Vegetation Configuration Effects on Microclimate and PM2.5 Concentrations: A Case Study of High-Rise Residential Complexes in Northern China
Abstract
1. Introduction
2. Methods
2.1. Simulations Tool
- (1)
- Air Flow Field
- (2)
- Atmospheric Turbulence
- (3)
- Vegetation Model
- (4)
- Air Flow Field Particle Model
2.2. Site Details
2.3. Field Measurements
2.4. Simulation
2.4.1. Model Configuration
2.4.2. Model Calibration and Validation
2.4.3. Vegetation Layout
2.5. Evaluation Indices
3. Results
3.1. Comparison of Measured and Simulated Values
3.2. Impacts of Different Vegetation Configurations on the Air Quality
3.3. Impacts of Different Vegetation Configurations on the Outdoor Thermal Environment
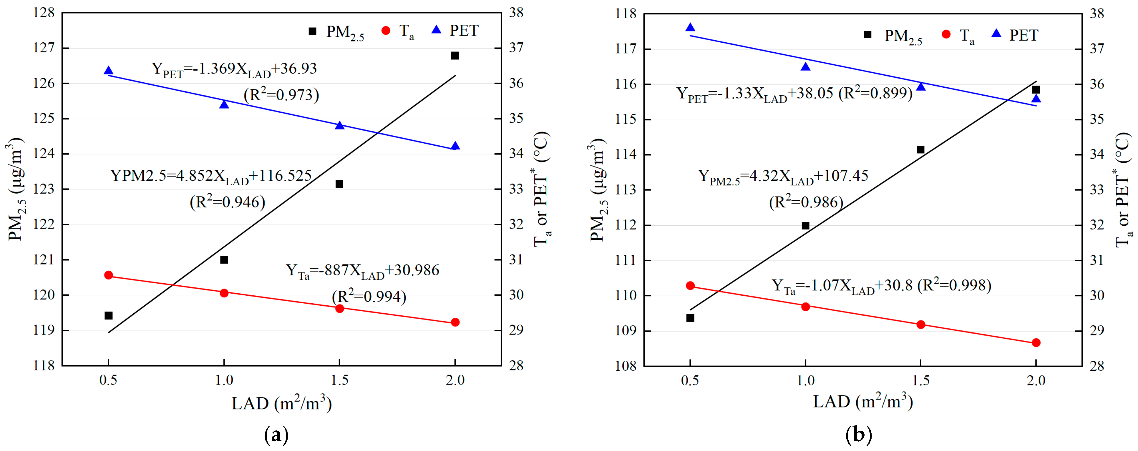
3.4. Impact of the Greening Configuration on the Outdoor Environment
4. Discussion
4.1. Vegetation Configuration and Environmental Trade-Offs
4.2. Urban Ventilation: Mitigating Heat Islands and Pollution
4.3. Limitations and Future Directions
5. Conclusions
Author Contributions
Funding
Institutional Review Board Statement
Informed Consent Statement
Data Availability Statement
Acknowledgments
Conflicts of Interest
Nomenclature
| A | Velocity components of the fluid in the X, m/s |
| B | Velocity components of the fluid in the Y, m/s |
| C | Velocity components of the fluid in the Z, m/s |
| P | Reduction efficiency, % |
| R2 | Correlation coefficient |
| RH | Relative humidity, % |
| Ta | Air temperature, °C |
| u | Wind speed components, m/s |
| Abbreviation | |
| CFD | Computational fluid dynamics |
| LAD | Leaf area density |
| PET | Physiological equivalent temperature |
| PET* | Physiological equivalent temperature star |
| MAE | Mean absolute error |
| MB | Mean bias |
| MFB | Mean fractional bias |
| RMSE | Root mean squared error |
| Greek Symbols | |
| α | Diffusion coefficient |
References
- Yola, L.; Adekunle, T.O.; Ayegbusi, O.G. The Impacts of Urban Configurations on Outdoor Thermal Perceptions: Case Studies of Flat Bandar Tasik Selatan and Surya Magna in Kuala Lumpur. Buildings 2022, 12, 1684. [Google Scholar] [CrossRef]
- An, F.; Liu, J.; Lu, W.; Jareemit, D. Comparison of exposure to traffic-related pollutants on different commuting routes to a primary school in Jinan, China. Environ. Sci. Pollut. Res. 2022, 29, 43319–43340. [Google Scholar] [CrossRef]
- Zhong, H.; Feng, J.; Lam, C.K.C.; Hang, J.; Hua, J.; Gu, Z. The impact of semi-open street roofs on urban pollutant exposure and pedestrian-level thermal comfort in 2-D street canyons. Build. Environ. 2023, 239, 110387. [Google Scholar] [CrossRef]
- Fu, N.; Kim, M.K.; Huang, L.; Liu, J.; Chen, B.; Sharples, S. Investigating the reliability of estimating real-time air exchange rates in a building by using airborne particles, including PM1.0, PM2.5, and PM10: A case study in Suzhou, China. Atmos. Pollut. Res. 2024, 15, 101955. [Google Scholar] [CrossRef]
- Rahman, M.; Meng, L. Examining the Spatial and Temporal Variation of PM2.5 and Its Linkage with Meteorological Conditions in Dhaka, Bangladesh. Atmosphere 2024, 15, 1426. [Google Scholar] [CrossRef]
