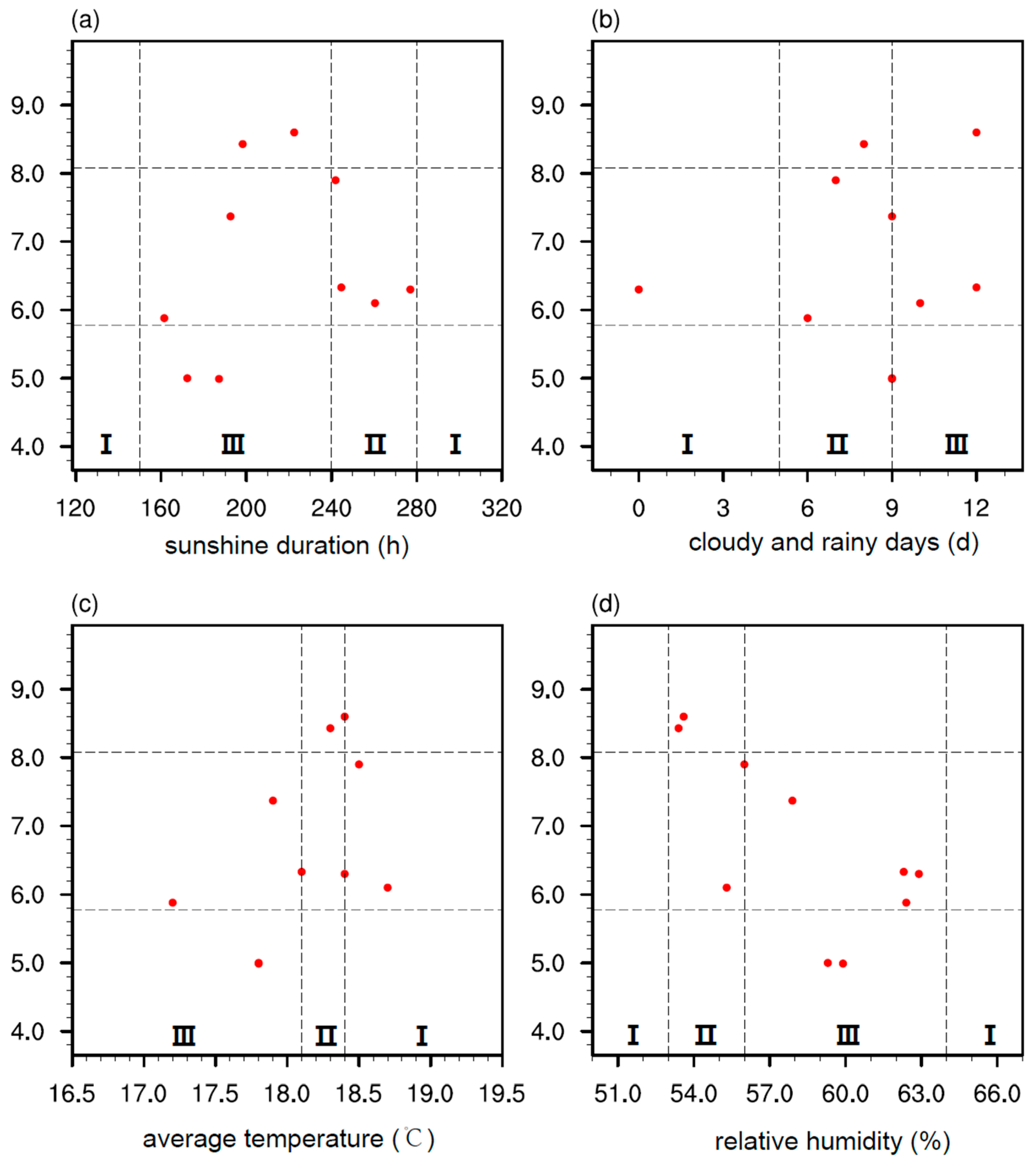
3.3. Choice of Thresholds for Climatic Suitability Indicators
3.4. The Climate Suitability Evaluation Model for Olive Oil
3.5. Model Application
3.6. Applicability in Dabao Planting Base
4. Discussion
5. Conclusions
- (1)
- From August to November is the primary stage for olive fruit expansion to maturation and harvesting, and it is also the critical period for quality formation. Among the 42 candidate meteorological factors, the cumulative sunshine duration during the fruit coloring period to maturity period (September to October), the average temperature during the fruit coloring period to harvesting period (September to October), the number of cloudy and rainy days during the harvesting period (October 21 to November 20), and the relative humidity during the fruit setting period to fruit expansion period (June to August) show high correlation with the formation of key olive oil qualities. These factors are important for the olive tree functions and the growth of the olive fruit; thus, these factors are identified as the key meteorological factors influencing olive oil quality formation.
