Investigation of the Regularities of the Influence of Meteorological Factors on Avalanches in Eastern Kazakhstan
Abstract
1. Introduction
2. Materials and Methods
2.1. Subject of the Study
2.2. Data Sources
- –
- Mean—arithmetic mean of the column;
- –
- Min and max—minimum and maximum values in the column;
- –
- Percentiles (25%, 50%, 75%)—values below which a certain percentage of data is below (25%—first quartile, 50%—median, 75%—third quartile);
- –
- Std (standard deviation)—a measure of the spread of data around the mean.
2.3. Data Processing Pipeline
- Meteorological data collection. This study encompassed nine avalanche-prone areas in the East Kazakhstan region, for which meteorological data were collected over an 8-day period preceding each recorded avalanche event (7 days prior to the event and the day of occurrence). The data were sourced from the national hydro meteorological service, Kazhydromet, and included parameters such as air and surface temperatures, snow cover depth, precipitation, wind speed, atmospheric pressure, and relative humidity.
- Descriptive statistics—analyses the basic characteristics of data, including mean values, standard deviation, minimum and maximum values.
- Scaling—normalizing the data to allow further statistical and machine learning techniques to be performed correctly.
- Principal Component Analysis (PCA). To identify key factors influencing avalanche formation, Principal Component Analysis (PCA) was applied. This method facilitated the reduction in the feature space’s dimensionality and enabled the determination of each parameter’s contribution to the total variance. The primary meteorological factors were interpreted based on component loadings.
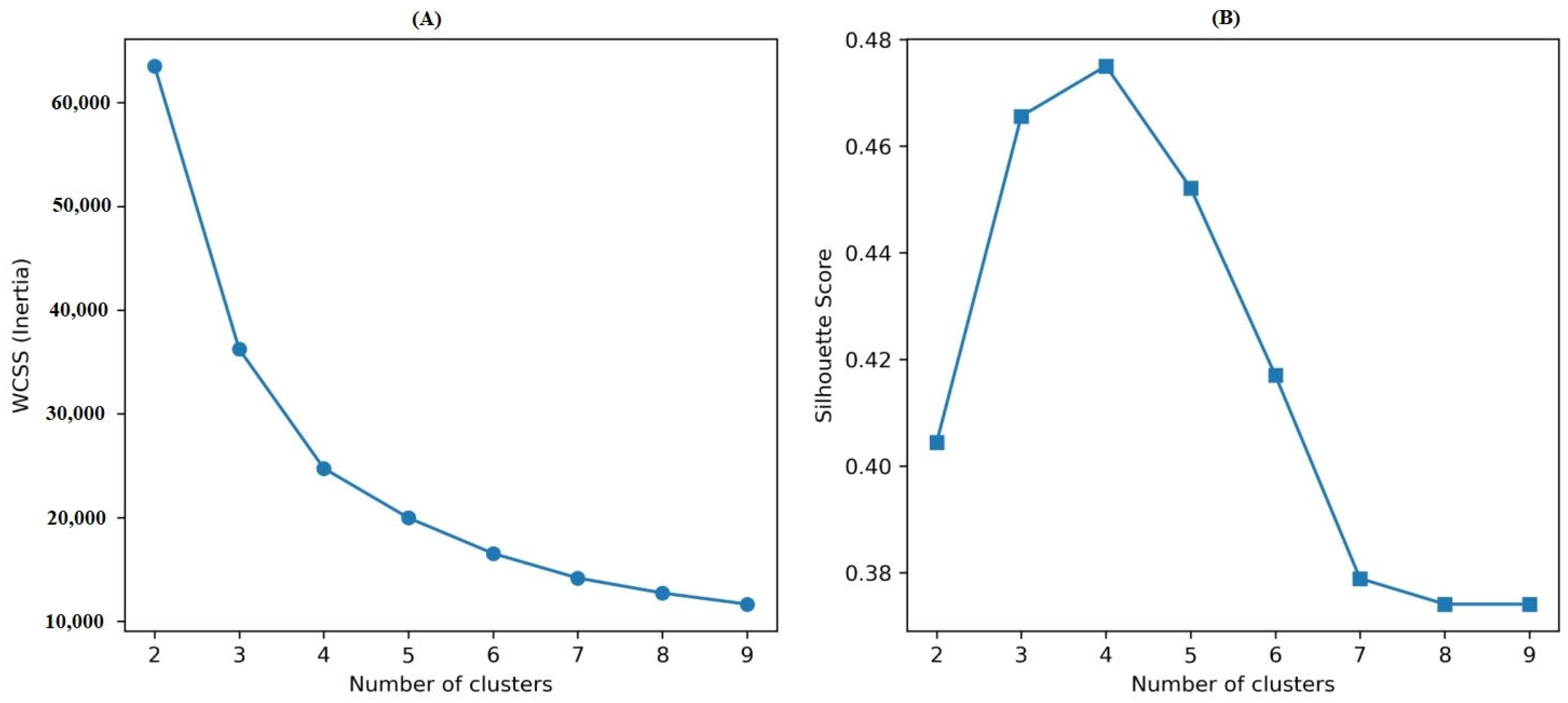
- K-means Clustering (K-means method). To classify avalanche scenarios, the K-Means algorithm was applied to the dataset after dimensionality reduction using Principal Component Analysis (PCA). The first four principal components, which captured the majority of variance in the meteorological data, were selected as input features for clustering. The K-means algorithm was used with the optimal number of clusters determined by the elbow method and the silhouette coefficient [52]. The application of the K-means method was motivated by its interpretability and ability to identify stable groups with appropriate parameter selection. To minimize the method’s sensitivity to the choice of initial cluster centers, k-means++ initialization was used, allowing avoidance of poor local minima. This improved resistance to local minima through more uniform distribution of initial centers. The algorithm was run 10 times (n_init = 10) with different initializations, and the result with minimal within-cluster variance was selected. The optimal number of clusters was determined based on the elbow method and silhouette coefficient.
