Accuracy Assessment of Remote Sensing-Derived Evapotranspiration Products Against Eddy Covariance Measurements in Tensift Al-Haouz Semi-Arid Region, Morocco
Abstract
1. Introduction
2. Materials and Methods
2.1. Study Area
2.2. In Situ Data
| Site | Crop Type | Percentage of Valid Daily Data | Period | Coordinates | Closure Ratio (Average over the Period of Measurements) | Paper |
|---|---|---|---|---|---|---|
| AGA | Orange trees | 72.22% | 2006–2010 | 31°29′50″ N, 8°14′38″ W | 80% | [41,42] |
| R3 | Olive trees | 79.86% | 2006–2009 | 31°40′03″ N, 7°35′56″ W | 78% | [43] |
| SRB | Wheat | 68.06% | 2016–2019 | 31°42′03″ N, 7°21′07″ W | 77% | [44] |
| TAO | Olive trees + vegetation | 54.86% | 2016–2019 | 31°21′51″ N, 7°57′30″ W | 78% | [22] |
| TAT | Olive trees + vegetation | 79.17% | 2016–2019 | 31°22′00″ N, 7°57′13″ W | 75% | [22] |
2.3. Satellite ET Products Description
2.3.1. SSEBop
2.3.2. MOD16
2.3.3. WaPOR
2.3.4. ETMonitor
2.3.5. PML v2
| Product | Spatial Coverage | Spatial Resolution | Temporal Coverage | Temporal Resolution | Estimation Approach | Inputs |
|---|---|---|---|---|---|---|
| SSEBop | Global | 1 km | 2003—Now | Decadal | Simplified energy balance to calculate Evaporative fraction | MODIS, GDAS/IWMI |
| Access: https://earlywarning.usgs.gov/fews/product/465 (accessed on 15 February 2023) Reference: [45] | ||||||
| MOD16 | Global | 500 m | 2002—Now | 8 days | PM equation with meteorological data only | MODIS, GMAO |
| Access: https://modis.gsfc.nasa.gov/data/dataprod/mod16.php (accessed on 15 February 2023) Reference: [16] | ||||||
| WaPOR | Africa and Middle east | 30 m/ 100 m/250 m | 2009—Now | Decadal | PM equation with soil moisture estimates from LST | MODIS, GEOS-5/MERRA |
| Access: https://WaPOR.apps.fao.org/home/WAPOR_2/1 (accessed on 20 April 2023) Reference: [52] | ||||||
| PML v2 | Global | 500 m | 2002–2023 | 8 days | PM equation and Leuning equation | MODIS / GLDAS |
| Access: https://developers.google.com/earth-engine/datasets/catalog/CAS_IGSNRR_PML_V2_v018 (accessed on May 2023) Reference: [48] | ||||||
| ETMonitor | Global | 1 km | 2000–2022 | Daily | Shuttleworth–Wallace equation, with soil moisture from passive microwave data | MODIS, FLUXNET15, ERA5 |
| Access: https://data.tpdc.ac.cn/zh-hans/data/c284bd88-7694-4577-9cbb-02684bd940ff (accessed on 25 January 2023) Reference: [47] | ||||||
2.4. Methodology
2.5. Statistical Metrics
3. Results and Discussion
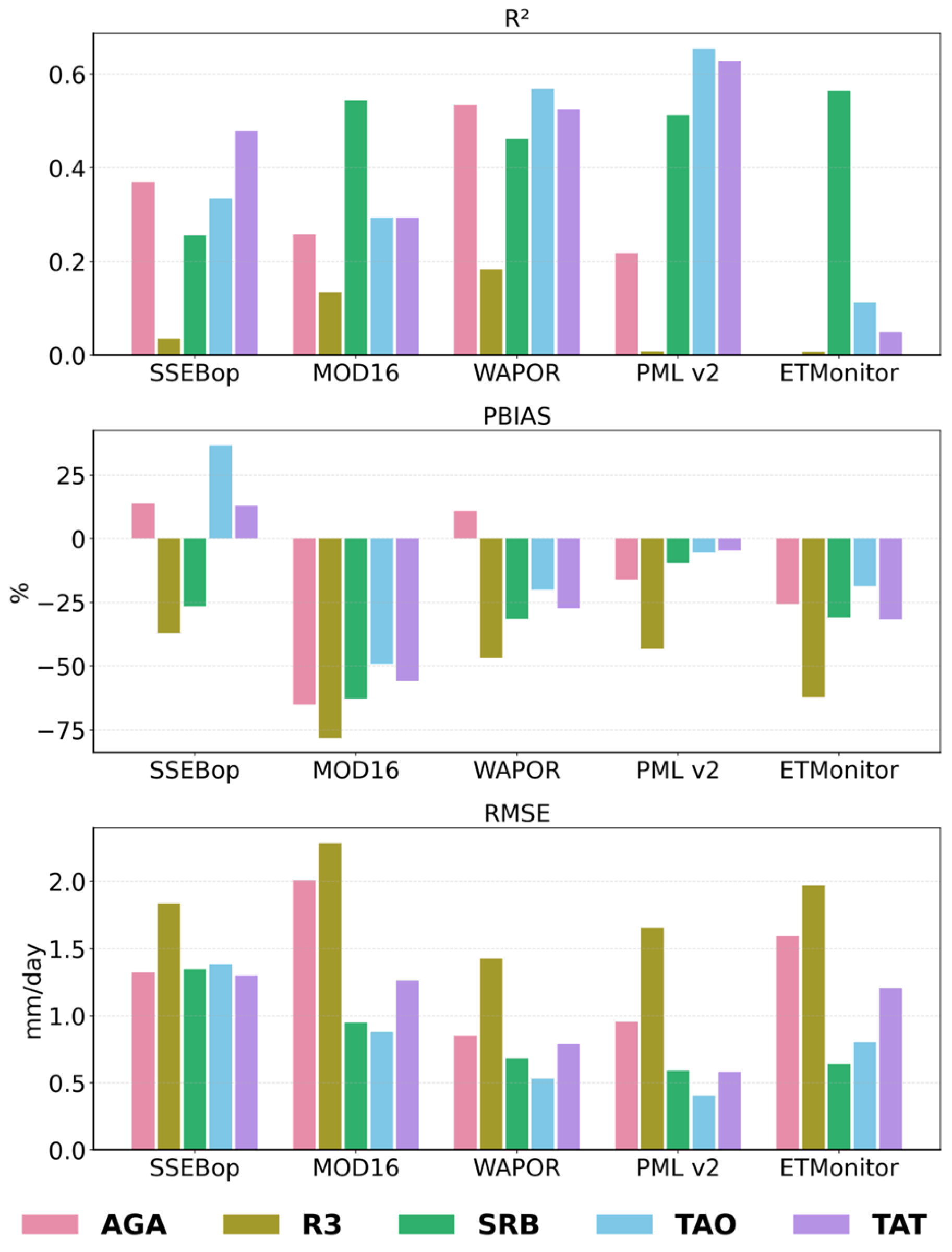
3.1. SSEBop ET Product’s Evaluation
3.2. MOD16 ET Product’s Evaluation
3.3. WaPOR ET Product’s Evaluation
3.4. ETMonitor Product’s Evaluation
3.5. PML v2 Product’s Evaluation
3.6. Common Challenges in Semi-Arid Agricultural Applications
3.7. Spatiotemporal Variation in ET over Tensift–Haouz Plain
4. Conclusions
Author Contributions
Funding
Institutional Review Board Statement
Informed Consent Statement
Data Availability Statement
Acknowledgments
Conflicts of Interest
Abbreviations
| ET | Evapotranspiration |
| SSEBop | The Operational Simplified Surface Energy Balance |
| MOD16 | MODIS-16 |
| PML v2 | Penman–Monteith–Leuning Version 2 |
| LE | Latent heat flux |
| EC | EddyCovariance |
| PBIAS | Percent bias |
| RMSE | Root Mean Square Error |
| LST | Land Surface Temperature |
| NDVI | Normalized Difference Vegetation Index |
Appendix A
Appendix B











References
- Wild, M.; Grieser, J.; Schär, C. Combined surface solar brightening and increasing greenhouse effect support recent intensification of the global land-based hydrological cycle. Geophys. Res. Lett. 2008, 35. [Google Scholar] [CrossRef]
- Miralles, D.G.; van den Berg, M.J.; Gash, J.H.; Parinussa, R.M.; de Jeu, R.A.M.; Beck, H.E.; Holmes, T.R.H.; Jiménez, C.; Verhoest, N.E.C.; Dorigo, W.A.; et al. El Niño–La Niña cycle and recent trends in continental evaporation. Nat. Clim. Change 2014, 4, 122–126. [Google Scholar] [CrossRef]