- Jia, X.; Zhang, B.; Yu, Y.; Xia, W.; Lu, Z.; Guo, X.; Xue, F. Greenness mitigate cause-specific mortality associated with air pollutants in ischemic and hemorrhagic stroke patients: An ecological health cohort study. Environ. Res. 2024, 251, 118512. [Google Scholar] [CrossRef]
- An, F.; Liu, J.; Lu, W.; Jareemit, D. A review of the effect of traffic-related air pollution around schools on student health and its mitigation. J. Transp. Health 2021, 23, 101249. [Google Scholar] [CrossRef]
- Ambient (Outdoor) Air Pollution. Available online: https://www.who.int/news-room/fact-sheets/detail/ambient-(outdoor)-air-quality-and-health (accessed on 2 August 2024).
- Cheng, C.; Liu, Y.; Han, C.; Fang, Q.; Cui, F.; Li, X. Effects of extreme temperature events on deaths and its interaction with air pollution. Sci. Total Environ. 2024, 915, 170212. [Google Scholar] [CrossRef]
- Kumar, P.; Sharma, A. Study on importance, procedure, and scope of outdoor thermal comfort—A review. Sustain. Cities Soc. 2020, 61, 102297. [Google Scholar] [CrossRef]
- Qin, Y.; Sun, C.; Li, D.; Zhang, H.; Wang, H.; Duan, Y. Does urban air pollution have an impact on public health? Empirical evidence from 288 prefecture-level cities in China. Urban Clim. 2023, 51, 101660. [Google Scholar] [CrossRef]
- Villani, M.G.; Russo, F.; Adani, M.; Piersanti, A.; Vitali, L.; Tinarelli, G.; Ciancarella, L.; Zanini, G.; Donateo, A.; Rinaldi, M.; et al. Evaluating the Impact of a Wall-Type Green Infrastructure on PM10 and NOx Concentrations in an Urban Street Environment. Atmosphere 2021, 12, 839. [Google Scholar] [CrossRef]
- Kandelan, S.N.; Yeganeh, M.; Peyman, S.; Panchabikesan, K.; Eicker, U. Environmental study on greenery planning scenarios to improve the air quality in urban canyons. Sustain. Cities Soc. 2022, 83, 103993. [Google Scholar] [CrossRef]
- Liu, C.; Dai, A.; Sheng, Q.; Zhu, Z. Study on the changes in concentration of air pollutants and influencing factors in road green spaces in Nanjing City during autumn and winter. Atmos. Pollut. Res. 2024, 15, 102003. [Google Scholar] [CrossRef]
- Abdi, B.; Hami, A.; Zarehaghi, D. Impact of small-scale tree planting patterns on outdoor cooling and thermal comfort. Sustain. Cities Soc. 2020, 56, 102085. [Google Scholar] [CrossRef]
- Tomson, M.; Kumar, P.; Barwise, Y.; Perez, P.; Forehead, H.; French, K.; Morawska, L.; Watts, J.F. Green infrastructure for air quality improvement in street canyons. Environ. Int. 2021, 146, 106288. [Google Scholar] [CrossRef]
- Yang, L.; Liu, J.; Zhu, S. Evaluating the Effects of Different Improvement Strategies for the Outdoor Thermal Environment at a University Campus in the Summer: A Case Study in Northern China. Buildings 2022, 12, 2254. [Google Scholar] [CrossRef]
- Abhijith, K.V.; Kumar, P.; Gallagher, J.; McNabola, A.; Baldauf, R.; Pilla, F.; Broderick, B.; Di Sabatino, S.; Pulvirenti, B. Air pollution abatement performances of green infrastructure in open road and built-up street canyon environments—A review. Atmos. Environ. 2017, 162, 71–86. [Google Scholar] [CrossRef]
