Spatiotemporal Distribution Characteristics of PM2.5 Components in the Yeosu and Gwangyang Industrial Complexes
Abstract
1. Introduction
2. Materials and Methods
2.1. Sampling Sites
2.2. Sampling Collection and Data Analysis
2.3. Component Analysis
2.4. Quality Assurance and Quality Control (QA/QC)
2.5. Statistical Analysis
2.6. Backward Trajectory Analysis
3. Results and Discussion
3.1. Distribution Characteristics of PM2.5 and Its Components
3.2. Spatial Variability Analysis
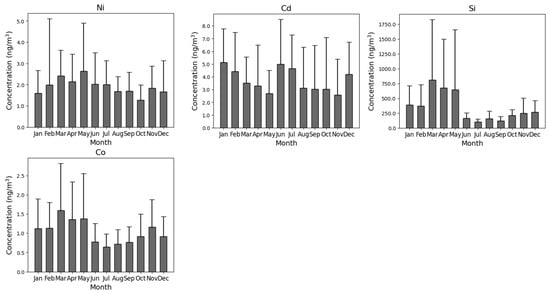
3.3. Temporal Characteristics of PM2.5 and Its Components
3.4. Potential Sources and Formations of PM2.5
3.5. Source Identification
4. Conclusions
Supplementary Materials
Author Contributions
Funding
Institutional Review Board Statement
Informed Consent Statement
Data Availability Statement
Conflicts of Interest
Abbreviations
| PM | Particulate matter |
| PM2.5 | Particulate matter < 2.5 µm in aerodynamic diameter |
| COD | Coefficient of divergence |
| PCA | Principal component analysis |
| OC | Organic carbon |
| EC | Elemental carbon |
| RH | Relative humidity |
| LAB | Laboratory blank |
| FB | Field blank |
| QA/QC | Quality assurance and quality control |
| HYSPLIT | Hybrid single-particle lagrangian integrated trajectory |
| AGL | Above ground level |
| ANOVA | Analysis of variance |
| POC | Primary organic carbon |
| SOC | Secondary organic carbon |
References
- BéruBé, K.A.; Jones, T.P.; Williamson, B.J.; Richards, R.J. Physicochemical characterization of urban airborne particulate matter. In Particulate Matter; Maynard, R.L., Howard, C.V., Eds.; Garland Science: New York, NY, USA, 2020; pp. 39–62. [Google Scholar] [CrossRef]
- Fiordelisi, A.; Piscitelli, P.; Trimarco, B.; Coscioni, E.; Iaccarino, G.; Sorriento, D. Mechanisms of air pollution and particulate matter in cardiovascular disease. Heart Fail. Rev. 2017, 22, 337–347. [Google Scholar] [CrossRef] [PubMed]
- Luo, Y.; Chen, J.; Wu, C.; Zhang, J.; Tang, J.; Shang, J.; Liao, Q. Effect of particle size on adsorption of norfloxacin and tetracycline onto suspended particulate matter in lake water. Environ. Pollut. 2019, 244, 549–559. [Google Scholar] [CrossRef]
- Feng, S.; Gao, D.; Liao, F.; Zhou, F.; Wang, X. The health effects of ambient PM2.5 and potential mechanisms. Ecotoxicol. Environ. Saf. 2016, 128, 67–74. [Google Scholar] [CrossRef]
- Ailshire, J.A.; Crimmins, E.M. Fine particulate matter air pollution and cognitive function among older US adults. Am. J. Epidemiol. 2014, 180, 359–366. [Google Scholar] [CrossRef]
- Fortoul, T.I.; Rodriguez-Lara, V.; Gonzalez-Villalva, A.; Rojas-Lemus, M.; Colin-Barenque, L.; Bizarro-Nevares, P.; García-Peláez, I.; Ustarroz-Cano, M.; López-Zepeda, S.; Cervantes-Yépez, S.; et al. Health effects of metals on particulate matter. In Current Air Quality Issues; Nejadkoorki, F., Ed.; IntechOpen: London, UK, 2015. [Google Scholar] [CrossRef]
- Furuyama, A.; Kanno, S.; Kobayashi, T.; Hirano, S. Extra-pulmonary translocation of intratracheally instilled fine and ultrafine particles via direct alveolar macrophage-associated routes. Arch. Toxicol. 2009, 83, 429–437. [Google Scholar] [CrossRef]
- Guarnieri, M.; Balmes, J.R. Outdoor air pollution and asthma. Lancet 2014, 383, 1581–1592. [Google Scholar] [CrossRef]
- Yuan, Y.; Wu, Y.; Ge, X.; Nie, D.; Wang, M.; Zhou, H.; Chen, M. In vitro toxicity evaluation of heavy metals in urban air particulate matter in human lung epithelial cells. Sci. Total Environ. 2019, 678, 301–308. [Google Scholar] [CrossRef]
- Atkinson, R.W.; Kang, S.; Anderson, H.R.; Mills, I.C.; Walton, H.A. Epidemiological time series studies of PM2.5 and daily mortality and hospital admissions: A systematic review and meta-analysis. Thorax 2014, 69, 660–665. [Google Scholar] [CrossRef]
- Faridi, S.; Shamsipour, M.; Krzyzanowski, M.; Künzli, N.; Amini, H.; Azimi, F.; Malkawi, M.; Momeniha, F.; Gholampour, A.; Hassanvand, M.S.; et al. Long-term trends and health impact of PM2.5 and O3 in Tehran, Iran, 2006–2015. Environ. Int. 2018, 114, 37–49. [Google Scholar] [CrossRef]
- Amodio, M.; Andriani, E.; Dambruoso, P.R.; de Gennaro, G.; Di Gilio, A.; Intini, M.; Palmisani, J.; Tutino, M.; Tutino, M. Monitoring strategy to assess fugitive emissions from steel plants. Atmos. Environ. 2013, 79, 455–461. [Google Scholar] [CrossRef]
- Hleis, D.; Fernández-Olmo, I.; Ledoux, F.; Kfoury, A.; Courcot, L.; Desmonts, T.; Courcot, D. Chemical profile identification of fugitive and confined particle emissions from an integrated iron and steelmaking plant. J. Hazard. Mater. 2013, 250–251, 246–255. [Google Scholar] [CrossRef] [PubMed]
- Mukherjee, A.; Agrawal, M. World air particulate matter: Sources, distribution, and health effects. Environ. Chem. Lett. 2017, 15, 283–309. [Google Scholar] [CrossRef]
- Pan, Y.; Tian, S.; Li, X.; Sun, Y.; Li, Y.; Wentworth, G.R.; Wang, Y. Trace elements in particulate matter from metropolitan regions of Northern China: Sources, concentrations, and size distributions. Sci. Total Environ. 2015, 537, 9–22. [Google Scholar] [CrossRef] [PubMed]
- Hwang, K.; Kim, J.; Lee, J.Y.; Park, J.S.; Park, S.; Lee, G.; Kim, C.H.; Kim, P.; Shin, S.H.; Lee, K.Y.; et al. Physicochemical characteristics and seasonal variations in PM2.5 in the urban, industrial, and suburban areas of South Korea. Asian J. Atmos. Environ. 2023, 17, 19. [Google Scholar] [CrossRef]
- Kang, B.W.; Kim, M.J.; Baek, K.M.; Seo, Y.K.; Lee, H.S.; Kim, J.H.; Han, J.S. Distribution of airborne heavy metal concentrations in major industrial complexes in Korea. J. Korean Soc. Atmos. Environ. 2018, 34, 269–280. [Google Scholar] [CrossRef]
- Park, S.S.; Jung, J.Y.; Yeon, I.J. Relationship between the perception of administrative regulation and odor acceptance among residents living in the Ochang industrial complex area. J. Environ. Impact Assess. 2015, 24, 332–343. [Google Scholar] [CrossRef]
- Korean Statistical Information Service (KOSIS). National Industrial Complex Status Statistics. 2023. Available online: http://kosis.kr/ (accessed on 21 April 2024).
