Temperature and Humidity Anomalies During the Summer Drought of 2022 over the Yangtze River Basin
Abstract
1. Introduction
2. Data and Methods
2.1. Station Observation Data and Reanalysis Data
2.2. SWAP Index
2.3. Methods for Comparing the Relative Contributions of Water Vapor and Temperature in Drought and Flood Events
3. Results and Discussion
3.1. Overview of Drought Event
3.2. Circulation Anomalies During the Drought Event
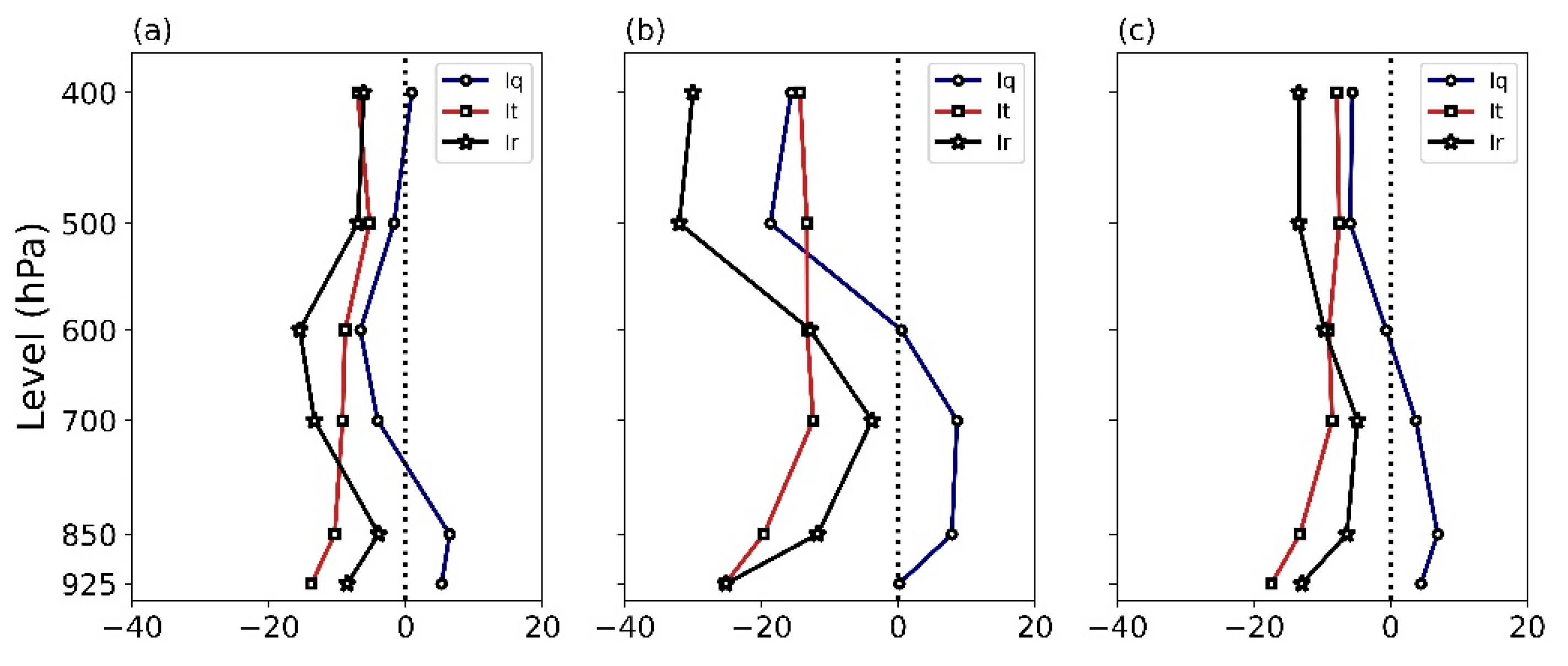
3.3. The Relative Importance of Moisture and Temperature Anomalies in Drought Events
3.4. Causes of Intense High-Temperature Anomalies
3.4.1. Influence of the WPSH
3.4.2. Causes of the Westward Extension of the WPSH
4. Conclusions and Discussion
- According to the principle of a strong positive correlation between precipitation and relative humidity, this study introduces indices Iq and It, which signify the contributions of water vapor and temperature to precipitation, respectively. This framework enables a quantitative comparison of the roles these anomalies play in influencing precipitation patterns. The findings indicate that the drought experienced in the Yangtze River Basin was attributable to both a decline in upper and middle tropospheric water vapor anomalies and exceptionally high temperatures. Notably, the latter was identified as the predominant factor.
