Application of Unmanned Aerial Vehicle Observation for Estimating City-Scale Anthropogenic CO2 Emissions: A Case Study in Chengdu, Southwestern China
Abstract
1. Introduction
2. Materials and Methods
2.1. Study Area
2.2. Sampling Instrumentation and Flight Design
2.3. Meteorological Parameters
2.4. UAV-Based Estimation of CO2 Emission Rates
2.4.1. Observation-Based Estimation of CO2 Emission Rates
2.4.2. Estimation of Yearly Emission Rates from the UAV-Based Emissions
2.5. Census-Based Estimation of CO2 Emission Rates
3. Results
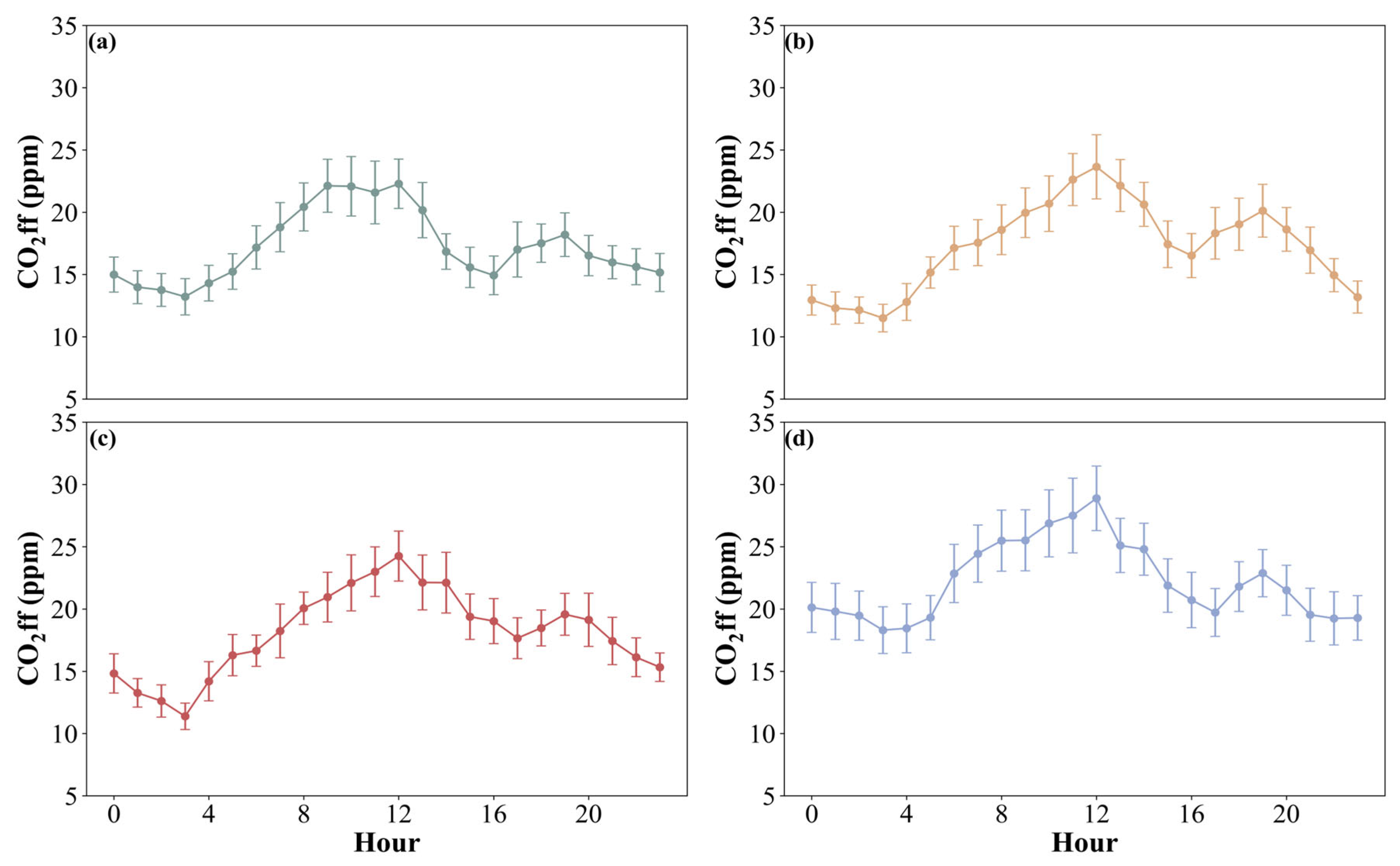
3.1. UAV Sounding Results
3.2. Emission Rate and Its Uncertainties
3.3. Comparison Between Census and UAV-Based Estimations of CO2 Emissions
3.3.1. Census-Based Emission Rates
3.3.2. Estimated Annual CO2 Emissions Based on UAV Observations
4. Discussion
5. Conclusions
Supplementary Materials
Author Contributions
Funding
Institutional Review Board Statement
Informed Consent Statement
Data Availability Statement
Conflicts of Interest
References
- Liu, X.; Xu, H.Z.; Zhang, M. The effects of urban expansion on carbon emissions: Based on the spatial interaction and transmission mechanism. J. Clean. Prod. 2024, 434, 140019. [Google Scholar] [CrossRef]
- Sitompul, M.; Suroso, A.I.; Sumarwan, U.; Zulbainarni, N. Revisiting the Impact of Corporate Carbon Management Strategies on Corporate Financial Performance: A Systematic Literature Review. Economies 2023, 11, 171. [Google Scholar] [CrossRef]
- C40 Cities. The Low Carbon Investment Landscape in C40 Cities: An Analysis of the Sustainable Infrastructure Projects Currently in Development Across C40 Cities. Available online: https://www.c40.org/researches/the-low-carbon-investment-landscape-in-c40-cities (accessed on 6 February 2025).