- Wang, K.; Dickinson, R.E. A review of global terrestrial evapotranspiration: Observation, modeling, climatology, and climatic variability. Rev. Geophys. 2012, 50, 23–26. [Google Scholar] [CrossRef]
- Sörensson, A.A.; Ruscica, R.C. Intercomparison and Uncertainty Assessment of Nine Evapotranspiration Estimates Over South America. Water Resour. Res. 2018, 54, 2891–2908. [Google Scholar] [CrossRef]
- Sheffield, J.; Wood, E.F.; Roderick, M.L. Little change in global drought over the past 60 years. Nature 2012, 491, 435–438. [Google Scholar] [CrossRef]
- Kousari, M.R.; Ahani, H. An investigation on reference crop evapotranspiration trend from 1975 to 2005 in Iran. Int. J. Climatol. 2012, 32, 2387–2402. [Google Scholar] [CrossRef]
- Jian, D.; Li, X.; Sun, H.; Tao, H.; Jiang, T.; Su, B.; Hartmann, H. Estimation of Actual Evapotranspiration by the Complementary Theory-Based Advection–Aridity Model in the Tarim River Basin, China. J. Hydrometeorol. 2018, 19, 289–303. [Google Scholar] [CrossRef]
- Allen, R.G.; Howell, T.; Pruitt, W.O.; Walter, I.A.; Jensen, M.E. Lysimeters for Evapotranspiration and Environmental Measurements; ASCE: Reston, VA, USA, 1991. [Google Scholar]
- Bowen, I.S. The Ratio of Heat Losses by Conduction and by Evaporation from any Water Surface. Phys. Rev. 1926, 27, 779–787. [Google Scholar] [CrossRef]
- Everson, C.; Clulow, A.; Mengitsu, M. Feasibility Study on the Determination of Riparian Evaporation in Non-Perennial Systems; Water Research Commission: Pretoria, South Africa, 2009. [Google Scholar]
- Majozi, N.P.; Mannaerts, C.M.; Ramoelo, A.; Mathieu, R.; Mudau, A.E.; Verhoef, W. An intercomparison of satellite-based daily evapotranspiration estimates under different eco-climatic regions in South Africa. Remote Sens. 2017, 9, 307. [Google Scholar] [CrossRef]
- Su, Z. The Surface Energy Balance System (SEBS) for estimation of turbulent heat fluxes. Hydrol. Earth Syst. Sci. 2002, 6, 85–100. [Google Scholar] [CrossRef]
- Fisher, J.B.; Tu, K.P.; Baldocchi, D.D. Global estimates of the land–atmosphere water flux based on monthly AVHRR and ISLSCP-II data, validated at 16 FLUXNET sites. Remote Sens. Environ. 2008, 112, 901–919. [Google Scholar] [CrossRef]
- Miralles, D.G.; De Jeu, R.A.M.; Gash, J.H.; Holmes, T.R.H.; Dolman, A.J. Magnitude and variability of land evaporation and its components at the global scale. Hydrol. Earth Syst. Sci. 2011, 15, 967–981. [Google Scholar] [CrossRef]
- Miralles, D.G.; Holmes, T.R.H.; De Jeu, R.A.M.; Gash, J.H.; Meesters, A.G.C.A.; Dolman, A.J. Global land-surface evaporation estimated from satellite-based observations. Hydrol. Earth Syst. Sci. 2011, 15, 453–469. [Google Scholar] [CrossRef]
- Mu, Q.; Zhao, M.; Running, S.W. Improvements to a MODIS global terrestrial evapotranspiration algorithm. Remote Sens. Environ. 2011, 115, 1781–1800. [Google Scholar] [CrossRef]
- Schellekens, J.; Dutra, E.; Martínez-de la Torre, A.; Balsamo, G.; van Dijk, A.; Sperna Weiland, F.; Minvielle, M.; Calvet, J.C.; Decharme, B.; Eisner, S.; et al. A global water resources ensemble of hydrological models: The eartH2Observe Tier-1 dataset. Earth Syst. Sci. Data 2017, 9, 389–413. [Google Scholar] [CrossRef]
- Glenn, E.P.; Huete, A.R.; Nagler, P.L.; Hirschboeck, K.K.; Brown, P. Integrating Remote Sensing and Ground Methods to Estimate Evapotranspiration. Crit. Rev. Plant Sci. 2007, 26, 139–168. [Google Scholar] [CrossRef]
- Kalma, J.D.; McVicar, T.R.; McCabe, M.F. Estimating Land Surface Evaporation: A Review of Methods Using Remotely Sensed Surface Temperature Data. Surv. Geophys. 2008, 29, 421–469. [Google Scholar] [CrossRef]