- (2)
- Based on the four key factors mentioned above, a climatic suitability evaluation model for Longnan olive oil was constructed and the climatic suitability index Iy was developed. An evaluation of the model index from 2014 to 2023 revealed that over the past decade, the match rate between suitable climate conditions and years with “Excellent” olive oil quality was 83.3%. The match rates for other quality grades were also above 80%. It is verified that the model is applicable in the Dabao planting base in Longnan. Therefore, the Iy during the critical growth period represents a good indicator for the quality grade of olive oil at harvest. The model is applicable globally by calibrating weights via PCA using local meteorological data and cultivar-specific phenology data.
- (3)
- Through the analysis of the Iy index from 1991 to 2023, it was found that over the past 32 years, there were 29 years (87.9%) with climatic conditions suitable or moderately suitable for olive cultivation. Especially in the most recent decade, this figure reached 100%. This indicates that selecting the Longnan, Gansu as a specialized olive oil production area has significant scientific and demonstrative value. However, it is explicitly noted that genetic improvements, agricultural inputs, and storage techniques may have improved the olive quality, particularly in recent years.
Supplementary Materials
Author Contributions
Funding
Institutional Review Board Statement
Informed Consent Statement
Data Availability Statement
Conflicts of Interest
Abbreviations
| Ac | Acidity value |
| Cr | Cloudy and rainy days |
| Iy | The yearly comprehensive climate quality index |
| Li | Linoleic acid |
| Pe | Peroxide value |
| Rh | Relative humidity |
| Ss | Sunshine duration |
| T | Average temperature |
References
- Kong, W.; Han, R.; Liu, N.; Bai, W.; Ma, J.; Bai, X.; Liang, J.; Wang, J.; Zhang, J. Dynamic Assessment of the Fruit Quality of Olives Cultivated in Longnan (China) during Ripening. Sci. Hortic. 2019, 253, 8–16. [Google Scholar] [CrossRef]
- Wang, J.; Ma, L.; Gómez-del-Campo, M.; Zhang, D.; Deng, Y.; Jia, Z. Youth Tree Behavior of Olive (Olea europaea L.) Cultivars in Wudu, China: Cold and Drought Resistance, Growth, Fruit Production, and Oil Quality. Sci. Hortic. 2018, 236, 106–122. [Google Scholar] [CrossRef]
- Wang, J.; Zhang, D.; Farooqi, T.J.A.; Ma, L.; Deng, Y.; Jia, Z. The Olive (Olea europaea L.) Industry in China: Its Status, Opportunities and Challenges. Agrofor. Syst. 2019, 93, 395–417. [Google Scholar] [CrossRef]
- Grattan, S.R.; Berenguer, M.J.; Connell, J.H.; Polito, V.S.; Vossen, P.M. Olive Oil Production as Influenced by Different Quantities of Applied Water. Agric. Water Manag. 2006, 85, 133–140. [Google Scholar] [CrossRef]
- Rallo, L.; Díez, C.M.; Morales-Sillero, A.; Miho, H.; Priego-Capote, F.; Rallo, P. Quality of Olives: A Focus on Agricultural Preharvest Factors. Sci. Hortic. 2018, 233, 491–509. [Google Scholar] [CrossRef]
- Fraga, H.; Pinto, J.G.; Viola, F.; Santos, J.A. Climate Change Projections for Olive Yields in the Mediterranean Basin. Int. J. Climatol. 2020, 40, 769–781. [Google Scholar] [CrossRef]
- Fraga, H.; Moriondo, M.; Leolini, L.; Santos, J.A. Mediterranean Olive Orchards under Climate Change: A Review of Future Impacts and Adaptation Strategies. Agronomy 2021, 11, 56. [Google Scholar] [CrossRef]
- Gómez-Rico, A.; Salvador, M.D.; Moriana, A.; Pérez, D.; Olmedilla, N.; Ribas, F.; Fregapane, G. Influence of Different Irrigation Strategies in a Traditional Cornicabra Cv. Olive Orchard on Virgin Olive Oil Composition and Quality. Food Chem. 2007, 100, 568–578. [Google Scholar] [CrossRef]