- Wu, T.; An, M.Q.; Zhang, L.L.; Wu, X.Z.; Li, M.Y. Modeling urban expansion and its impacts on carbon storage through integrative scenario analysis for sustainable development in the Changchun-Jilin-Tumen region. Sustain. Cities Soc. 2024, 117, 105970. [Google Scholar] [CrossRef]
- Hu, Q.L.; Mijit, R.; Xu, J.X.; Miao, S. Can government-led urban expansion simultaneously alleviate pollution and carbon emissions? Staggered difference-in-differences evidence from Chinese firms. Econ. Anal. Policy 2024, 84, 1–25. [Google Scholar] [CrossRef]
- Xiao-Yi, L.I.; Rui, W.U. Research on greenhouse gas emissions accounting boundaries and calculating method of the transport sector. Adv. Clim. Change Res. 2023, 19, 84–90. [Google Scholar]
- Oda, T.; Bun, R.; Kinakh, V.; Topylko, P.; Halushchak, M.; Marland, G.; Lauvaux, T.; Jonas, M.; Maksyutov, S.; Nahorski, Z.; et al. Errors and uncertainties in a gridded carbon dioxide emissions inventory. Mitig. Adapt. Strateg. Glob. Change 2019, 24, 1007–1050. [Google Scholar] [CrossRef]
- Andres, R.J.; Boden, T.A.; Bréon, F.M.; Ciais, P.; Davis, S.; Erickson, D.; Gregg, J.S.; Jacobson, A.; Marland, G.; Miller, J.; et al. A synthesis of carbon dioxide emissions from fossil-fuel combustion. Biogeosciences 2012, 9, 1845–1871. [Google Scholar] [CrossRef]
- Boden, T.A.; Marland, G.; Andres, R.J. Global, Regional, and National Fossil-Fuel CO2 Emissions (1751–2014) (V. 2017). 1999. Available online: https://data.ess-dive.lbl.gov/view/doi:10.3334/CDIAC/00001_V2017 (accessed on 10 March 2025).