- Clustering. DBSCAN. Construction of K-distance graph to determine the optimal distance threshold between points. Execution of DBSCAN algorithm based on the detected eps and minPts, which finds dense groups of points by pruning outliers. For the DBSCAN algorithm, the key parameters are eps (neighborhood radius) and minPts (minimum points for a dense region). For objective selection of eps, a K-Distance graph with sorting by distance to the k-neighbor was used, while minPts was chosen considering the dimensionality and density of the sample. Although DBSCAN may struggle with clusters of different densities, in this case, the main task was not clustering but identifying anomalous avalanche events.
- Clustering results are visualized, allowing analysis of the resulting groups of data [53].
- Cartogram of avalanche distribution by clusters, which gives an idea of avalanche occurrence patterns depending on meteorological conditions.
3. Results and Discussion
3.1. Correlation
3.2. PCA
3.3. K-Means
3.4. DBSCAN
4. Conclusions
Supplementary Materials
Author Contributions
Funding
Institutional Review Board Statement
Informed Consent Statement
Data Availability Statement
Conflicts of Interest
References
- Denissova, N.; Nurakynov, S.; Petrova, O.; Chepashev, D.; Daumova, G.; Yelisseyeva, A. Remote Sensing Techniques for Assessing Snow Avalanche Formation Factors and Building Hazard Monitoring Systems. Atmosphere 2024, 15, 1343. [Google Scholar] [CrossRef]
- Petrova, O.; Denissova, N.; Daumova, G.; Ivashchenko, Y.; Sergazinov, E. Regional climatic changes and their impact on the level of avalanche hazard in East Kazakhstan. Heliyon 2025, 11, e41807. [Google Scholar] [CrossRef] [PubMed]
- Rakhymberdina, M.; Levin, E.; Daumova, G.; Bekishev, Y.; Assylkhanova, Z.; Kapasov, A. Combined Remote Sensing and GIS Methods for Detecting Avalanches in Eastern Kazakhstan. ES Energy Environ. 2024, 26, 1350. [Google Scholar] [CrossRef]
- Wen, H.; Wu, X.; Shu, X.; Wang, D.; Zhao, S.; Zhou, G.; Li, X. Spatial heterogeneity and temoral tendency of channeled snow avalanche activity retrieved from Landsat images in the maritime snow climate of the Parlung Tsangpo catchment, Southeastern Tibet. Cold Reg. Sci. Technol. 2024, 223, 104206. [Google Scholar] [CrossRef]
- Munaitpasova, A.; Orakova, G.; Musralinova, G.; Zheksenbaeva, A.; Nyshanbay, A. Modern climate changes in Eastern Kazakhstan. Hydrometeorol. Ecol. 2024, 3, 31–39. [Google Scholar] [CrossRef]
- Climate Knowledge Portal. 2021. Available online: https://climateknowledgeportal.worldbank.org/country/kazakhstan/climate-data-historical (accessed on 20 May 2025).
