From Suppression to Enhancement: How Hygroscopic Seeding Particle Size Influences the Microphysical Processes and Precipitation Formation in Cumulus Clouds
Abstract
1. Introduction
2. Model Description and Initialization
2.1. Model Description
2.2. Mode Initialization Settings
3. Simulation of a Natural Cloud and Seeding Experiment Design
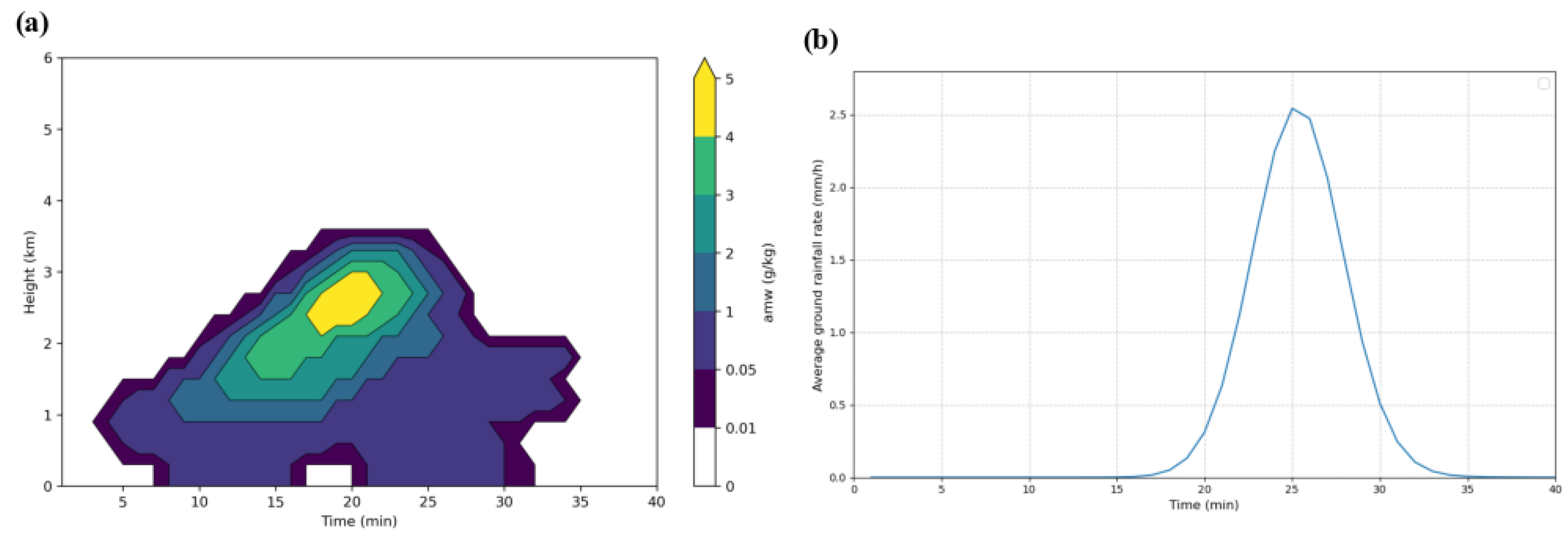
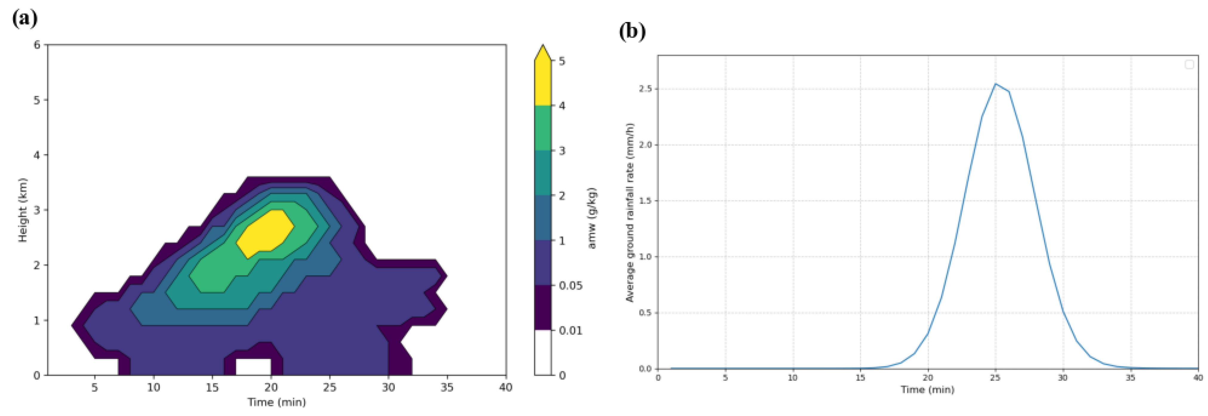
3.1. Simulation of a Natural Cloud
3.2. Seeding Experiment Design
4. Experimental Results
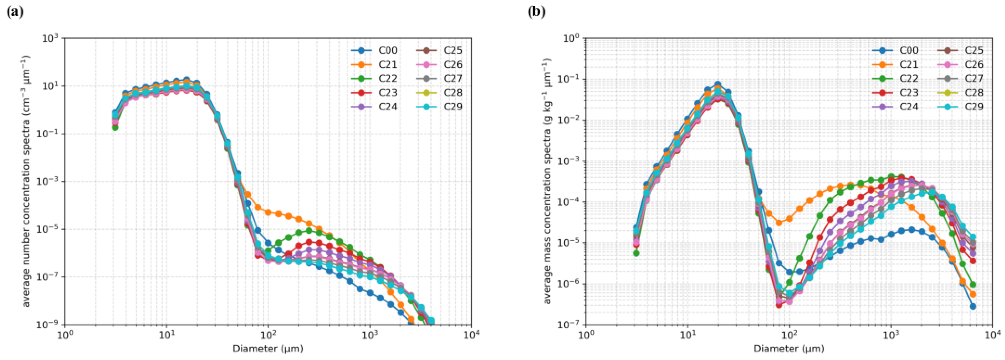
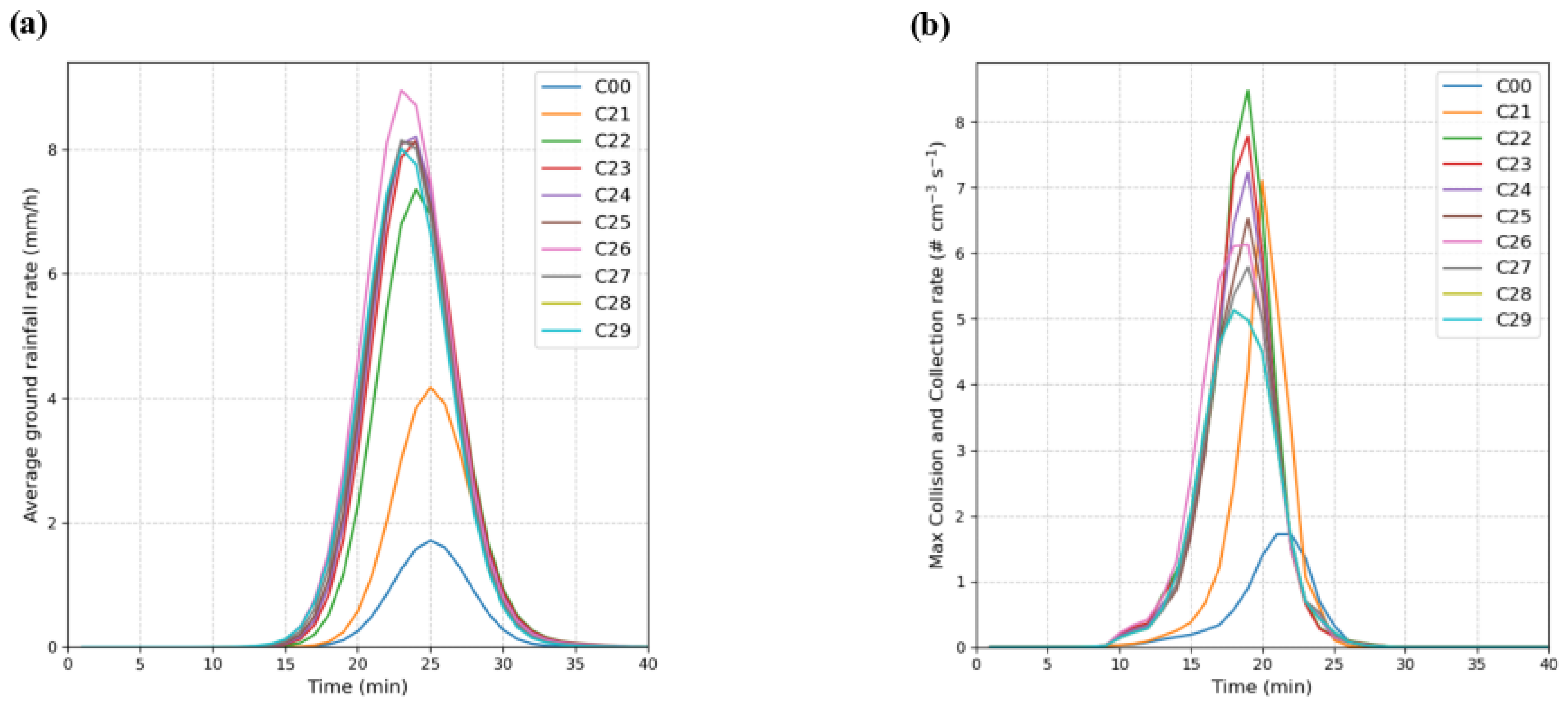
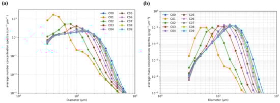
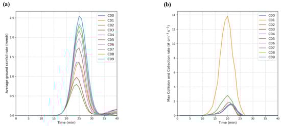
4.1. Precipitation Changes in Different Sensitivity Experiments
4.2. The Impact of Seeding Submicrometer-Sized Particles on Cloud Microphysical Processes
4.3. The Impact of Seeding Giant-Sized Particles on Cloud Microphysical Processes
4.4. The Impact of Seeding Ultragiant-Sized Particles on Cloud Microphysical Processes
4.5. Dependence of the Critical Seeding Diameter on Background Aerosol Regime
5. Conclusions
Author Contributions
Funding
Data Availability Statement
Acknowledgments
Conflicts of Interest
Abbreviations
| CCN | Cloud Condensation Nuclei |
| GCCN | Giant Cloud Condensation Nuclei |
References
- Flossmann, A.I.; Manton, M.; Abshaev, A.; Bruintjes, R.; Murakami, M.; Prabhakaran, T.; Yao, Z. Review of advances in precipitation enhancement research. Bull. Am. Meteorol. Soc. 2019, 100, 1465–1480. [Google Scholar] [CrossRef]
- Lelieveld, J. Multi-phase processes in the atmospheric sulfur cycle. In Interactions of C, N, P and S Biogeochemical Cycles and Global Change; Wollast, R., Mackenzie, F.T., Chou, L., Eds.; Springer: Berlin/Heidelberg, Germany, 1993; pp. 305–331. [Google Scholar] [CrossRef]
- Mazzetti, T.; Geerts, B.; Xue, L. A numerical evaluation of the impact of operational ground-based glaciogenic cloud seeding on precipitation over the Wind River Range, Wyoming. J. Appl. Meteorol. Climatol. 2023, 62, 489–510. [Google Scholar] [CrossRef]
