Vertical Stratification of Dust and Anthropogenic Aerosols and Their Seasonal Impact on Radiative Forcing in Semi-Arid Northwest China
Abstract
1. Introduction
2. Materials and Methods
2.1. Study Area
2.2. Instruments and Data
2.3. Data Processing and Research Methods
2.4. Uncertainty Analysis
3. Results
3.1. Seasonal Analysis of Aerosol Optical Depth (AOD) in the Yinchuan Region
3.2. Analysis of the Aerosol Ångström Exponent
3.3. Analysis of Aerosol Particle Size Distribution and Single-Scattering Albedo (SSA)
3.4. Analysis of Aerosol Direct Radiative Forcing
3.5. The Synergistic Effects of the Optical Properties of Dust and Anthropogenic Aerosols on Aerosol Radiative Forcing
3.5.1. The Heating Rate Analysis
3.5.2. The Net Flux Analysis
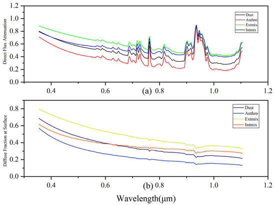
3.5.3. Analysis of Surface Diffuse Reflection and Absorption
3.5.4. Direct Radiative Forcing of Aerosols Under Four Scenarios Analysis
4. Discussion and Conclusions
Author Contributions
Funding
Institutional Review Board Statement
Informed Consent Statement
Data Availability Statement
Acknowledgments
Conflicts of Interest
References
- Chen, S.Y.; Huang, J.P.; Li, J.; Jia, R.; Jiang, N.; Kang, L.; Ma, S.; Xie, T. Comparison of dust emissions, transport, and deposition between the Taklimakan Desert and Gobi Desert from 2007 to 2011. Sci. China Earth Sci. 2017, 60, 1338–1355. [Google Scholar] [CrossRef]
- Zhang, X.Y.; Wang, Y.Q.; Niu, T.; Zhang, X.C.; Gong, S.L.; Zhang, Y.M.; Sun, J.Y. Atmospheric aerosol compositions in China: Spatial/temporal variability, chemical signature, regional haze distribution and comparisons with global aerosols. Atmos. Chem. Phys. 2012, 12, 779–799. [Google Scholar] [CrossRef]
- Kok, J.F.; Adebiyi, A.A.; Albani, S.; Balkanski, Y.; Checa-Garcia, R.; Chin, M.; Colarco, P.R.; Hamilton, D.S.; Huang, Y.; Ito, A.; et al. Contribution of the world’s main dust source regions to the global cycle of desert dust. Atmos. Chem. Phys. 2021, 21, 8169–8193. [Google Scholar] [CrossRef]
- Xu, S.; Ren, L.; Lang, Y.; Hou, S.; Ren, H.; Wei, L.; Wu, L.; Deng, J.; Hu, W.; Pan, X.; et al. Molecular markers of biomass burning and primary biological aerosols in urban Beijing: Size distribution and seasonal variation. Atmos. Chem. Phys. 2020, 20, 3623–3644. [Google Scholar] [CrossRef]
- Huang, J.; Fu, Q.; Su, J.; Tang, Q.; Minnis, P.; Hu, Y.; Yi, Y.; Zhao, Q. Taklimakan dust aerosol radiative heating derived from CALIPSO observations using the Fu-Liou radiation model with CERES constraints. Atmos. Chem. Phys. 2009, 9, 4011–4021. [Google Scholar] [CrossRef]
- Bond, T.C.; Doherty, S.J.; Fahey, D.W.; Forster, P.M.; Berntsen, T.; DeAngelo, B.J.; Flanner, M.G.; Ghan, S.; Kärcher, B.; Koch, D.; et al. Bounding the role of black carbon in the climate system: A scientific assessment. J. Geophys. Res. Atmos. 2013, 118, 5380–5552. [Google Scholar] [CrossRef]
- Tian, P.; Zhang, L.; Ma, J.; Tang, K.; Xu, L.; Wang, Y.; Cao, X.; Liang, J.; Ji, Y.; Jiang, J.H.; et al. Radiative absorption enhancement of dust mixed with anthropogenic pollution over East Asia. Atmos. Chem. Phys. 2018, 18, 7815–7825. [Google Scholar] [CrossRef]
- Li, Z.Q.; Xu, H.; Li, K.T.; Li, D.H.; Xie, Y.S.; Li, L.; Zhang, Y.; Gu, X.F.; Zhao, W.; Tian, Q.J.; et al. Comprehensive study of optical, physical, chemical, and radiative properties of total columnar atmospheric aerosols over China: An overview of Sun–Sky Radiometer Observation Network (SONET) measurements. Bull. Am. Meteorol. Soc. 2018, 99, 739–755. [Google Scholar] [CrossRef]
