Study on Atmospheric Boundary Layer Retrieval Method and Observation Data Analysis Based on Aerosol Lidar
Abstract
1. Introduction
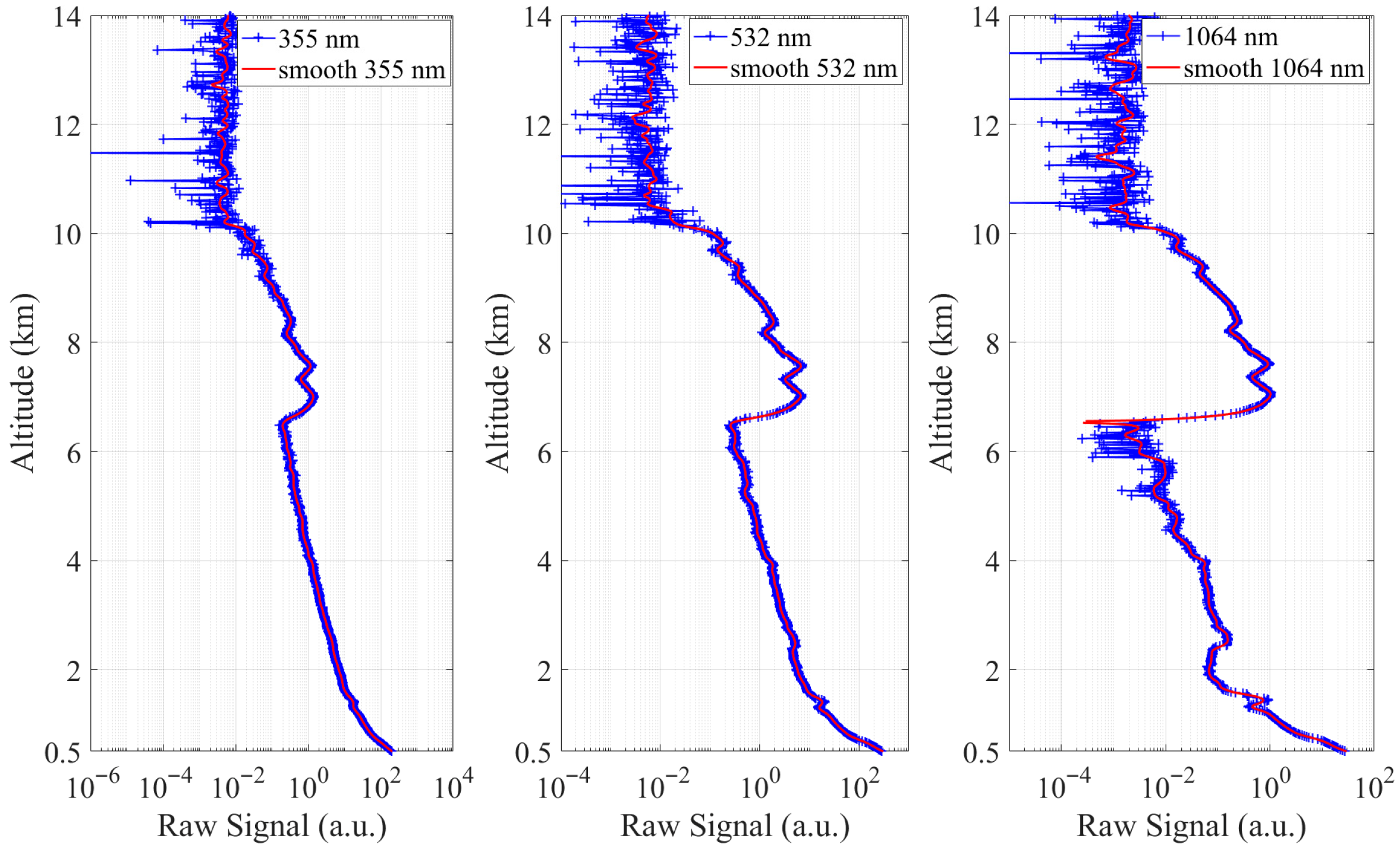
2. The MWAL and Observation Campaign
3. The BLH Determination
3.1. The Retrieval Method of BLH
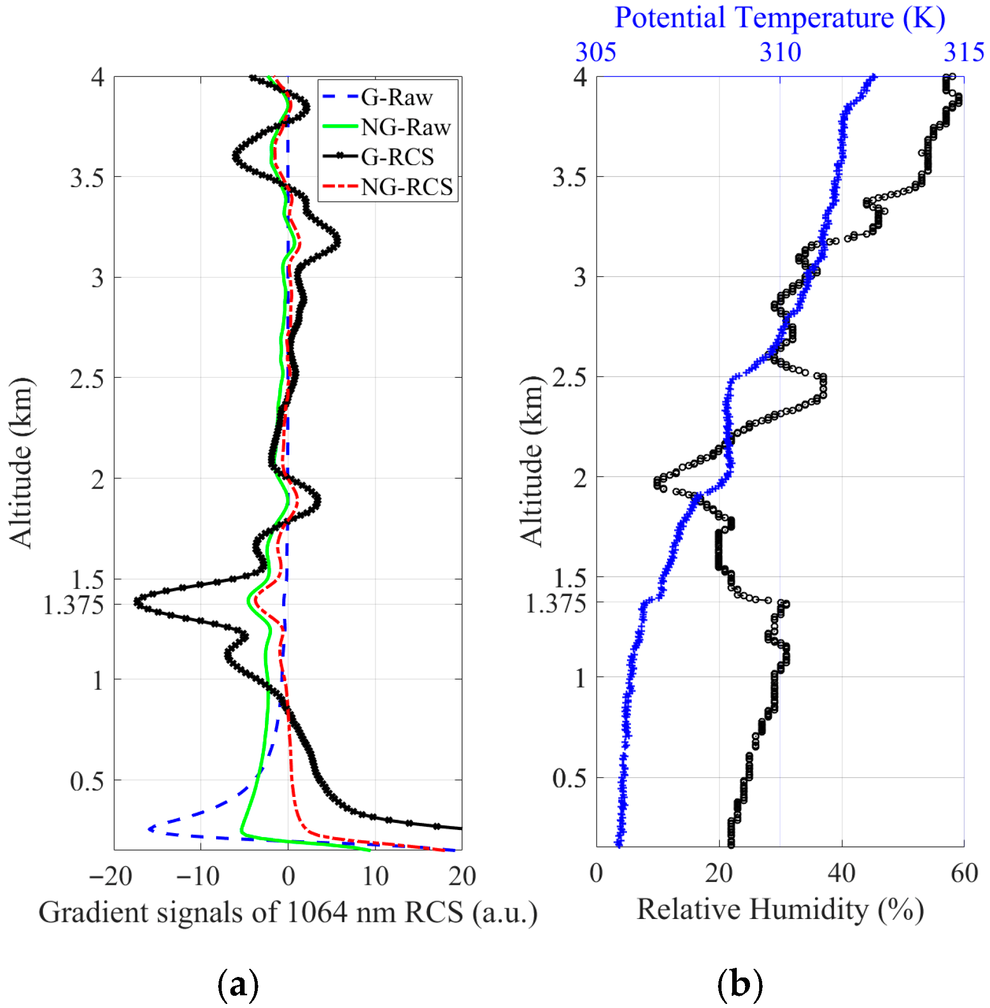
3.2. BLH-Retrieval Process
4. Results and Discussion
4.1. Analysis of the Diurnal Variation in BLH
4.2. Analysis of the Monthly Variation in BLH
5. Conclusions
Author Contributions
Funding
Institutional Review Board Statement
Informed Consent Statement
Data Availability Statement
Acknowledgments
Conflicts of Interest
References
- Chang, L.; Li, J.; Chu, Y.; Dong, Y.; Tan, W.; Xu, X.; Ren, J.; Tian, X.; Li, C.; Liu, Z.; et al. Variability of Surface Aerosol Properties at an Urban Site in Beijing Based on Two Years of In-situ Measurements. Atmos. Res. 2021, 256, 105562. [Google Scholar] [CrossRef]
- Garnés-Morales, G.; Costa, M.J.; Bravo-Aranda, J.A.; Granados-Muñoz, M.J.; Salgueiro, V.; Abril-Gago, J.; Fernández-Carvelo, S.; Andújar-Maqueda, J.; Valenzuela, A.; Foyo-Moreno, I.; et al. Four Years of Atmospheric Boundary Layer Height Retrievals Using COSMIC-2 Satellite Data. Remote Sens. 2024, 16, 1632. [Google Scholar] [CrossRef]
- Yang, S.; Cheng, F.; Wang, L.; Wang, S.; Hsu, C. Impact of lidar data assimilation on planetary boundary layer wind and PM2.5 prediction in Taiwan. Atmos. Environ. 2022, 277, 119064. [Google Scholar] [CrossRef]
- Miao, Y.; Liu, S.; Guo, J.; Huang, S.; Yan, Y.; Lou, M. Unraveling the Relationships between Boundary Layer Height and PM2.5 Pollution in China Based on Four-year Radiosonde Measurements. Environ. Pollut. 2018, 243, 1186–1195. [Google Scholar] [CrossRef]
- Rader, F.; Traversi, R.; Severi, M.; Becagli, S.; Müller, K.-J.; Nakoudi, K.; Ritter, C. Overview of Aerosol Properties in the European Arctic in Spring 2019 Based on In Situ Measurements and Lidar Data. Atmosphere 2021, 12, 271. [Google Scholar] [CrossRef]
- Wu, S.; Song, X.; Liu, B.; Dai, G.; Zhang, K.; Qin, S.; Gao, F.; Hua, D. Mobile Multi-wavelength Polarization Raman Lidar for Water Vapor, Cloud and Aerosol Measurement. Opt. Express 2015, 23, 33870–33892. [Google Scholar] [CrossRef]
