Fire-Enhanced Soil Carbon Sequestration in Wetlands: A 5000-Year Record from the Ussuri River, Northeast China
Abstract
1. Introduction
2. Regional Setting
3. Materials and Methods
3.1. Field Sampling and Chronology Construction
3.2. Charcoal and Soil Organic Carbon Analyses
3.3. Fire-History Reconstruction
4. Results
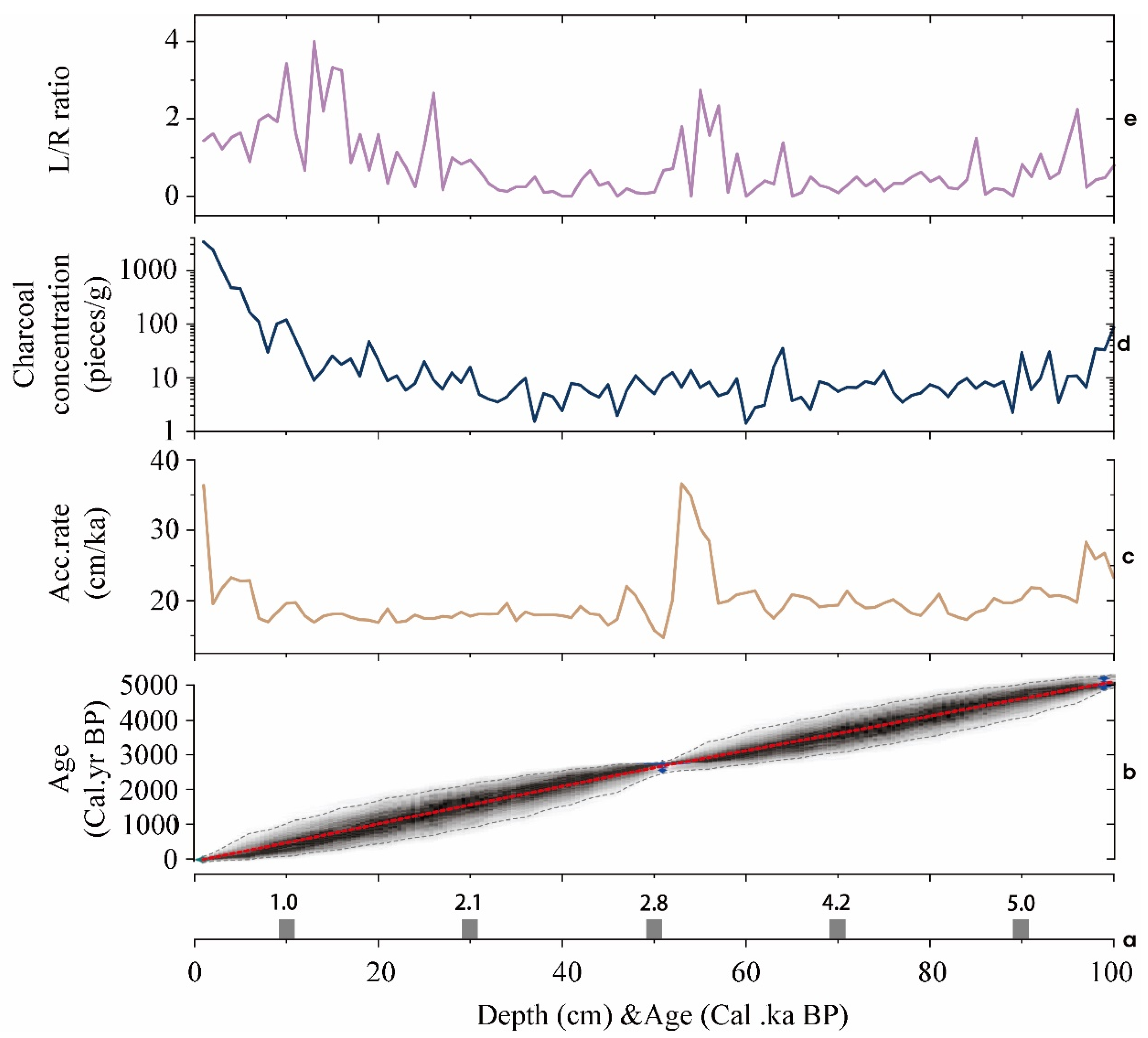
4.1. Chronology
4.2. Charcoal Concentration and Paleovegetation
4.3. Fire History and Carbon Accumulation Rate (CAR)
4.4. Carbon Sequestration Versus Fire Regime
5. Discussion
5.1. Wetland Fire History
5.2. Fire Regimes and Wetland Soil Organic Carbon
5.3. The Future Role of Wetlands in the Carbon Cycle
6. Conclusions
Author Contributions
Funding
Institutional Review Board Statement
Informed Consent Statement
Data Availability Statement
Conflicts of Interest
References
- Randerson, J.T.; Liu, H.; Flanner, M.G.; Chambers, S.D.; Jin, Y.; Hess, P.G.; Pfister, G.; Mack, M.; Treseder, K.; Welp, L. The impact of boreal forest fire on climate warming. Science 2006, 314, 1130–1132. [Google Scholar] [CrossRef]
- Knicker, H. How does fire affect the nature and stability of soil organic nitrogen and carbon? A review. Biogeochemistry 2007, 85, 91–118. [Google Scholar] [CrossRef]
- Wiedinmyer, C.; Quayle, B.; Geron, C.; Belote, A.; Mckenzie, D.; Zhang, X.; O’neill, S.; Wynne, K.K. Estimating emissions from fires in North America for air quality modeling. Atmos. Environ. 2006, 40, 3419–3432. [Google Scholar] [CrossRef]
- Oluwole, F.A.; Sambo, J.M.; Sikhalazo, D. Long-term effects of different burning frequencies on the dry savannah grassland in South Africa. Afr. J. Agric. Res. 2008, 3, 147–153. [Google Scholar]
- Hatten, J.; Zabowski, D. Changes in soil organic matter pools and carbon mineralization as influenced by fire severity. Soil Sci. Soc. Am. J. 2009, 73, 262–273. [Google Scholar] [CrossRef]
- Bremer, D.J.; Ham, J.M. Net carbon fluxes over burned and unburned native tallgrass prairie. Rangel. Ecol. Manag. 2010, 63, 72–81. [Google Scholar] [CrossRef]
- Werf, G.; Randerson, J.T.; Giglio, L.; Collatz, G.J.; Kasibhatla, P.S.; Arellano, A.F., Jr. Interannual variability in global biomass burning emissions from 1997 to 2004. Atmos. Chem. Phys. 2006, 6, 3423–3441. [Google Scholar] [CrossRef]
- Kaye, J.P.; Romanyà, J.; Vallejo, V.R. Plant and soil carbon accumulation following fire in Mediterranean woodlands in Spain. Oecologia 2010, 164, 533–543. [Google Scholar] [CrossRef]
- Jobbágy, E.G.; Jackson, R.B. The vertical distribution of soil organic carbon and its relation to climate and vegetation. Ecol. Appl. 2000, 10, 423–436. [Google Scholar] [CrossRef]
- Fernández, I.; Cabaneiro, A.; Carballas, T. Carbon mineralization dynamics in soils after wildfires in two Galician forests. Soil Biol. Biochem. 1999, 31, 1853–1865. [Google Scholar] [CrossRef]
- Gao, C.; Wang, G.; Cong, J.; Freeman, C.; Jiang, M.; Qin, L. High intensity fire accelerates accumulation of a stable carbon pool in permafrost peatlands under climate warming. CATENA 2023, 227, 107108. [Google Scholar] [CrossRef]