- Lin, K.-I.; Chung, K.-S.; Wang, S.-H.; Chen, L.-H.; Liou, Y.-C.; Lin, P.-L.; Chang, W.-Y.; Chiu, H.-J.; Chang, Y.-H. Evaluation of hygroscopic cloud seeding in warm-rain processes by a hybrid microphysics scheme using a Weather Research and Forecasting (WRF) model: A real case study. Atmos. Chem. Phys. 2023, 23, 10423–10438. [Google Scholar] [CrossRef]
- Prabhakaran, T.; Murugavel, P.; Konwar, M.; Malap, N.; Gayatri, K.; Dixit, S.; Samanta, S.; Chowdhuri, S.; Bera, S.; Varghese, M.; et al. CAIPEEX: Indian Cloud Seeding Scientific Experiment. Bull. Am. Meteorol. Soc. 2023, 104, E2095–E2120. [Google Scholar] [CrossRef]
- Shen, Y.; Virkkula, A.; Ding, A.; Luoma, K.; Keskinen, H.; Aalto, P.P.; Chi, X.; Qi, X.; Nie, W.; Huang, X.; et al. Estimating cloud condensation nuclei number concentrations using aerosol optical properties: Role of particle number size distribution and parameterization. Atmos. Chem. Phys. 2019, 19, 15483–15502. [Google Scholar] [CrossRef]
- Twomey, S. The influence of pollution on the shortwave albedo of clouds. J. Atmos. Sci. 1977, 34, 1149–1152. [Google Scholar] [CrossRef]
- Albrecht, B.A. Aerosols, cloud microphysics, and fractional cloudiness. Science 1989, 245, 1227–1230. [Google Scholar] [CrossRef]
- Rosenfeld, D.; Andreae, M.O.; Asmi, A.; Chin, M.; de Leeuw, G.; Donovan, D.P.; Kahn, R.; Kinne, S.; Kivekäs, N.; Kulmala, M.; et al. Global observations of aerosol–cloud–precipitation–climate interactions. Rev. Geophys. 2014, 52, 750–808. [Google Scholar] [CrossRef]
- Khain, A.P.; Beheng, K.D.; Heymsfield, A.; Korolev, A.; Krichak, S.O.; Levin, Z.; Pinsky, M.; Phillips, V.; Prabhakaran, T.; Teller, A.; et al. Representation of microphysical processes in cloud-resolving models: Spectral (bin) microphysics versus bulk parameterization. Rev. Geophys. 2015, 53, 247–322. [Google Scholar] [CrossRef]
- Dagan, G.; Koren, I.; Altaratz, O. Aerosol effects on the timing of warm rain processes. Geophys. Res. Lett. 2015, 42, 4590–4598. [Google Scholar] [CrossRef]