- Choi, M.S.; Kim, Y.H. Air pollutants emitted from the Yeosu National Industrial Complex affecting air quality in Yeosu, Republic of Korea. J. Korean Soc. Atmos. Environ. 2023, 39, 77–93. [Google Scholar] [CrossRef]
- Hong, E.J.; Ahn, G.S.; Chung, E.K.; Choi, J.H.; Guo, X.; Son, B.S. Pulmonary function and influencing factors among residents of Gwangyang steel mill. J. Environ. Health Sci. 2011, 37, 182–192. [Google Scholar] [CrossRef]
- Hong, E.; Lee, S.; Kim, G.B.; Kim, T.J.; Kim, H.W.; Lee, K.; Son, B.S. Effects of environmental air pollution on pulmonary function level of residents in Korean industrial complexes. Int. J. Environ. Res. Public. Health 2018, 15, 834. [Google Scholar] [CrossRef]
- Harrison, R.M.; Jones, A.M.; Gietl, J.; Yin, J.; Green, D.C. Estimation of the contributions of brake dust, tire wear, and resuspension to nonexhaust traffic particles derived from atmospheric measurements. Environ. Sci. Technol. 2012, 46, 6523–6529. [Google Scholar] [CrossRef]
- Pio, C.; Mirante, F.; Oliveira, C.; Matos, M.; Caseiro, A.; Oliveira, C.; Querol, X.; Alves, C.; Martins, N.; Cerqueira, M.; et al. Size-segregated chemical composition of aerosol emissions in an urban road tunnel in Portugal. Atmos. Environ. 2013, 71, 15–25. [Google Scholar] [CrossRef]
- Xue, H.; Guo, X.; Meng, T.; Mao, D.; Ma, Z. NH3-SCR of NO over M/ZSM-5 (M=Mn, Co, Cu) catalysts: An in-situ DRIFTS study. Surf. Interfaces 2022, 29, 101722. [Google Scholar] [CrossRef]
- Adachi, K.; Tainosho, Y. Characterization of heavy metal particles embedded in tire dust. Environ. Int. 2004, 30, 1009–1017. [Google Scholar] [CrossRef]
- Duan, J.; Tan, J. Atmospheric heavy metals and arsenic in China: Situation, sources and control policies. Atmos. Environ. 2013, 74, 93–101. [Google Scholar] [CrossRef]
- Manoli, E.; Voutsa, D.; Samara, C. Chemical characterization and source identification/apportionment of fine and coarse air particles in Thessaloniki, Greece. Atmos. Environ. 2002, 36, 949–961. [Google Scholar] [CrossRef]
- Wang, Y.; Gao, Y.; Zhu, Z.; Zhang, L.; Zhao, N.; Fang, Y.; Zhu, Y.; Liu, G. Enhanced arsenic removal from aqueous solution by Fe/Mn-C layered double hydroxide composite. Adsorpt. Sci. Technol. 2021, 2021, 8891643. [Google Scholar] [CrossRef]
- Liu, X.; Pan, X.; Wang, Z.; He, H.; Wang, D.; Liu, H.; Tian, Y.; Xiang, W.; Li, J. Chemical characteristics and potential sources of PM2.5 in Shahe city during severe haze pollution episodes in the winter. Aerosol Air Qual. Res. 2020, 20, 2741–2753. [Google Scholar] [CrossRef]
- Yang, D.; Li, Z.; Yue, Z.; Liu, J.; Zhai, Z.; Li, Z.; Gao, M.; Hu, A.; Zhu, W.; Ding, N.; et al. Variations in sources, composition, and exposure risks of PM2.5 in both pre-heating and heating seasons. Aerosol Air Qual. Res. 2022, 22, 210333. [Google Scholar] [CrossRef]
- Sun, Y.; Zhuang, G.; Wang, Y.; Han, L.; Guo, J.; Dan, M.; Zhang, W.; Wang, Z.; Hao, Z.; Wang, Z.; et al. Airborne particulate pollution in Beijing: Concentration, composition, distribution, and sources. Atmos. Environ. 2004, 38, 5991–6004. [Google Scholar] [CrossRef]
- Hsu, Y.C.; Lai, M.H.; Wang, W.C.; Chiang, H.L.; Shieh, Z.X. Characteristics of water-soluble ionic species in Fine (PM2.5) and Coarse Particulate Matter (PM10–2.5) in Kaohsiung, Southern Taiwan. J. Air Waste Manag. Assoc. 2008, 58, 1579–1589. [Google Scholar] [CrossRef]
- Wang, Y.; Zhuang, G.; Tang, A.; Yuan, H.; Sun, Y.; Chen, S.; Zheng, A. The ion chemistry and the source of PM2.5 aerosol in Beijing. Atmos. Environ. 2005, 39, 3771–3784. [Google Scholar] [CrossRef]
- Ministry of Environment (MoE); National Institute of Environmental Research (NIER). Guidelines for Installation and Operation of Air Pollution Monitoring Networks. 2022. Available online: https://me.go.kr/home/web/law/read.do?lawSeq=669&menuId=71&typeCode=admrul (accessed on 9 February 2025).