- Gordon, C.E.; Bendall, E.R.; Stares, M.G.; Collins, L.; Bradstock, R.A. Aboveground carbon sequestration in dry temperate forests varies with climate not fire regime. Glob. Change Biol. 2018, 24, 4280–4292. [Google Scholar] [CrossRef]
- Van Bellen, S.; Garneau, M.; Ali, A.A.; Bergeron, Y. Did fires drive Holocene carbon sequestration in boreal ombrotrophic peatlands of eastern Canada? Quat. Res. 2012, 78, 50–59. [Google Scholar] [CrossRef]
- An, Z. The history and variability of the East Asian paleomonsoon climate. Quat. Sci. Rev. 2000, 19, 171–187. [Google Scholar] [CrossRef]
- Zhang, Z.; Yao, Q.; Liu, K.b.; Xu, Q.; Wang, G. Hydrological regime responses to Holocene East Asian summer monsoon circulation in marshes of the Sanjiang Plain, NE China. Land Degrad. Dev. 2020, 31, 240–250. [Google Scholar] [CrossRef]
- Shi, Y.; Shen, Y.; Kang, E.; Li, D.; Ding, Y.; Zhang, G.; Hu, R. Recent and future climate change in northwest China. Clim. Change 2007, 80, 379–393. [Google Scholar] [CrossRef]
- Cong, J.; Gao, C.; Zhang, Y.; Zhang, S.; He, J.; Wang, G. Dating the period when intensive anthropogenic activity began to influence the Sanjiang Plain, Northeast China. Sci. Rep. 2016, 6, 22153. [Google Scholar] [CrossRef] [PubMed]
- Tan, Z.; Huang, C.; Pang, J.; Ding, M. Wildfire history and human land use over Weihe River Basin since Holocene: Evidence from charcoal records. J. Jilin Univ. Earth Sci. Ed. 2014, 44, 1297–1306. [Google Scholar]
- Higuera, P.E.; Brubaker, L.B.; Anderson, P.M.; Hu, F.S.; Brown, T.A. Vegetation mediated the impacts of postglacial climate change on fire regimes in the south-central Brooks Range, Alaska. Ecol. Monogr. 2009, 79, 201–219. [Google Scholar] [CrossRef]
- Marguerie, D.; Krause, T.R.; Whitlock, C. What was burning in the past? Charcoal identifications supplement an early-Holocene fire-history reconstruction in Yellowstone National Park, USA. Quat. Int. 2021, 20, 593–594. [Google Scholar] [CrossRef]
- Petra, A.; Istrate, D. The comparative use of charcoal frequency, area and morphology to reconstruct fire history in a late Holocene peat sequence from NW Romania. Mires Peat 2023, 29, 11. [Google Scholar] [CrossRef]
- Cui, Q.; Gaillard, M.J.; Vannière, B.; Colombaroli, D.; Lemdahl, G.; Olsson, F.; Benito, B.; Zhao, Y. Evaluating fossil charcoal representation in small peat bogs: Detailed holocene fire records from southern sweden. Holocene 2020, 30, 1540–1551. [Google Scholar] [CrossRef]
- Umbanhowar, C.E., Jr.; Mcgrath, M.J. Experimental production and analysis of microscopic charcoal from wood, leaves and grasses. Holocene 1998, 8, 341–346. [Google Scholar] [CrossRef]
- Zhang, J.; Lv, H. Preliminary study of charcoal morphology and its environmental significance. Quat. Sci. 2006, 26, 857–863. [Google Scholar]
- Millspaugh, S.H.; Whitlock, C. A 750-year fire history based on lake sediment records in central Yellowstone National Park, USA. Holocene 1995, 5, 283–292. [Google Scholar] [CrossRef]
