Abstract
LiDAR, as a novel detection system, has found extensive applications across diverse industries. However, when lasers propagate through the atmosphere, the energy undergoes significant attenuation due to various environmental factors, thereby impeding the performance of LiDAR systems. This paper focuses on analyzing the distribution patterns of fog particles, haze particles, and typical aerosol particles within the atmospheric environment. By integrating Mie scattering theory, it delves into the absorption and scattering behaviors exhibited by different atmospheric constituents. Employing numerical simulation techniques, the attenuation characteristics of the 1064 nm working-wavelength laser under the influence of diverse particles are simulated and scrutinized. In conjunction with the LiDAR transmission equation, the attenuation law governing the transmission energy of the laser under varying atmospheric conditions is also analyzed. The results reveal that atmospheric pollutant particles such as fog particles, haze particles, dust particles, and bituminous coal particles all contribute to energy attenuation during laser transmission. Notably, bituminous coal particles induce the most severe attenuation.
1. Introduction
In the current era of rapid technological advancement, laser technology, as a revolutionary and cutting-edge science and technology, has been widely applied in numerous fields since its inception [1,2]. Thanks to its unique characteristics such as high energy density, high precision, good directivity, strong monochromaticity, and excellent coherence, the laser has played an irreplaceable role in both civilian and military fields, profoundly transforming human production and lifestyles [3,4,5,6].
Among the numerous application branches of laser technology, LiDAR technology stands out particularly and has become a hot research and application area in recent years [7]. LiDAR, as an advanced active optical remote sensing and detection technology, can emit laser beams and measure the characteristics of the reflected light from targets, enabling it to acquire information such as the distance, speed, and angle of target objects with extremely high precision, and thus construct a three-dimensional spatial image of the target objects and their surrounding environment [8,9]. This unique sensing ability endows it with tremendous application potential and value in fields such as autonomous vehicles, intelligent robots, unmanned aerial vehicle mapping, atmospheric environment monitoring, space communication, and military reconnaissance, leading relevant fields to develop in a more precise, efficient, and safe direction and opening a new chapter in human perception of the world [10,11,12,13,14].
However, during the transmission process, the laser is affected by different atmospheric environments. The influence of molecules and atmospheric aerosol particles in the atmospheric environment causes scattering and absorption of the laser, resulting in the attenuation of laser energy and consequently affecting the detection performance of LiDAR [15,16,17,18,19]. Nevertheless, the performance of LiDAR depends mostly on the transmission characteristics of laser beams in the atmosphere, while the atmospheric environment is a complex and changeable medium, encompassing changes in various gas molecules, aerosol particles, and cloud droplets, as well as temperature, humidity, and air pressure [20,21,22,23]. Different atmospheric environmental conditions can have a significant impact on the laser beams emitted by LiDAR, further altering the echo energy and signal quality received by LiDAR and restricting the working performance of the system [24,25,26,27].
In recent years, a considerable number of scholars have delved into the transmission characteristics of lasers through the atmosphere. However, their research perspectives and focal points exhibit significant diversity. Moreover, the research on the transmission influence under different atmospheric components and weather conditions is regionally localized [28,29]. For example, some scholars have studied the influence of atmospheric components and aerosols on laser transmission in Guangzhou, Nanjing, and the Yangtze River Delta regions [30,31,32]. Other scholars have adopted the method of actual measurement experiments to study the transmission characteristics of the laser under different atmospheric conditions [33,34,35,36]. However, due to environmental deterioration caused by various human activities and war behaviors, the relevant atmospheric environments in different regions are not the same, and the atmospheric environment state is not static but changes in real time, so the experimental measurement data also have limitations. Therefore, it is necessary to start from the distribution, absorption, and scattering characteristics of special atmospheric component particles that have a significant impact on the atmospheric environment and to analyze and study the influence law of atmospheric component parameters applicable to the entire region on laser transmission energy.
This paper combines theoretical research and numerical analysis methods to reveal the attenuation characteristics of different atmospheric components such as fog, haze, and typical aerosol particles in the atmospheric environment that have a significant impact on laser transmission, to clarify the influence law of atmospheric environment parameters on the transmission energy of a 1064 nm laser, to provide a solid theoretical basis and practical guidance for the effective application of LiDAR technology in complex atmospheric environments, and to promote the development of LiDAR technology in a more precise, efficient, and widely applied direction.
2. Physical Characteristics of Particles in Different Environments
2.1. Basic Characteristics of Droplets
Fog is an aerosol system formed by the long-term settlement of water droplets and ice crystal particles suspended near the ground. Aerosol droplets suspended in the atmosphere can greatly reduce the horizontal visibility of the atmosphere.
The development trend and stability of the fog environment determines the size of the droplet particles, usually between 1 μm and 100 μm, and the average diameter is about 10 μm to 15 μm. Under normal circumstances, for the fog environment in the early stage of formation, the size distribution of fog droplets is relatively uniform. For a fog environment that is about to dissipate, the scale gap between the droplet particles will become larger, and the spectral distribution will become wider.
The distribution function of droplet particles conforms to the Gamma distribution, as shown in the following equation.
where r is the radius of the droplet particle, and a and b are the parameters to determine the shape of the droplet. In most cases, take α = 2 and β = 1.
where V is visibility and W is water content.
2.2. Basic Characteristics of Haze Drop Particles
Unlike fog, haze is defined in meteorology as a weather phenomenon in which the atmospheric horizontal visibility is reduced to less than 10 km by a large number of small particles suspended in the atmosphere when the relative humidity of the atmosphere is less than 80%. It is mainly composed of atmospheric pollutants such as SO+ and NO+, and extremely fine particles such as PM2.5 particles and PM10 particles. Among them, PM2.5 and PM10 particles are the most important.
PM2.5 particles refer to fine particles with a particle diameter of d ≤ 2.5 μm, which are often divided into two types: natural sources and man-made sources. Natural sources mainly include ground dust, plant pollen, etc., while man-made sources generally include exhaust gas released to the atmosphere in the process of industrial production such as heat, minerals, and petroleum, as well as automobile exhaust.