- Oda, T.; Maksyutov, S.; Andres, R.J. The Open-source Data Inventory for Anthropogenic CO2, version 2016 (ODIAC2016): A global monthly fossil fuel CO2 gridded emissions data product for tracer transport simulations and surface flux inversions. Earth Syst. Sci. Data 2018, 10, 87–107. [Google Scholar] [CrossRef] [PubMed]
- Bo, X.; Shan, W.Y.; Qu, J.B.; Lei, T.T.; Sang, M.J.; Li, Z.L.; Lin, A.J. Construction of a high-resolution city-level emission inventory based on multiple methods: A case study of Cangzhou City, China. Environ. Dev. Sustain. 2025. [Google Scholar] [CrossRef]
- Xia, L.; Liu, R.; Fan, W.X.; Ren, C.X. Emerging carbon dioxide hotspots in East Asia identified by a top-down inventory. Commun. Earth Environ. 2025, 6, 10. [Google Scholar] [CrossRef]
- Huang, W.J.; Griffis, T.J.; Hu, C.; Xiao, W.; Lee, X.H. Seasonal Variations of CH4 Emissions in the Yangtze River Delta Region of China Are Driven by Agricultural Activities. Adv. Atmos. Sci. 2021, 38, 1537–1551. [Google Scholar] [CrossRef]
- Hu, C.; Xu, J.P.; Liu, C.; Chen, Y.; Yang, D.; Huang, W.J.; Deng, L.C.; Liu, S.D.; Griffis, T.J.; Lee, X.H. Anthropogenic and natural controls on atmospheric δ13C-CO2 variations in the Yangtze River delta: Insights from a carbon isotope modeling framework. Atmos. Meas. Tech. 2021, 21, 10015–10037. [Google Scholar] [CrossRef]
- Liggio, J.; Li, S.M.; Staebler, R.M.; Hayden, K.; Darlington, A.; Mittermeier, R.L.; O’Brien, J.; McLaren, R.; Wolde, M.; Worthy, D.; et al. Measured Canadian oil sands CO2 emissions are higher than estimates made using internationally recommended methods. Nat. Commun. 2019, 10, 1863. [Google Scholar] [CrossRef]
- Cui, X.; Newman, S.; Xu, X.; Andrews, A.E.; Miller, J.; Lehman, S.; Jeong, S.; Zhang, J.; Priest, C.; Campos-Pineda, M.; et al. Atmospheric observation-based estimation of fossil fuel CO2 emissions from regions of central and southern California. Sci. Total Environ. 2019, 664, 381–391. [Google Scholar] [CrossRef] [PubMed]
- Zhong, W.Y.; Zhai, D.S.; Xu, W.R.; Gong, W.W.; Yan, C.; Zhang, Y.; Qi, L.Y. Accurate and efficient daily carbon emission forecasting based on improved ARIMA. Appl. Energ. 2024, 376, 124232. [Google Scholar] [CrossRef]
- Liu, H.L.; Hu, C.; Xiao, Q.T.; Zhang, J.Q.; Sun, F.; Shi, X.J.; Chen, X.; Yang, Y.R.; Xiao, W. Analysis of anthropogenic CO2 emission uncertainty and influencing factors at city scale in Yangtze River Delta region: One of the world’s largest emission hotspots. Atmos. Pollut. Res. 2024, 15, 102281. [Google Scholar] [CrossRef]
- Mallia, D.V.; Mitchell, L.E.; Vidal, A.E.G.; Wu, D.; Kunik, L.; Lin, J.C. Can We Detect Urban-Scale CO2 Emission Changes Within Medium-Sized Cities? J. Geophys. Res.-Atmos. 2023, 128, e2023JD038686. [Google Scholar] [CrossRef]
- Mays, K.L.; Shepson, P.B.; Stirm, B.H.; Karion, A.; Sweeney, C.; Gurney, K.R. Aircraft-Based Measurements of the Carbon Footprint of Indianapolis. Environ. Sci. Technol. 2009, 43, 7816–7823. [Google Scholar] [CrossRef]
- Cambaliza, M.O.L.; Shepson, P.B.; Caulton, D.R.; Stirm, B.; Samarov, D.; Gurney, K.R.; Turnbull, J.; Davis, K.J.; Possolo, A.; Karion, A.; et al. Assessment of uncertainties of an aircraft-based mass balance approach for quantifying urban greenhouse gas emissions. Atmos. Chem. Phys. 2014, 14, 9029–9050. [Google Scholar] [CrossRef]