- Salomone, R.; Ioppolo, G. Environmental Impacts of Olive Oil Production: A Life Cycle Assessment Case Study in the Province of Messina (Sicily). J. Clean. Prod. 2012, 28, 88–100. [Google Scholar] [CrossRef]
- He, Q.; Zhou, G. The Climatic Suitability for Maize Cultivation in China. Chin. Sci. Bull. 2012, 57, 395–403. [Google Scholar] [CrossRef]
- Pan, Y.; Yang, R.; Qiu, J.; Wang, J.; Wu, J. Forty-Year Spatio-Temporal Dynamics of Agricultural Climate Suitability in China Reveal Shifted Major Crop Production Areas. CATENA 2023, 226, 107073. [Google Scholar] [CrossRef]
- Viola, F.; Caracciolo, D.; Pumo, D.; Noto, L.V.; Loggia, G.L. Future Climate Forcings and Olive Yield in a Mediterranean Orchard. Water 2014, 6, 1562–1580. [Google Scholar] [CrossRef]
- Wu, D.; Wang, P.; Huo, Z.; Yuan, X.; Jiang, H.; Yang, J.; Tang, J.; Ma, Y. Changes in Climate Suitability for Oil-Tea (C. Oleifera Abel) Production in China under Historical and Future Climate Conditions. Agric. For. Meteorol. 2022, 316, 108843. [Google Scholar] [CrossRef]
- Arenas-Castro, S.; Gonçalves, J.F.; Moreno, M.; Villar, R. Projected Climate Changes Are Expected to Decrease the Suitability and Production of Olive Varieties in Southern Spain. Sci. Total Environ. 2020, 709, 136161. [Google Scholar] [CrossRef]
- Özdel, M.M.; Ustaoğlu, B.; Cürebal, İ. Modeling of the Potential Distribution Areas Suitable for Olive (Olea europaea L.) in Türkiye from a Climate Change Perspective. Agriculture 2024, 14, 1629. [Google Scholar] [CrossRef]
- Verma, S.; Singh, A.; Pradhan, S.S.; Kushuwaha, M. Impact of Climate Change on Agriculture: A Review. Int. J. Environ. Clim. Change 2024, 14, 615–620. [Google Scholar] [CrossRef]
- Lv, T.; Peng, S.; Liu, B.; Liu, Y.; Ding, Y. Planting Suitability of China’s Main Grain Crops under Future Climate Change. Field Crops Res. 2023, 302, 109112. [Google Scholar] [CrossRef]
- Ozalp, A.Y.; Akinci, H. Evaluation of Land Suitability for Olive (Olea europaea L.) Cultivation Using the Random Forest Algorithm. Agriculture 2023, 13, 1208. [Google Scholar] [CrossRef]
- Bilgilioğlu, S.S. Land Suitability Assessment for Olive Cultivation Using GIS and Multi-Criteria Decision-Making in Mersin City, Turkey. Arab. J. Geosci. 2021, 14, 2434. [Google Scholar] [CrossRef]
- Wen, X.; Wu, X.; Gao, M. Spatiotemporal Variability of Temperature and Precipitation in Gansu Province (Northwest China) during 1951–2015. Atmos. Res. 2017, 197, 132–149. [Google Scholar] [CrossRef]
- GB/T 23347-2021; Olive Oil and Olive Pomace Oil. National Standardization Administration: Beijing, China, 2021. (In Chinese)
- Pérez-López, D.; Ribas, F.; Moriana, A.; Rapoport, H.F.; De Juan, A. Influence of Temperature on the Growth and Development of Olive (Olea europaea L.) Trees. J. Hortic. Sci. Biotechnol. 2008, 83, 171–176. [Google Scholar] [CrossRef]
- Gratsea, M.; Varotsos, K.V.; López-Nevado, J.; López-Feria, S.; Giannakopoulos, C. Assessing the Long-Term Impact of Climate Change on Olive Crops and Olive Fly in Andalusia, Spain, through Climate Indices and Return Period Analysis. Clim. Serv. 2022, 28, 100325. [Google Scholar] [CrossRef]
- Holzkämper, A.; Calanca, P.; Fuhrer, J. Identifying Climatic Limitations to Grain Maize Yield Potentials Using a Suitability Evaluation Approach. Agric. For. Meteorol. 2013, 168, 149–159. [Google Scholar] [CrossRef]
- Góm Gourdji, S.; Läderach, P.; Valle, A.M.; Martinez, C.Z.; Lobell, D.B. Historical Climate Trends, Deforestation, and Maize and Bean Yields in Nicaragua. Agric. For. Meteorol. 2015, 200, 270–281. [Google Scholar] [CrossRef]
- Gómez, J.A.; Giráldez, J.V.; Fereres, E. Rainfall Interception by Olive Trees in Relation to Leaf Area. Agric. Water Manag. 2001, 49, 65–76. [Google Scholar] [CrossRef]