- Sutherland, B.; Meskhidze, N. Type-based assessment of aerosol direct radiative effects: A proof-of-concept using GEOS-Chem and CATCH. Atmos. Res. 2025, 320, 108036. [Google Scholar] [CrossRef]
- Elshora, M.; Xia, H.; Su, L.; Wei, T. Observation and study of consecutive dust storms in the Taklimakan desert from March 16 to 27, 2022, using reanalysis models and lidar. Atmos. Res. 2024, 305, 107431. [Google Scholar] [CrossRef]
- Wang, X.; Cai, D.; Chen, S.; Lou, J.; Liu, F.; Jiao, L.; Chen, H.; Zhang, C.; Hua, T.; Che, H. Spatio-temporal trends of dust emissions triggered by desertification in China. Catena 2021, 200, 105160. [Google Scholar] [CrossRef]
- Chen, G.; Wang, W.C.; Chen, J.P. Circulation responses to regional aerosol climate forcing in summer over East Asia. Clim. Dyn. 2018, 51, 3973–3984. [Google Scholar] [CrossRef]
- Che, H.; Qi, B.; Zhao, H.; Xia, X.; Eck, T.F.; Goloub, P.; Dubovik, O.; Estelles, V.; Cuevas-Agulló, C.; Blarel, L.; et al. Aerosol optical properties and direct radiative forcing based on measurements from the China Aerosol Remote Sensing Network (CARSNET) in eastern China. Atmos. Chem. Phys. 2018, 18, 405–425. [Google Scholar] [CrossRef]
- Ginoux, P.; Prospero, J.M.; Gill, T.E.; Hsu, N.C.; Zhao, M. Global-scale attribution of anthropogenic and natural dust sources and their emission rates based on MODIS Deep Blue aerosol products. Rev. Geophys. 2012, 50. [Google Scholar] [CrossRef]
- Li, J.; He, Q.; Jin, L.; Ge, X. Three-dimensional distribution of dust aerosols over the Tarim Basin and the Tibet Plateau during 2007–2021 derived from CALIPSO lidar observations. J. Clean. Prod. 2023, 400, 136746. [Google Scholar] [CrossRef]
- Wang, Z.; Huang, X.; Huang, Q.; Ding, A. Environmental impacts of aerosol radiative effect and urbanization and their interactions over the Beijing-Tianjin-Hebei City cluster. Urban Clim. 2024, 56, 102020. [Google Scholar] [CrossRef]
- Aili, A.; Xu, H.; Kasim, T.; Abulikemu, A. Origin and transport pathway of dust storm and its contribution to particulate air pollution in northeast edge of Taklimakan Desert, China. Atmosphere 2021, 12, 113. [Google Scholar] [CrossRef]
- Xing, C.; Liu, C.; Wu, H.; Lin, J.; Wang, F.; Wang, S.; Gao, M. Ground-based vertical profile observations of atmospheric composition on the Tibetan Plateau (2017–2019). Earth Syst. Sci. Data 2021, 13, 4897–4912. [Google Scholar] [CrossRef]
- Li, Z.; Xia, X.; Cribb, M.; Mi, W.; Holben, B.; Wang, P.; Chen, H.; Tsay, S.; Eck, F.T.; Zhao, F.; et al. Aerosol optical properties and their radiative effects in northern China. J. Geophys. Res. Atmos. 2007, 112. [Google Scholar] [CrossRef]
- Estellés, V.; Campanelli, M.; Utrillas, M.P.; Expósito, F.; Martínez-Lozano, J.A. Comparison of AERONET and SKYRAD4. 2 inversion products retrieved from a Cimel CE318 sun-photometer. Atmos. Meas. Tech. 2012, 5, 569–579. [Google Scholar] [CrossRef]
- Karakaş, S.Y.; Tuncel, S.G. Chemical characteristics of atmospheric aerosols in a rural site of northwestern Anatolia. Atmos. Environ. 1997, 31, 2933–2943. [Google Scholar] [CrossRef]
- Li, K.; Ma, Y.; Li, L.; Huang, B. Chemical Composition and Mixing State of Fine Particles during Haze Periods in Yinchuan. Aerosol Air Qual. Res. 2023, 23, 230116. [Google Scholar] [CrossRef]