- Police, S.; Sahu, S.K.; Tiwari, M.; Pandit, G.G. Chemical composition and source apportionment of PM2.5 and PM2.5–10. Trombay (Mumbai, India) is an industrial coastal area. Particuology 2018, 37, 143–153. [Google Scholar] [CrossRef]
- Back, J.M.; Yee, S.W.; Lee, B.H.; Kang, D.H.; Yeo, M.S.; Kim, K.W. Relationship between indoor and outdoor particulate matter concentration by infiltration in winter. J. Archit. Inst. Korea Plan. Des. 2015, 31, 137–144. [Google Scholar] [CrossRef]
- Jee, J.B.; Cho, C.R.; Kim, S.H.; Song, M. An analysis of the meteorological characteristics of fine particles on the Korean Peninsula during winter 2015–2021. J. Korean Soc. Atmos. Environ. 2022, 38, 394–413. [Google Scholar] [CrossRef]
- Lee, H.J.; Jeong, Y.M.; Kim, S.T.; Lee, W.S. Atmospheric circulation patterns associated with particulate matter over South Korea and their future projections. J. Clim. Change Res. 2018, 9, 423–433. [Google Scholar] [CrossRef]
- National Institute of Environmental Research (NIER). Air Pollution Control Testing Standards. 2023. Available online: https://www.law.go.kr/%ED%96%89%EC%A0%95%EA%B7%9C%EC%B9%99/%EB%8C%80%EA%B8%B0%EC%98%A4%EC%97%BC%EA%B3%B5%EC%A0%95%EC%8B%9C%ED%97%98%EA%B8%B0%EC%A4%80/(2023-16,20230404) (accessed on 10 February 2025).
- Clark, P.J. Extension of the divergence coefficient for use with multiple characters. Copeia 1952, 1952, 61–64. [Google Scholar] [CrossRef]
- Guo, Y.; Gao, X.; Zhu, T.; Luo, L.; Zheng, Y. Chemical profiles of PM emitted from the iron and steel industry in northern China. Atmos. Environ. 2017, 150, 187–197. [Google Scholar] [CrossRef]
- Wang, G.; Cheng, S.; Wei, W.; Wen, W.; Wang, X.; Yao, S. Chemical characteristics of fine particles emitted from different Chinese cooking styles. Aerosol Air Qual. Res. 2015, 15, 2357–2366. [Google Scholar] [CrossRef]
- Xie, M.; Coons, T.L.; Dutton, S.J.; Milford, J.B.; Miller, S.L.; Peel, J.L.; Vedal, S.; Hannigan, M.P.; Hannigan, M.P. Intra-urban spatial variability of PM2.5-bound carbonaceous components. Atmos. Environ. 2012, 60, 486–494. [Google Scholar] [CrossRef][Green Version]
- Ju, J.H.; Hwang, I.J. Spatial distribution of principal pollutants in the Daegu area using air pollution monitoring network data. J. Korean Soc. Atmos. Environ. 2011, 27, 545–557. [Google Scholar] [CrossRef]
- Wongphatarakul, V.; Friedlander, S.K.; Pinto, J.P. Comparative study of PM25 ambient aerosol chemical databases of ambient aerosols. Environ. Sci. Technol. 1998, 32, 3926–3934. [Google Scholar] [CrossRef]
- Thurston, G.D.; Spengler, J.D. A quantitative assessment of source contributions to inhalable particulate matter pollution in metropolitan Boston. Atmos. Environ. 1967, 19, 9–25. [Google Scholar] [CrossRef]
- Vallius, M.; Janssen, N.A.H.; Heinrich, J.; Hoek, G.; Ruuskanen, J.; Cyrys, J.; Van Grieken, R.; De Hartog, J.J.; Kreyling, W.G.; Pekkanen, J. Sources and elemental composition of ambient PM2.5 in three European cities. Sci. Total Environ. 2005, 337, 147–162. [Google Scholar] [CrossRef] [PubMed]
- Park, S.Y.; Jang, H.; Kwon, J.; Cho, Y.S.; Lee, J.I.; Lee, C.M. Spatiotemporal distribution and source analysis of PM2.5 and its chemical components in national industrial complexes of Korea: A case study of Ansan and Siheung. Environ. Sci. Pollut. Res. 2024, 31, 65406–65426. [Google Scholar] [CrossRef] [PubMed]
- ChooChuay, C.; Pongpiachan, S.; Tipmanee, D.; Suttinun, O.; Deelaman, W.; Wang, Q.; Xing, L.; Li, G.; Han, Y.; Palakun, J.; et al. Impacts of PM2.5 sources on variations in particulate chemical compounds in ambient air of Bangkok, Thailand. Atmos. Pollut. Res. 2020, 11, 1657–1667. [Google Scholar] [CrossRef]
- Cui, L.; Song, X.; Zhong, G. Comparative analysis of three methods for HYSPLIT atmospheric trajectories clustering. Atmosphere 2021, 12, 698. [Google Scholar] [CrossRef]
- Sirithian, D.; Thanatrakolsri, P. Relationships between meteorological and particulate matter concentrations (PM2.5 and PM10) during the haze period in urban and rural areas, northern Thailand. Air Soil. Water Res. 2022, 15, 11786221221117264. [Google Scholar] [CrossRef]
- Zhang, F.; Chen, J.; Qiu, T.; Yin, L.; Chen, X.; Yu, J. Pollution characteristics of PM2.5 during a typical haze episode in Xiamen, China. Atmos. Clim. Sci. 2013, 3, 427–439. [Google Scholar] [CrossRef]
- Cohen, D.D.; Crawford, J.; Stelcer, E.; Bac, V.T. Characterization and source apportionment of fine particulate sources at Hanoi from 2001 to 2008. Atmos Environ. 2010, 44, 320–328. [Google Scholar] [CrossRef]