- Zhu, W.; Tian, S.; Wei, J.; Jia, S.; Song, Z. Multi-scale evaluation of global evapotranspiration products derived from remote sensing images: Accuracy and uncertainty. J. Hydrol. 2022, 611, 127982. [Google Scholar] [CrossRef]
- Tang, R.; Peng, Z.; Liu, M.; Li, Z.-L.; Jiang, Y.; Hu, Y.; Huang, L.; Wang, Y.; Wang, J.; Jia, L.; et al. Spatial-temporal patterns of land surface evapotranspiration from global products. Remote Sens. Environ. 2024, 304, 114066. [Google Scholar] [CrossRef]
- Elfarkh, J.; Ezzahar, J.; Er-Raki, S.; Simonneaux, V.; Ait Hssaine, B.; Rachidi, S.; Brut, A.; Rivalland, V.; Khabba, S.; Chehbouni, A.; et al. Multi-Scale Evaluation of the TSEB Model over a Complex Agricultural Landscape in Morocco. Remote Sens. 2020, 12, 1181. [Google Scholar] [CrossRef]
- Chehbouni, A.; Escadafal, R.; Duchemin, B.; Boulet, G.; Simonneaux, V.; Dedieu, G.; Mougenot, B.; Khabba, S.; Kharrou, H.; Maisongrande, P.; et al. An integrated modelling and remote sensing approach for hydrological study in arid and semi-arid regions: The SUDMED Programme. Int. J. Remote Sens. 2008, 29, 5161–5181. [Google Scholar] [CrossRef]
- Jarlan, L.; Khabba, S.; Er-Raki, S.; Le Page, M.; Hanich, L.; Fakir, Y.; Merlin, O.; Mangiarotti, S.; Gascoin, S.; Ezzahar, J.; et al. Remote Sensing of Water Resources in Semi-Arid Mediterranean Areas: The joint international laboratory TREMA. Int. J. Remote Sens. 2015, 36, 4879–4917. [Google Scholar] [CrossRef]
- Ramoelo, A.; Majozi, N.; Mathieu, R.; Jovanovic, N.; Nickless, A.; Dzikiti, S. Validation of Global Evapotranspiration Product (MOD16) using Flux Tower Data in the African Savanna, South Africa. Remote Sens. 2014, 6, 7406–7423. [Google Scholar] [CrossRef]
- Veysi, S.; Nouri, M.; Jabbari, A. Reference evapotranspiration estimation using reanalysis and WaPOR products in dryland Croplands. Heliyon 2024, 10, e26531. [Google Scholar] [CrossRef]
- Zhang, Y.; Liu, S.; Song, L.; Li, X.; Jia, Z.; Xu, T.; Xu, Z.; Ma, Y.; Zhou, J.; Yang, X.; et al. Integrated Validation of Coarse Remotely Sensed Evapotranspiration Products over Heterogeneous Land Surfaces. Remote Sens. 2022, 14, 3467. [Google Scholar] [CrossRef]
- Elkatoury, A.; Alazba, A.A.; Radwan, F.; Kayad, A.; Mossad, A. Evapotranspiration Estimation Assessment Using Various Satellite-Based Surface Energy Balance Models in Arid Climates. Earth Syst. Environ. 2024, 8, 1347–1369. [Google Scholar] [CrossRef]
- Simonneaux, V.; Le Page, M.; Helson, D.; Metral, J.; Thomas, S.; Duchemin, B.; Cherkaoui, M.; Kharrou, H.; Berjamy, B.; Chehbouni, A. Estimation spatialisée de l’Evapotranspiration des cultures irriguées par télédétection. Application à la gestion de l’Irrigation dans la plaine du Haouz (Marrakech, Maroc). Sécheresse 2009, 20, 123–130. [Google Scholar] [CrossRef]
- Le Page, M.; Berjamy, B.; Fakir, Y.; Bourgin, F.; Jarlan, L.; Abourida, A.; Benrhanem, M.; Jacob, G.; Huber, M.; Sghrer, F.; et al. An Integrated DSS for Groundwater Management Based on Remote Sensing. The Case of a Semi-arid Aquifer in Morocco. Water Resour. Manag. 2012, 26, 3209–3230. [Google Scholar] [CrossRef]
- Aouade, G.; Jarlan, L.; Ezzahar, J.; Er-Raki, S.; Napoly, A.; Benkaddour, A.; Khabba, S.; Boulet, G.; Garrigues, S.; Chehbouni, A.; et al. Evapotranspiration partition using the multiple energy balance version of the ISBA-A-gs land surface model over two irrigated crops in a semi-arid Mediterranean region (Marrakech, Morocco). Hydrol. Earth Syst. Sci. 2020, 24, 3789–3814. [Google Scholar] [CrossRef]
- Dijk, A.; Moene, A.F.; de Bruin, H. The Principles of Surface Flux Physics: Theory, Practice and Description of the ECPACK Library. Princ. Surf. Flux Phys. Theory Pract. Descr. ECPACK Libr. 2004, 99, 525. Available online: https://zenodo.org/records/10968475 (accessed on 25 November 2025).