- Zhang, S.Q.; Lei, L.P.; Sheng, M.Y.; Song, H.; Li, L.M.; Guo, K.Y.; Ma, C.H.; Liu, L.Y.; Zeng, Z.C. Evaluating Anthropogenic CO2 Bottom-Up Emission Inventories Using Satellite Observations from GOSAT and OCO-2. Remote Sens. 2022, 14, 5024. [Google Scholar] [CrossRef]
- Turner, A.J.; Shusterman, A.A.; McDonald, B.C.; Teige, V.; Harley, R.A.; Cohen, R.C. Network design for quantifying urban CO2 emissions: Assessing trade-offs between precision and network density. Atmos. Chem. Phys. 2016, 16, 13465–13475. [Google Scholar] [CrossRef]
- Cambaliza, M.O.L.; Shepson, P.B.; Bogner, J.; Caulton, D.R.; Stirm, B.; Sweeney, C.; Montzka, S.A.; Gurney, K.R.; Spokas, K.; Salmon, O.E.; et al. Quantification and source apportionment of the methane emission flux from the city of Indianapolis. Elementa Sci. Anthr. 2015, 3, 000037. [Google Scholar] [CrossRef]
- Mohsan, S.A.H.; Othman, N.Q.H.; Li, Y.L.; Alsharif, M.H.; Khan, M.A. Unmanned aerial vehicles (UAVs): Practical aspects, applications, open challenges, security issues, and future trends. Intell. Serv. Robot. 2023, 16, 109–137. [Google Scholar] [CrossRef]
- Wong, G.; Wang, H.; Park, M.; Park, J.; Ahn, J.-Y.; Sung, M.; Choi, J.; Park, T.; Ban, J.; Kang, S.; et al. Optimizing an airborne mass-balance methodology for accurate emission rate quantification of industrial facilities: A case study of industrial facilities in South Korea. Sci. Total Environ. 2024, 912, 169204. [Google Scholar] [CrossRef] [PubMed]
- Khaleghi, A.; MacKay, K.; Darlington, A.; James, L.A.; Risk, D. Methane emission rate estimates of offshore oil platforms in Newfoundland and Labrador, Canada. Elementa Sci. Anthrop. 2024, 12, 00025. [Google Scholar] [CrossRef]
- Han, T.R.; Liggio, J.; Narayan, J.; Liu, Y.Y.; Hayden, K.; Mittermeier, R.; Darlington, A.; Wheeler, M.; Cober, S.; Zhang, Y.H.; et al. Quantification of Methane Emissions from Cold Heavy Oil Production with Sand Extraction in Alberta and Saskatchewan, Canada. Environ. Sci. Technol. 2024, 58, 13284–13295. [Google Scholar] [CrossRef]
- Han, T.; Xie, C.; Liu, Y.; Yang, Y.; Zhang, Y.; Huang, Y.; Gao, X.; Zhang, X.; Bao, F.; Li, S.M. Development of a continuous UAV-mounted air sampler and application to the quantification of CO2 and CH4 emissions from a major coking plant. Atmos. Meas. Tech. 2024, 17, 677–691. [Google Scholar] [CrossRef]
- Tomlin, J.M.; Lopez-Coto, I.; Hajny, K.D.; Pitt, J.R.; Kaeser, R.; Stirm, B.H.; Jayarathne, T.; Floerchinger, C.R.; Commane, R.; Shepson, P.B. Spatial attribution of aircraft mass balance experiment CO2 estimations for policy-relevant boundaries: New York City. Elementa Sci. Anthrop. 2023, 11, 00046. [Google Scholar] [CrossRef]
- Yu, J.; Yu, L.; Luo, Y.N.; Zhang, P.W. Research on the development path of Chengdu as a low-carbon city under the dual constraints of carbon emission and economic growth. Front. Environ. Sci. 2024, 12, 1494848. [Google Scholar] [CrossRef]
- Xu, M.; Yang, X.; Deng, L.L.; Liao, X.; Niu, Z.S.; Hao, L.N. Decoupling state of urban development and carbon emissions and its driving factors and predictions: A case study of Chengdu metropolitan area. Ecol. Inform. 2024, 82, 102692. [Google Scholar] [CrossRef]
