Greenhouse Gas Response to Simulated Precipitation Extremes in Alpine River Source Wetlands During the Growing Season
Abstract
1. Introduction
2. Materials and Methods
2.1. Study Sites
2.2. Research Methods
2.2.1. Setting up Sample Plots
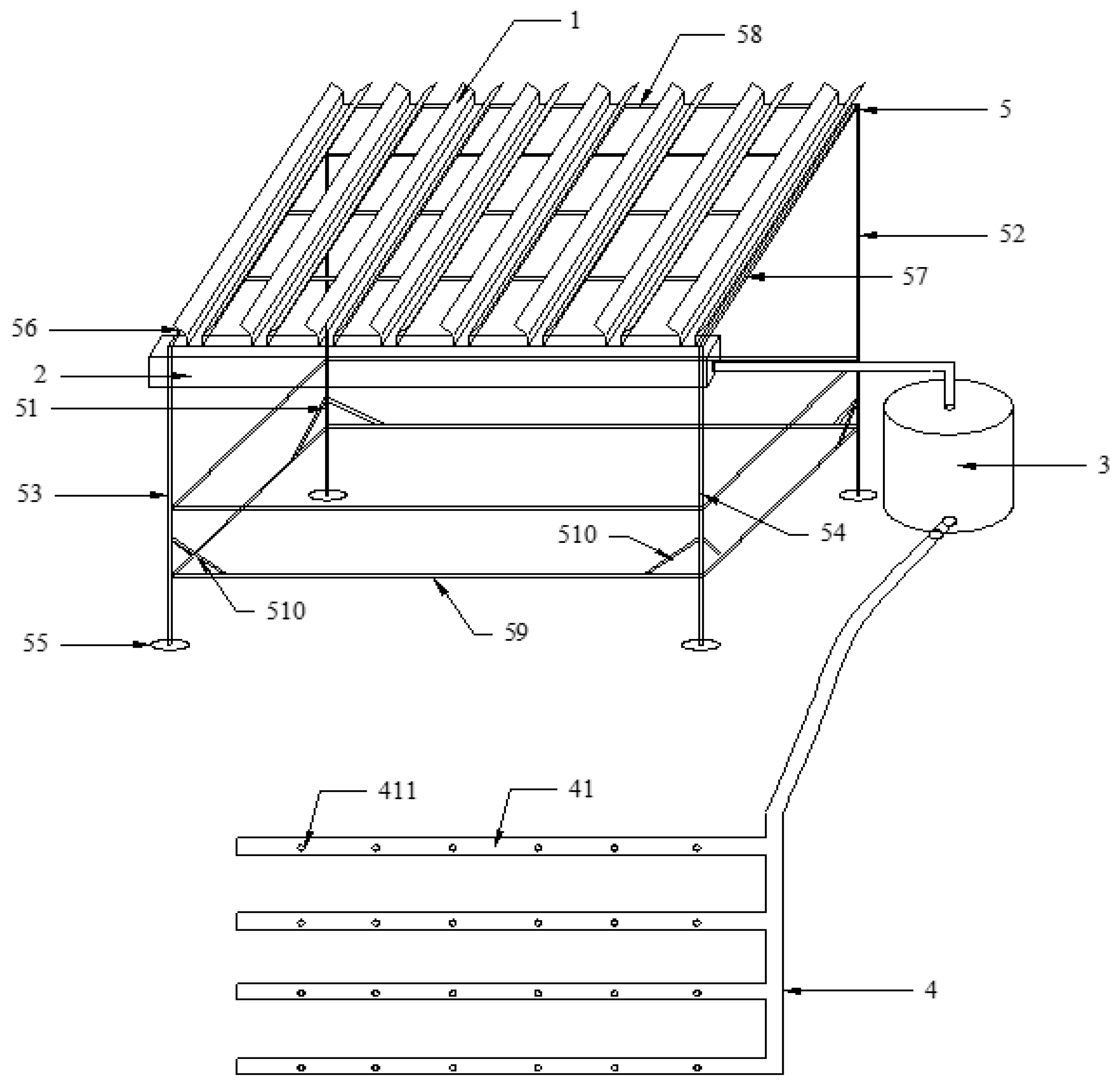
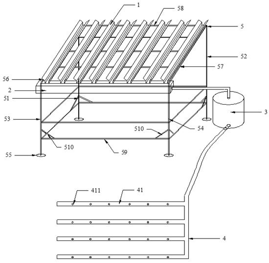
2.2.2. Simulation of Precipitation Devices
2.2.3. Measurement of GHGs
2.2.4. Determination of Soil Physicochemical Properties and Vegetation Characteristics
2.2.5. Analyzing and Processing Data
3. Analysis and Results
3.1. Environmental Conditions
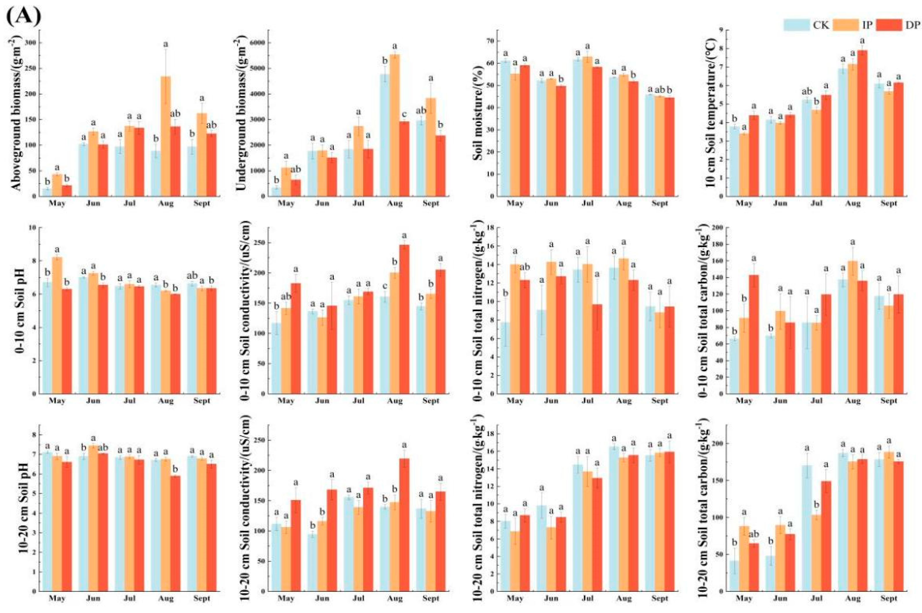
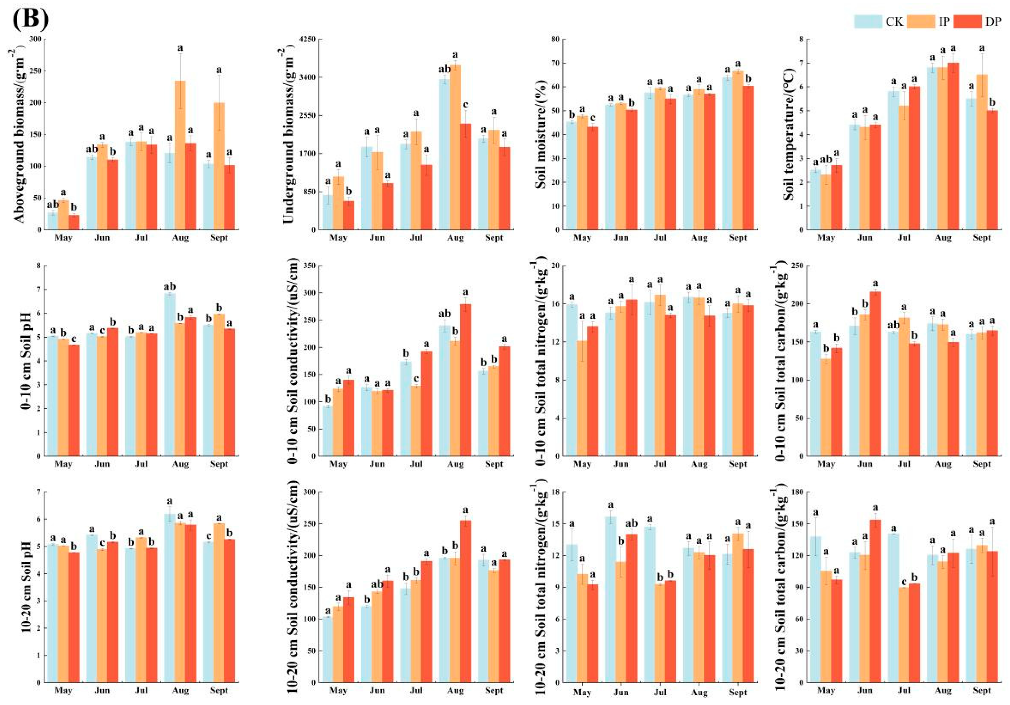
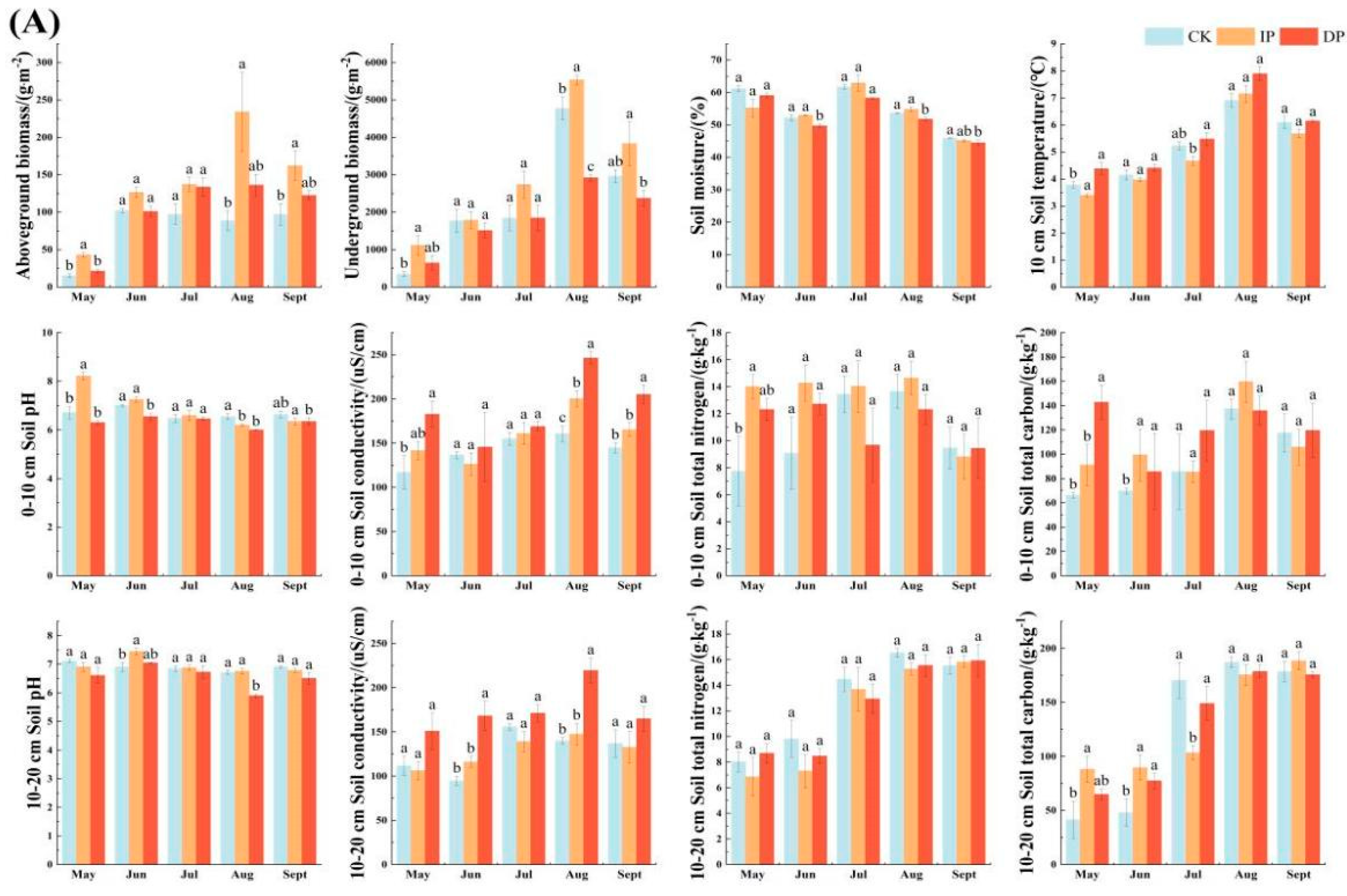
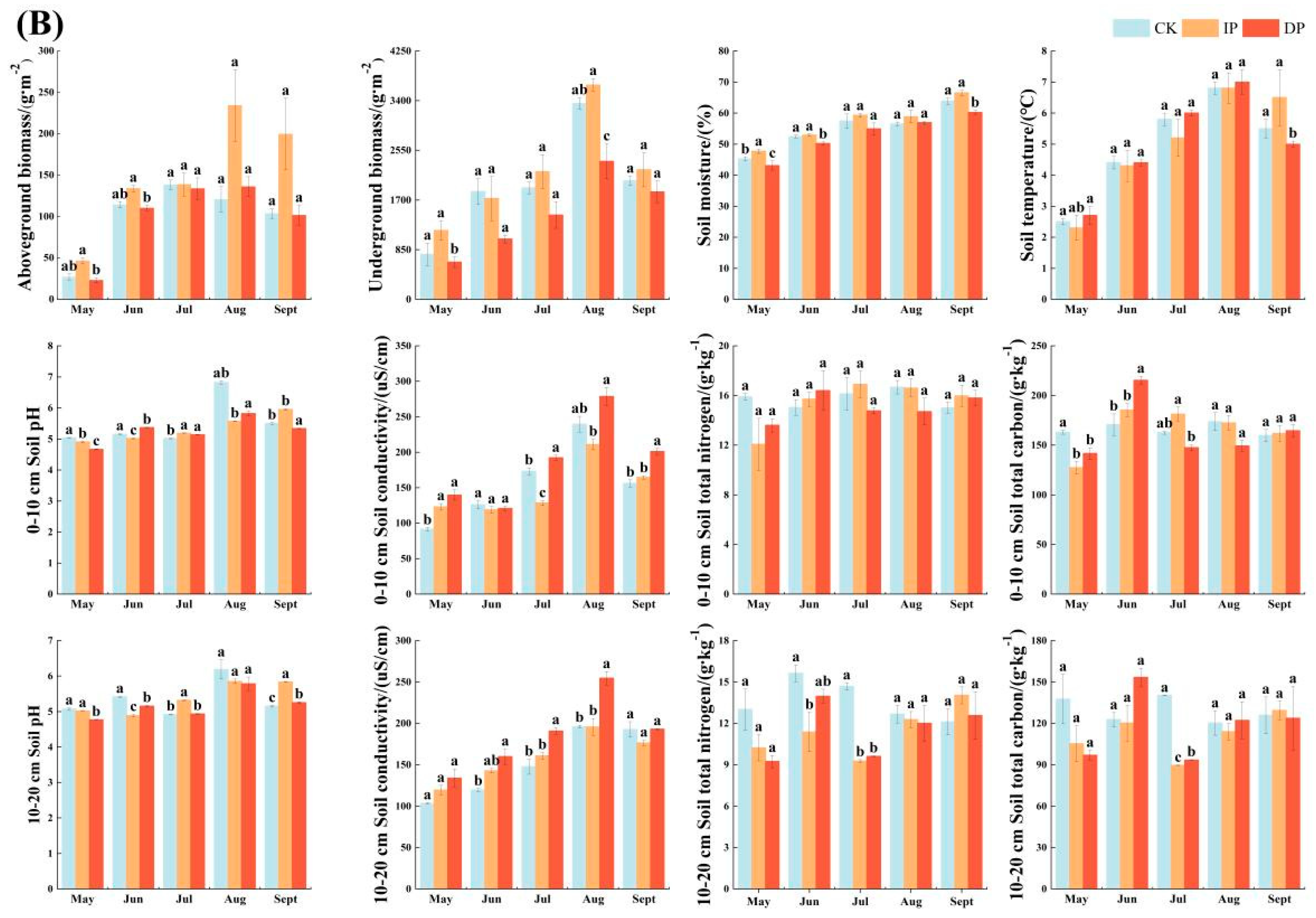
3.2. Characteristics of Vegetation and Soil
3.3. Change in CO2 Fluxes During the Growing Season Under Simulated Precipitation
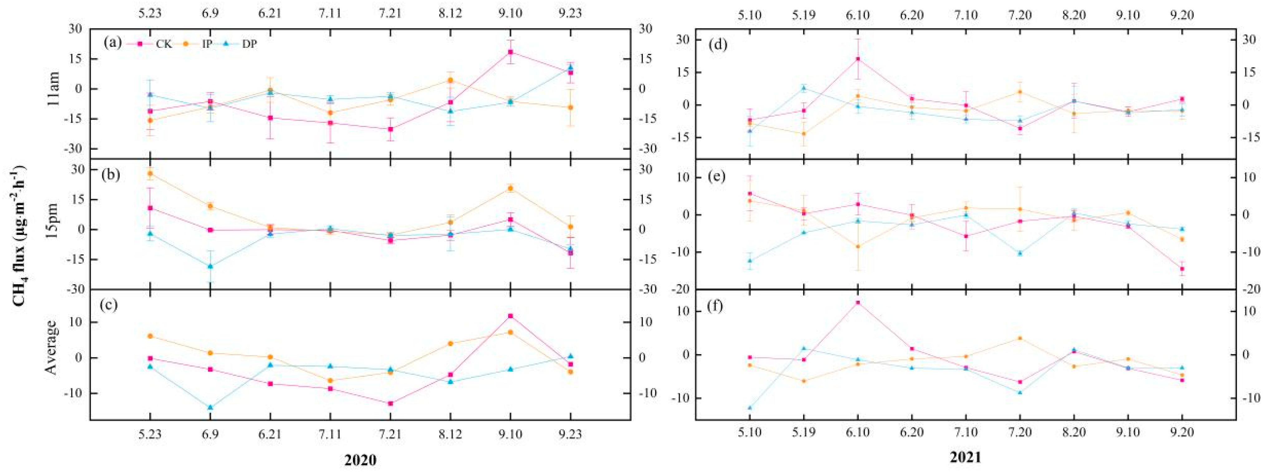
3.4. Change in CH4 Fluxes During the Growing Season Under Simulated Precipitation
3.5. Change in N2O Fluxes During the Growing Season Under Simulated Precipitation
3.6. Cumulative Greenhouse Gas Emissions and Global Warming Potential (GWP) of the Wayan Mountain River Source Wetlands
3.7. Effect of Extreme Precipitation Variability on Greenhouse Gas Fluxes in Alpine River Source Wetlands
3.8. Comparison of Greenhouse Gases in Alpine Wetlands with Those in Other Types of Wetland
3.9. Test Interference Factors
4. Conclusions
Author Contributions
Funding
Institutional Review Board Statement
Informed Consent Statement
Data Availability Statement
Acknowledgments
Conflicts of Interest
References
- Zhao, X.Q.; Huang, J.; Lu, J.; Sun, Y. Study on the influence of soil microbial community on the long-term heavy metal pollution of different land use types and depthlayers in mine. China. Ecotoxicol. Environ. Saf. 2019, 170, 218–226. [Google Scholar] [CrossRef]
- Stocker, T.F.; Qin, D.; Plattner, G.-K.; Tignor, M.; Allen, S.K.; Boschung, J.; Nauels, A.; Xia, Y.; Bex, V.; Midgley, P.M. (Eds.) Climate Change 2013: The Physical Science Basis. In Contribution of Working Group I to the Fifth Assessment Report of IPCC the Intergovernmental Panel on Climate Change; Cambridge University Press: Cambridge, UK; New York, NY, USA, 2014. [Google Scholar]
- You, Q.; Kang, S.; Aguilar, E.; Pepin, N.; Flügel, W.-A.; Yan, Y.; Xu, Y.; Zhang, Y. Changes in daily climate extremes in China and their connection to the large scale atmospheric circulation during 1961–2003. Clim. Dyn. 2011, 36, 2399–2417. [Google Scholar] [CrossRef]