PM10 refers to inhaling particles with a particle diameter d ≤ 10 μm. PM10 particles suspended in the air are part of the direct emissions of factories, comprising the other part of the atmosphere such as SO+, NO+, and other organic matter reaction syntheses of fine particles; their specific composition varies with time, place, and climate.
Haze particles have a variety of spectral distribution functions, which are often expressed by empirical equations with certain distribution characteristics. The commonly used particle spectral distributions are the power exponential distribution, Junge distribution, Γ distribution, and lognormal distribution.
- Power exponential distribution
The power exponential distribution is shown as follows:
where n(r) represents the particle population density distribution, and r is the particle radius. The haze particles with a particle radius of 0.01 μm to 1 μm basically conform to the power exponential distribution of aerosol particles in the stratosphere. When the particle radius r is 0.1 μm–1 μm, the parameter α = 3; when the particle radius r is 0.01 μm–0.1 μm, the parameter α = 4.
- 2.
- Junge distribution
The Junge distribution is shown as follows:
where N is the total number of particles and C is the constant corresponding to different particle concentrations. This distribution is generally expressed in logarithmic form:
When , the distribution is consistent with the haze particle distribution; when , the distribution is consistent with the distribution of fog particles.
- 3.
- Γ distribution
The Γ distribution is shown as follows:
where N is the total number of particles in the unit space, r is the particle radius, and the corresponding parameter values of a, b, α, and β need to be determined according to different particle types. If the particle mode radius rc is introduced, the above equation can be rewritten as
According to the source of particles, Table 1 gives the relevant parameters corresponding to continental particles, marine particles, and stratospheric particles in this distribution.
Table 1.
Γ distribution parameters of typical particles.
- 4.
- Lognormal distribution
Haze particles usually have a random distribution in the atmosphere and vary greatly with time, place, and cause of formation. At present, the commonly used spectral distribution of haze particles is a lognormal distribution, and its function expression is as follows:
where r is the particle radius, rm is the mean particle radius, and σ is the standard deviation.
In this paper, the lognormal distribution is chosen as the distribution characteristic expression of haze droplet particles.
2.3. Characteristics of Typical Aerosol Particles
In addition to fog and haze weather, atmospheric environment pollution caused by typical aerosol particles will also cause the attenuation of laser transmission. Chief among them are particles of sand and bituminous coal. The former is caused by dust and sandstorm weather that carry dust particles attached to the surface into the air, while the latter is caused by the incomplete combustion of coal and factory emissions. In addition, the various acts of war in the battlefield will also cause the pollution of dust particles and bituminous coal particles.
Typical aerosol particles generally possess a radius ranging from 0.001 to 100 μm, with most radii being less than 25 μm. Their distribution pattern bears resemblance to that of haze particles, adhering to the lognormal distribution (as per Equation (10)). The particle radius exhibits an increasing trend with the escalating degree of pollution. However, the predominant particle size remains below 1 μm, with an average radius of 2 μm in the coarse particle mode and 0.13 μm in the fine particle mode. In the case of bituminous coal, the particle radius typically falls within the range of 0.005–0.2 μm, and the average particle radius is 0.05 μm.
Table 2 shows the average concentrations of pollution particles in the atmosphere, depending on the air quality level. The composition of the corresponding pollution particles is different in different weather conditions, mostly haze particles, but in the battlefield environment, it will also cause air pollution due to its unique typical aerosol particles, mostly dust particles and bituminous coal particles generated by battlefield behavior.
Table 2.
Average standard values of air quality levels corresponding to pollution particle concentrations.
3. Theory and Method
3.1. Mie Scattering Theory
Mie scattering applies to spherical particles such as raindrops, fog droplets, and haze. Its size is roughly inversely proportional to the first power of the wavelength of the scattered light, and is also related to the distribution of particle size, height, distance, and some natural factors. Its scattering coefficient is
where N(r) is the number of particles in the unit volume, r is the particle radius, and Qs is the scattering efficiency, defined as the ratio of the energy scattered by the particle to the energy on the geometric cross-section of the incident particle, which is a function of the relative scale X of the particle and the complex refractive index, .
When the particle has a continuous distribution between the radii r1 and r2, the meter scattering coefficient is obtained by the following integral:
where n(r) is the number of particles with a radius distributed in [r, r + dr] in unit volume.
According to Mie scattering theory, the transmission attenuation characteristics of the laser in a haze environment are discussed mainly around the following parameters.
Extinction factor Qext:
This is the sum of the scattering factor and absorption factor, which indicates the degree to which the particle reduces the energy of the incident light, including the attenuation effect of scattering and absorption on the light intensity.
Scattering factor Qsca:
This represents the ability of particles to scatter energy, defined as the ratio of scattering power to incident light intensity. The value of the scattering factor is related to factors such as particle size, refractive index, and incident light wavelength, which reflects the strength of the scattering ability of particles to incident light.
Absorption factor Qabs:
This is employed to gauge the capacity of a particle to assimilate energy, which is correlated with the material characteristics and dimensions of the particle. Generally, a larger absorption factor indicates a more pronounced absorption effect of the particle on light.
Asymmetry factor g:
The asymmetry factor reflects the asymmetric distribution of the scattered light intensity in the forward and backward direction.
Single albedo w:
The single albedo represents the relative magnitude of a particle’s scattering power and extinction power. A value of 1 means that all particle extinction is caused by scattering, that is, particles have no absorption effect on light. When the single albedo is 0, it means that all extinction is caused by absorption, that is, the particles do not scatter the light.
Scattering phase function P(θ):
The scattering phase function gives the relative probability or intensity distribution of light scattering in all directions during a particular scattering event. For isotropic scattering, the scattering phase function is a constant. For non-isotropic scattering, such as Mie scattering, the scattering phase function is related to particle size, shape, refractive index, and wavelength of incident light. When the radius of the particle is close to the wavelength, the distribution of the scattering phase function at different angles will show complex changes, and the forward scattering is usually stronger than the backscattering.