- Wang, L.; Wan, B.; Yang, Y.; Fan, S.; Jing, Y.; Cheng, X.; Gao, Z.; Miao, S.; Zou, H. Atmospheric Boundary Layer Stability in Urban Beijing: Insights from Meteorological Tower and Doppler Wind Lidar. Remote Sens. 2024, 16, 4246. [Google Scholar] [CrossRef]
- Fang, Z.; Li, S.; Yang, H.; Kuang, Z. A Dual-Wavelength Lidar Boundary Layer Height Detection Fusion Method and Case Analysis. Photonics 2025, 12, 741. [Google Scholar] [CrossRef]
- Liu, D.; Yang, Y.; Cheng, Z.; Huang, H.; Zhang, B.; Ling, T.; Shen, Y. Retrieval and Analysis of a Polarized High-spectral-resolution Lidar for Profiling Aerosol Optical Properties. Opt. Express 2013, 21, 13084–13093. [Google Scholar] [CrossRef] [PubMed]
- Qiu, C.; Wang, X.; Li, H.; Zhou, K.; Zhang, J.; Li, Z.; Liu, D.; Yuan, H. A Comparison of Atmospheric Boundary Layer Height Determination Methods Using GNSS Radio Occultation Data. Atmosphere 2023, 14, 1654. [Google Scholar] [CrossRef]
- Zhang, M.; Tian, P.; Zeng, H.; Wang, L.; Liang, J.; Cao, X.; Zhang, L. A Comparison of Wintertime Atmospheric Boundary Layer Heights Determined by Tethered Balloon Soundings and Lidar at the Site of SACOL. Remote Sens. 2021, 13, 1781. [Google Scholar] [CrossRef]
- Bellini, A.; Diémoz, H.; Gobbi, G.P.; Di Liberto, L.; Bracci, A.; Barnaba, F. Aerosols in the Mixed Layer and Mid-Troposphere from Long-Term Data of the Italian Automated Lidar-Ceilometer Network (ALICENET) and Comparison with the ERA5 and CAMS Models. Remote Sens. 2025, 17, 372. [Google Scholar] [CrossRef]
- Song, X.; Lian, W.; Wang, F.; Jiang, P.; Wang, J. A Shipborne Doppler Lidar Investigation of the Winter Marine Atmospheric Boundary Layer over Southeastern China’s Coastal Waters. Remote Sens. 2025, 17, 2161. [Google Scholar] [CrossRef]
- Li, X.; Ma, Y.; Wang, Y.; Wei, W.; Zhang, Y.; Liu, N.; Hong, Y. Vertical distribution of particulate matter and its relationship with planetary boundary layer structure in Shenyang, northeast China. Aerosol Air Qual. Res. 2019, 19, 2464–2476. [Google Scholar] [CrossRef]