- Gromke, C.; Blocken, B. Influence of avenue-trees on air quality at the urban neighborhood scale. Part II: Traffic pollutant concentrations at pedestrian level. Environ. Pollut. 2015, 196, 176–184. [Google Scholar] [CrossRef]
- Niza, I.L.; Bueno, A.M.; Gameiro da Silva, M.; Broday, E.E. Air quality and ventilation: Exploring solutions for healthy and sustainable urban environments in times of climate change. Results Eng. 2024, 24, 103157. [Google Scholar] [CrossRef]
- Rafael, S.; Vicente, B.; Rodrigues, V.; Miranda, A.I.; Borrego, C.; Lopes, M. Impacts of green infrastructures on aerodynamic flow and air quality in Porto’s urban area. Atmos. Environ. 2018, 190, 317–330. [Google Scholar] [CrossRef]
- Taleghani, M.; Clark, A.; Swan, W.; Mohegh, A. Air pollution in a microclimate; the impact of different green barriers on the dispersion. Sci. Total Environ. 2020, 711, 134649. [Google Scholar] [CrossRef] [PubMed]
- Janhäll, S. Review on urban vegetation and particle air pollution—Deposition and dispersion. Atmos. Environ. 2015, 105, 130–137. [Google Scholar] [CrossRef]
- Li, J.; Zhai, Z.; Ding, Y.; Li, H.; Deng, Y.; Chen, S.; Ye, L. Effect of optimal allocation of urban trees on the outdoor thermal environment in hot and humid areas: A case study of a university campus in Guangzhou, China. Energy Build. 2023, 300, 113640. [Google Scholar] [CrossRef]
- Chen, X.; Pei, T.; Zhou, Z.; Teng, M.; He, L.; Luo, M.; Liu, X. Efficiency differences of roadside greenbelts with three configurations in removing coarse particles (PM10): A street scale investigation in Wuhan, China. Urban For. Urban Green. 2015, 14, 354–360. [Google Scholar] [CrossRef]
- Maneechote, W.; Liu, J.; Jareemit, D. Cool Facades and Pavements: Mitigating Heat Stress and Improving Urban Thermal Conditions in Affordable Housing Project—A Case Study in Thailand. Future Cities Environ. 2024, 10, 1. [Google Scholar] [CrossRef]
- Liu, Y.; Yang, X.; Liu, K.; Xu, R.; Pian, Y.; Liu, S. Mining of dynamic traffic-meteorology-atmospheric pollutant association rules based on Eclat method. Atmos. Pollut. Res. 2024, 15, 102305. [Google Scholar] [CrossRef]
- Ren, L.; An, F.; Su, M.; Liu, J. Exposure Assessment of Traffic-Related Air Pollution Based on CFD and BP Neural Network and Artificial Intelligence Prediction of Optimal Route in an Urban Area. Buildings 2022, 12, 1227. [Google Scholar] [CrossRef]
- Bruse, M.; Fleer, H. Simulating surface–plant–air interactions inside urban environments with a three dimensional numerical model. Environ. Model. Softw. 1998, 13, 373–384. [Google Scholar] [CrossRef]
- Hofman, J.; Samson, R. Biomagnetic monitoring as a validation tool for local air quality models: A case study for an urban street canyon. Environ. Int. 2014, 70, 50–61. [Google Scholar] [CrossRef]
- He, S.; Yang, L.; Liu, J.; Jareemit, D. Spatial distribution of PM2.5 concentration around high-rise residential buildings during peak traffic hours in autumn and winter seasons. Indoor Built Environ. 2024, 33, 757–778. [Google Scholar] [CrossRef]