- Liu, H.; Guo, J.; Koren, I.; Altaratz, O.; Dagan, G.; Wang, Y.; Jiang, J.H.; Zhai, P.; Yung, Y.L. Non-monotonic aerosol effect on precipitation in convective clouds over tropical oceans. Sci. Rep. 2019, 9, 7809. [Google Scholar] [CrossRef]
- Caro, D.; Wobrock, W.; Flossmann, A.I. A numerical study on the impact of hygroscopic seeding on the development of cloud particle spectra. J. Appl. Meteorol. Clim. 2002, 41, 333–350. [Google Scholar] [CrossRef]
- Segal, Y.; Khain, A.; Pinsky, M.; Rosenfeld, D. Effects of hygroscopic seeding on raindrop formation as seen from simulations using a 2000-bin spectral cloud parcel model. Atmos. Res. 2004, 71, 3–34. [Google Scholar] [CrossRef]
- Yin, Y.; Levin, Z.; Reisin, T.; Tzivion, S. The effects of giant cloud condensation nuclei on the development of precipitation in convective clouds—A numerical study. Atmos. Res. 2000, 53, 91–116. [Google Scholar] [CrossRef]
- Mather, G.K.; Terblanche, D.E.; Steffens, F.E.; Fletcher, L. Results of the South African cloud-seeding experiments using hygroscopic flares. J. Appl. Meteorol. 1997, 36, 1433–1447. [Google Scholar] [CrossRef]
- Cooper, W.A.; Bruintjes, R.T.; Mather, G.K. Calculations pertaining to hygroscopic seeding with flares. J. Appl. Meteorol. Clim. 1997, 36, 1449–1469. [Google Scholar] [CrossRef]
- Feingold, G.; Cotton, W.R.; Kreidenweis, S.M.; Davis, J.T. The impact of giant cloud condensation nuclei on drizzle formation in stratocumulus: Implications for cloud radiative properties. J. Atmos. Sci. 1999, 56, 4100–4117. [Google Scholar] [CrossRef]
- Khain, A.; Pokrovsky, A.; Pinsky, M.; Seifert, A.; Phillips, V. Simulation of effects of atmospheric aerosols on deep turbulent convective clouds using a spectral microphysics mixed-phase cumulus cloud model. part i: Model description and possible applications. J. Atmos. Sci. 2004, 61, 2963–2982. [Google Scholar] [CrossRef]
- Teller, A.; Levin, Z. The effects of aerosols on precipitation and dimensions of subtropical clouds: A sensitivity study using a numerical cloud model. Atmos. Chem. Phys. 2006, 6, 67–80. [Google Scholar] [CrossRef]