- Rahimi, M.; Mohammadian, N.; Vanashi, A.R.; Whan, K. Trends in Indices of Extreme Temperature and Precipitation in Iran over the Period 1960–2014. Open J. Ecol. 2018, 8, 396. [Google Scholar] [CrossRef]
- Feng, G. Research on Detection, Diagnosis and Predictability of Extreme Climate Events; Science Press: Beijing, China, 2012. [Google Scholar]
- Wang, X. Characteristics of Soil N2O Emission and Its Main Influencing Factors During the Freeze-Thaw Period of Non-Growing Season of Typical Grassland in Temperate Zone. Ph.D. Thesis, Chang’an University, Xi’an, China, 2020. [Google Scholar]
- Pachauri, R.K.; Allen, M.R.; Barros, V.R.; Broome, J.; Cramer, W.; Christ, R.; Church, J.A.; Clarke, L.; Dahe, Q.D.; Dasqupta, P.; et al. Climate Change 2014 Synthesis Report; Contribution of working groups I, II, and III to the fifth assessment report of the Intergovernmental Panel on Climate Change. Synthesis report; Environ. Policy Collect.; Intergovernmental Panel on Climate Change: Geneva, Switzerland, 2014; 151p. [Google Scholar]
- Wang, Y.; Lu, J. A review on litter decomposition and its impact factor in terrestrial ecosystems. Bull. Sci. Technol. 2017, 33, 1–10. [Google Scholar]
- Yang, K.; Hui, W.U.; Qin, J.; Lin, C.; Tang, W.; Chen, Y. Recent climate changes overthe Tibetan Plateau and their impacts on energy and water cycle: A review. Glob. Planet. Change 2014, 112, 79–91. [Google Scholar] [CrossRef]
- Xu, Y.L.; Xue, F.; Lin, Y.H. Changes of surface air temperature and precipitation in China during the 21st century simulated by had CM2 under different greenhouse gas emission scenarios. Clim. Environ. Res. 2003, 8, 209–217. [Google Scholar] [CrossRef]
- Ofipcc, W.G.I. Climate change; the physical science basis. Contrib. Work. 2013, 43, 866–871. [Google Scholar]
- Greve, P.; Orlowsky, B.; Mueller, B.; Sheffield, J.; Reichstein, M.; Seneviratne, S.I. Corrigendum: Global assessment of trends in wetting and drying over land. Nat. J. Geosci. 2014, 7, 848. [Google Scholar] [CrossRef]
- Yang, Z.W. Study on Greenhouse Gas Emission Characteristics and Influencing Factors of Huayanshan River Source Wetland Under Simulated Precipitation. Ph.D. Thesis, Qinghai Normal University, Qinghai, China, 2022. [Google Scholar]