- Wilczak, J.M.; Oncley, S.P.; Stage, S.A. Sonic Anemometer Tilt Correction Algorithms. Bound. Layer Meteorol. 2001, 99, 127–150. [Google Scholar] [CrossRef]
- Dijk, A.; Kohsiek, W.; de Bruin, H. Oxygen Sensitivity of Krypton and Lyman? Hygrometers. J. Atmos. Ocean. Technol. 2003, 20, 143–151. [Google Scholar] [CrossRef]
- Schotanus, P.; Nieuwstadt, F.T.M.; De Bruin, H.A.R. Temperature measurement with a sonic anemometer and its application to heat and moisture fluxes. Bound. Layer Meteorol. 1983, 26, 81–93. [Google Scholar] [CrossRef]
- Horst, T.W. The Footprint for Estimation of Atmosphere-Surface Exchange Fluxes by Profile Techniques. Bound. Layer Meteorol. 1999, 90, 171–188. [Google Scholar] [CrossRef]
- Webb, E.K.; Pearman, G.I.; Leuning, R. Correction of flux measurements for density effects due to heat and water vapour transfer. Q. J. R. Meteorol. Soc. 1980, 106, 85–100. [Google Scholar] [CrossRef]
- Ait Hssaine, B.; Merlin, O.; Ezzahar, J.; Ojha, N.; Er-Raki, S.; Khabba, S. An evapotranspiration model self-calibrated from remotely sensed surface soil moisture, land surface temperature and vegetation cover fraction: Application to disaggregated SMOS and MODIS data. Hydrol. Earth Syst. Sci. 2020, 24, 1781–1803. [Google Scholar] [CrossRef]
- Merlin, O.; Olivera-Guerra, L.; Aït Hssaine, B.; Amazirh, A.; Rafi, Z.; Ezzahar, J.; Gentine, P.; Khabba, S.; Gascoin, S.; Er-Raki, S. A phenomenological model of soil evaporative efficiency using surface soil moisture and temperature data. Agric. For. Meteorol. 2018, 256–257, 501–515. [Google Scholar] [CrossRef]
- Amazirh, A.; Merlin, O.; Er-Raki, S.; Gao, Q.; Rivalland, V.; Malbeteau, Y.; Khabba, S.; Escorihuela, M.J. Retrieving surface soil moisture at high spatio-temporal resolution from a synergy between Sentinel-1 radar and Landsat thermal data: A study case over bare soil. Remote Sens. Environ. 2018, 211, 321–337. [Google Scholar] [CrossRef]
- Er-Raki, S.; Khabba, S.; Erraji, T.; Ezzahar, J.; Jarlan, L.; Le Page, M.; Chehbouni, A.; Hanich, L. Evaluation of the Sap Flow Measurements Determined with Heat Balance Method for Citrus Orchards in Semi-arid Region. In International Workshop on Sap Flow, Proceedings of the VIIIth International Workshop on Sap Flow, Leuven, Belgium, 8–12 May 2011; Sebastiani, L., Tognetti, R., Motisi, A., Eds.; ISHS: Leuven, Belgium, 2012; pp. 259–267. Available online: https://www.documentation.ird.fr/intranet/publi/depot/2013-11-28/010060188.pdf (accessed on 25 November 2025).