- Khain, A.P.; Leung, L.R.; Lynn, B.; Ghan, S.J. Effects of aerosols on the dynamics and microphysics of squall lines simulated by spectral bin and bulk parameterization schemes. J. Geophys. Res. 2009, 114, D22203. [Google Scholar] [CrossRef]
- Rosenfeld, D.; Axisa, D.; Woodley, W.L.; Lahav, R. A quest for effective hygroscopic cloud seeding. J. Appl. Meteorol. Clim. 2010, 49, 1548–1562. [Google Scholar] [CrossRef]
- Tao, W.-K.; Chen, J.-P.; Li, Z.; Wang, C.; Zhang, C. Impact of aerosols on convective clouds and precipitation: A review. Rev. Geophys. 2012, 50, RG2001. [Google Scholar] [CrossRef]
- Heikenfeld, M.; White, B.; Labbouz, L.; Stier, P. Aerosol effects on deep convection: The propagation of aerosol perturbations through convective cloud microphysics. Atmos. Chem. Phys. 2019, 19, 2601–2627. [Google Scholar] [CrossRef]
- Morrison, H.; van Lier-Walqui, M.; Fridlind, A.M.; Grabowski, W.W.; Harrington, J.Y.; Hoose, C.; Korolev, A.; Kumjian, M.R.; Milbrandt, J.A.; Pawlowska, H.; et al. Confronting the challenge of modeling cloud and precipitation microphysics. J. Adv. Model. Earth Syst. 2020, 12, e2019MS001689. [Google Scholar] [CrossRef] [PubMed]
- Tzivion, S.; Reisin, T.; Levin, Z. Numerical simulation of hygroscopic seeding in a convective cloud. J. Appl. Meteorol. Clim. 1994, 33, 252–267. [Google Scholar] [CrossRef]
- Reisin, T.; Tzivion, S.; Levin, Z. Seeding convective clouds with ice nuclei or hygroscopic particles: A numerical study using a model with detailed microphysics. J. Appl. Meteorol. Clim. 1996, 35, 1416–1434. [Google Scholar] [CrossRef]
- Padró, L.T.; Asa-Awuku, A.; Morrison, R.; Nenes, A. Inferring thermodynamic properties from CCN activation experiments: Single-component and binary aerosols. Atmos. Chem. Phys. 2007, 7, 5263–5274. [Google Scholar] [CrossRef]
- Jaenicke, R. Tropospheric aerosols. In Aerosol–Cloud–Climate Interactions; Hobbs, P.V., Ed.; Academic Press: Cambridge, MA, USA, 1993; pp. 1–31. [Google Scholar]