- Glasspool, I.J.; Edwards, D.; Axe, L. Charcoal in the Early Devonian: A wildfire-derived Konservat–Lagerstätte. Rev. Palaeobot. Palynol. 2006, 142, 131–136. [Google Scholar] [CrossRef]
- Scott, A.C. Charcoal recognition, taphonomy and uses in palaeoenvironmental analysis. Palaeogeogr. Palaeoclimatol. Palaeoecol. 2010, 291, 11–39. [Google Scholar] [CrossRef]
- Huang, C.; Pang, J.; Su, H.; Han, J.; Cao, Y.; Zhao, W.; Tan, Z. Charcoal records of fire history in the Holocene loess–soil sequences over the southern Loess Plateau of China. Palaeogeogr. Palaeoclimatol. Palaeoecol. 2006, 239, 28–44. [Google Scholar] [CrossRef]
- Jiang, W.; Leroy, S.A.; Ogle, N.; Chu, G.; Wang, L.; Liu, J. Natural and anthropogenic forest fires recorded in the Holocene pollen record from a Jinchuan peat bog, northeastern China. Palaeogeogr. Palaeoclimatol. Palaeoecol. 2008, 261, 47–57. [Google Scholar] [CrossRef]
- Wang, X.; Ding, Z. Changes in fire regimes on the Chinese Loess Plateau since the last glacial maximum and implications for linkages to paleoclimate and past human activity. Palaeogeogr. Palaeoclimatol. Palaeoecol. 2012, 315, 61–74. [Google Scholar] [CrossRef]
- Markgraf, V.; Huber, U.M. Late and postglacial vegetation and fire history in Southern Patagonia and Tierra del Fuego. Palaeogeogr. Palaeoclimatol. Palaeoecol. 2010, 297, 351–366. [Google Scholar] [CrossRef]
- Clark, J.S. Particle motion and the theory of charcoal analysis: Source area, transport, deposition, and sampling. Quat. Res. 1988, 30, 67–80. [Google Scholar] [CrossRef]
- Tinner, W.; Hofstetter, S.; Zeugin, F.; Conedera, M.; Wohlgemuth, T.; Zimmermann, L.; Zweifel, R. Long-distance transport of macroscopic charcoal by an intensive crown fire in the Swiss Alps-implications for fire history reconstruction. Holocene 2006, 16, 287–292. [Google Scholar] [CrossRef]
- Rhodes, A.N. Moorland Fire History from Microscopic Charcoal in Soils and Lake Sediments. Ph.D. Thesis, Newcastle University, Newcastle upon Tyne, UK, 1996. [Google Scholar]
- Clark, J.; Richard, P. The role of paleofire in boreal and other cool-coniferous forests. In Fire in Ecosystems of Boreal Eurasia; Springer: Dordrecht, The Netherlands, 1996; pp. 65–89. [Google Scholar]
- Ali, A.A.; Carcaillet, C.; Bergeron, Y. Long-term fire frequency variability in the eastern Canadian boreal forest: The influences of climate vs. local factors. Global Change Biol. 2009, 15, 1230–1241. [Google Scholar] [CrossRef]
- Hély, C.; Girardin, M.P.; Ali, A.A.; Carcaillet, C.; Brewer, S.; Bergeron, Y. Eastern boreal North American wildfire risk of the past 7000 years: A model-data comparison. Geophys. Res. Lett. 2010, 37, L14709. [Google Scholar] [CrossRef]
- Bergeron, Y.; Cyr, D.; Girardin, M.P.; Carcaillet, C. Will climate change drive 21st century burn rates in Canadian boreal forest outside of its natural variability: Collating global climate model experiments with sedimentary charcoal data. Int. J. Wildland Fire 2010, 19, 1127–1139. [Google Scholar] [CrossRef]
- Hong, Y.; Jiang, H.; Liu, T.; Zhou, L.; Beer, J.; Li, H.; Leng, X.; Hong, B.; Qin, X. Response of climate to solar forcing recorded in a 6000-year δ18O time-series of Chinese peat cellulose. Holocene 2000, 10, 1–7. [Google Scholar] [CrossRef]