- During the summer of 2022, the Western Pacific Subtropical High exhibited greater strength than typical and extended its influence westward. Concurrently, the polar vortex experienced a reduction in area and a decline in intensity. The South Asian High expanded and intensified, shifting eastward. These atmospheric dynamics collectively altered the overall circulation pattern, culminating in diminished water vapor transport conditions and dominant subsiding airflow over the Yangtze River Basin. Consequently, this led to the prevalence of frequent high temperatures.
- The active tropical convection, instigated by monsoon surges in the South China Sea region, significantly enhanced the ascending branch of the local Hadley circulation. This resulted in anomalous subsidence around the latitude of 30° N. Such atmospheric conditions were exceptionally conducive to the stabilization and westward extension of the Western Pacific Subtropical High.
Author Contributions
Funding
Institutional Review Board Statement
Informed Consent Statement
Data Availability Statement
Acknowledgments
Conflicts of Interest
References
- Lin, S.; Li, H.Y.; Huang, P.C.; Duan, X.S. Characteristics of high-temperature drought in China in summer 2022 and analysis of its circulation situation. Arid. Meteorol. 2022, 40, 16. [Google Scholar]
- Xia, J.; Chen, J.; She, D.X. Extreme drought events in the Yangtze River Basin in 2022: Impacts and countermeasures. J. Hydraul. Eng. 2022, 53, 1143–1153. [Google Scholar]
- Sun, B.; Wang, H.J.; Huang, Y.Y.; Yin, Z.; Zhou, B.; Duan, M. Characteristics and causes of the hot-dry climate anomalies in China during summer of 2022. Trans. Atmos. Sci. 2023, 46, 1–8. [Google Scholar]
- Chyi, D.; He, L.F. Stage characteristics and mechanisms of extreme high temperature in China in summer of 2022. J. Appl. Meteor. Sci. 2023, 34, 385–399. [Google Scholar]
- Mei, M.; Gao, G.; Li, Y.; Wang, G.; Dai, T.; Chen, Y. Change characteristics in compound high temperature and drought extreme events over Yangtze River Basin from 1961 to 2022. Yangtze River 2023, 54, 12–20. [Google Scholar]
- Xu, K.; Yang, D.; Yang, H.; Li, Z.; Qin, Y.; Shen, Y. Spatio-temporal variation of drought in China during 1961–2012: A climatic perspective. J. Hydrol. 2015, 526, 253–264. [Google Scholar] [CrossRef]
- Shen, X.; Liu, B.; Lu, X.; Fan, G. Spatial and temporal changes in daily temperature extremes in China during 1960–2011. Theor. Appl. Climatol. 2017, 130, 933–943. [Google Scholar] [CrossRef]
- Ma, Y.Y.; Pan, X.; Liu, J.Y.; Sun, H.Y. Diagnostic analysis of the causes of persistent high-temperature drought events in Jiangnan in the summer of 2022. Meteorol. Disaster Reduct. Res. 2024, 47, 194–204. [Google Scholar]
- Peng, J.B.; Sun, S.Q.; Lin, D.W. Causes of persistent extreme high-temperature events in the Yangtze River Basin in August 2022. J. Appl. Meteorol. 2023, 34, 527–539. [Google Scholar]
- Tan, G.R.; Zhang, Y. Circulation anomaly characteristics of high temperatures in China in the summer of 2022. J. Mar. Meteorol. 2023, 43, 31–41. [Google Scholar]