- Pruppacher, H.R.; Klett, J.D. Microphysics of Clouds and Precipitation, 2nd ed.; Kluwer Academic Publishers: Dordrecht, The Netherlands, 1997; 954p. [Google Scholar]
- Heintzenberg, J.; Covert, D.C.; VAN Dingenen, R. Size distribution and chemical composition of marine aerosols: A compilation and review. Tellus B Chem. Phys. Meteorol. 2000, 52, 1104–1122. [Google Scholar] [CrossRef]
- Tian, J.; Wang, Q.; Han, Y.; Ye, J.; Wang, P.; Pongpiachan, S.; Ni, H.; Zhou, Y.; Wang, M.; Zhao, Y.; et al. Contributions of aerosol composition and sources to particulate optical properties in a southern coastal city of China. Atmos. Res. 2020, 235, 104744. [Google Scholar] [CrossRef]
- Jaenicke, R. Aerosol physics and chemistry. In Landolt-Börnstein, New Series, Group V: Geophysics and Space Research, Vol. 4b, Meteorology; Fischer, G., Ed.; Springer-Verlag: Berlin/Heidelberg, Germany, 1988; pp. 391–457. [Google Scholar]











| Indexes of the Mode | Natural CCN Spectrum | Seeding CCN Spectrum | ||||
|---|---|---|---|---|---|---|
| i | /μm | /μm | ||||
| 1 | 9.93 × 104 | 0.0039 | 0.00651 | 350 | 0.15 | 0.2 |
| 2 | 1.11 × 103 | 0.00714 | 0.666 | 0.245 | 0.5 | 0.4 |
| 3 | 3.64 × 104 | 0.0248 | 0.337 | 8.05 × 10−4 | 5 | 0.6 |
| Experiment | Diameter (µm) | Number Concentration (cm−3) | Precipitation Variation (%) |
|---|---|---|---|
| C01 | 0.1 | 5.4508 × 105 | −82.00 |
| C02 | 0.2 | 6.8135 × 104 | −69.29 |
| C03 | 0.3 | 2.0188 × 104 | −61.73 |
| C04 | 0.4 | 8.5169 × 103 | −43.85 |
| C05 | 0.5 | 4.3607 × 103 | −30.76 |
| C06 | 0.6 | 2.5235 × 103 | −21.87 |
| C07 | 0.7 | 1.5892 × 103 | −14.50 |
| C08 | 0.8 | 1.0646 × 103 | −10.44 |
| C09 | 0.9 | 7.4771 × 102 | −7.99 |
| C11 | 1 | 5.4508 × 102 | −4.78 |
| C12 | 2 | 6.8135 × 101 | +0.72 |
| C13 | 3 | 2.0188 × 101 | +0.53 |
| C14 | 4 | 8.5169 × 100 | +2.98 |
| C15 | 5 | 4.3607 × 100 | +24.11 |
| C16 | 6 | 2.5235 × 100 | +15.92 |
| C17 | 7 | 1.5892 × 100 | +74.70 |
| C18 | 8 | 1.0646 × 100 | +63.75 |
| C19 | 9 | 7.4771 × 10−1 | +94.32 |
| C21 | 10 | 5.4508 × 10−1 | +110.59 |
| C22 | 20 | 6.8135 × 10−2 | +128.46 |
| C23 | 30 | 2.0188 × 10−2 | +157.40 |