- Wang, H.X. CH4 Flux Characteristics of Different Grazing Methods of Artificial Grassland in Semi-Arid Area of Inner Mongolia. Ph.D. Thesis, Inner Mongolia University, Hohhot, China, 2014. [Google Scholar]
- Fang, H.; Cheng, S.; Yu, G.; Cooch, J.; Wang, Y.; Xu, M.; Li, L.; Dang, X.; Li, Y. Low-level nitrogen deposition significantly inhibits methane uptake from an alpine meadow soil on the Qinghai-Tibetan Plateau. Geoderma 2014, 213, 444–452. [Google Scholar] [CrossRef]
- Tang, S.; Wang, C.; Wilkes, A.; Zhou, P.; Jiang, Y.; Han, G.; Zhao, M.; Huang, D.; Schönbach, P. Contribution of grazing to soil atmosphere CH4 exchange during the growing season in a continental steppe. Atmos. Environ. 2013, 67, 170–176. [Google Scholar] [CrossRef]
- Li, Y.; Huang, J.; Yue, H.; Liu, C.; Jiang, C.; Zheng, X. Effects of precipitation and soil freeze-thaw cycles on greenhouse gas exchanges in a permafrost swamp of the Great Hing an Mountains, China. Agro-Environ. Sci. 2019, 38, 2420–2428. [Google Scholar]
- McCulley, R.L.; Boutton, T.W.; Archer, S.R. Soil respiration in a subtropical savanna parkland: Response to water additions. Soil Sci. Soc. Am. J. 2007, 71, 820–828. [Google Scholar] [CrossRef]
- Wu, H.; Lee, X. Short-term effects of rain on soil respiration in two New England forests. Plant Soil 2011, 338, 329–342. [Google Scholar] [CrossRef]
- Lu, H.; Liu, S.; Wang, H.; Luan, J.; Schindlbacher, A.; Liu, Y.; Wang, Y. Experimental throughfall reduction barely affects soil carbon dynamics in a warm temperate oak forest, Central China. Sci. Rep. 2017, 7, 15099. [Google Scholar] [CrossRef] [PubMed]
- Wang, D.X.; Ding, W.X.; Wang, Y.Y. Main environmental impact factors of CH4 emission difference between swamp wetlands of Zoige Plateau and Sanjiang Plain. Wetl. Sci. 2003, 1, 63–67. [Google Scholar]
- Song, C.C.; Yang, W.Y.; Xu, X.F.; Yan, J.; Jin, B. Dynamics and influencing factors of soil CO2 and CH4 emissions in marshland ecosystems. Environ. Sci. 2004, 25, 1–6. [Google Scholar]
- Bao, Z.Z. Effects of Water Change and Simulated Nitrogen Deposition on Soil CH4, CO2 and N2O Emissions in Alpine Wetlands. Ph.D. Thesis, Xinjiang Agricultural University, Urumqi, China, 2018. [Google Scholar]
- Wei, H.X.; Zhao, J.X.; Luo, T.X. The effect of pika grazing on Stipa purpurea is amplified by warming but alleviated by increased precipitation in an alpine grassland. Plant Ecol. 2019, 220, 371–381. [Google Scholar] [CrossRef]