- Leitner, S.; Feichtinger, W.; Mayer, S.; Mayer, F.; Krompetz, D.; Hood-Nowotny, R.; Watzinger, A. UAV-based sampling systems to analyse greenhouse gases and volatile organic compounds encompassing compound-specific stable isotope analysis. Atmos. Meas. Tech. 2023, 16, 513–527. [Google Scholar] [CrossRef]
- Do, S.; Lee, M.; Kim, J.S. The Effect of a Flow Field on Chemical Detection Performance of Quadrotor Drone. Sensors 2020, 20, 3262. [Google Scholar] [CrossRef]
- Zhou, S.D.; Peng, S.L.; Wang, M.; Shen, A.; Liu, Z.H. The Characteristics and Contributing Factors of Air Pollution in Nanjing: A Case Study Based on an Unmanned Aerial Vehicle Experiment and Multiple Datasets. Atmosphere 2018, 9, 343. [Google Scholar] [CrossRef]
- Liu, C.J.; Ilvesiemi, H.; Kutsch, W.; Ma, X.Q.; Westman, C.J.; Kauppi, P. An estimate on the rainout of atmospheric CO2. J. Environ. Sci. 2004, 16, 86–89. [Google Scholar]
- Hersbach, H.; Bell, B.; Berrisford, P.; Biavati, G.; Horányi, A.; Muñoz Sabater, J.; Nicolas, J.; Peubey, C.; Radu, R.; Rozum, I.; et al. ERA5 Hourly Data on Pressure Levels from 1940 to Present; Copernicus Climate Change Service (C3S): Reading, UK, 2023; Climate Data Store (CDS). [Google Scholar] [CrossRef]
- Holzworth, G.C. Mixing Depths, Wind Speeds and Air Pollution Potential for Selected Locations in the United States. J. Appl. Meteorol. Climatol. 1967, 6, 1039–1044. [Google Scholar] [CrossRef]
- Wunch, D.; Wennberg, P.O.; Toon, G.C.; Keppel-Aleks, G.; Yavin, Y.G. Emissions of greenhouse gases from a North American megacity. Geophys. Res. Lett. 2009, 36, 15810. [Google Scholar] [CrossRef]
- Shan, Y.L.; Huang, Q.; Guan, D.B.; Hubacek, K. China CO2 emission accounts 2016–2017. Sci. Data 2020, 7, 54. [Google Scholar] [CrossRef]
- Shan, Y.L.; Guan, D.B.; Zheng, H.R.; Ou, J.M.; Li, Y.; Meng, J.; Mi, Z.F.; Liu, Z.; Zhang, Q. Data Descriptor: China CO2 emission accounts 1997–2015. Sci. Data 2018, 5, 170201. [Google Scholar] [CrossRef] [PubMed]
- Xu, J.H.; Guan, Y.R.; Oldfield, J.; Guan, D.B.; Shan, Y.L. China carbon emission accounts 2020–2021. Appl. Energ. 2024, 360, 122837. [Google Scholar] [CrossRef]
- IPCC. 2019 Refinement to the 2006 IPCC Guidelines for National Greenhouse Gas Inventories; IPCC: Geneva, Switzerland, 2019. Available online: https://www.ipcc.ch/report/2019-refinement-to-the-2006-ipcc-guidelines-for-national-greenhouse-gas-inventories/ (accessed on 6 February 2025).
- Tian, P.-N.; Mao, B.-H.; Tong, R.-Y.; Zhang, H.-X.; Zhou, Q. Analysis of carbon emission level and intensity of China’s transportation industry and different transportation modes. Adv. Clim. Change Res. 2023, 19, 347–356. [Google Scholar]
- Pan, Y.J.; Li, Y.; Chen, J.H.; Shi, J.C.; Tian, H.; Zhang, J.; Zhou, J.; Chen, X.; Liu, Z.; Qian, J. Method for High-resolution Emission Inventory for Road Vehicles in Chengdu Based on Traffic Flow Monitoring Data. Huan Jing Ke Xue 2020, 41, 3581–3590. [Google Scholar] [PubMed]
- Ministry of Industry and Information Technology of the People’s Republic of China. Announcement of Average Fuel Consumption and New Energy Vehicle Credits of Chinese Passenger Vehicle Enterprises for 2019. Available online: https://ythxxfb.miit.gov.cn/ythzxfwpt/hlwmh/zcwj/xzxk/clsczr/art/2020/art_a14a402f2b5b4ac6addad2998f845fd0.html (accessed on 6 February 2025).