In the above equation, an and bn are Mie scattering coefficients, (·)* are conjugate complex numbers, S1 and S2 are scattered light amplitude functions, and σ are particle spectral distribution parameters.
where m is a negative refractive index, is a Bessel function of half-integer order, and is a Hankel function of the first kind.
where is the first kind of Bessel function of half-integer order, and is the second kind of Hankel function.
The initial values of and are
3.2. Monte Carlo Particle Multiple Scattering Simulation Method
When the laser transmission medium is relatively dense, the particles inside the medium will be irradiated not only by the incident light, but also by the scattered light emitted by the particles near the light source. At this time, the scattered radiation in the entire environment not only contains the first scattering of the incident light but also contains the secondary scattering and third scattering caused by other particles, which is called the multiple scattering of light. In this paper, the Monte Carlo method is used to analyze the problem. Monte Carlo multiple scattering simulation regards the scattering problem as the problem of constant collision between photons and different particles in the medium, and regards each collision as an elastic scattering process, and each scattering is only related to the previous scattering process. This method can effectively avoid solving the complicated transmission equation in the process of multiple scattering.
Suppose that after n collisions, the zn axis of the spatial coordinates of a photon exceeds the thickness h of the medium, which implies that the photon has successfully escaped (been emitted) from the medium. In the case where the weight value ω of the photon is less than the critical survival value ωc (ωc = 10−7), this signifies that the photon has been absorbed during the collision process, and consequently, the tracking and recording of the photon are terminated. If, throughout the entire process of beam propagation, the photon neither manages to escape from the medium nor becomes absorbed by particles during collisions, then the position and direction of the photon’s movement within the medium space will be recalculated until the photon either escapes or is absorbed. Figure 1 shows the flow chart of the Monte Carlo method to calculate the multiple scattering process of photons in the medium.
Figure 1.
Flow chart of photon multiple scattering calculated by Monte Carlo method.
In Figure 2, the laser is directed along the z axis into the medium of thickness h; S1, S2... Sn are the scattering points where the photon is scattered many times in the medium. According to the space position O = (x, y, z), motion direction J = (cx, cy, cz), and weight value ω, the motion state of the photon in the medium space is described, where cx, cy, and cz are the cosine of the angle between the photon direction J and the x, y and z axes, respectively.
Figure 2.
Schematic diagram of photon multiple collision scattering.
To describe the motion of photons in the medium, the scattering angle can be obtained by sampling the scattering phase function. The space position of the photon after the nth collision is On(xn, yn, zn), and then its space position after the (n + 1)th collision is On+1(xn+1, yn+1, zn+1):
L is the free transmission distance of the photon in the medium.
where ε is a random number evenly distributed over (0, 1), and Qext is the extinction factor.
The motion direction of the photon’s (n + 1)th collision is denoted as Jn+1 = (cx(n+1), cy(n+1), cz(n+1)), while the nth collision is represented by Jn = (cx(n), cy(n), cz(n)). The relationship between these two motion directions, Jn+1 and Jn, can be described as follows:
where θ is the scattering angle and ϕ = 2πε is the azimuth.
When the motion direction of the photon is close to the z-axis, |cz(n)| ≈ 1, the (n + 1)th collision direction of the photon is
And the energy of the photon will gradually decay after each collision, that is, the weight after each collision will gradually decrease. The weight change of the photon after each collision is given by the following equation:
The initial weight of the photon is ω0 = 1. The probability of the nth photon being transmitted out of the medium is
where M is the total number of collisions between the nth photon and particles in the medium during transmission. The average value of photon transmittance obtained by tracking N photons is the laser transmittance T of the whole medium.
The multiple scattering attenuation coefficient of the laser can be obtained as follows:
4. Results and Discussion
Aiming at the attenuation problem of all kinds of particles, the attenuation parameters in the environment are simulated and analyzed, and the relationship between the attenuation coefficients of each laser is obtained. Combined with the spectral distribution function of the particles, the Monte Carlo method was used to simulate the relationship between the particle concentration and the atmospheric transmittance of the laser at the operating wavelength of 1064 nm.
4.1. Attenuation Characteristics of Fog Droplet Particles
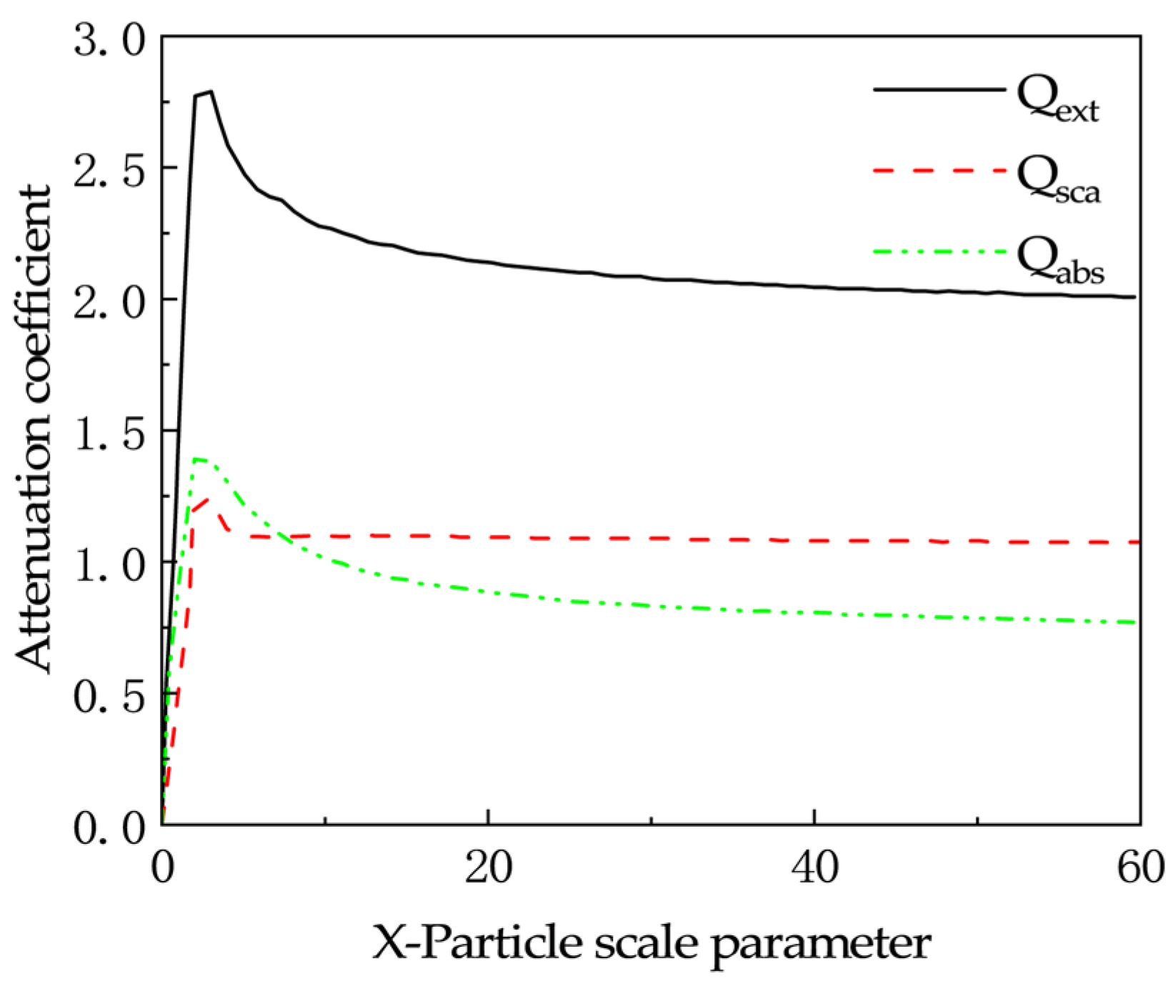