- Gao, Q.Z.; Li, Y.; Xu, H.M.; Wan, Y.F.; Jiangcun, W.Z. Adaptation strategies of climate variability impacts on alpine grassland ecosystems in Tibetan Plateau. J. Mitig. Adapt. Strateg. Glob. Change 2014, 19, 199–209. [Google Scholar] [CrossRef]
- Zhao, J.X.; Luo, T.X.; Li, R.C.; Wei, H.X.; Li, X.; Du, M.Y.; Tang, Y.H. Precipitation alters temperature effects on ecosystem respiration in Tibetan alpine meadows. Agric. For. Meteorol 2018, 252, 121–129. [Google Scholar] [CrossRef]
- Tao, Z.; Wang, G.; Yan, Y.; Mao, T.; Chen, X. Grassland types and season-dependent response ofecosystemrespiration to experimental warming in a permafrost region in the Tibetan Plateau. Agric. For. Meteorol. 2017, 247, 271–279. [Google Scholar]
- Althuizen, I.H.J.; Lee, H.; Sarneel, J.M.; Vandvik, V. Long-term climate regime modulates the impact of short-term climate variability on decomposition in alpine grassland soils. Ecosystems 2018, 21, 1580–1592. [Google Scholar] [CrossRef]
- Dan, Z.T.Q.; Xu, R.; Wei, X.H.; Wei, D.; Liu, Y.W.; Wang, Y.H. Comparative study on major greenhouse gas fluxes in Namco alpine grassland, alpine meadow and swampy meadow. J. Grassl. 2014, 22, 493–501. [Google Scholar]
- Han, Y.L.; Yu, D.Y.; Chen, K.L.; Yang, H.Z. Spatial distribution characteristics of temperature and precipitation trends in Qinghai Lake basin from 2000 to 2018. Arid Land Geogr. 2020, 45, 999–1009. [Google Scholar]
- Chen, H.Y.; Zheng, Q.S.; Li, X.Y.; Ma, G.Q.; Xue, C.K.; Jiang, F. Dynamic change analysis of wetland landscape pattern in Qinghai Lake Basin in the past two decades. China Sci. Technol. Inf. 2022, 84–88+90. [Google Scholar]
- Qi, Y. Study on Wetland Changes in Qinghai Lake Basin in the Past 20 Years. Ph.D. Thesis, Qinghai Norm. University, Qinghai, China, 2012. [Google Scholar]
- Zhang, J.; Chen, Y.; Ge, J.; Nie, X. Land use/cover change and land resources management in the lakering area of Qinghai Lake from 1977 to 2010. J. Desert Res. 2013, 33, 1256–1266. [Google Scholar]
- Wu, H.; Chen, K.; Zhang, L.; Ding, J. Effects of warming on major greenhouse gas fluxes in alpine swamp meadows in Qinghai Lake Basin. Grassl. Turf. 2021, 41, 1–9. [Google Scholar]
- Yang, Z.; Che, Z.; Liu, F.; Chen, K. Effects of precipitation gradient on diurnal variation of greenhouse gas emissions from wetlands in Qinghai Lake source. Arid Land Res. 2022, 39, 754–766. [Google Scholar]
- Gao, L.; Zhang, L.; Chen, K.; Mao, Y. Photosynthetically effective radiation characteristics of alpine wetlands in Qinghai Lake Basin. Arid Zone Res. 2018, 35, 50–56. [Google Scholar]