- Denissova, N.; Nurakynov, S.; Petrova, O.; Daumova, G.; Chepashev, D.; Alpysbay, M.; Chettykbayev, R. Dependence of Avalanche Risk on Slope Insolation Level and Albedo. Atmosphere 2025, 16, 556. [Google Scholar] [CrossRef]
- Strapazzon, G.; Schweizer, J.; Chiambretti, I.; Brodmann Maeder, M.; Brugger, H.; Zafren, K. Effects of Climate Change on Avalanche Accidents and Survival. Front. Physiol. 2021, 12, 639433. [Google Scholar] [CrossRef]
- Schauer, A.R.; Hendrikx, J.; Birkeland, K.W.; Mock, C.J. Synoptic atmospheric circulation patterns associated with deep persistent slab avalanches in the western United States. Nat. Hazards Earth Syst. Sci. 2021, 21, 757–774. [Google Scholar] [CrossRef]
- Hancock, H.; Hendrikx, J.; Eckerstorfer, M.; Wickström, S. Synoptic control on snow avalanche activity in central Spitsbergen. Cryosphere 2021, 15, 3813–3837. [Google Scholar] [CrossRef]
- Eckert, N.; Keylock, C.J.; Castebrunet, H.; Lavigne, A.; Naaim, M. Temporal trends in avalanche activity in the French Alps and subregions: From occurrences and runout altitudes to unsteady return periods. J. Glaciol. 2013, 59, 93–114. [Google Scholar] [CrossRef]
- Ballesteros-Cánovas, J.A.; Trappmann, D.; Madrigal-González, J.; Eckert, N.; Stoffel, M. Climate warming enhances snow avalanche risk in the Western Himalayas. Proc. Natl. Acad. Sci. USA 2018, 115, 3410–3415. [Google Scholar] [CrossRef] [PubMed]
- Hao, J.; Zhang, X.; Cui, P.; Li, L.; Wang, Y.; Zhang, G.; Li, C. Impacts of Climate Change on Snow Avalanche Activity Along a Transportation Corridor in the Tianshan Mountains. Int. J. Disast. Risk Sc. 2023, 14, 510–522. [Google Scholar] [CrossRef]
- Seifert, A.; Rasp, S. Potential and limitations of machine learning for modeling warm-rain cloud microphysical processes. J. Adv. Model. Earth Syst. 2020, 12, e2020MS002301. [Google Scholar] [CrossRef]
- Kayhan, E.C.; Ekmekcioğlu, Ö. Coupling Different Machine Learning and Meta-Heuristic Optimization Techniques to Generate the Snow Avalanche Susceptibility Map in the French Alps. Water 2024, 16, 3247. [Google Scholar] [CrossRef]
- Durlević, U.; Valjarević, A.; Novković, I.; Ćurčić, N.B.; Smiljić, M.; Morar, C.; Stoica, A.; Barišić, D.; Lukić, T. GIS-Based Spatial Modeling of Snow Avalanches Using Analytic Hierarchy Process. A Case Study of the Šar Mountains, Serbia. Atmosphere 2022, 13, 1229. [Google Scholar] [CrossRef]
- Blagovechshenskiy, V.; Medeu, A.; Gulyayeva, T.; Zhdanov, V.; Ranova, S.; Kamalbekova, A.; Aldabergen, U. Application of Artificial Intelligence in the Assessment and Forecast of Avalanche Danger in the Ile Alatau Ridge. Water 2023, 15, 1438. [Google Scholar] [CrossRef]
- Reichstein, M.; Camps-Valls, G.; Stevens, B.; Jung, M.; Denzler, J.; Carvalhais, N.; Prabhat. Deep learning and process understanding for data-driven Earth system science. Nature 2019, 566, 195–204. [Google Scholar] [CrossRef]
- Kuglitsch, M.; Albayrak, A.; Aquino, R.; Craddock, A.; Edward-Gill, J.; Kanwar, R.; Koul, A.; Ma, J.; Marti, A.; Menon, M.; et al. Artificial Intelligence for Disaster Risk Reduction: Opportunities, Challenges and Prospects. Early Warn. Anticip. Action. 2022, 71. Available online: https://wmo.int/media/magazine-article/artificial-intelligence-disaster-risk-reduction-opportunities-challenges-and-prospects (accessed on 22 May 2025).