- Nassah, H.; Er-Raki, S.; Khabba, S.; Fakir, Y.; Raibi, F.; Merlin, O.; Mougenot, B. Evaluation and analysis of deep percolation losses of drip irrigated citrus crops under non-saline and saline conditions in a semi-arid area. Biosyst. Eng. 2018, 165, 10–24. [Google Scholar] [CrossRef]
- Kharrou, M.H.; Simonneaux, V.; Er-Raki, S.; Le Page, M.; Khabba, S.; Chehbouni, A. Assessing Irrigation Water Use with Remote Sensing-Based Soil Water Balance at an Irrigation Scheme Level in a Semi-Arid Region of Morocco. Remote Sens. 2021, 13, 1133. [Google Scholar] [CrossRef]
- Diarra, A.; Jarlan, L.; Khabba, S.; Le Page, M.; Er-Raki, S.; Balaghi, R.; Charafi, S.; Chehbouni, A.; El Alami, R. Medium-Resolution Mapping of Evapotranspiration at the Catchment Scale Based on Thermal Infrared MODIS Data and ERA-Interim Reanalysis over North Africa. Remote Sens. 2022, 14, 5071. [Google Scholar] [CrossRef]
- Senay, G.B.; Kagone, S.; Velpuri, N.M. Operational Global Actual Evapotranspiration: Development, Evaluation, and Dissemination. Sensors 2020, 20, 1915. [Google Scholar] [CrossRef] [PubMed]
- Allen, R. Penman–Monteith Equation. In Encyclopedia of Soils in the Environmen; Hillel, D., Ed.; Elsevier: Oxford, UK, 2005; pp. 180–188. [Google Scholar]
- Zheng, C.; Jia, L.; Hu, G.; Lu, J.; Wang, K.; Li, Z. Global evapotranspiration derived by ETMonitor model based on earth observations. In Proceedings of the 2016 IEEE International Geoscience and Remote Sensing Symposium (IGARSS), Beijing, China, 10–15 July 2016; pp. 222–225. [Google Scholar]
- Gan, R.; Zhang, Y.; Shi, H.; Yang, Y.; Eamus, D.; Cheng, L.; Chiew, F.H.S.; Yu, Q. Use of satellite leaf area index estimating evapotranspiration and gross assimilation for Australian ecosystems. Ecohydrology 2018, 11, e1974. [Google Scholar] [CrossRef]
- Zhang, Y.; Kong, D.; Gan, R.; Chiew, F.H.S.; McVicar, T.R.; Zhang, Q.; Yang, Y. Coupled estimation of 500 m and 8-day resolution global evapotranspiration and gross primary production in 2002–2017. Remote Sens. Environ. 2019, 222, 165–182. [Google Scholar] [CrossRef]
- Leuning, R.; Zhang, Y.Q.; Rajaud, A.; Cleugh, H.; Tu, K. A simple surface conductance model to estimate regional evaporation using MODIS leaf area index and the Penman-Monteith equation. Water Resour. Res. 2008, 44. [Google Scholar] [CrossRef]
- Gash, J.H.C.; Lloyd, C.R.; Lachaud, G. Estimating sparse forest rainfall interception with an analytical model. J. Hydrol. 1995, 170, 79–86. [Google Scholar] [CrossRef]
- FAO. WaPOR Database Methodology: Version 2 Release, April 2020; Food and Agriculture Organization: Rome, Italy, 2020. [Google Scholar]
- Lucas-Moffat, A.M.; Schrader, F.; Herbst, M.; Brümmer, C. Multiple gap-filling for eddy covariance datasets. Agric. For. Meteorol. 2022, 325, 109114. [Google Scholar] [CrossRef]
- Kljun, N.; Calanca, P.; Rotach, M.W.; Schmid, H.P. A simple two-dimensional parameterisation for Flux Footprint Prediction (FFP). Geosci. Model Dev. 2015, 8, 3695–3713. [Google Scholar] [CrossRef]
- McCabe, M.F.; Rodell, M.; Alsdorf, D.E.; Miralles, D.G.; Uijlenhoet, R.; Wagner, W.; Lucieer, A.; Houborg, R.; Verhoest, N.E.C.; Franz, T.E.; et al. The future of Earth observation in hydrology. Hydrol. Earth Syst. Sci. 2017, 21, 3879–3914. [Google Scholar] [CrossRef]
- Senay, G.B.; Bohms, S.; Singh, R.K.; Gowda, P.H.; Velpuri, N.M.; Alemu, H.; Verdin, J.P. Operational Evapotranspiration Mapping Using Remote Sensing and Weather Datasets: A New Parameterization for the SSEB Approach. JAWRA J. Am. Water Resour. Assoc. 2013, 49, 577–591. [Google Scholar] [CrossRef]
- Chen, M.; Senay, G.B.; Singh, R.K.; Verdin, J.P. Uncertainty analysis of the Operational Simplified Surface Energy Balance (SSEBop) model at multiple flux tower sites. J. Hydrol. 2016, 536, 384–399. [Google Scholar] [CrossRef]
- Acharya, B.; Sharma, V. Comparison of Satellite Driven Surface Energy Balance Models in Estimating Crop Evapotranspiration in Semi-Arid to Arid Inter-Mountain Region. Remote Sens. 2021, 13, 1822. [Google Scholar] [CrossRef]
- Zhuang, Q.; Shi, Y.; Shao, H.; Zhao, G.; Chen, D. Evaluating the SSEBop and RSPMPT Models for Irrigated Fields Daily Evapotranspiration Mapping with MODIS and CMADS Data. Agriculture 2021, 11, 424. [Google Scholar] [CrossRef]
- Senkondo, W.; Munishi, S.E.; Tumbo, M.; Nobert, J.; Lyon, S.W. Comparing Remotely-Sensed Surface Energy Balance Evapotranspiration Estimates in Heterogeneous and Data-Limited Regions: A Case Study of Tanzania’s Kilombero Valley. Remote Sens. 2019, 11, 1289. [Google Scholar] [CrossRef]
- Alemayehu, T.; Griensven, A.V.; Senay, G.B.; Bauwens, W. Evapotranspiration Mapping in a Heterogeneous Landscape Using Remote Sensing and Global Weather Datasets: Application to the Mara Basin, East Africa. Remote Sens. 2017, 9, 390. [Google Scholar] [CrossRef]