- Kotthaus, S.; Bravo-Aranda, J.A.; Coen, M.C.; Guerrero-Rascado, J.L.; Costa, M.J.; Cimini, D.; O’Connor, E.J.; Hervo, M.; Alados-Arboledas, L.; Jiménez-Portaz, M.; et al. Atmospheric boundary layer height from ground-based remote sensing: A review of capabilities and limitations. Atmos. Meas. Tech. 2023, 16, 433–479. [Google Scholar] [CrossRef]
- Dong, Z.; Li, Z.; Yu, X.; Cribb, M.; Li, X.; Dai, J. Opposite long-term trends in aerosols between lower and higher altitudes: A testimony to the aerosol-PBL feedback. Atmos. Chem. Phys. 2017, 17, 7997–8009. [Google Scholar] [CrossRef]
- Wei, T.; Wang, M.; Wu, K.; Yuan, J.; Xia, H.; Lolli, S. Characterizing urban planetary boundary layer dynamics using 3-year Doppler wind lidar measurements in a western Yangtze River Delta city, China. Atmos. Meas. Tech. 2025, 18, 1841–1857. [Google Scholar] [CrossRef]
- Chen, C.; Song, X.; Wang, Z.; Chen, Y.; Wang, X.; Bu, Z.; Zhang, X.; Zhuang, Q.; Pan, X.; Li, H.; et al. Calibration Methods of Atmospheric Aerosol Lidar and a Case Study of Haze Process. Front. Phys. 2022, 10, 942926. [Google Scholar] [CrossRef]
- Chen, C.; Song, X.; Wang, Z.; Wang, W.; Wang, X.; Zhuang, Q.; Liu, X.; Li, H.; Ma, K.; Li, X.; et al. Observations of atmospheric aerosol and cloud using a polarized Micropulse Lidar in Xi’an, China. Atmosphere 2021, 12, 796. [Google Scholar] [CrossRef]
- Yang, T.; Wang, Z.; Zhang, W.; Gbaguidi, A.; Sugimoto, N.; Wang, X.; Matsui, I.; Sun, Y. Technical note: Boundary Layer Height Determination from Lidar for Improving Air Pollution Episode Modeling: Development of New Algorithm and Evaluation. Atmos. Chem. Phys. 2017, 17, 6215–6225. [Google Scholar] [CrossRef]
- Mao, F.; Gong, W.; Song, S.; Zhu, Z. Determination of the boundary layer top from lidar backscatter profiles using a Haar wavelet method over Wuhan, China. Opt. Laser Technol. 2013, 49, 343–349. [Google Scholar] [CrossRef]
- Wang, W.; Gong, W.; Mao, F.; Pan, Z. An Improved Iterative Fitting Method to Estimate Nocturnal Residual Layer Height. Atmosphere 2016, 7, 106. [Google Scholar] [CrossRef]
- Zhang, Y.; Chen, S.; Chen, S.; Chen, H.; Guo, P. A novel lidar gradient cluster analysis method of nocturnal boundary layer detection during air pollution episodes. Atmos. Meas. Tech. 2020, 13, 6675–6689. [Google Scholar] [CrossRef]