- Tiwari, A.; Arun, A.; Vishwakarma, B.D. Parameter importance assessment improves efficacy of machine learning methods for predicting snow avalanche sites in Leh-Manali Highway, India. Sci. Total Environ. 2021, 794, 148738. [Google Scholar] [CrossRef]
- Bao, S.; Liu, J.; Wang, L.; Konečný, M.; Che, X.; Xu, S.; Li, P. Landslide Susceptibility Mapping by Fusing Convolutional Neural Networks and Vision Transformer. Sensors 2023, 23, 88. [Google Scholar] [CrossRef]
- Zhang, L.; Chen, J.; Zhang, H.; Huang, D. The prediction of dynamical quantities in granular avalanches based on graph neural networks. J. Chem. Phys. 2023, 159, 214901. [Google Scholar] [CrossRef] [PubMed]
- Fromm, R.; Schönberger, C. Estimating the danger of snow avalanches with a machine learning approach using a comprehensive snow cover model. Mach. Learn. Appl. 2022, 10, 100405. [Google Scholar] [CrossRef]
- Joshi, J.C.; Kaur, P.; Kumar, B.; Singh, A.; Satyawi, P.K. HIM-STRAT: A neural network-based model for snow cover simulation and avalanche hazard prediction over North-West Himalaya. Nat. Hazards 2020, 103, 1239–1260. [Google Scholar] [CrossRef]
- Yariyan, P.; Omidvar, E.; Karami, M.; Cerdà, A.; Pham, Q.B.; Tiefenbacher, J.P. Evaluating novel hybrid models based on GIS for snow avalanche susceptibility mapping: A comparative study. Cold Reg. Sci. Technol. 2022, 194, 103453. [Google Scholar] [CrossRef]
- Akay, H. Spatial modeling of snow avalanche susceptibility using hybrid and ensemble machine learning techniques. Catena 2021, 206, 105524. [Google Scholar] [CrossRef]
- Mayer, S.; Techel, F.; Schweizer, J.; van Herwijnen, A. Prediction of natural dry-snow avalanche activity using physics-based snowpack simulations. Nat. Hazards Earth Syst. Sci. 2023, 23, 3445–3465. [Google Scholar] [CrossRef]
- Olsen, O. Using Sentinel 1 C-Band SAR imagery to Detect Avalanches: An Analysis of Smaller Scale Avalanches and Proposed Algorithm. Bachelor’s Thesis, Harvard University Engineering and Applied Sciences, Boston, MA, USA, 2024. [Google Scholar]
- Gassner, M.; Brabec, B. Nearest neighbour models for local and regional avalanche forecasting. Nat. Hazards Earth Syst. Sci. 2002, 2, 247–253. [Google Scholar] [CrossRef][Green Version]
- Gauthier, F.; Germain, D.; Hétu, B. Logistic models as a forecasting tool for snow avalanches in a cold maritime climate: Northern Gaspésie, Québec, Canada. Nat. Hazards J. Int. Soc. Prev. Mitig. Nat. Hazards 2017, 89, 201–232. [Google Scholar] [CrossRef]
- Chawla, M.; Singh, A. Data efficient Random Forest model for avalanche forecasting. Nat. Hazards Earth Syst. Sci. 2019, 379, 1–33. [Google Scholar] [CrossRef]
- Yousefi, S.; Pourghasemi, H.R.; Emami, S.N.; Pouyan, S.; Eskandari, S.; Tiefenbacher, J.P. A machine learning framework for multi-hazards modeling and mapping in a mountainous area. Sci. Rep. 2020, 10, 12144. [Google Scholar] [CrossRef]
- Campesato, O. Chapter 1—Introduction to Pandas. In Python 3 and Machine Learning Using ChatGPT/GPT-4, 1st ed.; Mercury Learning and Information: Boston, Berlin, 2024; pp. 1–35. [Google Scholar] [CrossRef]