- Li, C.; Wu, Y.; Hou, X. Holocene vegetation and climate in Northeast China revealed from Jingbo Lake sediment. Quat. Int. 2011, 229, 67–73. [Google Scholar] [CrossRef]
- Zhao, H.; Tong, D.Q.; Lin, Q.; Lu, X.; Wang, G. Effect of fires on soil organic carbon pool and mineralization in a Northeastern China wetland. Geoderma 2012, 189, 532–539. [Google Scholar] [CrossRef]
- Turetsky, M.R.; Benscoter, B.; Page, S.; Rein, G.; Van Der Werf, G.R.; Watts, A. Global vulnerability of peatlands to fire and carbon loss. Nat. Geosci. 2015, 8, 11–14. [Google Scholar] [CrossRef]
- Wang, X.; Zhang, G.; Xu, Y.J.; Sun, G. Identifying the regional-scale groundwater-surface water interaction on the Sanjiang Plain, Northeast China. Environ. Sci. Pollut. Res. Int. 2015, 22, 16951–16961. [Google Scholar] [CrossRef] [PubMed]
- Wang, H.; Richardson, C.J.; Ho, M. Dual controls on carbon loss during drought in peatlands. Nat. Clim. Change 2015, 5, 584–587. [Google Scholar] [CrossRef]
- Song, K.; Wang, Z.; Du, J.; Liu, L.; Zeng, L.; Ren, C. Wetland degradation: Its driving forces and environmental impacts in the Sanjiang Plain, China. Environ. Manag. 2014, 54, 255–271. [Google Scholar] [CrossRef] [PubMed]
- Song, C.; Xu, X.; Tian, H.; Wang, Y. Ecosystem–atmosphere exchange of CH4 and N2O and ecosystem respiration in wetlands in the Sanjiang Plain, Northeastern China. Global Change Biol. 2009, 15, 692–705. [Google Scholar] [CrossRef]





Disclaimer/Publisher’s Note: The statements, opinions and data contained in all publications are solely those of the individual author(s) and contributor(s) and not of MDPI and/or the editor(s). MDPI and/or the editor(s) disclaim responsibility for any injury to people or property resulting from any ideas, methods, instructions or products referred to in the content. |
© 2025 by the authors. Licensee MDPI, Basel, Switzerland. This article is an open access article distributed under the terms and conditions of the Creative Commons Attribution (CC BY) license (https://creativecommons.org/licenses/by/4.0/).
Share and Cite
Zhao, Y.; He, X.; Zhang, Z. Fire-Enhanced Soil Carbon Sequestration in Wetlands: A 5000-Year Record from the Ussuri River, Northeast China. Atmosphere 2025, 16, 1322. https://doi.org/10.3390/atmos16121322
Zhao Y, He X, Zhang Z. Fire-Enhanced Soil Carbon Sequestration in Wetlands: A 5000-Year Record from the Ussuri River, Northeast China. Atmosphere. 2025; 16(12):1322. https://doi.org/10.3390/atmos16121322
Chicago/Turabian StyleZhao, Yan, Xinyuan He, and Zhenqing Zhang. 2025. "Fire-Enhanced Soil Carbon Sequestration in Wetlands: A 5000-Year Record from the Ussuri River, Northeast China" Atmosphere 16, no. 12: 1322. https://doi.org/10.3390/atmos16121322
APA StyleZhao, Y., He, X., & Zhang, Z. (2025). Fire-Enhanced Soil Carbon Sequestration in Wetlands: A 5000-Year Record from the Ussuri River, Northeast China. Atmosphere, 16(12), 1322. https://doi.org/10.3390/atmos16121322