- Zhang, L.; Gao, L.; Chen, K. Radiation balance and surface albedo variation characteristics of Huayanshan wetland in Qinghai Lake Basin. Glaciol. Geocryol. 2018, 40, 1216–1222. [Google Scholar]
- Zheng, Z.; Yu, G.; Sun, X.; Cao, G.; Wang, Y.; Du, M.; Li, J.; Li, Y. Comparison of vorticity correlation method and static box/gas chromatography in ecosystem respiration observation. China J. Appl. Ecol. 2008, 19, 290–298. [Google Scholar]
- Chen, Z.; Jiang, L.; Yang, Z.; Chen, K.; Ma, Y. An Automatic Water Diversion Device for Simulating Precipitation. Patent CN202021447963.3, 2 April 2021. [Google Scholar]
- Yang, Z.W.; Chen, K.L.; Zhang, L.L.; Jiang, L.; Zuo, D. Response of CO2, CH4 and N2O emission fluxes to simulated precipitation in two different alpine wetland types in Qinghai Lake basin. Ecol. Sci. 2022, 41, 211–219. [Google Scholar]
- Cao, G.; Xu, X.; Long, R. Methane emissions by alpine plant communities in the Qinghai-Tibet Plateau. Biol. Lett. 2008, 4, 681–684. [Google Scholar] [CrossRef]
- Wu, X.W.; Zang, S.Y.; Ma, D.L. Greenhouse gas flux of forest soil in permafrost area of Daxing’anling. Acta Geogr. Sin. 2020, 75, 2319–2331. [Google Scholar]
- Nordhaus, W.D. To tax or not to tax: Alternative approaches to slowing global warming. Rev. Environ. Econ. Policy 2007, 1, 26–44. [Google Scholar] [CrossRef]
- Chen, X.; Wang, G.; Zhang, T.; Mao, T.; Wei, D.; Hu, Z.; Song, C. Effects of warming and nitrogen fertilization on GHG flux in the permafrost region of an alpine meadow. J. Atmos. Environ. 2017, 157, 111–124. [Google Scholar] [CrossRef]
- Wei, D.; Ri, X.; Liu, Y.; Wang, Y.; Wang, Y. Three-year study of CO2 efflux and CH4/N2O fluxes at an alpine steppe site on the central Tibetan Plateau and their responses to simulated N deposition. Geoderma 2014, 232–234, 88–96. [Google Scholar] [CrossRef]
- Hu, Q.W.; Wu, Q.; Li, D.; Cao, G. Comparative study on CH4 release in alpine grassland under different soil moisture content. Chin. J. Ecol. 2005, 24, 118–122. [Google Scholar]
- White, R.P.; Murray, S.; Rohweder, M. Pilot analysis of global ecosystems: Grassland ecosystems. World Resour. Inst. 2000, 4, 275–287. [Google Scholar]
- Liu, C.; Holst, J.; Brüggemann, N.; Butterbach-Bahl, K.; Yao, Z.; Yue, J.; Han, S.; Han, X.; Krümmelbein, J.; Horn, R.; et al. Winter-grazing reduces methane uptake by soils of a typical semi-arid steppe in Inner Mongolia, China. Atmos. Environ. 2007, 41, 5948–5958. [Google Scholar] [CrossRef]