- Castelli, M. Evapotranspiration Changes over the European Alps: Consistency of Trends and Their Drivers between the MOD16 and SSEBop Algorithms. Remote Sens. 2021, 13, 4316. [Google Scholar] [CrossRef]
- El Hazdour, I.; Le Page, M.; Hanich, L.; Chakir, A.; Lopez, O.; Jarlan, L. A GEE TSEB workflow for daily high-resolution fully remote sensing evapotranspiration: Validation over four crops in semi-arid conditions and comparison with the SSEBop experimental product. Environ. Model. Softw. 2025, 187, 106365. [Google Scholar] [CrossRef]
- López-Pérez, E.; Manzano-Juaréz, J.; Jimenez-Bello, M.A.; García-Prats, A.; Sanchis-Ibor, C.; Rubio-Martin, A.; Boubekri, F.Z.; Kajji, A.; Tufoni, P.; Nunes, L.M.; et al. A Spatial Framework for Assessing Irrigation Water Use in Overexploited Mediterranean Aquifers. Preprints 2025. [Google Scholar] [CrossRef]
- Munkhtur, P.; Tseveengerel, B.; Bumtsend, B. Water accounting: A case study in the Buir Lake—Khalkh River Basin. Proc. Mong. Acad. Sci. 2025, 65, 29–51. [Google Scholar] [CrossRef]
- Kumar, N.; Hamouda, M.A. Utility of single-source surface energy balance models in estimation of daily actual evapotranspiration in arid regions. Hydrol. Sci. J. 2025, 70, 664–686. [Google Scholar] [CrossRef]
- Feng, F.; Chen, J.; Li, X.; Yao, Y.; Liang, S.; Liu, M.; Zhang, N.; Guo, Y.; Yu, J.; Sun, M. Validity of Five Satellite-Based Latent Heat Flux Algorithms for Semi-arid Ecosystems. Remote Sens. 2015, 7, 16733–16755. [Google Scholar] [CrossRef]
- Liaqat, U.W.; Choi, M. Accuracy comparison of remotely sensed evapotranspiration products and their associated water stress footprints under different land cover types in Korean peninsula. J. Clean. Prod. 2017, 155, 93–104. [Google Scholar] [CrossRef]
- Purdy, A.J.; Fisher, J.B.; Goulden, M.L.; Colliander, A.; Halverson, G.; Tu, K.; Famiglietti, J.S. SMAP soil moisture improves global evapotranspiration. Remote Sens. Environ. 2018, 219, 1–14. [Google Scholar] [CrossRef]
- Abiodun, O.O.; Guan, H.; Post, V.E.A.; Batelaan, O. Comparison of MODIS and SWAT evapotranspiration over a complex terrain at different spatial scales. Hydrol. Earth Syst. Sci. 2018, 22, 2775–2794. [Google Scholar] [CrossRef]
- Qiao, L.; Will, R.; Wagner, K.; Zhang, T.; Zou, C. Improvement of evapotranspiration estimates for grasslands in the southern Great Plains: Comparing a biophysical model (SWAT) and remote sensing (MODIS). J. Hydrol. Reg. Stud. 2022, 44, 101275. [Google Scholar] [CrossRef]
- Ruhoff, A.L.; Paz, A.R.; Aragao, L.E.O.C.; Mu, Q.; Malhi, Y.; Collischonn, W.; Rocha, H.R.; Running, S.W. Assessment of the MODIS global evapotranspiration algorithm using eddy covariance measurements and hydrological modelling in the Rio Grande basin. Hydrol. Sci. J. 2013, 58, 1658–1676. [Google Scholar] [CrossRef]
- Zimba, H.M.; Coenders-Gerrits, M.; Banda, K.E.; Hulsman, P.; van de Giesen, N.; Nyambe, I.A.; Savenije, H.H.G. On the importance of plant phenology in the evaporative process of a semi-arid woodland: Could it be why satellite-based evaporation estimates in the miombo differ? Hydrol. Earth Syst. Sci. 2024, 28, 3633–3663. [Google Scholar] [CrossRef]
- Mohammadi, A.; Costelloe, J.; Ryu, D. Evaluation of remotely sensed evapotranspiration products in a large scale Australian arid region: Cooper Creek, Queensland. In Proceedings of the 21st International Congress on Modelling and Simulation, Broadbeach, Australian, 13 December 2015. [Google Scholar]
- Richard, B.; César Luis, G.; Nebo, J.; Ingrid, T.; Manfred, F.; Sebinasi, D. Estimating evapotranspiration in a semi-arid catchment: A comparison of hydrological modelling and remote-sensing approaches. Water SA 2020, 46, 168. [Google Scholar] [CrossRef]
- Aguilar, A.L.; Flores, H.; Crespo, G.; Marín, M.I.; Campos, I.; Calera, A. Performance Assessment of MOD16 in Evapotranspiration Evaluation in Northwestern Mexico. Water 2018, 10, 901. [Google Scholar] [CrossRef]
- Degano, M.F.; Rivas, R.E.; Carmona, F.; Niclòs, R.; Sánchez, J.M. Evaluation of the MOD16A2 evapotranspiration product in an agricultural area of Argentina, the Pampas region. Egypt. J. Remote Sens. Space Sci. 2021, 24, 319–328. [Google Scholar] [CrossRef]
- Feng, Y.; Wang, L.; Liu, C.; Zhang, B.; Wang, J.; Zhang, P.; Wang, R. Modeling and Spatiotemporal Analysis of Actual Evapotranspiration in a Desert Steppe Based on SEBS. Hydrology 2025, 12, 205. [Google Scholar] [CrossRef]
- Wagle, P.; Gowda, P.H.; Northup, B.K. Dynamics of evapotranspiration over a non-irrigated alfalfa field in the Southern Great Plains of the United States. Agric. Water Manag. 2019, 223, 105727. [Google Scholar] [CrossRef]
- Dzikiti, S.; Jovanovic, N.Z.; Bugan, R.D.H.; Ramoelo, A.; Majozi, N.P.; Nickless, A.; Cho, M.A.; Le Maitre, D.C.; Ntshidi, Z.; Pienaar, H.H. Comparison of two remote sensing models for estimating evapotranspiration: Algorithm evaluation and application in seasonally arid ecosystems in South Africa. J. Arid Land 2019, 11, 495–512. [Google Scholar] [CrossRef]