- Li, J.; Carlson, B.E.; Dubovik, O.; Lacis, A.A. Recent trends in aerosol optical properties derived from AERONET measurements. Atmos. Chem. Phys. 2014, 14, 12271–12289. [Google Scholar] [CrossRef]
- Liu, Y.; Sato, Y.; Jia, R.; Xie, Y.; Huang, J.; Nakajima, T. Modeling study on the transport of summer dust and anthropogenic aerosols over the Tibetan Plateau. Atmos. Chem. Phys. 2015, 15, 12581–12594. [Google Scholar] [CrossRef]
- Yang, Y.; Russell, L.M.; Lou, S.; Liao, H.; Guo, J.; Liu, Y.; Singh, B.; Ghan, S.J. Dust-wind interactions can intensify aerosol pollution over eastern China. Nat. Commun. 2017, 8, 15333. [Google Scholar] [CrossRef]
- Yang, X.; Shen, S.; Yang, F.; He, Q.; Ali, M.; Huo, W.; Liu, X. Spatial and temporal variations of blowing dust events in the Taklimakan Desert. Theor. Appl. Climatol. 2016, 125, 669–677. [Google Scholar] [CrossRef]
- Yang, M.; Howell, S.G.; Zhuang, J.; Huebert, B.J. Attribution of aerosol light absorption to black carbon, brown carbon, and dust in China–interpretations of atmospheric measurements during EAST-AIRE. Atmos. Chem. Phys. 2009, 9, 2035–2050. [Google Scholar] [CrossRef]
- Zhang, Q.; Jimenez, J.L.; Canagaratna, M.R.; Allan, J.D.; Coe, H.; Ulbrich, I.; Alfarra, M.R.; Takami, A.; Middlebrook, A.M.; Sun, Y.L.; et al. Ubiquity and dominance of oxygenated species in organic aerosols in anthropogenically-influenced Northern Hemisphere midlatitudes. Geophys. Res. Lett. 2007, 34. [Google Scholar] [CrossRef]
- Huang, R.J.; Zhang, Y.; Bozzetti, C.; Ho, K.F.; Cao, J.J.; Han, Y.; Daellenbach, K.R.; Slowik, J.G.; Platt, S.M.; Canonaco, M.; et al. High secondary aerosol contribution to particulate pollution during haze events in China. Nature 2014, 514, 218–222. [Google Scholar] [CrossRef] [PubMed]
- Wen, W.; Guo, C.; Ma, X.; Zhao, X.; Chen, D.; Xu, J. Impact of emission reduction on aerosol-radiation interaction during heavy pollution periods over Beijing-Tianjin-Hebei region in China. J. Environ. Sci. 2020, 95, 2–13. [Google Scholar] [CrossRef] [PubMed]
- Liu, J.; Zheng, Y.; Li, Z.; Wu, R. Ground-based remote sensing of aerosol optical properties in one city in Northwest China. Atmos. Res. 2008, 89, 194–205. [Google Scholar] [CrossRef]
- An, Z.; Huang, R.J.; Zhang, R.; Tie, X.; Li, G.; Cao, J.; Zhou, W.; Shi, Z.; Han, Y.; Gu, Z.; et al. Severe haze in northern China: A synergy of anthropogenic emissions and atmospheric processes. Proc. Natl. Acad. Sci. USA 2019, 116, 8657–8666. [Google Scholar] [CrossRef]
- Chen, Y.; Ebenstein, A.; Greenstone, M.; Li, H. Evidence on the impact of sustained exposure to air pollution on life expectancy from China’s Huai River policy. Proc. Natl. Acad. Sci. USA 2013, 110, 12936–12941. [Google Scholar] [CrossRef] [PubMed]
- Ramachandran, S.; Rupakheti, M.; Lawrence, M.G. Aerosol-induced atmospheric heating rate decreases over South and East Asia as a result of changing content and composition. Sci. Rep. 2020, 10, 20091. [Google Scholar] [CrossRef] [PubMed]
- Cappa, C.D.; Onasch, T.B.; Massoli, P.; Worsnop, D.R.; Bates, T.S.; Cross, E.S.; Davidovits, P.; Hakala, J.; Hayden, K.L.; Jobson, B.T.; et al. Radiative absorption enhancements due to the mixing state of atmospheric black carbon. Science 2012, 337, 1078–1081. [Google Scholar] [CrossRef]
- Zheng, H.; Kong, S.; Chen, N.; Wu, C. Secondary inorganic aerosol dominated the light absorption enhancement of black carbon aerosol in Wuhan, Central China. Atmos. Environ. 2022, 287, 119288. [Google Scholar] [CrossRef]