- National Energy Administration. Economical and Environmentally Friendly Natural Gas Buses Operating in Many Parts of Jiangxi Province. Available online: http://www.nea.gov.cn/2012-10/19/c_131915953.htm (accessed on 6 February 2025).
- Gao, J.; Xiao, Y.; Wang, J. Research on Emission and Energy Consumption Evaluation Method of National VI Heavy-Duty Diesel Vehicles. Sci. Dev. Res. 2022, 2, 82–85. [Google Scholar]
- Heimburger, A.; Losno, R.; Triquet, S.; Nguyen, E.B. Atmospheric deposition fluxes of 26 elements over the Southern Indian Ocean: Time series on Kerguelen and Crozet Islands. Glob. Biogeochem. Cycles 2013, 27, 440–449. [Google Scholar] [CrossRef]
- Heimburger, A.; Harvey, R.; Shepson, P.; Stirm, B.; Gore, C.; Turnbull, J.; Cambaliza, M.; Salmon, O.; Kerlo, A.-E.; Lavoie, T.; et al. Assessing the optimized precision of the aircraft mass balance method for measurement of urban greenhouse gas emission rates through averaging. Elem. Sci. Anth. 2017, 5, 26. [Google Scholar] [CrossRef]
- Shan, Y.L.; Guan, Y.R.; Hang, Y.; Zheng, H.R.; Li, Y.X.; Guan, D.B.; Li, J.S.; Zhou, Y.; Li, L.; Hubacek, K. City-level emission peak and drivers in China. Sci. Bull. 2022, 67, 1910–1920. [Google Scholar] [CrossRef]
- Shan, Y.L.; Guan, D.B.; Hubacek, K.; Zheng, B.; Davis, S.J.; Jia, L.C.; Liu, J.H.; Liu, Z.; Fromer, N.; Mi, Z.F.; et al. City-level climate change mitigation in China. Sci. Adv. 2018, 4, eaaq0390. [Google Scholar] [CrossRef]
- Shan, Y.L.; Guan, D.B.; Liu, J.H.; Mi, Z.F.; Liu, Z.; Liu, J.R.; Schroeder, H.; Cai, B.F.; Chen, Y.; Shao, S.; et al. Methodology and applications of city level CO2 emission accounts in China. J. Clean. Prod. 2017, 161, 1215–1225. [Google Scholar] [CrossRef]
- Shan, Y.L.; Liu, J.H.; Liu, Z.; Shao, S.; Guan, D.B. An emissions-socioeconomic inventory of Chinese cities. Sci. Data 2019, 6, 190027. [Google Scholar] [CrossRef]
- Vogel, F.R.; Hammer, S.; Steinhof, A.; Kromer, B.; Levin, I. Implication of weekly and diurnal 14C calibration on hourly estimates of CO-based fossil fuel CO2 at a moderately polluted site in southwestern Germany. Tellus B. Chem. Phys. Meteorol. 2010, 62, 512–520. [Google Scholar] [CrossRef]
- Zhao, T.H.; Yang, D.X.; Guo, D.; Wang, Y.; Yao, L.; Ren, X.Y.; Fan, M.; Cai, Z.N.; Wu, K.; Liu, Y. Low-cost UAV coordinated carbon observation network: Carbon dioxide measurement with multiple UAVs. Atmos. Environ. 2024, 332, 120609. [Google Scholar] [CrossRef]
- Kim, K.T.; Kim, H.; Jeong, S.; Lee, Y.S.; Choi, E.; Kim, J.Y. Quantification of greenhouse gas emissions from a municipal solid waste incinerator using an uncrewed aerial vehicle. Environ. Int. 2025, 198, 109396. [Google Scholar] [CrossRef] [PubMed]
- Shah, A.; Ricketts, H.; Pitt, J.R.; Shaw, J.T.; Kabbabe, K.; Leen, J.B.; Allen, G. Unmanned aerial vehicle observations of cold venting from exploratory hydraulic fracturing in the United Kingdom. Environ. Res. Commun. 2020, 2, 021003. [Google Scholar] [CrossRef]






| Month | CO Concentration (ppb) | CO2 Concentration (ppm) |