- Blatchford, M.L.; Mannaerts, C.M.; Njuki, S.M.; Nouri, H.; Zeng, Y.; Pelgrum, H.; Wonink, S.; Karimi, P. Evaluation of WaPOR V2 evapotranspiration products across Africa. Hydrol. Process. 2020, 34, 3200–3221. [Google Scholar] [CrossRef]
- Saadi, S.; Boulet, G.; Bahir, M.; Brut, A.; Delogu, É.; Fanise, P.; Mougenot, B.; Simonneaux, V.; Lili Chabaane, Z. Assessment of actual evapotranspiration over a semiarid heterogeneous land surface by means of coupled low-resolution remote sensing data with an energy balance model: Comparison to extra-large aperture scintillometer measurements. Hydrol. Earth Syst. Sci. 2018, 22, 2187–2209. [Google Scholar] [CrossRef]
- van Niekerk, A.; Stephenson, C.J.G.; du Plessis, J.; Higgs, C.; Ndyafi, V.; Mashimbye, Z. The Application of National Scale Remotely Sensed Evapotranspiration (et) Estimates to Quantify Water Use and Differences Between Plantations in Commercial Forestry Regions of South Africa; Water Research Commission: Pretoria, South Africa, 2023. [Google Scholar]
- Elfarkh, J.; Simonneaux, V.; Jarlan, L.; Ezzahar, J.; Boulet, G.; Chakir, A.; Er-Raki, S. Evapotranspiration estimates in a traditional irrigated area in semi-arid Mediterranean. Comparison of four remote sensing-based models. Agric. Water Manag. 2022, 270, 107728. [Google Scholar] [CrossRef]
- Javadian, M.; Behrangi, A.; Gholizadeh, M.; Tajrishy, M. METRIC and WaPOR Estimates of Evapotranspiration over the Lake Urmia Basin: Comparative Analysis and Composite Assessment. Water 2019, 11, 1647. [Google Scholar] [CrossRef]
- Poudel, U.; Stephen, H.; Ahmad, S. Evaluating Irrigation Performance and Water Productivity Using EEFlux ET and NDVI. Sustainability 2021, 13, 7967. [Google Scholar] [CrossRef]
- Zheng, C.; Jia, L.; Hu, G. Global land surface evapotranspiration monitoring by ETMonitor model driven by multi-source satellite earth observations. J. Hydrol. 2022, 613, 128444. [Google Scholar] [CrossRef]
- Hu, G.; Jia, L. Monitoring of Evapotranspiration in a Semi-Arid Inland River Basin by Combining Microwave and Optical Remote Sensing Observations. Remote Sens. 2015, 7, 3056–3087. [Google Scholar] [CrossRef]
- Zhang, Y.; Zhang, L.; Hou, J.; Gu, J.; Huang, C. Development of an Evapotranspiration Data Assimilation Technique for Streamflow Estimates: A Case Study in a Semi-Arid Region. Sustainability 2017, 9, 1658. [Google Scholar] [CrossRef]
- Xiao, J.; Sun, F.; Wang, T.; Wang, H. Estimation and validation of high-resolution evapotranspiration products for an arid river basin using multi-source remote sensing data. Agric. Water Manag. 2024, 298, 108864. [Google Scholar] [CrossRef]
- Bennour, A.; Jia, L.; Menenti, M.; Zheng, C.; Zeng, Y.; Asenso Barnieh, B.; Jiang, M. Calibration and Validation of SWAT Model by Using Hydrological Remote Sensing Observables in the Lake Chad Basin. Remote Sens. 2022, 14, 1511. [Google Scholar] [CrossRef]
- Lu, J.; Jia, L.; Zheng, C.; Tang, R.; Jiang, Y. A Scheme to Estimate Diurnal Cycle of Evapotranspiration from Geostationary Meteorological Satellite Observations. Water 2020, 12, 2369. [Google Scholar] [CrossRef]
- Ren, Z.; Che, T.; Xu, F.; Zhang, Y.; Tan, J.; Wang, J.; Wang, W. Validation of Remotely Sensed Evapotranspiration Products Using Optical–Microwave Scintillometer Flux Measurements Over the Heterogeneous Surfaces. IEEE J. Sel. Top. Appl. Earth Obs. Remote Sens. 2025, 18, 5687–5703. [Google Scholar] [CrossRef]
- Zheng, C.; Li, J.; Massimo, M.; Guangcheng, H.; Jing, L.; Qiting, C.; Min, J.; Marco, M.; Corbari, C. Integrating hydrologic modeling and satellite remote sensing to assess the performance of sprinkler irrigation. Geo-Spat. Inf. Sci. 2024, 27, 934–952. [Google Scholar] [CrossRef]
- Zheng, C.; Jia, L.; Hu, G.; Menenti, M.; Lu, J.; Zhou, J.; Wang, K.; Li, Z. Assessment of Water Use in Pan-Eurasian and African Continents by ETMonitor with Multi-Source Satellite Data. IOP Conf. Ser. Earth Environ. Sci. 2017, 57, 012050. [Google Scholar] [CrossRef]
- He, S.; Zhang, Y.; Ma, N.; Tian, J.; Kong, D.; Liu, C. A daily and 500 m coupled evapotranspiration and gross primary production product across China during 2000–2020. Earth Syst. Sci. Data 2022, 14, 5463–5488. [Google Scholar] [CrossRef]
- Zhao, Y.; Lu, Z.; Wei, Y. An Assessment of Global Precipitation and Evapotranspiration Products for Regional Applications. Remote Sens. 2019, 11, 1077. [Google Scholar] [CrossRef]
- Wang, X.; Lei, H.; Li, J.; Huo, Z.; Zhang, Y.; Qu, Y. Estimating evapotranspiration and yield of wheat and maize croplands through a remote sensing-based model. Agric. Water Manag. 2023, 282, 108294. [Google Scholar] [CrossRef]