- Caicedo, V.; Rappenglueck, B.; Lefer, B.; Morris, G.; Toledo, D.; Delgado, R. Comparison of aerosol LIDAR retrieval methods for boundary layer height detection using ceilometer backscatter data. Atmos. Meas. Tech. Discuss. 2016, 340, 1–24. [Google Scholar] [CrossRef]
- Liu, Y.; Luo, T.; Yang, K.; Zhang, H.; Zhu, L.; Shao, S.; Cui, S.; Li, X.; Weng, N. Estimation of Atmospheric Boundary Layer Turbulence Parameters over the South China Sea Based on Multi-Source Data. Remote Sens. 2025, 17, 1929. [Google Scholar] [CrossRef]
- Su, T.; Zheng, Y.; Li, Z. Methodology to determine the coupling of continental clouds with surface and boundary layer height under cloudy conditions from lidar and meteorological data. Atmos. Chem. Phys. 2022, 22, 1453–1466. [Google Scholar] [CrossRef]
- Shen, X.; Kong, W.; Ma, R.; Chen, T.; Liu, Y.; Huang, G.; Shu, R. Lidar cloud and aerosol layer detection method based on point cloud filtering. Opt. Express 2024, 32, 19. [Google Scholar] [CrossRef]
- D’Amico, G.; Arienzo, A.; Vivone, G.; Amodeo, A.; Cardellicchio, F.; Gumà-Claramunt, P.; De Rosa, B.; Di Girolamo, P.; Gandolfi, I.; Giunta, A.; et al. Atmospheric Boundary Layer Height Estimation from Lidar Observations: Assessment and Validation of MIPA Algorithm. Remote Sens. 2025, 17, 2748. [Google Scholar] [CrossRef]
- Chu, Y.; Lin, G.; Deng, M.; Guo, H.; Zhang, J.A. Characterizing Seasonal Variation of the Atmospheric Mixing Layer Height Using Machine Learning Approaches. Remote Sens. 2025, 17, 1399. [Google Scholar] [CrossRef]










| Parameters | Specifications |
|---|---|
| Transmitter | |
| Laser type | Lamp-pumped Nd:YAG |
| Laser wavelength | 355 nm, 532 nm, 1064 nm |
| Pulse energy | 40 mJ@ 355 nm, 30 mJ@532 nm, and 60 mJ@1064 nm |
| Pulse duration | 10 ns |
| Pulse repetition frequency | 20 Hz |
| Beam divergence | 200 µrad |
| Receiver | |
| Telescope type | Schmidt–Cassegrain |
| Telescope diameter | 12-inch |
| Field of view | 500 µrad |
| Receiving channels | 355 nm, 387 nm, 532 nm-P, 532 nm-S, 607 nm, and 1064 nm |
| Detector type | APD for 1064 nm PMT for 355 nm, 387 nm, 532 nm-P, 532 nm-S, and 607 nm |
| Range resolution | 15 m |
| Detection range | 0.1~20 km |
| Algorithm | Calculation Formula |
|---|---|