|---|---|---|
| January | 100.07 | 422.38 |
| February | 125.40 | 423.30 |
| March | 129.78 | 424.03 |
| April | 124.67 | 426.06 |
| May | 123.82 | 425.74 |
| June | 137.98 | 420.63 |
| July | 140.86 | 415.92 |
| August | 129.86 | 415.58 |
| September | 129.75 | 417.43 |
| October | 111.56 | 420.70 |
| November | 105.03 | 421.95 |
| December | 107.84 | 422.89 |
| Vehicle Type | Number of Vehicles (10,000 Units) | Average Annual Mileage (km) |
|---|---|---|
| Cars (Gasoline) | 563.00 | 16,000 |
| Buses (Natural Gas) | 0.80 | 30,000 |
| Taxis (Natural Gas) | 1.00 | 90,000 |
| Diesel Vehicles | 26.76 | 20,000 |
| Vehicle Type | Fuel Type | Fuel Consumption per 100 km | References |
|---|---|---|---|
| Cars | Gasoline | 5.56 L | [46] |
| Buses | Natural Gas | 36 Nm3 | [47] |
| Taxis | Natural Gas | 7.76 Nm3 | [46] |
| Diesel Vehicles | Diesel | 15.00 L | [48] |
| Section Number | CO2 Emission Rate (mol/s) |
|---|---|
| 8-7 | 432.52 |
| 7-6 | 3027.32 |
| 6-5 | 4549.18 |
| 5-4 | 2660.94 |
| 4-3 | 6505.39 |
| 3-2 | 7006.57 |
| 2-1 | 11,216.70 |
| Total | 35,398.62 |
Disclaimer/Publisher’s Note: The statements, opinions and data contained in all publications are solely those of the individual author(s) and contributor(s) and not of MDPI and/or the editor(s). MDPI and/or the editor(s) disclaim responsibility for any injury to people or property resulting from any ideas, methods, instructions or products referred to in the content. |
© 2025 by the authors. Licensee MDPI, Basel, Switzerland. This article is an open access article distributed under the terms and conditions of the Creative Commons Attribution (CC BY) license (https://creativecommons.org/licenses/by/4.0/).
Share and Cite
Xiang, X.; Xiao, K.; Wang, X.; Wang, X.; Zheng, X.; Kong, X.; Zhou, L.; Shi, G.; Yang, F. Application of Unmanned Aerial Vehicle Observation for Estimating City-Scale Anthropogenic CO2 Emissions: A Case Study in Chengdu, Southwestern China. Atmosphere 2025, 16, 713. https://doi.org/10.3390/atmos16060713
Xiang X, Xiao K, Wang X, Wang X, Zheng X, Kong X, Zhou L, Shi G, Yang F. Application of Unmanned Aerial Vehicle Observation for Estimating City-Scale Anthropogenic CO2 Emissions: A Case Study in Chengdu, Southwestern China. Atmosphere. 2025; 16(6):713. https://doi.org/10.3390/atmos16060713
Chicago/Turabian StyleXiang, Xingyu, Kuang Xiao, Xing Wang, Xi Wang, Xin Zheng, Xiaodie Kong, Li Zhou, Guangming Shi, and Fumo Yang. 2025. "Application of Unmanned Aerial Vehicle Observation for Estimating City-Scale Anthropogenic CO2 Emissions: A Case Study in Chengdu, Southwestern China" Atmosphere 16, no. 6: 713. https://doi.org/10.3390/atmos16060713
APA StyleXiang, X., Xiao, K., Wang, X., Wang, X., Zheng, X., Kong, X., Zhou, L., Shi, G., & Yang, F. (2025). Application of Unmanned Aerial Vehicle Observation for Estimating City-Scale Anthropogenic CO2 Emissions: A Case Study in Chengdu, Southwestern China. Atmosphere, 16(6), 713. https://doi.org/10.3390/atmos16060713