- Klopper, D.; Formenti, P.; Namwoonde, A.; Cazaunau, M.; Chevaillier, S.; Feron, A.; Gaimoz, C.; Hease, P.; Lahmidi, F.; Mirande-Bret, C.; et al. Chemical composition and source apportionment of atmospheric aerosols along the Namibian Coast. Atmos. Chem. Phys. 2020, 20, 15811–15833. [Google Scholar] [CrossRef]
- Xiao, H.W.; Xiao, H.Y.; Shen, C.Y.; Zhang, Z.Y.; Long, A.M. Chemical composition and sources of marine aerosols over western North Pacific Ocean in winter. Atmosphere 2018, 9, 298. [Google Scholar] [CrossRef]
- Dinoi, A.; Cesari, D.; Marinoni, A.; Bonasoni, P.; Riccio, A.; Chianese, E.; Tirimberio, G.; Naccarato, A.; Sprovieri, F.; Andreoli, G.; et al. Inter-comparison of carbon content in PM2.5 and PM10 collected at five measurement sites in southern Italy. Atmosphere 2017, 8, 243. [Google Scholar] [CrossRef]
- Moreno, T.; Querol, X.; Alastuey, A.; de la Rosa, J.; Sánchez de la Campa, A.M.S.; Minguillón, M.; Pandolfi, M.; González-Castanedo, Y.; Monfort, E.; Gibbons, W.; et al. Variations in vanadium, nickel and lanthanoid element concentrations in urban air. Sci. Total Environ. 2010, 408, 4569–4579. [Google Scholar] [CrossRef] [PubMed]
- Okuda, T.; Nakao, S.; Katsuno, M.; Tanaka, S. Source identification of nickel in TSP and PM2.5 in Tokyo, Japan. Atmos. Environ. 2007, 41, 7642–7648. [Google Scholar] [CrossRef]
- Viana, M.; Kuhlbusch, T.A.J.; Querol, X.; Alastuey, A.; Harrison, R.M.; Hopke, P.K.; Winiwarter, W.; Vallius, M.; Szidat, S.; Prévôt, A.S.H.; et al. Source apportionment of particulate matter in Europe: A review of methods and results. J. Aerosol Sci. 2008, 39, 827–849. [Google Scholar] [CrossRef]
- Moreno, T.; Pandolfi, M.; Querol, X.; Lavín, J.; Alastuey, A.; Viana, M.; Gibbons, W. Manganese in the urban atmosphere: Identifying anomalous concentrations and sources. Environ. Sci. Pollut. Res. Int. 2011, 18, 173–183. [Google Scholar] [CrossRef]
- Zayed, J.; Hong, B.; L’espérance, G. Characterization of manganese-containing particles collected from the exhaust emissions of automobiles running with MMT additive. Environ. Sci. Technol. 1999, 33, 3341–3346. [Google Scholar] [CrossRef]
- Hsu, C.Y.; Chiang, H.C.; Chen, M.J.; Chuang, C.Y.; Tsen, C.M.; Fang, G.C.; Tsai, Y.I.; Chen, N.T.; Lin, T.Y.; Lin, S.L.; et al. Ambient PM2.5 in the residential area near industrial complexes: Spatiotemporal variation, source apportionment, and health impact. Sci. Total Environ. 2017, 590–591, 204–214. [Google Scholar] [CrossRef]
- Kang, S.; Choi, S.; Ban, J.; Kim, K.; Singh, R.; Park, G.; Kim, M.B.; Yu, D.G.; Kim, J.A.; Kim, S.W.; et al. Chemical characteristics and sources of PM2.5 in the urban environment of Seoul, Korea. Atmos. Pollut. Res. 2022, 13, 101568. [Google Scholar] [CrossRef]
- Bae, H.J. Effects of short-term exposure to PM10 and PM2.5 on mortality in Seoul. J. Environ. Health Sci. 2014, 40, 346–354. [Google Scholar] [CrossRef]
- National Institute of Environmental Research (NIER). Study on the Composition of PM2.5 in the Yellow Sand and Fine Particle; NIER: Seo-gu, Incheon, Republic of Korea, 2008. [Google Scholar]
- Park, E.H.; Heo, J.; Kim, H.; Yi, S.M. Long term trends of chemical constituents and source contributions of PM2.5 in Seoul. Chemosphere 2020, 251, 126371. [Google Scholar] [CrossRef] [PubMed]
- Kim, K.H.; Kim, D.S.; Lee, T.J. The temporal variabilities in the concentrations of airborne lead and its relationship to aerosol behavior. Atmos. Environ. 1997, 31, 3449–3458. [Google Scholar] [CrossRef]
- Kim, K.H.; Kim, M.Y. The effects of Asian Dust on particulate matter fractionation in Seoul, Korea during spring 2001. Chemosphere 2003, 51, 707–721. [Google Scholar] [CrossRef] [PubMed]
- Belis, C.A.; Karagulian, F.; Larsen, B.R.; Hopke, P.K. Critical review and meta-analysis of ambient particulate matter source apportionment using receptor models in Europe. Atmos. Environ. 2013, 69, 94–108. [Google Scholar] [CrossRef]
- Huang, X.H.H.; Bian, Q.; Ng, W.M.; Louie, P.K.K.; Yu, J.Z. Characterization of PM2.5 major components and source investigation in suburban Hong Kong: A one year monitoring study. Aerosol Air Qual. Res. 2014, 14, 237–250. [Google Scholar] [CrossRef]
- Wang, Y.; Jia, C.; Tao, J.; Zhang, L.; Liang, X.; Ma, J.; Gao, H.; Huang, T.; Zhang, K.; Huang, T.; et al. Chemical characterization and source apportionment of PM2.5 in a semi-arid and petrochemical-industrialized city, Northwest China. Sci. Total Environ. 2016, 573, 1031–1040. [Google Scholar] [CrossRef]