| C24 | 40 | 8.5169 × 10−3 | +161.69 |
| C25 | 50 | 4.3607 × 10−3 | +161.07 |
| C26 | 60 | 2.5235 × 10−3 | +192.34 |
| C27 | 70 | 1.5892 × 10−3 | +162.91 |
| C28 | 80 | 1.0646 × 10−3 | +159.98 |
| C29 | 90 | 7.4771 × 10−4 | +159.96 |
Disclaimer/Publisher’s Note: The statements, opinions and data contained in all publications are solely those of the individual author(s) and contributor(s) and not of MDPI and/or the editor(s). MDPI and/or the editor(s) disclaim responsibility for any injury to people or property resulting from any ideas, methods, instructions or products referred to in the content. |
© 2025 by the authors. Licensee MDPI, Basel, Switzerland. This article is an open access article distributed under the terms and conditions of the Creative Commons Attribution (CC BY) license (https://creativecommons.org/licenses/by/4.0/).
Share and Cite
Ren, X.; Yin, Y.; Chen, Q.; Hua, S.; Liu, Y.; Chen, B. From Suppression to Enhancement: How Hygroscopic Seeding Particle Size Influences the Microphysical Processes and Precipitation Formation in Cumulus Clouds. Atmosphere 2025, 16, 1340. https://doi.org/10.3390/atmos16121340
Ren X, Yin Y, Chen Q, Hua S, Liu Y, Chen B. From Suppression to Enhancement: How Hygroscopic Seeding Particle Size Influences the Microphysical Processes and Precipitation Formation in Cumulus Clouds. Atmosphere. 2025; 16(12):1340. https://doi.org/10.3390/atmos16121340
Chicago/Turabian StyleRen, Xiantong, Yan Yin, Qian Chen, Shaofeng Hua, Yubao Liu, and Baojun Chen. 2025. "From Suppression to Enhancement: How Hygroscopic Seeding Particle Size Influences the Microphysical Processes and Precipitation Formation in Cumulus Clouds" Atmosphere 16, no. 12: 1340. https://doi.org/10.3390/atmos16121340
APA StyleRen, X., Yin, Y., Chen, Q., Hua, S., Liu, Y., & Chen, B. (2025). From Suppression to Enhancement: How Hygroscopic Seeding Particle Size Influences the Microphysical Processes and Precipitation Formation in Cumulus Clouds. Atmosphere, 16(12), 1340. https://doi.org/10.3390/atmos16121340