Figure 3 shows the relationship between the particle attenuation coefficient and scale parameters. In most foggy environments, the particle size of fog droplets ranges from 1 to 10 μm. At a wavelength of 1064 nm, the corresponding complex refractive index is m1064 = 1.326 + 2.09 × 10−6i. In Figure 3, the blue dotted line is the Qext extinction factor, representing the overall consumption of the particle on the laser. The red solid line is the Qsca scattering factor, which represents the scattering consumption effect of particles on the laser. The green double dotted line is the Qabs absorption factor, which represents the absorption and consumption of the particle on the laser. The scattering plus absorption of a particle is equal to its overall consumption. Owing to the minute imaginary part of the complex refractive index of the droplet particles, there exists an order-of-magnitude disparity between the absorption and scattering effects of the particles on the laser. This leads to the absorption coefficient being infinitesimally close to zero, such that the extinction coefficient curve essentially coincides with the scattering coefficient curve, and both approach a value of 2 in an “oscillatory” manner overall. This phenomenon indicates that the attenuation of the 1064 nm wavelength laser by the droplet particles is predominantly governed by the scattering effect.
Figure 3.
Variation curve of particle attenuation coefficient with scale parameters.
Figure 4 shows the variation in the droplet particle asymmetry factor with the particle scale parameter in the range of particle scale parameters X ∈ [0, 60] for simulation analysis under the condition of a system operating wavelength of 1064 nm, corresponding to particle radius r ∈ [0, 10.16] (μm), and the particle scale parameter is positively correlated with particle radius. With the increase in particle size, the asymmetry factor of 1064 nm wavelength gradually approaches 0.8. The result of this parameter is positive, indicating that when the laser is transmitted in the environment of fog droplets, the forward scattering is greater than the backscattering, that is, the laser energy along the transmission direction is greater than the energy against the transmission direction after being reflected.
Figure 4.
Curve of asymmetry factor variation with particle scale parameters.
When the absorption effect of the particle on the laser cannot be ignored, the scattering coefficient of the particle is no longer about equal to the extinction coefficient. Here, the single albedo w is introduced to explain the proportion of scattering of particles in the total extinction. Combined with Equation (17), the following figure shows the variation in single albedo of the dual-wavelength laser with particle scale parameters. As shown in Figure 5, the single albedo of the 1064 nm laser is basically 1, indicating that the absorption of particles with shorter wavelength is very weak.
Figure 5.
Single albedo variation with particle scale parameters.
Figure 6 shows the scattering phase function curves of particles with different particle sizes. For particles of the same size, the intensity of forward scattering is greater than that of backscattering. This shows that the forward scattering of fog droplets is more dominant than the backscattering when the particles scatter the laser. When the laser wavelength is 1064 nm, the forward scattering of droplet particles is more dominant than the backscattering. The forward scattering corresponding to the particle radius r = 5 μm is about three orders of magnitude stronger than the backscattering, and presents a sharp and oscillating decline trend, and the value is the smallest at θ = 142°, and then exhibits an upward trend. When the particle radius r = 1 μm, the forward scattering is about two orders of magnitude stronger than the backscattering, and the value is the smallest at θ = 110°, and then it shows an upward trend. When r = 0.1 μm, the backscatter intensity is basically the same. It can be seen that the scattering characteristics of large particles vary greatly in all directions, while the anisotropic scattering characteristics of small particles are more average.
Figure 6.
Scattering phase function curves of particles with different particle sizes.
Figure 7 shows the relationship of laser atmospheric transmittance with the change in fog droplet particle concentration. It is evident that as the particle concentration increases, environmental pollution worsens, and the laser atmospheric transmittance presents an approximate linear downward trend. The decreased transmittance will lead to an increased attenuation of laser energy during transmission, thus reducing the operating distance of the detection system.
Figure 7.
Variation in transmittance with droplet particle concentration.
4.2. Attenuation Characteristics of Haze Drop Particles
When the incident laser wavelength is 1064 nm, the complex refractive index of most atmospheric particles suspended in the urban environment is between 1.55 + 0.4i and 2.0 + 0.5i. In this paper, the complex refractive index of PM2.5 particles and PM10 particles is 1.85 + 0.45i.