- Horton, S.; Herla, F.; Haegeli, P. Clustering simulated snow profiles to form avalanche forecast regions. Geosci. Model. Dev. 2025, 18, 193–209. [Google Scholar] [CrossRef]
- Greenacre, M.; Groenen, P.J.F.; Hastie, T.; D’Enza, A.I.; Markos, A.; Tuzhilina, E. Principal component analysis. Nat. Rev. Methods Primers. 2022, 2, 100. [Google Scholar] [CrossRef]
- Sen, S.; Saha, S.; Chaki, S.; Saha, P.; Dutta, P. Analysis of PCA based AdaBoost Machine Learning Model for Predict Mid-Term Weather Forecasting. Comput. Intell. Mach. Learn. 2021, 2, 41–52. [Google Scholar] [CrossRef]
- Doan, Q.-V.; Amagasa, T.; Pham, T.-H.; Sato, T.; Chen, F.; Kusaka, H. Structural k-means (S k-means) and clustering uncertainty evaluation framework (CUEF) for mining climate data. Geosci. Model. Dev. 2023, 16, 2215–2233. [Google Scholar] [CrossRef]
- Liu, J.; Zhang, T.; Hu, C.; Wang, B.; Yang, Z.; Sun, X.; Yao, S. A Study on Avalanche-Triggering Factors and Activity Characteristics in Aerxiangou, West Tianshan Mountains, China. Atmosphere 2023, 14, 1439. [Google Scholar] [CrossRef]
- EAWS. Standards and Avalanche Problems; European Avalanche Warning Services: Davos, Switzerland, 2023; Available online: https://www.avalanches.org/standards/ (accessed on 17 May 2025).
- East Kazakhstan Region. Available online: https://www.kazhydromet.kz/uploads/files/68/file/5ec145aed3e93.pdf (accessed on 28 March 2025).
- Visit East Kazakhstan. Nature of Eastern Kazakhstan. Available online: https://visiteast.kz/en/o-vostochnom-kazaxstane/priroda-vostochnogo-kazaxstana.html (accessed on 22 May 2025).
- Kazhydromet. Climate of Kazakhstan. Available online: https://www.kazhydromet.kz/en/klimat/klimat-kazahstana (accessed on 22 May 2025).
- Schweizer, J.; Jamieson, J.B. Snowpack properties for snow profile analysis. Cold Reg. Sci. Technol. 2003, 37, 233–241. [Google Scholar] [CrossRef]
- Yang, J.; Li, C.; Li, L.; Ding, J.; Zhang, R.; Han, T.; Liu, Y. Automatic detection of regional snow avalanches with scattering and interference of C-band SAR data. Remote Sens. 2020, 12, 2781. [Google Scholar] [CrossRef]
- Fromm, R. Estimating the forecasting success of artificially triggering of avalanches with the combination of cluster and discriminant analysis. In Proceedings of the International Snow Science Workshop, Davos, Switzerland, 27 September–2 October 2009; Available online: https://arc.lib.montana.edu/snow-science/objects/issw-2009-0366-0370.pdf (accessed on 21 May 2025).
- Hanafi, N.; Saadatfar, H. A fast DBSCAN algorithm for big data based on efficient density calculation. Expert Syst. Appl. 2022, 203, 117501. [Google Scholar] [CrossRef]
- Gupta, P.; Bagchi, A. Chapter 4—Introduction to NumPy. In Essentials of Python for Artificial Intelligence and Machine Learning; Synthesis Lectures on Engineering, Science, and Technology; Springer: Berlin/Heidelberg, Germany, 2024; pp. 127–159. [Google Scholar] [CrossRef]
- Scikit-learn. Machine Learning in Python. Available online: https://scikit-learn.org/stable/ (accessed on 28 December 2024).