- Buccolieri, R.; Santiago, J.-L.; Rivas, E.; Sanchez, B. Review on urban tree modelling in CFD simulations: Aerodynamic, deposition and thermal effects. Indoor Built Environ. 2018, 31, 212–220. [Google Scholar] [CrossRef]
- Malings, C.; Westervelt, D.M.; Hauryliuk, A.; Presto, A.A.; Grieshop, A.; Bittner, A.; Beekmann, M.; Subramanian, R. Application of low-cost fine particulate mass monitors to convert satellite aerosol optical depth to surface concentrations in North America and Africa. Atmos. Meas. Tech. 2020, 13, 3873–3892. [Google Scholar] [CrossRef]
- Hafkenscheid, T.; Vonk, J. Evaluation of Equivalence of the MetOne BAM-1020 for the Measurement of PM2.5 in Ambient Air; National Institute for Public Health and the Environment: Bilthoven, The Netherlands, 2015. [Google Scholar]
- Jia, S.; Wang, Y.; Wong, N.H.; Weng, Q. A hybrid framework for assessing outdoor thermal comfort in large-scale urban environments. Landsc. Urban Plan. 2025, 256, 105281. [Google Scholar] [CrossRef]
- Qiao, L.; Yan, X. Analysis of the Correlation Between Spatial Morphological Elements and Microclimate in the Higher Education Teaching Center Area. Atmosphere. 2024, 15, 1330. [Google Scholar] [CrossRef]
- Xueshanheyuan. Available online: https://map.baidu.com/ (accessed on 26 October 2024).
- Miao, C.; He, X.; Gao, Z.; Chen, W.; He, B.-J. Assessing the vertical synergies between outdoor thermal comfort and air quality in an urban street canyon based on field measurements. Build. Environ. 2023, 227, 109810. [Google Scholar] [CrossRef]
- Lai, D.; Liu, W.; Gan, T.; Liu, K.; Chen, Q. A review of mitigating strategies to improve the thermal environment and thermal comfort in urban outdoor spaces. Sci. Total Environ. 2019, 661, 337–353. [Google Scholar] [CrossRef]
- Höppe, P. The physiological equivalent temperature—A universal index for the biometeorological assessment of the thermal environment. Int. J. Biometeorol. 1999, 43, 71–75. [Google Scholar] [CrossRef] [PubMed]
- Chen, Y.; Deng, S.; Hou, Y.; Yan, Q. Impact of environmental elements in classical Chinese gardens on microclimate and their optimization using ENVI-MET simulations. Energy Build. 2025, 329, 115238. [Google Scholar] [CrossRef]
- Lin, C.; Zhang, S. Impact of Green Roofs and Walls on the Thermal Environment of Pedestrian Heights in Urban Villages. Buildings 2024, 14, 4063. [Google Scholar] [CrossRef]
- Tian, X.; Gao, J.; Liu, L.; Zhao, Z.; Hang, J.; Zheng, Y.; Wang, X. Mathematical models for traffic-source PM2.5 dispersion in an urban street canyon considering the capture capability of roadside trees. Sci. Total Environ. 2024, 951, 175513. [Google Scholar] [CrossRef]
- Liu, S.; Middel, A.; Fang, X.; Wu, R. ENVI-met model performance evaluation for courtyard simulations in hot-humid climates. Urban Clim. 2024, 55, 101909. [Google Scholar] [CrossRef]