- Hu, H. Greenhouse Gases Fluxes at Yangtze Estuary Phragmites australis Wetland and the Influencing Factors. Master’s Thesis, East China Normal University, Shanghai, China, 2014. [Google Scholar]
- Xu, X. The Temporal and Spatial Dynamies Ofgreenhouse Gases Emissions and Controlling Factors from Coastal Saline Wetlands in Jiangsu Province, Southeast China. Master’s Thesis, Key Laboratory of Coastal and Island Development of Ministry of Education, Nanjing University, Nanjing, China, 2015. [Google Scholar]
- Wang, D. Emission fluxes of carbon dioxide, methane and nitrous oxide from peatbog in Zoige Plateau. J. Wetl. Sci. 2010, 8, 220–224. [Google Scholar]
- Yang, P.; Tong, C. Greenhouse gas flux from forests and wetlands: A review of the effects of disturbance. Acta Ecol. Sin. 2012, 32, 5254–5263. [Google Scholar] [CrossRef]
- Teiter, S.; Mander, Ü. Emission of N2O, N2, CH4, and CO2 from constructed wetlands for wastewater treatment and from riparian buffer zones. Ecol. Eng. 2005, 25, 528–541. [Google Scholar] [CrossRef]
- Ren, R. Effects of Extreme Precipitation on Soil CH4 Fluxes in the Songnenmeadow Steppe Under Different Nitrogen Addition and Grazing Treatments. Master’s Thesis, Northeast Normal University, Changchun, China, 2020. [Google Scholar]
- Song, C.; Wang, Y.Y.; Wang, Y.S.; Zhao, Z.C. Changes of greenhouse gas emissions in freshwater marsh wetlands under the influence of human activities. Sci. Geogr. Sin. 2006, 26, 82–86. [Google Scholar]
- Hu, H.; Wang, D.; Li, Y.; Chen, Z. Greenhouse gases fluxes at Chongming Dongtan Phragmites australis wetland and the influencing factors. Res. Environ. Sci. 2014, 27, 43–50. [Google Scholar]
- Guo, X.W.; Dai, L.C.; Li, Q.; Li, Y.; Lin, L.; Qian, D.; Fan, B.; Ke, X.; Shu, K.; Peng, C.; et al. Study on main greenhouse gas fluxes and their main controlling factors in alpine meadows grazing on Qinghai-Tibet Plateau. Grassl. Turf. 2019, 39, 72–78. [Google Scholar]











| 2020 | Site | Height (cm) | Coverage (%) | AGB (g·m−2) | Simpson’s index | Species evenness | Shannon–Wiener’s index |
| CK | 9.00 | 84.00 | 80.11 | 0.022 | 0.322 | 0.670 | |
| IP | 14.45 | 90.00 | 140.69 | 0.012 | 0.369 | 0.012 | |
| DP | 6.6 | 80.00 | 102.99 | 0.011 | 0.352 | 0.011 | |
| 2021 | Site | Height (cm) | Coverage (%) | AGB (g·m−2) | Simpson index | Species evenness | Shannon–Wiener index |