- Wang, Q.; Sun, Y.; Xu, W.; Du, W.; Zhou, L.; Tang, G.; Chen, C.; Cheng, X.; Zhao, X.; Ji, D.; et al. Vertically resolved characteristics of air pollution during two severe winter haze episodes in urban Beijing, China. Atmos. Chem. Phys. 2018, 18, 2495–2509. [Google Scholar] [CrossRef]
- Liu, S.; Aiken, A.C.; Gorkowski, K.; Dubey, M.K.; Cappa, C.D.; Williams, L.R.; Herndon, S.C.; Massoli, P.; Fortner, E.C.; Chhabra, P.S.; et al. Enhanced light absorption by mixed source black and brown carbon particles in UK winter. Nat. Commun. 2015, 6, 8435. [Google Scholar] [CrossRef]
- Cheng, Y.; He, K.; Engling, G.; Weber, R.; Liu, J.M.; Du, Z.Y.; Dong, S.P. Brown and black carbon in Beijing aerosol: Implications for the effects of brown coating on light absorption by black carbon. Sci. Total Environ. 2017, 599, 1047–1055. [Google Scholar] [CrossRef]
- Bellouin, N.; Quaas, J.; Gryspeerdt, E.; Kinne, S.; Stier, P.; Watson-Parris, D.; Boucher, O.; Carslaw, K.S.; Christensen, M.; Daniau, A.L.; et al. Bounding global aerosol radiative forcing of climate change. Rev. Geophys. 2020, 58, e2019RG000660. [Google Scholar] [CrossRef]
- Wang, F.; Li, Z.; Jiang, Q.; Ren, X.; He, H.; Tang, Y.; Dong, X.; Sun, Y.; Dickerson, R.R. Comparative Analysis of Aerosol Vertical Characteristics over the North China Plain Based on Multi-Source Observation Data. Remote Sens. 2024, 16, 609. [Google Scholar] [CrossRef]










| Different Scenarios | TOA | BOA | ATM |
|---|---|---|---|
| Dust (W m−2) | −14.11 ± 5.2 | −28.96 ± 6.8 | 14.85 ± 4.2 |
| Anthrop (W m−2) | −10.34 ± 4.8 | −19.30 ± 5.6 | 8.97 ± 3.4 |
| External Mixing (W m−2) | −24.75 ± 7.6 | −50.47 ± 8.2 | 25.72 ± 6.0 |
| Internal Mixing (W m−2) | −14.35 ± 7.1 | −66.60 ± 9.4 | 52.25 ± 9.8 |
Disclaimer/Publisher’s Note: The statements, opinions and data contained in all publications are solely those of the individual author(s) and contributor(s) and not of MDPI and/or the editor(s). MDPI and/or the editor(s) disclaim responsibility for any injury to people or property resulting from any ideas, methods, instructions or products referred to in the content. |
© 2025 by the authors. Licensee MDPI, Basel, Switzerland. This article is an open access article distributed under the terms and conditions of the Creative Commons Attribution (CC BY) license (https://creativecommons.org/licenses/by/4.0/).
Share and Cite
Gong, X.; Zhang, R.; Sun, X.; Xiu, D.; Mao, J.; Zhao, H.; Rao, Z. Vertical Stratification of Dust and Anthropogenic Aerosols and Their Seasonal Impact on Radiative Forcing in Semi-Arid Northwest China. Atmosphere 2025, 16, 718. https://doi.org/10.3390/atmos16060718
Gong X, Zhang R, Sun X, Xiu D, Mao J, Zhao H, Rao Z. Vertical Stratification of Dust and Anthropogenic Aerosols and Their Seasonal Impact on Radiative Forcing in Semi-Arid Northwest China. Atmosphere. 2025; 16(6):718. https://doi.org/10.3390/atmos16060718
Chicago/Turabian StyleGong, Xin, Ruizhao Zhang, Xiaoling Sun, Delong Xiu, Jiandong Mao, Hu Zhao, and Zhimin Rao. 2025. "Vertical Stratification of Dust and Anthropogenic Aerosols and Their Seasonal Impact on Radiative Forcing in Semi-Arid Northwest China" Atmosphere 16, no. 6: 718. https://doi.org/10.3390/atmos16060718
APA StyleGong, X., Zhang, R., Sun, X., Xiu, D., Mao, J., Zhao, H., & Rao, Z. (2025). Vertical Stratification of Dust and Anthropogenic Aerosols and Their Seasonal Impact on Radiative Forcing in Semi-Arid Northwest China. Atmosphere, 16(6), 718. https://doi.org/10.3390/atmos16060718