- Aleksandrowicz, O.; Saroglou, T.; Pearlmutter, D. Evaluation of summer mean radiant temperature simulation in ENVI-met in a hot Mediterranean climate. Build. Environ. 2023, 245, 110881. [Google Scholar] [CrossRef]
- Crank, P.J.; Middel, A.; Coseo, P.; Sailor, D.J. Microclimate impacts of neighborhood redesign in a desert community using ENVI-met and MaRTy. Urban Clim. 2023, 52, 101702. [Google Scholar] [CrossRef]
- Jareemit, D.; Liu, J.; Srivanit, M. Modeling the effects of urban form on ventilation patterns and traffic-related PM2.5 pollution in a central business area of Bangkok. Build. Environ. 2023, 244, 110756. [Google Scholar] [CrossRef]
- He, H.; Zhu, Y.; Liu, L.; Du, J.; Liu, L.; Liu, J. Effects of roadside trees three-dimensional morphology characteristics on traffic-related PM2.5 distribution in hot-humid urban blocks. Urban Clim. 2023, 49, 101448. [Google Scholar] [CrossRef]
- Heshani, A.L.S.; Winijkul, E. Numerical simulations of the effects of green infrastructure on PM2.5 dispersion in an urban park in Bangkok, Thailand. Heliyon 2022, 8, e10475. [Google Scholar] [CrossRef]
- Ouyang, W.; Sinsel, T.; Simon, H.; Morakinyo, T.E.; Liu, H.; Ng, E. Evaluating the thermal-radiative performance of ENVI-met model for green infrastructure typologies: Experience from a subtropical climate. Build. Environ. 2022, 207, 108427. [Google Scholar] [CrossRef]
- Jamei, E.; Seyedmahmoudian, M.; Horan, B.; Stojcevski, A. Verification of a bioclimatic modeling system in a growing suburb in Melbourne. Sci. Total Environ. 2019, 689, 883–898. [Google Scholar] [CrossRef] [PubMed]
- Acero, J.A.; Arrizabalaga, J. Evaluating the performance of ENVI-met model in diurnal cycles for different meteorological conditions. Theor. Appl. Clim. 2018, 131, 455–469. [Google Scholar] [CrossRef]
- Matzarakis, A.; Mayer, H.; Iziomon, M.G. Applications of a universal thermal index: Physiological equivalent temperature. Int. J. Biometeorol. 1999, 43, 76–84. [Google Scholar] [CrossRef]
- Lai, D.; Guo, D.; Hou, Y.; Lin, C.; Chen, Q. Studies of outdoor thermal comfort in northern China. Build. Environ. 2014, 77, 110–118. [Google Scholar] [CrossRef]
- Fong, C.S.; Manavvi, S.; Priya, R.S.; Ramakreshnan, L.; Sulaiman, N.M.; Aghamohammadi, N. Traits of Adaptive Outdoor Thermal Comfort in a Tropical Urban Microclimate. Atmosphere 2023, 14, 852. [Google Scholar] [CrossRef]
- Tong, Z.; Whitlow, T.H.; MacRae, P.F.; Landers, A.J.; Harada, Y. Quantifying the effect of vegetation on near-road air quality using brief campaigns. Environ. Pollut. 2015, 201, 141–149. [Google Scholar] [CrossRef]
- Jin, J.; Liu, S.; Wang, L.; Wu, S.; Zhao, W. Fractional Vegetation Cover and Spatiotemporal Variations of PM2.5 Concentrations in the Beijing-Tianjin-Hebei Region of China. Atmosphere 2022, 13, 1850. [Google Scholar] [CrossRef]
- Liu, Z.; Qiu, Z.; Yan, N.; Ren, F. Impact of an urban street canyon’s greening configurations on its traffic-related particulate matter. Urban Clim. 2025, 60, 102365. [Google Scholar] [CrossRef]