- Sial, A.; Rashdi, S.; Khan, A. Comparative analysis of data visualization libraries Matplotlib and Seabornin Python. Int. J. Adv. Trends Comput. Sci. Eng. 2021, 10, 277–281. [Google Scholar] [CrossRef]
- Sadenova, M.A.; Beisekenov, N.A.; Rakhymberdina, M.; Varbanov, P.S.; Klemeš, J.J. Mathematical Modelling in Crop Production to Predict Crop Yields. Chem. Eng. Trans. 2021, 88, 1225–1230. [Google Scholar] [CrossRef]
- Cerruti, B.; Vives, E. Correlations in avalanche critical points. Phys. Rev. E 2009, 80, 011105. [Google Scholar] [CrossRef] [PubMed]
- Umargono, E.; Suseno, J.; Vincensius Gunawan, S.K. K-Means Clustering Optimization Using the Elbow Method and Early Centroid Determination Based on Mean and Median Formula. In Proceedings of the 2nd International Seminar on Science and Technology (ISSTEC 2019), Yogyakarta, Indonesia, 25 November 2019. [Google Scholar] [CrossRef]
- Migoya-Orué, Y.; Abe, O.E.; Radicella, S. Regional Spatial Mean of Ionospheric Irregularities Based on K-Means Clustering of ROTI Maps. Atmosphere 2024, 15, 1098. [Google Scholar] [CrossRef]










| Avalanche-Prone Areas | Coordinates | Elevation Range, m | Slope Angle Range, Degrees | Aspect, Degrees (Direction) |
|---|---|---|---|---|
| Prokhodnaya | 490 58′ 25″ N, 820 57′ 04″ E | 400–712 | 30–35 | 200–220 (SW) |
| Tainty | 490 19′ 53″ N, 830 06′ 40″ E | 1030–1260 | 25–30 | 230–250 (SW) |
| Laily | 490 07′ 59″ N, 830 20′ 07″ E | 770–850 | 25–28 | 40–50 (NE) |
| Chekmar | 500 23′ 11″ N, 830 36′ 02″ E | 780–933 | 28–32 | 180–200 (SW) |
| Pikhtovka | 490 43′ 34″, N 830 17′ 24″ E | 500–850 | 30–37 | 70–80 (NE), 220–230 (SW) |
| Sogornoe | 490 15′ 48″, N 850 18′ 10″ E | 670–915 | 35–42 | 60–70 (NE) |
| Berel | 490 28′ 36″, N 860 25′ 09″ E | 1315–2452 | 30–40 | 250–260 (SW) |
| Putintsevo pit | 490 50′ 13″, N 840 19′ 16″ E | 430–650 | 20–30 | 40–50 (NE) |
| Bogatyrevskaya pit | 490 49′ 25″, N 840 20′ 44″ E | 440–712 | 35–37 | 70–80 (NE) |
| Settings | Mean | Min | 25% | 50% | 75% | Max | Std |
|---|---|---|---|---|---|---|---|
| Surface temperature, °C | −10.21 | −23 | −13.74 | −10.12 | −8.06 | 14.5 | 5.41 |
| Air temperature, °C | −9.03 | −20.87 | −12.11 | −9.28 | −6.78 | 3.08 | 4.67 |
| Snow depth, cm | 50.53 | 5 | 31.87 | 50.62 | 69.88 | 115 | 24.84 |
| Wind speed, m/s | 2.81 | 0.38 | 1.58 | 2.7 | 3.9 | 8.12 | 1.46 |
| Relative humidity, % | 74.52 | 53 | 70.92 | 75.43 | 78.71 | 90.43 | 7.71 |
| Precipitation, mm | 1.97 | 0 | 0.71 | 1.33 | 2.58 | 10.7 | 1.89 |
| Atmospheric pressure, gPa | 943.37 | 893.35 | 905.89 | 963.61 | 970.27 | 989.25 | 32.64 |
| Main Components | Surface Temp., °C | Air Temp., °C | Snow Depth, cm | Wind Speed, m/s | Relative Humidity, % | Precipitation, mm | Atmospheric Pressure, gPa |
|---|---|---|---|---|---|---|---|
| PC1 | 0.43 | 0.48 | 0.08 | 0.37 | −0.46 | −0.19 | −0.44 |