Figure 8 presents the attenuation coefficient curve of haze particles, with a primary focus on PM2.5 and PM10. It should be noted that each attenuation coefficient is predominantly influenced by the complex refractive index of the particles. In this study, the complex refractive index selected for PM2.5 particles is identical to that of PM10 particles. Consequently, the scattering characteristics exhibited by these two types of particles are essentially similar. Nevertheless, owing to the substantial imaginary part of the complex refractive index associated with haze particles, when the scale parameter is relatively small, the absorption effect of small haze particles outweighs their scattering effect. As the particle scale parameter ascends to 8, the absorption and scattering effects attain a state of equilibrium. With further increments in the particle scale parameters, the absorption exhibits a downward trend, and the scattering effect of haze particles becomes more prominent than the absorption effect.
Figure 8.
Attenuation coefficient curves of haze particles.
In Figure 9, figure (a) illustrates the variation curve of the single albedo of haze particles with respect to particle scale parameters. As the particle scale parameter increases, the single albedo of the particle asymptotically approaches 0.575. This implies that when the particle scale parameter becomes large, the scattering effect of the particle constitutes approximately 57.5% of the total extinction effect. In figure (b), the graph depicts the variation curve of the asymmetry factor in relation to the particle scale parameter. When the scale parameter is relatively small, the asymmetry factor of the particle is also small. With the continuous increase in the particle scale parameter, the asymmetry factor curve reaches an inflection point at the scale parameter X = 5 and subsequently stabilizes, steadily approaching 0.9. It can thus be inferred that the forward scattering of particles accounts for around 90% of the overall scattering.
Figure 9.
The variation curves of the single albedo and asymmetry factor of haze particles with the particle size parameter. (a) Single albedo; (b) asymmetry factor.
As shown in Figure 10, compared with PM2.5 particles, the difference between the forward and backward scattering of PM10 particles is small. Before θ = 90°, the backward scattering of PM2.5 particles decreases violently, and then shows an upward trend after reaching the lowest value at θ = 140°. The forward scattering of PM2.5 particles is about three orders of magnitude stronger than the backward scattering. The forward scattering of PM10 particles is about five orders of magnitude stronger than the backscattering, and the jitter drops equally sharply before θ = 90°, and then plateaus off at 90° to 180°, and the PM10 particles reach their lowest value at θ = 165°.
Figure 10.
Scattering phase function curve of PM2.5 particles and PM10 particles.
Figure 11 shows the relationship between the laser atmospheric transmittance and the concentration of PM2.5 and PM10 particles. It can be seen that with the increase in particle concentration, the attenuation characteristics of the laser atmospheric transmittance are similar to that of the droplet particles, and the attenuation of the laser transmission energy increases in a linear trend. Compared with the two types of particles, PM2.5 particles have a greater degree of attenuation of laser energy.
Figure 11.
Curve of transmittance with particle concentration.
4.3. Attenuation Characteristics of Typical Aerosol Particles
In the external atmospheric environment, the particle size of dust particles is mainly 10−2 μm–1 μm, while the particle size of bituminous coal particles is mainly 10−3 μm–10−1 μm. The complex refractive index of dust particles is 1.54–0.008i, and that of bituminous coal particles is 1.75–0.44i.
As shown in Figure 12, for dust particles, the extinction coefficient and scattering coefficient reach the first extreme value when X = 4, and with the continuous increase in scale parameters, the extinction coefficient tends to 2 in the form of oscillation. For bituminous coal particles, due to the large imaginary part of the complex refractive index, the absorption coefficient is once larger than the scattering coefficient when the scale parameter is small. Unlike dust particles, the extinction coefficient curve of bituminous coal particles tends to 2 in a monotone decreasing form after reaching the first extreme value. The scattering effect of dust particles is greater than the absorption effect, while the absorption effect of bituminous coal particles is not much different from the scattering effect.
Figure 12.
Attenuation coefficient curves of dust particles and bituminous coal particles: (a) dust particle; (b) bituminous coal particle.
As shown in Figure 13, for dust particles, the asymmetry factor curve fluctuates upward when the particle scale parameter is small (0–15), and eventually approaches 0.9 with the increase in the scale parameter. Unlike dust particles, the asymmetry factor of bituminous coal particles corresponding to 1064 nm increases linearly to 0.9. The forward scattering effect of particles is stronger than the backscattering effect, and the laser energy attenuated by the reflection of particles is less.
Figure 13.
Asymmetry factor curve of dust particles and bituminous coal particles. (a) Dust particle; (b) bituminous coal particle.
Figure 14 shows the curve of the single albedo particle changing with scale parameters. Among them, the single albedo curves of dust particles and bituminous coal particles both show an inflection point when X = 3. When the particle size is small, the scattering effect of the dust particles is the main extinction effect, and the value decreases with the increase in the particle size and finally approaches 0.6. By contrast, because the imaginary part of the refractive index of bituminous coal particles is large, its absorption is relatively stable, so the single albedo curve rises gently after reaching the inflection point and ultimately converges to approximately 0.6. The results of the two types of particles show that the absorption of dust particles increases with the increase in particle size, while the extinction of bituminous coal particles is always determined by both absorption and scattering.
Figure 14.
Single albedo curve of dust particles and bituminous coal particles.
Figure 15 presents the scattering phase function curves of dust particles and bituminous coal particles under the condition of an incident light wavelength of 1064 nm. It is evident that the forward scattering of both types of particles is more pronounced than the backscattering, with a disparity of four orders of magnitude between them. For the scattering phase function curve of dust particles, it exhibits an oscillatory downward trend followed by an oscillatory upward trend when the scattering angle θ reaches 149°. In the case of bituminous coal particles, the scattering phase function initially experiences a sharp decline and then levels off.
Figure 15.
Scattering image function curves of dust particles and bituminous coal particles.
According to the results in Figure 16, the decreasing trend of the transmittance of sand particles is approximately linear. In the bituminous coal environment, when the particle concentration increases, the transmittances will decrease sharply. When the concentration of dust particles reaches 300 μg/m3, the transmittance of the 1064 nm laser is 0.693. When the concentration of bituminous coal particles reaches 50 μg/m3, the transmittance is 0.0181, and when the concentration continues to increase, the transmittance approaches 0. The results show that the attenuation degree of bituminous coal particles to the laser transmittance is much higher than that of sand particles.