- Liu, X.; Jiang, N.; Yu, X.; Zhang, R.; Li, S.; Li, Q.; Kang, P. Chemical characteristics, sources apportionment, and risk assessment of PM2.5 in different functional areas of an emerging megacity in China. Aerosol Air Qual. Res. 2019, 19, 2222–2238. [Google Scholar] [CrossRef]
- Zhao, M.; Huang, Z.; Qiao, T.; Zhang, Y.; Xiu, G.; Yu, J. Chemical characterization, the transport pathways and potential sources of PM2.5. In Shanghai: Seasonal variations. Atmos. Res. 2015, 158, 66–78. [Google Scholar] [CrossRef]
- Lim, J.M.; Lee, J.H.; Moon, J.H.; Chung, Y.S.; Kim, K.H. Source apportionment of PM10 at a small industrial area using Positive Matrix Factorization. Atmos. Res. 2010, 95, 88–100. [Google Scholar] [CrossRef]
- Charron, A.; Harrison, R.M. Primary particle formation from vehicle emissions during exhaust dilution in the roadside atmosphere. Atmos. Environ. 2003, 37, 4109–4119. [Google Scholar] [CrossRef]
- Xie, J.J.; Yuan, C.G.; Xie, J.; Niu, X.D.; Zhang, X.R.; Zhang, K.G.; Xu, P.Y.; Ma, X.Y.; Lv, X.B. Comparison of arsenic fractions and health risks in PM2.5 before and after coal-gas replacement. Environ. Pollut. 2020, 259, 113881. [Google Scholar] [CrossRef] [PubMed]
- Guo, F.; Tang, M.; Wang, X.; Yu, Z.; Wei, F.; Zhang, X.; Jin, M.; Wang, J.; Xu, D.; Chen, Z.; et al. Characteristics, sources, and health risks of trace metals in PM2.5. Atmos. Environ. 2022, 289, 119314. [Google Scholar] [CrossRef]
- Papoutsidaki, K.; Tsiodra, I.; Grivas, G.; Bougiatioti, A.; Oikonomou, K.; Aikaterini Kozonaki, F.; Tavernaraki, K.; Tsagkaraki, M.; Nenes, A.; Mihalopoulos, N.; et al. Bioaerosol’s contribution to the atmospheric phosphorus in Athens, Greece. In Proceedings of the European Geosciences Union General Assembly (EGU2024), Vienna, Austria, 14–19 April 2024. [Google Scholar] [CrossRef]
- Violaki, K.; Nenes, A.; Tsagkaraki, M.; Paglione, M.; Jacquet, S.; Sempéré, R.; Panagiotopoulos, C. Bioaerosols and dust are the dominant sources of organic P in atmospheric particles. NPJ Clim. Atmos. Sci. 2021, 4, 63. [Google Scholar] [CrossRef]
- Chow, J.C.; Watson, J.G.; Lu, Z.; Lowenthal, D.H.; Frazier, C.A.; Solomon, P.A.; Thuillier, R.H.; Magliano, K. Descriptive analysis of PM2.5 and PM10 at regionally representative locations during SJVAQS/AUSPEX. Atmos. Environ. 1996, 30, 2079–2112. [Google Scholar] [CrossRef]
- Yoo, H.Y.; Kim, K.A.; Kim, Y.P.; Jung, C.H.; Shin, H.J.; Moon, K.J.; Park, S.M.; Lee, J.Y. Validation of SOC Estimation using OC and EC Concentration in PM2.5 Measured at Seoul. Aerosol Air Qual. Res. 2022, 22, 210388. [Google Scholar] [CrossRef]
- Duan, J.; Tan, J.; Cheng, D.; Bi, X.; Deng, W.; Sheng, G.; Fu, J.; Wong, M.H. Sources and characteristics of carbonaceous aerosol in two largest cities in Pearl River Delta Region, China. Atmos. Environ. 2007, 41, 2895–2903. [Google Scholar] [CrossRef]
- Chen, Y.; Zhi, G.; Feng, Y.; Fu, J.; Feng, J.; Sheng, G.; Simoneit, B.R. Measurements of emission factors for primary carbonaceous particles from residential raw-coal combustion in China. Geophys. Res. Lett. 2006, 33. [Google Scholar] [CrossRef]
- Zhang, Y.X.; Min, S.; Zhang, Y.H.; Zeng, L.M.; He, L.Y.; Bin, Z.; Wei, Y.J.; Zhu, X.L. Source profiles of particulate organic matters emitted from cereal straw burnings. J. Environ. Sci. 2007, 19, 167–175. [Google Scholar] [CrossRef]
- Castro, L.M.; Pio, C.A.; Harrison, R.M.; Smith, D.J.T. Carbonaceous aerosol in urban and rural European atmospheres: Estimation of secondary organic carbon concentrations. Atmos. Environ. 1999, 33, 2771–2781. [Google Scholar] [CrossRef]
- Jihua, T.; Jingchun, D.; Kebin, H.E.; Yongliang, M.A.; Fengkui, D.U.A.N.; Yuan, C.H.E.N.; Jiamo, F.U. Chemical characteristics of PM2.5 during a typical haze episode in Guangzhou. J. Environ. Sci. 2009, 21, 774–781. [Google Scholar] [CrossRef]
- Feng, Y.; Chen, Y.; Guo, H.; Zhi, G.; Xiong, S.; Li, J.; Sheng, G.; Fu, J. Characteristics of organic and elemental carbon in PM2.5 samples in Shanghai, China. Atmos. Res. 2009, 92, 434–442. [Google Scholar] [CrossRef]
- Arimoto, R.; Duce, R.A.; Savoie, D.L.; Prospero, J.M.; Talbot, R.; Cullen, J.D.; Tomza, U.; Lewis, N.F.; Ray, B.J. Relationships among aerosol constituents from Asia and the North Pacific during PEM-West A. J. Geophys. Res. Atmos. 1996, 101, 2011–2023. [Google Scholar] [CrossRef]