| CK | 12.30 | 86.00 | 120.67 | 0.020 | 0.368 | 0.766 | |
| IP | 13.66 | 92.50 | 234.18 | 0.019 | 0.379 | 0.079 | |
| DP | 10.54 | 85.30 | 136.15 | 0.023 | 0.307 | 0.064 |
| 2020 | Month | CK | IP | DP |
| May | 23.42 ± 7.65a | 16.00 ± 6.30a | 20.80 ± 4.12a | |
| Jun | 125.46 ± 14.11a | 71.83 ± 6.49ab | 50.30 ± 22.97b | |
| Jul | 182.03 ± 15.06a | 130.45 ± 34.97a | 189.58 ± 47.02a | |
| Aug | 14.36 ± 7.84b | 43.68 ± 6.80ab | 69.21 ± 17.57a | |
| Sep | 45.59 ± 13.91a | 40.91 ± 16.02a | 7.81 ± 5.23a | |
| 2021 | Month | CK | IP | DP |
| May | 15.30 ± 8.19a | 19.88 ± 6.74a | 3.98 ± 11.60a | |
| Jun | 37.23 ± 9.97a | 15.36 ± 5.66a | 47.92 ± 15.57a | |
| Jul | 72.93 ± 15.17a | 28.38 ± 8.32b | 60.30 ± 14.85ab | |
| Aug | 34.05 ± 12.67a | 36.29 ± 17.90a | 8.93 ± 10.64a | |
| Sep | 58.75 ± 11.92a | 31.38 ± 7.78a | 39.71 ± 7.25a |
| 2020 | Month | CK | IP | DP |
| May | −0.13 ± 3.95a | 6.12 ± 22.20a | −2.54 ± 6.73a | |
| Jun | −5.24 ± 2.43a | 0.79 ± 4.75a | −8.07 ± 3.79a | |
| Jul | −10.73 ± 7.38a | −5.25 ± 2.95a | −2.87 ± 1.23a | |
| Aug | −5.06 ± 7.49a | 4.84 ± 8.07a | −8.72 ± 6.22a | |
| Sep | 5.00 ± 3.08a | 1.50 ± 4.44a | −1.43 ± 1.17a | |
| 2021 | Month | CK | IP | DP |
| May | −0.83 ± 2.50a | −4.19 ± 3.11a | −5.39 ± 4.43a | |
| Jun | 6.74 ± 3.69a | −1.54 ± 8.73b | −2.10 ± 4.30b | |
| Jul | −4.57 ± 3.69a | 1.72 ± 2.20a | −6.03 ± 1.37a | |
| Aug | 0.76 ± 4.50a | −2.67 ± 9.87a | 1.19 ± 3.79a | |
| Sep | −4.47 ± 2.05a | −2.79 ± 1.35a | −2.98 ± 0.8a |
| 2020 | Month | CK | IP | DP |
| May | −3.38 ± 0.75a | 1.76 ± 1.44a | 0.58 ± 2.10a | |
| Jun | 2.15 ± 2.37a | −0.62 ± 1.27a | 0.29 ± 3.60a | |
| Jul | −0.83 ± 1.08a | 0.96 ± 1.60a | 2.67 ± 0.88a | |
| Aug | 1.03 ± 0.54a | 10.00 ± 3.98a | 2.71 ± 6.77a | |
| Sep | 1.64 ± 0.72a | 3.86 ± 2.63a | 1.33 ± 1.18a | |
| 2021 | Month | CK | IP | DP |
| May | 0.59 ± 1.16a | 4.11 ± 4.23a | 3.10 ± 4.97a | |
| Jun | 0.24 ± 0.94a | 0.82 ± 0.62a | 1.27 ± 1.04a | |
| Jul | −0.35 ± 0.55a | −4.59 ± 4.02a | 0.73 ± 0.68a | |
| Aug | −4.23 ± 2.18a | −1.90 ± 0.66a | −0.14 ± 1.37a | |
| Sep | −0.20 ± 0.57a | −0.01 ± 0.26a | −0.58 ± 0.26 |
| Wetland Type | CO2 (mg·m−2·h−1) | CH4 (mg·m−2·h−1) | N2O (µg·m−2·h−1) | Remark |
|---|---|---|---|---|
| Coastal Wetland | 98.01–1359.25 (Hu et al., 2005) [46] | 0.044 (Xu et al., 2015) [50] | 5.92–180.38 (Zhu et al., 2013) [46] | The Growing Season |
| 0.079 (Wang et al., 2010) [51] | 2.02–20.84 (Yang et al., 2013) [52] | |||