| G-Raw | |
| NG-Raw | |
| G-RCS | |
| NG-RCS |
| Month | Days with Complete Data | No-Data Days | Valid Hourly Data Count |
|---|---|---|---|
| 1 | 27 | 3 | 667 |
| 2 | 20 | 0 | 593 |
| 3 | 21 | 5 | 587 |
| 4 | 22 | 2 | 611 |
| 5 | 18 | 3 | 551 |
| 6 | 19 | 4 | 541 |
| 7 | 18 | 1 | 624 |
| 8 | 14 | 3 | 527 |
| 9 | 18 | 4 | 540 |
| 10 | 23 | 2 | 621 |
| 11 | 17 | 6 | 452 |
| 12 | 11 | 13 | 306 |
Disclaimer/Publisher’s Note: The statements, opinions and data contained in all publications are solely those of the individual author(s) and contributor(s) and not of MDPI and/or the editor(s). MDPI and/or the editor(s) disclaim responsibility for any injury to people or property resulting from any ideas, methods, instructions or products referred to in the content. |
© 2025 by the authors. Licensee MDPI, Basel, Switzerland. This article is an open access article distributed under the terms and conditions of the Creative Commons Attribution (CC BY) license (https://creativecommons.org/licenses/by/4.0/).
Share and Cite
Chen, C.; Sui, B.; Wang, Z.; Sun, B.; Li, H.; Pan, X.; Shentu, G.; Zhuang, Q.; Li, X.; Chen, H.; et al. Study on Atmospheric Boundary Layer Retrieval Method and Observation Data Analysis Based on Aerosol Lidar. Atmosphere 2025, 16, 1323. https://doi.org/10.3390/atmos16121323
Chen C, Sui B, Wang Z, Sun B, Li H, Pan X, Shentu G, Zhuang Q, Li X, Chen H, et al. Study on Atmospheric Boundary Layer Retrieval Method and Observation Data Analysis Based on Aerosol Lidar. Atmosphere. 2025; 16(12):1323. https://doi.org/10.3390/atmos16121323
Chicago/Turabian StyleChen, Chao, Bingao Sui, Zhangjun Wang, Baoqing Sun, Hui Li, Xin Pan, Guoliang Shentu, Quanfeng Zhuang, Xianxin Li, Hao Chen, and et al. 2025. "Study on Atmospheric Boundary Layer Retrieval Method and Observation Data Analysis Based on Aerosol Lidar" Atmosphere 16, no. 12: 1323. https://doi.org/10.3390/atmos16121323
APA StyleChen, C., Sui, B., Wang, Z., Sun, B., Li, H., Pan, X., Shentu, G., Zhuang, Q., Li, X., Chen, H., & Jiang, W. (2025). Study on Atmospheric Boundary Layer Retrieval Method and Observation Data Analysis Based on Aerosol Lidar. Atmosphere, 16(12), 1323. https://doi.org/10.3390/atmos16121323