- Zhao, M.; Qiao, T.; Huang, Z.; Zhu, M.; Xu, W.; Xiu, G.; Tao, J.; Lee, S. Comparison of ionic and carbonaceous compositions of PM2.5 in 2009 and 2012 in Shanghai, China. Sci. Total Environ. 2015, 536, 695–703. [Google Scholar] [CrossRef]
- Zhao, P.S.; Dong, F.; He, D.; Zhao, X.J.; Zhang, X.L.; Zhang, W.Z.; Yao, Q.; Liu, H.Y. Characteristics of concentrations and chemical compositions for PM2.5 in the region of Beijing, Tianjin, and Hebei, China. Atmos. Chem. Phys. 2013, 13, 4631–4644. [Google Scholar] [CrossRef]
- Yao, X.; Chan, C.K.; Fang, M.; Cadle, S.; Chan, T.; Mulawa, P.; He, J.; Ye, B. The water-soluble ionic composition of PM2.5 in Shanghai and Beijing, China. Atmos. Environ. 2002, 36, 4223–4234. [Google Scholar] [CrossRef]
- Zhang, Y.; Zhang, H.; Deng, J.; Du, W.; Hong, Y.; Xu, L.; Qiu, Y.; Hong, Z.; Wu, X.; Ma, Q.; et al. Source regions and transport pathways of PM2.5 at a regional background site in East China. Atmos. Environ. 2017, 167, 202–211. [Google Scholar] [CrossRef]
- Lee, P.K.; Brook, J.R.; Dabek-Zlotorzynska, E.; Mabury, S.A. Identification of the major sources contributing to PM2.5 observed in Toronto. Environ. Sci. Technol. 2003, 37, 4831–4840. [Google Scholar] [CrossRef]
- Yang, F.; He, K.; Ma, Y.; Chen, X.; Cadle, S.H.; Chan, T.; Mulawa, P.A. Characteristics and Sources of Trace Elements in Ambient PM2.5 in Beijing. Environ. Sci. 2003, 24, 33–37. [Google Scholar] [CrossRef]
- Querol, X.; Zhuang, X.; Alastuey, A.; Viana, M.; Lv, W.; Wang, Y.; López, A.; Zhu, Z.; Xu, S. Speciation and sources of atmospheric aerosols in a highly industrialised emerging mega-city in Central China. J. Environ. Monit. 2006, 8, 1049–1059. [Google Scholar] [CrossRef]
- Karnae, S.; John, K. Source apportionment of fine particulate matter measured in an industrialized coastal urban area of South Texas. Atmos. Environ. 2011, 45, 3769–3776. [Google Scholar] [CrossRef]
- Gao, Y.; Lyu, T.; Zhang, W.; Zhou, X.; Zhang, R.; Tang, Y.; Jiang, Y.; Cao, H. Control priority based on source-specific DALYs of PM2.5-bound heavy metals by PMF-PSCF-IsoSource model in urban and suburban Beijing. J. Environ. Manag. 2024, 352, 120016. [Google Scholar] [CrossRef] [PubMed]
- Sharma, N.; Hernadi, K. The emerging career of strontium titanates in photocatalytic applications: A review. Catalysts 2022, 12, 1619. [Google Scholar] [CrossRef]
- Zhang, D.; Iwasaka, Y. Nitrate and sulfate in individual Asian dust-storm particles in Beijing, China in spring of 1995 and 1996. Atmos. Environ. 1999, 33, 3213–3223. [Google Scholar] [CrossRef]
- Zhou, H.; Lü, C.; He, J.; Gao, M.; Zhao, B.; Ren, L.; Zhang, L.; Fan, Q.; Tao, Q.; He, Z.; et al. Stoichiometry of water-soluble ions in PM2.5: Application in source apportionment for a typical industrial city in semi-arid region, Northwest China. Atmos. Res. 2018, 204, 149–160. [Google Scholar] [CrossRef]
- Chen, H.; Yan, Y.; Hu, D.; Peng, L.; Wang, C. High contribution of vehicular exhaust and coal combustion to PM2.5-bound Pb pollution in an industrial city in North China: An insight from isotope. Atmos. Environ. 2023, 294, 119503. [Google Scholar] [CrossRef]
- Galindo, N.; Varea, M.; Gil-Moltó, J.; Yubero, E.; Nicolás, J. The influence of meteorology on particulate matter concentrations at an urban Mediterranean location. Water Air Soil Pollut. 2011, 215, 365–372. [Google Scholar] [CrossRef]
- Ismail, A.A.K.H. Prediction of global solar radiation from sunrise duration using regression functions. Kuwait J. Sci. 2022, 49, 3. [Google Scholar] [CrossRef]
- Ismail, A.H.; Dawi, E.; Almokdad, N.; Abdelkader, A.; Salem, O. Estimation and Comparison of the Clearness Index using Mathematical Models—Case study in the United Arab Emirates. Evergreen 2023, 10, 863–869. [Google Scholar] [CrossRef]
- Jayamurugan, R.; Kumaravel, B.; Palanivelraja, S.; Chockalingam, M.P. Influence of temperature, relative humidity and seasonal variability on ambient air quality in a coastal urban area. Int. J. Atmos. Sci. 2013, 2013, 264046. [Google Scholar] [CrossRef]
- Liu, Z.; Hu, B.; Wang, L.; Wu, F.; Gao, W.; Wang, Y. Seasonal and diurnal variation in particulate matter (PM10 and PM2.5) at an urban site of Beijing: Analyses from a 9-year study. Environ. Sci. Pollut. Res. 2015, 22, 627–642. [Google Scholar] [CrossRef]










| Component | Total | ||||||||||||||
|---|---|---|---|---|---|---|---|---|---|---|---|---|---|---|---|