- Hao, L.S.; Ma, N.; He, L.Y. Circulation anomaly characteristics of abnormal drought and high-temperature events in the middle and lower reaches of the Yangtze River in summer 2022. Arid. Meteorol. 2022, 40, 721–732. [Google Scholar]
- Li, Y.P.; Zhang, J.Y.; Yue, P.; Wang, S.P.; Cha, P.F.; Wang, L.J.; Sha, S.; Zhang, L.; Zeng, D.W.; Ren, Y.L.; et al. Characteristics and causes of major droughts in the Yangtze River Basin in summer 2022. Arid. Meteorol. 2022, 40, 733–747. [Google Scholar]
- Lu, E.; Zeng, X. Understanding different precipitation seasonality regimes from water vapor and temperature fields: Case studies. Geophys. Res. Lett. 2005, 32, L22707. [Google Scholar] [CrossRef]
- Yuan, X.; Ma, F.; Li, H.; Chen, S.S. Research progress on multi-scale drought processes and prediction under global change. J. Atmos. Sci. 2020, 43, 225–237. [Google Scholar]
- Tao, S.Y.; Wei, J.; Sun, J.H.; Zhao, S.X. Analysis of severe drought in eastern China in the autumn and winter of 2008/2009. Meteorology 2009, 35, 3–10. [Google Scholar]
- AghaKouchak, A.; Cheng, L.Y.; Mazdiyasni, O.; Farahmand, A. Global warming and changes in risk of concurrent climate extremes: Insights from the 2014 California drought. Geophys. Res. Lett. 2014, 41, 8847–8852. [Google Scholar] [CrossRef]
- Li, H.X.; Chen, H.P.; Wang, H.J.; Sun, J.; Ma, J. Can Barents Sea ice decline in spring enhance summer hot drought events over northeastern China? J. Clim. 2018, 31, 4705–4725. [Google Scholar] [CrossRef]
- Zscheischler, J.; Seneviratne, S.I. Dependence of drivers affects risks associated with compound events. Sci. Adv. 2017, 3, e1700263. [Google Scholar] [CrossRef]
- Coles, N.A.; Eslamian, S. Definition of Drought; CRC: Boca Raton, FL, USA, 2017. [Google Scholar]
- Otkin, J.A.; Svoboda, M.; Hunt, E.D.; Ford, T.W.; Anderson, M.C.; Hain, C.; Basara, J.B. Flash droughts: A review and assessment of the challenges imposed by rapid-onset droughts in the United States. Am. Meteorol. Soc. 2017, 99, 911–919. [Google Scholar] [CrossRef]
- Samantaray, A.K.; Ramadas, M.; Panda, R.K. Changes in drought characteristics based on rainfall pattern drought index and the CMIP6 multi-model ensemble. Agric. Water Manag. 2022, 266, 107568. [Google Scholar] [CrossRef]
- Mishra, A.K.; Singh, V.P. A review of drought concepts. J. Hydrol. 2010, 391, 202–216. [Google Scholar] [CrossRef]
- Khan, M.; Muhammad, N.; El-Shafie, A. A review of fundamental drought concepts, impacts and analyses of indices in Asian continent. J. Urban Environ. Eng. 2018, 12, 106–119. [Google Scholar] [CrossRef]
- Lu, E.; Cai, W.; Jiang, Z.; Zhang, Q.; Halpert, M.S. The day-to-day monitoring of the 2011 severe drought in China. Clim. Dyn. 2013, 43, 1–9. [Google Scholar] [CrossRef]
- Duan, X.Y.; Zhang, Q.; Zhang, L.; Ma, P.L.; Fang, F.; Yang, J.B.; Zhu, B. Multidimensional anomaly characteristics of the Western Pacific Subtropical High during the development of major droughts in the Yangtze River Basin in 2022. Chin. Sci. Bull. 2024, 69, 2081–2092. [Google Scholar]