- Zhang, Y.; Fan, Y.; Ge, J. Influences of urban shape on city-scale heat and pollutants dispersion under calm and moderate background wind condition. Build. Environ. 2025, 270, 112530. [Google Scholar] [CrossRef]
- Ji, W.; Zeng, J.; Zhao, K.; Liu, J. Source apportionment and health-risk assessment of PM2.5-bound elements in indoor/outdoor residential buildings in Chinese megacities. Build. Environ. 2025, 267, 112250. [Google Scholar] [CrossRef]














| Instrument | Parameters | Accuracy | Measuring Range |
|---|---|---|---|
| MetOne 831 laser particle counters | PM2.5 | 0.1 μg/m3 | 0–1000 μg/m3 |
| JA-IAQ-50 multifunctional tester | Ta | 0.5 °C | −22–125 °C |
| JA-IAQ-50 multifunctional tester | RH | 3% | 0–3% |
| Hour | PC (Veh/h) | LDV (Veh/h) | Bus (Veh/h) | Total (Veh/h) |
|---|---|---|---|---|
| 6–7 | 860 | 50 | 48 | 958 |
| 7–8 | 989 | 52 | 75 | 1116 |
| 8–9 | 1002 | 58 | 70 | 1130 |
| 9–10 | 865 | 56 | 68 | 989 |
| 10–11 | 820 | 53 | 55 | 928 |
| 11–12 | 825 | 54 | 58 | 937 |
| 12–13 | 886 | 53 | 54 | 993 |
| 13–14 | 921 | 56 | 53 | 1030 |
| 14–15 | 844 | 54 | 50 | 948 |
| 15–16 | 864 | 55 | 53 | 972 |
| 16–17 | 978 | 58 | 63 | 1099 |
| 17–18 | 1167 | 58 | 70 | 1295 |
| 18–19 | 1032 | 48 | 65 | 1145 |
| 19–20 | 760 | 45 | 50 | 855 |
| Variable | Value | |
|---|---|---|
| Simulation Days | 29 September 19:00 p.m. | 27 October 19:00 p.m. |
| Coordination | 117°17′ E, 36°69′ N | 117°17′ E, 36°69′ N |
| Simultion duration (h) | 24 | 24 |
| Output interval of the data (h) | 1 | 1 |
| Domain cells | 140 × 120 × 40 | 140 × 120 × 40 |
| Spatial resolution | 4 m × 4 m × 5 m | 4 m × 4 m × 5 m |
| Tree (m) | Height = 10, Wide = 7 | Height = 10, Wide = 7 |
| Hedge (m) | Height = 1.5 | Height = 1.5 |
| Grass | Height = 0.25 | Height = 0.25 |
| Temperature (°C) | Min = 19.8, Max = 31.5 | Min = 12.5, Max = 22.9 |
| Humidity (%) | Min = 60, Max = 100 | Min = 30, Max = 90 |
| Wind speed at 10 m (m/s) | 2 | 2 |
| Cloud cover | 0 | 0 |
| Wind direction (°) | 180 (South) | 180 (South) |
| Surface albedo | Walls 0.2; Roofs 0.2 and 0.3 | Walls 0.2; Roofs 0.2 and 0.3 |
| Daily traffic value (Veh/24 h) | 15,000 | 15,000 |
| Linear source emission rate (μg/s/m) | 12.7 | 12.7 |
| Pollutant height (m) | 0.3 | 0.3 |
| Background concentration (μg/m3) | 60 | 60 |
| Cases | Crown Shape | Type | Tree Spacing (m) | LAD |
|---|---|---|---|---|
| A1 | – | – | – | – |
| A2 | Spherical | Trees and shrubs | 8 | 2 |
| A3 | Cylindric | Trees and shrubs | 8 | 2 |
| A4 | Cylindric | Shrubs | 4 | 2 |
| A5 | Cylindric | Trees | 4 | 2 |
| A6 | Cylindric | Tall trees on the inner row | 8 | 2 |
| A7 | Cylindric | Tall trees on the outer row | 8 | 2 |
| A8 | Cylindric | Trees | 8 | 2 |
| A9 | Cylindric | Trees and shrubs | 8 | 0.5 |
| A10 | Cylindric | Trees and shrubs | 8 | 1.0 |
| A11 | Cylindric | Trees and shrubs | 8 | 1.5 |
| Cell Size | Ta | RH | PM2.5 |
|---|---|---|---|
| 2 m × 2 m × 2 m | 0.18% | 0.59% | 0.21% |
| 4 m × 4 m × 5 m | 0.24% | 1.12% | 0.68% |
| 6 m × 6 m × 8 m | 0.46% | 8.16% | 7.90% |
| Ta | RH | PM2.5 | |
|---|---|---|---|
| R2 | 0.96 | 0.91 | 0.89 |