- Martins, S.; Pereira, S.; Dinis, L.-T.; Brito, C. Enhancing Olive Cultivation Resilience: Sustainable Long-Term and Short-Term Adaptation Strategies to Alleviate Climate Change Impacts. Horticulturae 2024, 10, 1066. [Google Scholar] [CrossRef]










| Meteorological Factors | Acidity Value (mg/g) | Linoleic Acid (%) | Peroxide Value (g/100 g) |
|---|---|---|---|
| Sunshine duration (early September to late October) | 0.749 * | 0.678 * | |
| Sunshine duration (late October to mid November) | 0.796 ** | ||
| Cloudy and rainy days (late October to mid November) | −0.775 * | ||
| Average temperature (early September to late October) | 0.680 * | ||
| Average temperature (early June to late August) | 0.721 * | ||
| Relative humidity (early June to late August) | −0.691 * | ||
| Average temperature (early July to mid September) | 0.655 * | ||
| Relative humidity (early July to mid September) | −0.680 * |
| Year | Acidity Value (mg/g) | Linoleic Acid (%) | Peroxide Value (g/100 g) |
|---|---|---|---|
| 2013 | 1.0 | 6.3 | 0.070 |
| 2014 | 0.57 | 7.9 | 0.066 |
| 2015 | 0.82 | 6.1 | 0.150 |
| 2016 | 0.10 | 8.6 | 0.088 |
| 2017 | 0.34 | 5 | 0.052 |
| 2018 | 0.28 | 6.33 | 0.087 |
| 2019 | 0.35 | 4.99 | 0.056 |
| 2020 | 0.42 | 5.88 | 0.049 |
| 2021 | 0.34 | 7.37 | 0.058 |
| 2022 | 0.77 | 8.43 | 0.046 |
| Grade | Acidity Value (mg/g) | Linoleic Acid (%) | Peroxide Value (g/100 g) |
|---|---|---|---|
| Excellent III | Ac ≤ 0.40 | 8.08 ≤ Li | Pe ≤ 0.07 |
| Good II | 0.40 Ac ≤ 0.85 | 5.77 < Li ≤ 8.08 | 0.07 < Pe ≤ 0.09 |
| Fair I | 0.85 < Ac | LI < 5.77 | 0.09 < Pe |
| Meteorological Factors | <III (Suitable) | II (Moderately Suitable) | I (General) |
|---|---|---|---|
| Sunshine duration (Ss) h | 150 < Ss ≤ 240 | 240 < Ss ≤ 280 | Ss > 280/Ss < 150 |
| Cloudy and rainy days (Cr) d | 9 ≤ Cr | 5 ≤ Cr < 9 | Cr < 5 |
| Average temperature (T) °C | T ≤ 18.1 | 18.1 < T ≤ 18.4 | 18.4 ≤ T |
| Relative humidity (Rh) % | 56 ≤ Rh ≤ 64 | 53 ≤ Rh < 56 | Rh ≥ 64/Rh ≤ 53 |
| Iy | Acid Value (mg/g) | Linoleic Acid (%) | Peroxide Value (g/100 g) | |
|---|---|---|---|---|
| III | Iy > 2.4 | Ac ≤ 0.40 | 8.08 ≤ Li | Pe ≤ 0.07 |
| II | 2.4 ≥ Iy ≥ 1.8 | 0.40 < Ac ≤0.85 | 5.77 < Li ≤ 8.08 | 0.07 < Pe ≤ 0.09 |
| I | 1.8 > Iy | 0.85 < Ac | Li < 5.77 | 0.09 < Pe |
| Meteorological Factors | Climatology | Mi/Climatic Suitability Grade |
|---|---|---|
| Ss | 247.8 | 2/II |
| T | 18.1 | 3/III |
| Cr | 8 | 3/III |
| Rh | 60 | 3/III |
| Iy | 2.68 | III |
Disclaimer/Publisher’s Note: The statements, opinions and data contained in all publications are solely those of the individual author(s) and contributor(s) and not of MDPI and/or the editor(s). MDPI and/or the editor(s) disclaim responsibility for any injury to people or property resulting from any ideas, methods, instructions or products referred to in the content. |
© 2025 by the authors. Licensee MDPI, Basel, Switzerland. This article is an open access article distributed under the terms and conditions of the Creative Commons Attribution (CC BY) license (https://creativecommons.org/licenses/by/4.0/).
Share and Cite
Liu, L.; Na, Y.; Ma, Y. Evaluation Model of Climatic Suitability for Olive Cultivation in Central Longnan, China. Atmosphere 2025, 16, 948. https://doi.org/10.3390/atmos16080948
Liu L, Na Y, Ma Y. Evaluation Model of Climatic Suitability for Olive Cultivation in Central Longnan, China. Atmosphere. 2025; 16(8):948. https://doi.org/10.3390/atmos16080948
Chicago/Turabian StyleLiu, Li, Ying Na, and Yun Ma. 2025. "Evaluation Model of Climatic Suitability for Olive Cultivation in Central Longnan, China" Atmosphere 16, no. 8: 948. https://doi.org/10.3390/atmos16080948
APA StyleLiu, L., Na, Y., & Ma, Y. (2025). Evaluation Model of Climatic Suitability for Olive Cultivation in Central Longnan, China. Atmosphere, 16(8), 948. https://doi.org/10.3390/atmos16080948