| PC2 | 0.42 | 0.34 | 0.51 | −0.24 | 0.24 | 0.54 | 0.17 |
| PC3 | −0.19 | −0.17 | 0.69 | −0.44 | −0.22 | −0.42 | −0.21 |
| PC4 | −0.35 | −0.32 | 0.37 | 0.55 | −0.21 | 0.52 | −0.17 |
| Cluster | Surface Temp., °C | Air Temp., °C | Snow Depth, cm | Wind Speed, m/s | Relative Humidity, % | Precipitation, mm | Atmospheric Pressure, gPa |
|---|---|---|---|---|---|---|---|
| 0 | −12.84 | −11.62 | 31.04 | 2.41 | 79.32 | 2.29 | 973.96 |
| 1 | −7.64 | −5.04 | 60.89 | 3.65 | 67.26 | 1.03 | 906.69 |
| 2 | −11.11 | −10.14 | 77.91 | 1.79 | 78.89 | 2.97 | 966.89 |
| 3 | −12.23 | −10.23 | 20.79 | 3.68 | 72.42 | 1.52 | 917.07 |
| Cluster | Number of Avalanches |
|---|---|
| 0 | 33 |
| 1 | 34 |
| 2 | 28 |
| 3 | 16 |
| Cluster | Description | EAWS Type |
|---|---|---|
| 0 | Gradual accumulation of snow without winds | New Snow Problem |
| 1 | Warming and thawing | Wet Snow Problem |
| 2 | High snow cover | Persistent Weak Layer |
| 3 | Wind and precipitation | Wind slab |
Disclaimer/Publisher’s Note: The statements, opinions and data contained in all publications are solely those of the individual author(s) and contributor(s) and not of MDPI and/or the editor(s). MDPI and/or the editor(s) disclaim responsibility for any injury to people or property resulting from any ideas, methods, instructions or products referred to in the content. |
© 2025 by the authors. Licensee MDPI, Basel, Switzerland. This article is an open access article distributed under the terms and conditions of the Creative Commons Attribution (CC BY) license (https://creativecommons.org/licenses/by/4.0/).
Share and Cite
Rakhymberdina, M.; Denissova, N.; Bekishev, Y.; Daumova, G.; Konečný, M.; Assylkhanova, Z.; Kapasov, A. Investigation of the Regularities of the Influence of Meteorological Factors on Avalanches in Eastern Kazakhstan. Atmosphere 2025, 16, 723. https://doi.org/10.3390/atmos16060723
Rakhymberdina M, Denissova N, Bekishev Y, Daumova G, Konečný M, Assylkhanova Z, Kapasov A. Investigation of the Regularities of the Influence of Meteorological Factors on Avalanches in Eastern Kazakhstan. Atmosphere. 2025; 16(6):723. https://doi.org/10.3390/atmos16060723
Chicago/Turabian StyleRakhymberdina, Marzhan, Natalya Denissova, Yerkebulan Bekishev, Gulzhan Daumova, Milan Konečný, Zhanna Assylkhanova, and Azamat Kapasov. 2025. "Investigation of the Regularities of the Influence of Meteorological Factors on Avalanches in Eastern Kazakhstan" Atmosphere 16, no. 6: 723. https://doi.org/10.3390/atmos16060723
APA StyleRakhymberdina, M., Denissova, N., Bekishev, Y., Daumova, G., Konečný, M., Assylkhanova, Z., & Kapasov, A. (2025). Investigation of the Regularities of the Influence of Meteorological Factors on Avalanches in Eastern Kazakhstan. Atmosphere, 16(6), 723. https://doi.org/10.3390/atmos16060723