Figure 16.
Curve of transmittance with particle concentration. (a) Dust particle; (b) bituminous coal particle.
In Figure 17, the curves of the attenuation coefficient of different particles varying with the particle scale parameters are put together for comparison. It can be observed that within the range of relatively small particle scales, the attenuation coefficient of all particles shows an increasing trend and reaches their maximum values when the scale parameter X ≈ 5. Subsequently, the attenuation coefficients of fog particles and dust particles exhibit an oscillating decreasing trend, while those of haze particles (PM2.5, PM10) and bituminous coal particles show a smooth decreasing trend. As the particle size increases, the attenuation coefficients of all particles approach the range of 2 to 2.5. When the size parameter is very small (X < 4), the attenuation coefficient of bituminous coal particles is the largest; when 4 < X < 10, the attenuation coefficients of fog particles and dust particles are relatively large; when the size parameter becomes larger and the change in the attenuation coefficient tends to stabilize, the attenuation coefficient of bituminous coal particles is the largest.
Figure 17.
Variation curves of extinction factors of different particles with particle scale parameters.
4.4. Attenuation Characteristics of Visible Light
In this paper, a brief analysis is conducted on the attenuation characteristics of 532 nm visible light, and a comparison is made with the transmission attenuation characteristics of the 1064 nm laser.
Figure 18 presents the attenuation coefficients of the 532 nm laser across diverse environmental conditions. It can be observed that as the particle scale parameters vary, the attenuation coefficient of the 532 nm laser exhibits a high degree of similarity to that of the 1064 nm laser, with only minor discrepancies in value. This similarity stems from the fact that the absorption and scattering behaviors of particles are intrinsically linked to their complex refractive indices at different wavelengths. Notably, the complex refractive index of the 532 nm laser does not deviate substantially from that corresponding to the 1064 nm laser. Consequently, the attenuation characteristics of the 532 nm laser closely resemble those of the 1064 nm laser.
Figure 18.
Attenuation coefficients of 532 nm laser under different particle conditions.
Figure 19 shows the atmospheric transmittance of the 532 nm laser in different particle environments. Compared with the 1064 nm laser, the atmospheric transmittance of the 532 nm laser also decreases with the increase in particle concentration under different particle conditions. Similarly, bituminous coal particles have the strongest attenuation degree to the 532 nm laser. When the particle concentration reaches 25 μg/m3, the atmospheric transmittance is only 0.0113.
Figure 19.
Atmospheric transmittance of 532 nm laser in different particle environments.
4.5. Influence Curve of Different Air Pollution Particles on Laser Transmission Energy
According to the atmospheric transmittance of different particle concentrations and the LiDAR equation, the influence curves of different atmospheric parameters on laser transmission energy are obtained. The LiDAR equation is as follows:
where the emitted energy ET = 500 μJ, T is the atmospheric attenuation coefficient, and ρ = 0.3 is the reflectance of the target. AT = 3 × 8 m2 is the target area; AR = π × 0.0252 m2 is the effective area of the receiving optical system; and ηT = 0.98 is the transmittance of the transmitting optical system. ηr = 0.98 is the transmittance of the receiving optical system. ηx = 0.45 is the transmittance of the optical phased array. θ = 0° is the angle between the main optical axis of the laser radar transmitting optical system and the normal direction of the target. α = 0.6° is the laser divergence angle and R = 3000 m indicates the detection distance.
The relationship curves between various atmospheric environments and laser transmission energy at a transmission distance of 3 km at a 1064 nm wavelength are shown in Figure 20, and the trend of the curves is consistent with the atmospheric transmittance.
Figure 20.
Relation curve between concentration of different environmental pollution particles and laser transmission energy.
Figure 20 shows the relationship between different atmospheric composition parameters and the energy received by the system. It can be seen that the attenuation degree of typical aerosol particles on laser transmission energy is greater than that of fog and haze particles, among which the attenuation degree of bituminous coal particles is the most severe. When the particle concentration exceeds 50 μg/m3, the received energy of the system has approached 0.
5. Conclusions
In this paper, the attenuation characteristics of laser transmission in an atmospheric environment under different atmospheric composition conditions are studied. A detailed analysis is performed on the distribution and scattering characteristics of fog particles, haze particles, and typical aerosol particles. By employing Mie scattering theory, the laser attenuation characteristics associated with various particles are simulated. The results show that the attenuation coefficient of the particles is asymptotically 2 with the increase in the scale parameters, signifying that the total energy attenuation inflicted by the particles on the laser is approximately twice that of the energy attenuation of the geometric section. In the overall scattering, the forward scattering plays a dominant role compared with the backscattering. The Monte Carlo method is used to simulate the effect of particle concentration on laser atmospheric transmittance. The atmospheric transmittance decreases with the increase in particle concentration, and above all, bituminous coal particles induce the most severe attenuation. When the concentration of bituminous coal particles is greater than 50 μg/m3, the transmittance of the 1064 nm laser is 0.0181, and when the concentration of bituminous coal particles continues to increase, the transmittance is close to 0. The transmission attenuation characteristics of the 532 nm laser under different particle conditions are basically like those of the 1064 nm laser, but the values of each characteristic parameter are slightly different. It can be seen from the atmospheric transmittance that the transmittance of the 532 nm laser is lower than that of the 1064 nm laser under the same particle concentration with different environmental conditions. This shows that in the visible and near-infrared bands, the penetration of the laser with longer wavelengths is stronger in the harsh environment.
In summary, the attenuation of various types of particles on laser transmission is affected by absorption and scattering. During the laser propagation process, it is evident that the forward scattering effect is more pronounced than the backscattering effect. Consequently, in the detection procedures, comprehensive consideration must be given to the attenuation characteristics of particles with respect to laser transmission. When processing and analyzing the detection data, the backscattering effect should be taken into account, especially the influence of the first photon trigger device such as the single photon detector. Appropriate algorithms and models should be adopted to correct the false trigger caused by backscattering. According to the attenuation characteristics of atmospheric particles studied in this paper, the received laser signal can be reversed and corrected by combining the relevant detection theory and signal processing method, to obtain the target information more accurately.