- Zhao, G.; Zhao, L.; Song, L.; Wu, H.; Xie, Q.; Liu, S.; Xue, K.; Tao, S.; Wu, P.; Zhang, L. A Two-Step Reconstruction Framework for Mapping Seamless All-Weather Daily Evapotranspiration Using Thermal Infrared Data. IEEE J. Sel. Top. Appl. Earth Obs. Remote Sens. 2025, 18, 424–434. [Google Scholar] [CrossRef]
- Chen, H.; Gnanamoorthy, P.; Chen, Y.; Mansaray, L.R.; Song, Q.; Liao, K.; Shi, A.; Feng, G.; Sun, C. Assessment and Inter-Comparison of Multi-Source High Spatial Resolution Evapotranspiration Products over Lancang–Mekong River Basin, Southeast Asia. Remote Sens. 2022, 14, 479. [Google Scholar] [CrossRef]
- Duan, H.; Zhao, H.; Li, Q.; Xu, H.; Han, C. Estimation of Evapotranspiration Based on a Modified Penman–Monteith–Leuning Model Using Surface and Root Zone Soil Moisture. Water 2023, 15, 1418. [Google Scholar] [CrossRef]
- Moletto-Lobos, I.; Mattar, C.; Barichivich, J. Performance of Satellite-Based Evapotranspiration Models in Temperate Pastures of Southern Chile. Water 2020, 12, 3587. [Google Scholar] [CrossRef]
- Zhao, J.; Sun, S.; Yin, Y.; Wang, E.; Li, C.; Sun, J.; Tang, Y.; Wang, Y. Two improved shuttleworth-wallace models for estimating consecutive daily evapotranspiration. Agric. For. Meteorol. 2025, 367, 110498. [Google Scholar] [CrossRef]
- Shi, X.; She, D.; Xia, J.; Liu, R.; Wang, T. The intercomparison of six 0.1° × 0.1° spatial resolution evapotranspiration products across mainland China. J. Hydrol. 2024, 633, 130949. [Google Scholar] [CrossRef]
- Yang, Y. Estimating actual evapotranspiration across China by improving the PML algorithm with a shortwave infrared-based surface water stress constraint. Remote Sens. Environ. 2025, 318, 114544. [Google Scholar] [CrossRef]
- Qian, L.; Wu, L.; Dong, N.; Dai, T.; Yu, X.; Bai, X.; Yang, Q.; Liu, X.; Chen, J.; Zhang, Z. A Multi-Scale Comprehensive Evaluation for Nine Evapotranspiration Products Across Mainland China Under Extreme Climatic Conditions. Agriculture 2025, 15, 1945. [Google Scholar] [CrossRef]
- Wang, C.; Mao, H.; Nemoto, T.; He, Y.; Hu, J.; Li, R.; Wu, Q.; Wang, M.; Song, X.; Duan, Z. An Adaptive Process-Wise Fitting Approach for Hydrological Modeling Based on Streamflow and Remote Sensing Evapotranspiration. Water 2024, 16, 3446. [Google Scholar] [CrossRef]
- Huang, L.; Liu, M.; Yao, N. Evaluation of Ecosystem Water Use Efficiency Based on Coupled and Uncoupled Remote Sensing Products for Maize and Soybean. Remote Sens. 2023, 15, 4922. [Google Scholar] [CrossRef]
- Nkiaka, E.; Bryant, R.G.; Ntajal, J.; Biao, E.I. Evaluating the accuracy of gridded water resources reanalysis and evapotranspiration products for assessing water security in poorly gauged basins. Hydrol. Earth Syst. Sci. 2022, 26, 5899–5916. [Google Scholar] [CrossRef]
- Mekonnen, Y.G.; Alamirew, T.; Chukalla, A.D.; Malede, D.A.; Yalew, S.G.; Mengistu, A.F. Remote sensing in hydrology: A systematic review of its applications in the Upper Blue Nile Basin, Ethiopia. HydroResearch 2025, 8, 1–12. [Google Scholar] [CrossRef]











Disclaimer/Publisher’s Note: The statements, opinions and data contained in all publications are solely those of the individual author(s) and contributor(s) and not of MDPI and/or the editor(s). MDPI and/or the editor(s) disclaim responsibility for any injury to people or property resulting from any ideas, methods, instructions or products referred to in the content. |
© 2025 by the authors. Licensee MDPI, Basel, Switzerland. This article is an open access article distributed under the terms and conditions of the Creative Commons Attribution (CC BY) license (https://creativecommons.org/licenses/by/4.0/).
Share and Cite
Manyari, Y.; Kharrou, M.H.; Simonneaux, V.; Khabba, S.; Jarlan, L.; Ezzahar, J.; Er-Raki, S. Accuracy Assessment of Remote Sensing-Derived Evapotranspiration Products Against Eddy Covariance Measurements in Tensift Al-Haouz Semi-Arid Region, Morocco. Atmosphere 2025, 16, 1407. https://doi.org/10.3390/atmos16121407
Manyari Y, Kharrou MH, Simonneaux V, Khabba S, Jarlan L, Ezzahar J, Er-Raki S. Accuracy Assessment of Remote Sensing-Derived Evapotranspiration Products Against Eddy Covariance Measurements in Tensift Al-Haouz Semi-Arid Region, Morocco. Atmosphere. 2025; 16(12):1407. https://doi.org/10.3390/atmos16121407
Chicago/Turabian StyleManyari, Yassine, Mohamed Hakim Kharrou, Vincent Simonneaux, Saïd Khabba, Lionel Jarlan, Jamal Ezzahar, and Salah Er-Raki. 2025. "Accuracy Assessment of Remote Sensing-Derived Evapotranspiration Products Against Eddy Covariance Measurements in Tensift Al-Haouz Semi-Arid Region, Morocco" Atmosphere 16, no. 12: 1407. https://doi.org/10.3390/atmos16121407
APA StyleManyari, Y., Kharrou, M. H., Simonneaux, V., Khabba, S., Jarlan, L., Ezzahar, J., & Er-Raki, S. (2025). Accuracy Assessment of Remote Sensing-Derived Evapotranspiration Products Against Eddy Covariance Measurements in Tensift Al-Haouz Semi-Arid Region, Morocco. Atmosphere, 16(12), 1407. https://doi.org/10.3390/atmos16121407