| 231.6–557.1 (Yang et al., 2013) [52] | ||||
| Artificial wetland | 0.02–17.4 (Sille Teiter, 2005) [53] | 0.001–0.265 (SilleTeiter, 2005) [53] | −0.0004–0.058 (Sille Teiter, 2005) [53] | Year round |
| 431.92 (Xu, 2020) [50] | 0.017 (Xu, 2020) [50] | 0.100 (Xu, 2020) [50] | Non-growing season | |
| Marsh wetland | 1.5–238.4 (Li, 2019) [17] | −0.019–0.011 (Li, 2019) [17] | 27.1 (Li, 2019) [17] | Indoor cultivation |
| −0.00584–0.00926 (Ren, 2020) [54] | Year round | |||
| 0.0033 (Song, 2006) [55] | 13.31 (Song, 2006) [55] | The Growing Season | ||
| Tidal flats wetland | −101.93 (Hu, 2014) [56] | 0.00746 (Hu, 2014) [56] | 2.22 (Hu, 2014) [56] | Year round |
| Peat wetland | 203.22 (Wang, 2010) [51] | 2.43 (Wang, 2010) [51] | 20 (Wang, 2010) [51] | The Growing Season |
Disclaimer/Publisher’s Note: The statements, opinions and data contained in all publications are solely those of the individual author(s) and contributor(s) and not of MDPI and/or the editor(s). MDPI and/or the editor(s) disclaim responsibility for any injury to people or property resulting from any ideas, methods, instructions or products referred to in the content. |
© 2025 by the authors. Licensee MDPI, Basel, Switzerland. This article is an open access article distributed under the terms and conditions of the Creative Commons Attribution (CC BY) license (https://creativecommons.org/licenses/by/4.0/).
Share and Cite
Yang, Z.; Chen, K.; Tian, Y.; Li, Y.; Zhao, H.; Zhang, N. Greenhouse Gas Response to Simulated Precipitation Extremes in Alpine River Source Wetlands During the Growing Season. Atmosphere 2025, 16, 526. https://doi.org/10.3390/atmos16050526
Yang Z, Chen K, Tian Y, Li Y, Zhao H, Zhang N. Greenhouse Gas Response to Simulated Precipitation Extremes in Alpine River Source Wetlands During the Growing Season. Atmosphere. 2025; 16(5):526. https://doi.org/10.3390/atmos16050526
Chicago/Turabian StyleYang, Ziwei, Kelong Chen, Yuqiang Tian, Ying Li, Hairui Zhao, and Ni Zhang. 2025. "Greenhouse Gas Response to Simulated Precipitation Extremes in Alpine River Source Wetlands During the Growing Season" Atmosphere 16, no. 5: 526. https://doi.org/10.3390/atmos16050526
APA StyleYang, Z., Chen, K., Tian, Y., Li, Y., Zhao, H., & Zhang, N. (2025). Greenhouse Gas Response to Simulated Precipitation Extremes in Alpine River Source Wetlands During the Growing Season. Atmosphere, 16(5), 526. https://doi.org/10.3390/atmos16050526