This paper predominantly centers around theoretical investigations. Through meticulous theoretical analysis and simulation, it lays a solid theoretical foundation for the research team’s construction of a long-range detection system based on 1064 nm LiDAR. In the forthcoming stages, the research group intends to utilize the constructed LiDAR detection system to conduct field experiments and gather actual atmospheric data, aiming to dissect the characteristics of laser atmospheric attenuation. Additionally, exploring the influence of non-spherical particles on laser transmission within the atmosphere constitutes one of the key aspects of the subsequent work. Given that Mie scattering theory is not applicable to spheroidal particles, it becomes imperative to formulate a novel attenuation model tailored to these particular particles.
Author Contributions
Conceptualization, X.Y., X.L. and C.W.; methodology, X.Y. and X.L.; software, X.Y.; validation, X.Y. and X.L.; formal analysis, X.Y.; data curation, X.Y.; writing—original draft preparation, X.Y.; writing—review and editing, X.L. and C.W.; supervision, C.W. All authors have read and agreed to the published version of the manuscript.
Funding
This research received no external funding.
Institutional Review Board Statement
Not applicable.
Informed Consent Statement
Not applicable.
Data Availability Statement
Due to privacy restrictions, the data is not yet public.
Conflicts of Interest
The authors declare no conflicts of interest.
References
- Xu, Q.; Cao, Y.; Zhang, Y.; Yan, S.; Han, Y.; Wu, Z. The Multiple Scattering of Laser Beam Propagation in Advection Fog and Radiation Fog. Int. J. Opt. 2023, 2023, 9715482. [Google Scholar] [CrossRef]
- Gordon, H.R. Interpretation of airborne oceanic lidar: Effects of multiple scattering. Appl. Opt. 1982, 21, 2996–3001. [Google Scholar] [CrossRef]
- Shcherbakov, V.; Szczap, F.; Alkasem, A.; Mioche, G.; Cornet, C. Empirical model of multiple-scattering effect on single-wavelength lidar data of aerosols and clouds. Atmos. Meas. Tech. 2022, 15, 1729–1754. [Google Scholar] [CrossRef]
- Shcherbakov, V.; Szczap, F.; Mioche, G.; Cornet, C. Multiple-scattering effects on single-wavelength lidar sounding of multi-layered clouds. Atmos. Meas. Tech. 2024, 17, 3011–3028. [Google Scholar] [CrossRef]
- Fahey, T.; Islam, M.; Gardi, A.; Sabatini, R. Laser Beam Atmospheric Propagation Modelling for Aerospace LIDAR Applications. Atmosphere 2021, 12, 918. [Google Scholar] [CrossRef]
- Kaloshin, G.A. Modeling the Aerosol Extinction in Marine and Coastal Areas. IEEE Geosci. Remote Sens. Lett. 2020, 18, 376–380. [Google Scholar] [CrossRef]
- Shaik, K. Atmospheric propagation effects relevant to optical communications. TDA Prog. Rep. 1988, 42, 180–200. [Google Scholar]
- Lu, Y.; Mao, J.; Zhang, Y.; Zhao, H.; Zhou, C.; Gong, X.; Wang, Q.; Zhang, Y. Simulation and Analysis of Mie-Scattering Lidar-Measuring Atmospheric Turbulence Profile. Sensors 2022, 22, 2333. [Google Scholar] [CrossRef]
- Xue, J.; Cao, Y.; Wu, Z.; Chen, J.; Li, Y.; Zhang, G.; Yang, K.; Gao, R. Multiple scattering and modeling of laser in fog. Chin. Phys. B 2021, 30, 336–344. [Google Scholar] [CrossRef]
- Awan, M.S.; Horwath, L.C.; Muhammad, S.S.; Leitgeb, E.; Nadeem, F.; Khan, M.S. Characterization of fog and snow attenuations for free-space optical propagation. J. Commun. 2009, 4, 533–545. [Google Scholar] [CrossRef]
- Grabner, M.; Kvicera, V. The wavelength dependent model of extinction in fog and haze for free space optical communication. Opt. Express 2011, 19, 3379. [Google Scholar] [CrossRef] [PubMed]
- Bohren, C.F.; Huffman, D.R. Absorption and Scattering of Light by Small Particles; John Wiley and Sons: New York, NY, USA, 1983; ISBN 0471293407/9780471293408. [Google Scholar]
- Esmail, M.A.; Fathallah, H.; Alouini, M.S. Analysis of fog effects on terrestrial Free Space optical communication links. In Proceedings of the IEEE International Conference on Communications Workshops, Kuala Lumpur, Malaysia, 23–27 May 2016. [Google Scholar]
- Ma, Y.; Liu, W.; Gao, H.; Chen, N.; Xiong, X. The scattering effects on the visibility measurements of laser transmissometer in rain and fog. Opt. Int. J. Light Electron Opt. 2017, 157, 957–967. [Google Scholar] [CrossRef]
- Vasseur, H.; Gibbins, C.J. Inference of fog characteristics from attenuation measurements at millimeter and optical wavelengths. Radio Sci. 2016, 31, 1089–1097. [Google Scholar] [CrossRef]
- Gong, X.; Zhang, C.; Chen, H.; Nizkorodov, S.A.; Chen, J.; Yang, X. Size distribution and mixing state of black carbon particles during a heavy air pollution episode in Shanghai. Atmos. Chem. Phys. 2016, 16, 5399–5411. [Google Scholar] [CrossRef]
- Feng, G.; Yang, Z.; Sun, W. Equivalent radius of atmosphere aerosol in haze weather based on laser scattering. Appl. Opt. 2024, 63, 1182–1187. [Google Scholar] [CrossRef]