| F1 | F2 | F3 | F4 | F5 | |||||||||||
| Mean | SD | Mean | SD | Mean | SD | Mean | SD | Mean | SD | N | Mean | SD | p-Value a | ||
| PM2.5 (μg/m3) | 17.72 | 9.34 | 17.17 | 10.06 | 20.28 | 10.28 | 18.32 | 9.43 | 18.98 | 9.96 | 1304 | 18.50 | 9.81 | 0.003 * | |
| Ion | Cl− | 0.38 | 0.37 | 0.39 | 0.40 | 0.43 | 0.45 | 0.43 | 0.47 | 0.42 | 0.42 | 1246 | 0.41 | 0.42 | 0.570 |
| (μg/m3) | NO3− | 2.50 | 3.02 | 2.43 | 2.97 | 2.87 | 3.40 | 2.52 | 2.97 | 2.73 | 3.25 | 1176 | 2.61 | 3.12 | 0.510 |
| SO42− | 3.03 | 2.70 | 3.00 | 2.41 | 3.08 | 2.30 | 2.97 | 2.18 | 3.82 | 2.65 | 1244 | 3.18 | 2.45 | 0.000 * | |
| Na+ | 0.41 | 0.34 | 0.41 | 0.32 | 0.42 | 0.33 | 0.45 | 0.55 | 0.43 | 0.34 | 1181 | 0.42 | 0.38 | 0.825 | |
| NH4+ | 1.75 | 1.60 | 1.80 | 1.48 | 1.94 | 1.63 | 1.73 | 1.49 | 2.13 | 1.55 | 1214 | 1.87 | 1.55 | 0.023 * | |
| K+ | 0.22 | 0.16 | 0.22 | 0.21 | 0.25 | 0.30 | 0.22 | 0.16 | 0.23 | 0.16 | 1091 | 0.23 | 0.20 | 0.412 | |
| Mg2+ | 0.11 | 0.08 | 0.11 | 0.08 | 0.11 | 0.08 | 0.10 | 0.08 | 0.11 | 0.08 | 730 | 0.11 | 0.08 | 0.912 | |
| Ca2+ | 0.14 | 0.12 | 0.17 | 0.53 | 0.13 | 0.10 | 0.13 | 0.10 | 0.15 | 0.12 | 1105 | 0.14 | 0.20 | 0.340 | |
| Carbon | EC | 0.48 | 0.24 | 0.48 | 0.45 | 0.52 | 0.57 | 0.47 | 0.23 | 0.43 | 0.19 | 1314 | 0.48 | 0.34 | 0.049 * |
| (μg/m3) | OC | 4.12 | 2.37 | 3.51 | 1.68 | 4.20 | 2.03 | 3.94 | 2.01 | 4.17 | 2.00 | 1315 | 3.99 | 2.02 | 0.000 * |
| Elements | Al | 321.17 | 408.58 | 391.64 | 565.68 | 386.44 | 559.51 | 380.18 | 578.87 | 421.84 | 591.78 | 290 | 380.25 | 540.88 | 0.893 |
| (ng/m3) | Ti | 8.82 | 11.54 | 11.66 | 17.31 | 11.08 | 15.07 | 10.25 | 14.36 | 10.50 | 15.22 | 1209 | 10.46 | 14.70 | 0.271 |
| V | 1.70 | 1.41 | 1.43 | 1.12 | 1.29 | 0.97 | 1.33 | 1.05 | 1.70 | 1.23 | 1176 | 1.49 | 1.16 | 0.000 * | |
| Mn | 14.49 | 8.09 | 13.22 | 10.16 | 17.76 | 14.71 | 10.87 | 8.24 | 9.73 | 6.62 | 1311 | 13.22 | 9.56 | 0.000 * | |
| Fe | 278.96 | 167.39 | 185.10 | 172.77 | 189.82 | 160.20 | 163.74 | 153.02 | 141.19 | 150.78 | 1311 | 191.76 | 161.83 | 0.000 * | |
| Ni | 2.78 | 3.78 | 1.57 | 1.14 | 1.83 | 1.31 | 1.86 | 3.84 | 1.79 | 1.36 | 1287 | 1.96 | 2.29 | 0.000 * | |
| Co | 1.62 | 1.00 | 1.08 | 1.02 | 1.12 | 0.94 | 0.99 | 0.89 | 0.93 | 0.88 | 1162 | 1.15 | 0.95 | 0.000 * | |
| Cu | 3.94 | 3.24 | 4.07 | 4.35 | 3.89 | 2.58 | 3.80 | 3.59 | 4.10 | 2.89 | 1309 | 3.96 | 3.33 | 0.844 | |
| Zn | 53.27 | 27.96 | 40.06 | 25.74 | 48.60 | 34.69 | 41.58 | 29.84 | 36.80 | 24.41 | 1311 | 44.06 | 28.53 | 0.000 * | |
| As | 4.53 | 2.89 | 2.45 | 1.85 | 2.72 | 2.21 | 2.39 | 1.87 | 2.33 | 1.83 | 1234 | 2.88 | 2.13 | 0.000 * | |
| Sr | 1.34 | 1.17 | 1.74 | 3.88 | 1.46 | 1.30 | 1.31 | 1.22 | 1.51 | 1.28 | 755 | 1.47 | 1.77 | 0.381 | |
| Mo | 2.71 | 2.98 | 3.01 | 3.40 | 3.03 | 3.33 | 3.61 | 4.01 | 5.73 | 6.10 | 744 | 3.62 | 3.96 | 0.000 * | |
| Cd | 3.90 | 3.80 | 4.70 | 4.85 | 4.25 | 4.15 | 3.97 | 3.82 | 4.08 | 4.00 | 825 | 4.18 | 4.13 | 0.429 | |
| Ba | 9.98 | 9.13 | 12.39 | 10.93 | 11.90 | 10.76 | 12.16 | 11.80 | 13.66 | 14.96 | 830 | 12.02 | 11.51 | 0.076 | |
| Pb | 10.13 | 7.36 | 8.18 | 5.75 | 11.57 | 28.71 | 9.32 | 6.64 | 8.97 | 6.38 | 1263 | 9.64 | 10.97 | 0.078 | |
| P | 8.20 | 6.87 | 9.17 | 10.06 | 8.02 | 8.43 | 7.61 | 9.08 | 13.51 | 13.09 | 934 | 9.30 | 9.51 | 0.000 * | |
| S | 1289.15 | 1029.48 | 1222.95 | 988.60 | 1317.64 | 1030.25 | 1194.89 | 968.82 | 1564.03 | 1161.16 | 1298 | 1317.13 | 1035.66 | 0.000 * | |
| Cr | 3.49 | 3.68 | 2.25 | 1.56 | 2.64 | 1.72 | 2.45 | 2.22 | 2.09 | 1.43 | 1284 | 2.59 | 2.12 | 0.000 * | |
| Si | 351.49 | 525.97 | 433.35 | 787.66 | 369.48 | 587.08 | 359.07 | 613.09 | 423.16 | 660.44 | 1289 | 387.31 | 634.85 | 0.457 | |
| Season | Site | F1 | F2 | F3 | F4 | F5 | p-Value a |
|---|---|---|---|---|---|---|---|
| Spring | F1 | 1.000 | 0.938 | 0.835 | 0.868 | 0.910 | 0.000 * |
| F2 | 1.000 | 0.900 | 0.914 | 0.932 | |||
| F3 | 1.000 | 0.940 | 0.870 | ||||
| F4 | 1.000 | 0.908 | |||||
| F5 | 1.000 | ||||||
| Summer | F1 | 1.000 | 0.912 | 0.731 | 0.850 | 0.910 | 0.000 * |
| F2 | 1.000 | 0.909 | 0.931 | 0.935 | |||
| F3 | 1.000 | 0.869 | 0.876 | ||||
| F4 | 1.000 | 0.944 | |||||
| F5 | 1.000 | ||||||
| Autumn | F1 | 1.000 | 0.906 | 0.846 | 0.876 | 0.893 | 0.000 * |
| F2 | 1.000 | 0.888 | 0.922 | 0.908 | |||
| F3 | 1.000 | 0.943 | 0.870 | ||||
| F4 | 1.000 | 0.892 | |||||
| F5 | 1.000 | ||||||
| Winter | F1 | 1.000 | 0.742 | 0.888 | 0.876 | 0.922 | 0.000 * |
| F2 | 1.000 | 0.674 | 0.622 | 0.724 | |||
| F3 | 1.000 | 0.942 | 0.891 | ||||