- Hu, Y.P.; Zhou, B.T.; Wang, H.J.; Zhang, D.P. Record-breaking summer-autumn drought in southern China in 2022: The role of tropical sea surface temperature and Eurasian heating. Sci. China Earth Sci. 2024, 54, 439–450. [Google Scholar] [CrossRef]
- Jiang, Y.T.; Hou, A.Z.; Hao, Z.C.; Zhang, X.; Fu, Y.; Hao, F. Evolution and historical comparison of the 2022 high-temperature drought event in the Yangtze River Basin. J. Hydroelectr. Eng. 2023, 42, 1–9. [Google Scholar]
- Feng, B.F.; Qiu, H.; Ji, G.L. Characteristics and preliminary causes of meteorological drought in the Yangtze River Basin in summer 2022. People’s Yangtze River 2022, 53, 6–15. [Google Scholar]
- Zhang, Y.; An, X.; Sun, S.; Ma, Q.; Zhou, B. Characteristics of boreal summer compound hot-drought events in the Yangtze River Valley and relationships with Indian Ocean sea surface temperature. Clim. Dyn. 2024, 63, 226. [Google Scholar] [CrossRef]
- Huang, H.; Zhu, Z.; Li, J. Disentangling the unprecedented Yangtze River Basin extreme high temperatures in summer 2022: Combined impacts of the reintensified La Niña and strong positive NAO. J. Clim. 2023, 37, 927–942. [Google Scholar] [CrossRef]
- Hu, X.P.; Wang, S.G.; Xu, P.P.; Shang, K.Z. Analysis of the Causes of the Consecutive Droughts in Southwest China from 2009 to 2013. Meteorology 2014, 40, 1216–1229. [Google Scholar]
- Xu, J.P.; Wang, W.; Cai, X.J.; Xu, Z.L.; Xu, J.X. Comparative Analysis of Circulation Characteristics of Consecutive Droughts in the Winter and Spring of 2011 and the High Temperature and Drought in the Summer of 2013 in the Middle and Lower Reaches of the Yangtze River and their Connection with Rossby Wave Activity. J. Trop. Meteorol. 2017, 33, 992–999. [Google Scholar]















Disclaimer/Publisher’s Note: The statements, opinions and data contained in all publications are solely those of the individual author(s) and contributor(s) and not of MDPI and/or the editor(s). MDPI and/or the editor(s) disclaim responsibility for any injury to people or property resulting from any ideas, methods, instructions or products referred to in the content. |
© 2025 by the authors. Licensee MDPI, Basel, Switzerland. This article is an open access article distributed under the terms and conditions of the Creative Commons Attribution (CC BY) license (https://creativecommons.org/licenses/by/4.0/).
Share and Cite
Li, D.; Lu, E.; Yuan, D.; Liu, R. Temperature and Humidity Anomalies During the Summer Drought of 2022 over the Yangtze River Basin. Atmosphere 2025, 16, 942. https://doi.org/10.3390/atmos16080942
Li D, Lu E, Yuan D, Liu R. Temperature and Humidity Anomalies During the Summer Drought of 2022 over the Yangtze River Basin. Atmosphere. 2025; 16(8):942. https://doi.org/10.3390/atmos16080942
Chicago/Turabian StyleLi, Dengao, Er Lu, Dian Yuan, and Ruisi Liu. 2025. "Temperature and Humidity Anomalies During the Summer Drought of 2022 over the Yangtze River Basin" Atmosphere 16, no. 8: 942. https://doi.org/10.3390/atmos16080942
APA StyleLi, D., Lu, E., Yuan, D., & Liu, R. (2025). Temperature and Humidity Anomalies During the Summer Drought of 2022 over the Yangtze River Basin. Atmosphere, 16(8), 942. https://doi.org/10.3390/atmos16080942