| RMSE | 0.76 | 2.06 | 1.88 |
| MAE | 0.63 | 1.83 | 1.69 |
| MB | −0.18 | 0.67 | 1.26 |
| MFB | −0.07 | 0.13 | 0.21 |
| Reference | City | Variable | R2 | RMSE | MAE | MB |
|---|---|---|---|---|---|---|
| [41] | Nanjing, China | Ta | – | 1.08 | – | 0.7 |
| RH | – | 7.9 | – | 4.2 | ||
| [42] | Guangzhou, China | Ta | 0.9821–0.9837 | 1.0176–1.0762 | 0.9578–0.9597 | – |
| RH | 0.9801–0.9821 | 0.9598–1.1704 | 0.7681–0.8086 | – | ||
| [43] | Guangzhou, China | PM2.5 | 0.977 | – | – | – |
| [44] | Guangzhou and Dongguan, China | Ta | 0.89 | 1.21 | – | 1.05 |
| RH | 0.80 | 1.51 | – | 1.33 | ||
| [45] | Tel Aviv-Yafo, Israel | Ta | – | 0.85–1.08 | 0.65–0.89 | −0.03/0.53 |
| RH | – | 3.84–4.04 | 3.78–3.96 | 3.78–3.96 | ||
| [46] | Phoenix, USA | Ta | 0.83–0.96 | 1.51–4.5 | – | 0.63–3.5 |
| [47] | Bangkok, Thailand | PM2.5 | 0.77 | 0.495 | – | – |
| [48] | Guangzhou, China | PM2.5 | 0.61–0.74 | – | – | 0.078–0.518 |
| [49] | Bangkok, Thailand | Ta | 0.763–0.975 | 1.194–1.679 | – | – |
| RH | 0.788–0.979 | 2.106–4.844 | – | – | ||
| [50] | Hong Kong, China | Ta | 0.49–0.93 | 0.44–1.86 | 0.34–1.56 | −1.54–(−0.13)/0.04–0.79 |
| RH | 0.11–0.87 | 3.84–8.79 | 3.17–8.17 | −8.09–(−0.73) | ||
| [51] | Melbourne, Australia | Ta | – | 0.95–4.9 | – | – |
| RH | – | 0.95–4.9 | – | – | ||
| [52] | Bilbao, Spain | Ta | 0.92–0.99 | 1.0–2.07 | 0.83–1.82 | −1.54–(−0.17) |
Disclaimer/Publisher’s Note: The statements, opinions and data contained in all publications are solely those of the individual author(s) and contributor(s) and not of MDPI and/or the editor(s). MDPI and/or the editor(s) disclaim responsibility for any injury to people or property resulting from any ideas, methods, instructions or products referred to in the content. |
© 2025 by the authors. Licensee MDPI, Basel, Switzerland. This article is an open access article distributed under the terms and conditions of the Creative Commons Attribution (CC BY) license (https://creativecommons.org/licenses/by/4.0/).
Share and Cite
Yang, L.; Li, X.; Jareemit, D.; Liu, J. Vegetation Configuration Effects on Microclimate and PM2.5 Concentrations: A Case Study of High-Rise Residential Complexes in Northern China. Atmosphere 2025, 16, 672. https://doi.org/10.3390/atmos16060672
Yang L, Li X, Jareemit D, Liu J. Vegetation Configuration Effects on Microclimate and PM2.5 Concentrations: A Case Study of High-Rise Residential Complexes in Northern China. Atmosphere. 2025; 16(6):672. https://doi.org/10.3390/atmos16060672
Chicago/Turabian StyleYang, Lina, Xu Li, Daranee Jareemit, and Jiying Liu. 2025. "Vegetation Configuration Effects on Microclimate and PM2.5 Concentrations: A Case Study of High-Rise Residential Complexes in Northern China" Atmosphere 16, no. 6: 672. https://doi.org/10.3390/atmos16060672
APA StyleYang, L., Li, X., Jareemit, D., & Liu, J. (2025). Vegetation Configuration Effects on Microclimate and PM2.5 Concentrations: A Case Study of High-Rise Residential Complexes in Northern China. Atmosphere, 16(6), 672. https://doi.org/10.3390/atmos16060672