| F4 | 1.000 | 0.925 | |||||
| F5 | 1.000 | ||||||
| Total | F1 | 1.000 | 0.842 | 0.857 | 0.891 | 0.904 | 0.000 * |
| F2 | 1.000 | 0.797 | 0.800 | 0.826 | |||
| F3 | 1.000 | 0.942 | 0.894 | ||||
| F4 | 1.000 | 0.924 | |||||
| F5 | 1.000 |
| Species | Mean ± SD |
|---|---|
| OC/EC | 8.74 ± 2.53 |
| SOC | 2.95 ± 1.50 |
| SOC/OC (%) | 72.81 ± 8.71 |
| NO3−/SO42− | 0.85 ± 0.87 |
| Component | PC1 | PC2 | PC3 | PC4 | PC5 | PC6 | PC7 | PC8 |
|---|---|---|---|---|---|---|---|---|
| Cl− | 0.004 | 0.163 | −0.091 | −0.012 | 0.780 | 0.116 | −0.181 | 0.180 |
| NO3− | 0.036 | 0.676 | −0.084 | 0.467 | 0.059 | 0.076 | −0.013 | 0.025 |
| SO42− | −0.046 | 0.067 | 0.097 | 0.817 | −0.073 | 0.021 | 0.099 | 0.114 |
| Na+ | −0.006 | −0.140 | 0.125 | −0.002 | 0.742 | 0.058 | 0.006 | −0.178 |
| NH4+ | 0.018 | 0.428 | 0.050 | 0.794 | 0.042 | 0.072 | 0.048 | 0.168 |
| K+ | −0.006 | 0.250 | 0.034 | 0.133 | 0.595 | −0.162 | 0.282 | 0.001 |
| Mg2+ | −0.047 | −0.059 | 0.144 | 0.070 | 0.663 | −0.112 | 0.413 | −0.109 |
| Ca2+ | 0.259 | 0.076 | −0.006 | 0.070 | 0.202 | 0.122 | 0.817 | 0.015 |
| EC | 0.033 | 0.671 | −0.012 | 0.033 | 0.059 | 0.043 | −0.080 | −0.069 |
| OC | 0.074 | 0.755 | 0.129 | 0.259 | 0.093 | 0.091 | 0.016 | 0.202 |
| Al | 0.942 | −0.056 | −0.021 | 0.006 | −0.048 | −0.022 | 0.051 | 0.008 |
| Ti | 0.859 | −0.031 | 0.124 | −0.074 | 0.071 | −0.032 | 0.114 | −0.097 |
| V | 0.444 | −0.198 | 0.472 | 0.399 | −0.045 | 0.199 | −0.069 | 0.047 |
| Mn | 0.384 | 0.545 | 0.500 | −0.031 | 0.050 | 0.058 | 0.132 | 0.067 |
| Fe | 0.782 | 0.354 | 0.388 | 0.049 | −0.001 | 0.044 | 0.095 | 0.072 |
| Ni | 0.105 | 0.129 | 0.805 | 0.216 | 0.019 | 0.168 | −0.063 | 0.051 |
| Co | 0.718 | 0.311 | 0.416 | 0.098 | −0.028 | 0.231 | 0.084 | 0.078 |
| Cu | 0.087 | 0.689 | 0.312 | 0.046 | −0.034 | 0.154 | 0.076 | 0.039 |
| Zn | 0.196 | 0.602 | 0.561 | 0.086 | 0.026 | 0.017 | 0.073 | 0.190 |
| As | −0.008 | 0.472 | 0.200 | 0.066 | −0.064 | −0.281 | 0.190 | −0.081 |
| Sr | 0.406 | 0.034 | 0.021 | 0.056 | −0.126 | 0.633 | 0.488 | 0.077 |
| Mo | −0.034 | 0.132 | 0.131 | −0.019 | 0.071 | 0.785 | −0.061 | −0.017 |
| Cd | −0.008 | 0.122 | −0.084 | −0.056 | 0.236 | 0.000 | −0.053 | −0.752 |
| Ba | −0.047 | 0.027 | 0.075 | 0.253 | −0.054 | 0.791 | 0.097 | 0.042 |
| Pb | 0.061 | 0.360 | 0.024 | 0.062 | 0.196 | 0.070 | −0.066 | 0.647 |
| P | 0.790 | 0.108 | 0.042 | 0.015 | −0.062 | −0.057 | −0.023 | 0.107 |
| S | 0.074 | 0.159 | 0.190 | 0.770 | 0.232 | 0.151 | −0.024 | −0.169 |
| Cr | 0.181 | 0.218 | 0.790 | 0.032 | 0.170 | −0.008 | 0.060 | −0.013 |
| Si | 0.966 | 0.052 | 0.063 | 0.035 | 0.042 | 0.034 | 0.110 | −0.027 |
| Eigenvalue | 5.00 | 3.67 | 2.69 | 2.52 | 2.24 | 2.00 | 1.35 | 1.27 |
| % of variance | 17.25 | 12.66 | 9.28 | 8.69 | 7.73 | 6.89 | 4.65 | 4.38 |
| % of cumulative | 17.25 | 29.91 | 39.19 | 47.88 | 55.61 | 62.50 | 67.15 | 71.53 |
Disclaimer/Publisher’s Note: The statements, opinions and data contained in all publications are solely those of the individual author(s) and contributor(s) and not of MDPI and/or the editor(s). MDPI and/or the editor(s) disclaim responsibility for any injury to people or property resulting from any ideas, methods, instructions or products referred to in the content. |
© 2025 by the authors. Licensee MDPI, Basel, Switzerland. This article is an open access article distributed under the terms and conditions of the Creative Commons Attribution (CC BY) license (https://creativecommons.org/licenses/by/4.0/).
Share and Cite
Jang, H.; Park, S.-Y.; Kim, Y.-H.; Lee, C.-M. Spatiotemporal Distribution Characteristics of PM2.5 Components in the Yeosu and Gwangyang Industrial Complexes. Atmosphere 2025, 16, 241. https://doi.org/10.3390/atmos16030241
Jang H, Park S-Y, Kim Y-H, Lee C-M. Spatiotemporal Distribution Characteristics of PM2.5 Components in the Yeosu and Gwangyang Industrial Complexes. Atmosphere. 2025; 16(3):241. https://doi.org/10.3390/atmos16030241
Chicago/Turabian StyleJang, Hyeok, Shin-Young Park, Young-Hyun Kim, and Cheol-Min Lee. 2025. "Spatiotemporal Distribution Characteristics of PM2.5 Components in the Yeosu and Gwangyang Industrial Complexes" Atmosphere 16, no. 3: 241. https://doi.org/10.3390/atmos16030241
APA StyleJang, H., Park, S.-Y., Kim, Y.-H., & Lee, C.-M. (2025). Spatiotemporal Distribution Characteristics of PM2.5 Components in the Yeosu and Gwangyang Industrial Complexes. Atmosphere, 16(3), 241. https://doi.org/10.3390/atmos16030241