- Wu, Y.; Xia, Y.; Zhou, C.; Tian, P.; Tao, J.; Huang, R.J.; Liu, D.; Wang, X.; Xia, X.; Han, Z.; et al. Effect of source variation on the size and mixing state of black carbon aerosol in urban Beijing from 2013 to 2019: Implication on light absorption. Environ Pollut. 2021, 270, 116089. [Google Scholar] [CrossRef]
- Martin, R.J. Mie scattering formulae for non-spherical particles. J. Mod. Opt. 1993, 40, 2467–2494. [Google Scholar] [CrossRef]
- Wang, H.; Zhu, Y.; Tian, T.; Li, A. Characteristics of laser transmission in different types of aerosols. Acta Phys. Sin. 2013, 62, 024214. [Google Scholar] [CrossRef]
- Zhang, Y.; Zhang, J.; Wu, S.; Gao, J.; Hao, Z.; Li, C. Study on laser scattering depolarization characteristics of typical aerosol particles. Opt. Commun. 2022, 518, 128183. [Google Scholar] [CrossRef]
- Di, H.; Wang, Z.; Hua, D. Precise size distribution measurement of aerosol particles and fog droplets in the open atmosphere. Opt. Express 2019, 27, A890–A908. [Google Scholar] [CrossRef]
- Zeng, X.; Chu, J.; Cao, W.; Kang, W.; Zhang, R. Visible-IR transmission enhancement through fog using circularly polarized light. Appl. Opt. 2018, 57, 6817–6822. [Google Scholar] [CrossRef] [PubMed]
- Zhang, C.; Zhang, J.; Wu, X.; Huang, M. Numerical analysis of light refection and transmission in poly-disperse sea fog. Opt. Express 2020, 28, 25410–25430. [Google Scholar] [CrossRef] [PubMed]
- Schnaiter, M.; Schmid, O.; Petzold, A.; Fritzsche, L.; Klein, K.F.; Andreae, M.O.; Helas, G.; Thielmann, A.; Gimmler, M.; Möhler, O.; et al. Measurement of Wavelength-Resolved Light Absorption by Aerosols Utilizing a UV-VIS Extinction Cell. Aerosol Sci. Technol. 2005, 39, 249–260. [Google Scholar] [CrossRef]
- Kim, I.I.; McArthur, B.; Korevaar, E. Comparison of laser beam propagation at 785 nm and 1550 nm in fog and haze for optical wireless communications. Proc. SPIE 2001, 4214, 26–37. [Google Scholar]
- Alterary, S.S.; Marei, N.H. Fly ash properties, characterization, and applications: A review. J. King Saud Univ. Sci. 2021, 33, 101536. [Google Scholar] [CrossRef]
- Xiang, S.; Tong, S.; Liu, C.; Zhang, P. Mechanism of Typical Aerosol Particles on Atmospheric Transmission of Laser. J. Chang. Univ. Sci. Technol. (Nat. Sci. Ed.) 2023, 46, 1–10. [Google Scholar]
- Yu, X.; Ma, J.; An, J.; Yuan, L.; Zhu, B.; Liu, D.; Wang, J.; Yang, Y.; Cui, H. Impacts of meteorological condition and aerosol chemical compositions on visibility impairment in Nanjing, China. J. Clean. Prod. 2016, 131, 112–120. [Google Scholar] [CrossRef]
- Chen, W.; Wang, X.; Zhou, S.; Cohen, J.B.; Zhang, J.; Wang, Y.; Chang, M.; Zeng, Y.; Liu, Y.; Ling, Z.; et al. Chemical Composition of PM2.5 and its Impact on Visibility in Guangzhou, Southern China. Aerosol Air Qual. Res. 2016, 16, 2349–2361. [Google Scholar] [CrossRef]
- Li, S.; Li, J.; Zhang, M.; Wang, Z.; Shu, Y.; Liu, J.; Huang, X. Real-time dynamic measurement of scattering characteristics of optically levitated fly ash interacting with water-soluble ammonium sulfate aerosol. Atmos. Environ. 2024, 335, 120727. [Google Scholar] [CrossRef]
- Yang, Y.; Xu, X.; Zhang, Y.; Zheng, S.; Wang, L.; Liu, D.; Gustave, W.; Jiang, L.; Hua, Y.; Du, S.; et al. Seasonal size distribution and mixing state of black carbon aerosols in a polluted urban environment of the Yangtze River Delta region, China. Sci. Total Environ. 2019, 654, 300–310. [Google Scholar] [CrossRef]
- Dong, X.; Hu, Y.; Zhao, N.; Zhao, X.; Xu, S. Characteristics of heterodyne lidar echoes in different polydisperse aerosol environments. Optik 2018, 174, 655–664. [Google Scholar] [CrossRef]
- Dong, X.; Hu, Y.; Xu, S.; Liu, H. Echoing Characteristics of Coherent Lidar in Different Aerosol Environments. Acta Opt. Sin. 2018, 38, 0101001. [Google Scholar] [CrossRef]
- Arfan, M.; Ghaffar, A.; Alkanhal, M.A.; Khan, Y.; Alqahtani, A.H.; Shakir, I. Laguerre–Gaussian beam scattering by a marine aerosol. Opt. Quant. Electron. 2023, 55, 756. [Google Scholar] [CrossRef]
- Zhong, H.; Zhou, J.; Du, Z.; Xie, L. A laboratory experimental study on laser attenuations by dust/sandstorms. J. Aerosol Sci. 2018, 121, 31–37. [Google Scholar] [CrossRef]
Disclaimer/Publisher’s Note: The statements, opinions and data contained in all publications are solely those of the individual author(s) and contributor(s) and not of MDPI and/or the editor(s). MDPI and/or the editor(s) disclaim responsibility for any injury to people or property resulting from any ideas, methods, instructions or products referred to in the content. |
© 2025 by the authors. Licensee MDPI, Basel, Switzerland. This article is an open access article distributed under the terms and conditions of the Creative Commons Attribution (CC BY) license (https://creativecommons.org/licenses/by/4.0/).



















