Sensitivity of Airborne Methane Retrieval Algorithms (MF, ACRWL1MF, and DOAS) to Surface Albedo and Types: Hyperspectral Simulation Assessment
Abstract
1. Introduction
2. Materials and Methods
2.1. Overview of Simulation Framework
2.2. Reflectance Spectra at Various Albedos
2.3. Radiation Spectra Generated by MODTRAN
2.4. Simulation of CH4 Plume and Generation of Synthetic Datasets
2.5. Methods for Detection of CH4
2.5.1. Matched Filter
2.5.2. The Albedo-Corrected Reweighted-L1-Matched Filter
2.5.3. Differential Optical Absorption Spectroscopy
2.6. Statistical Analysis
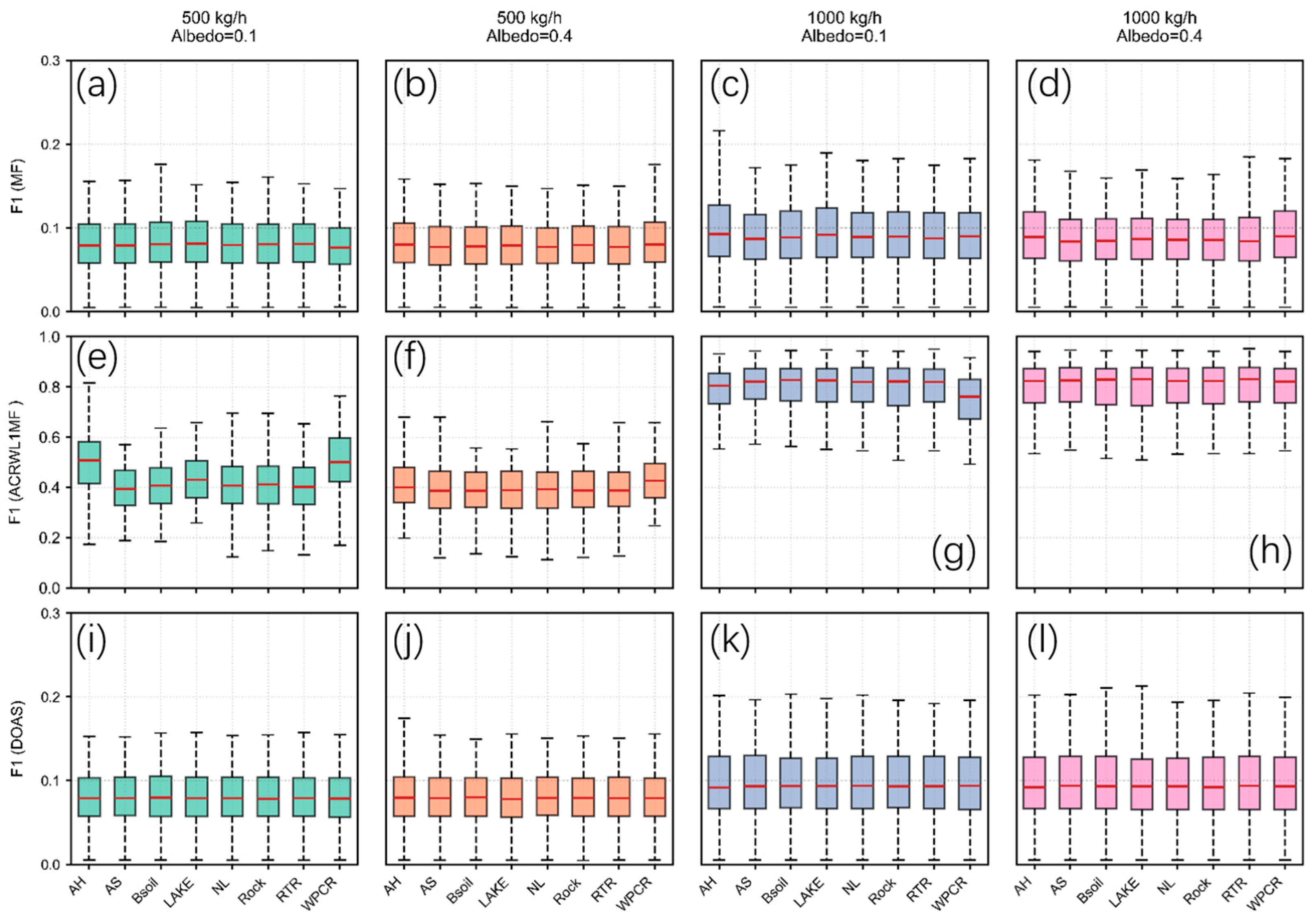
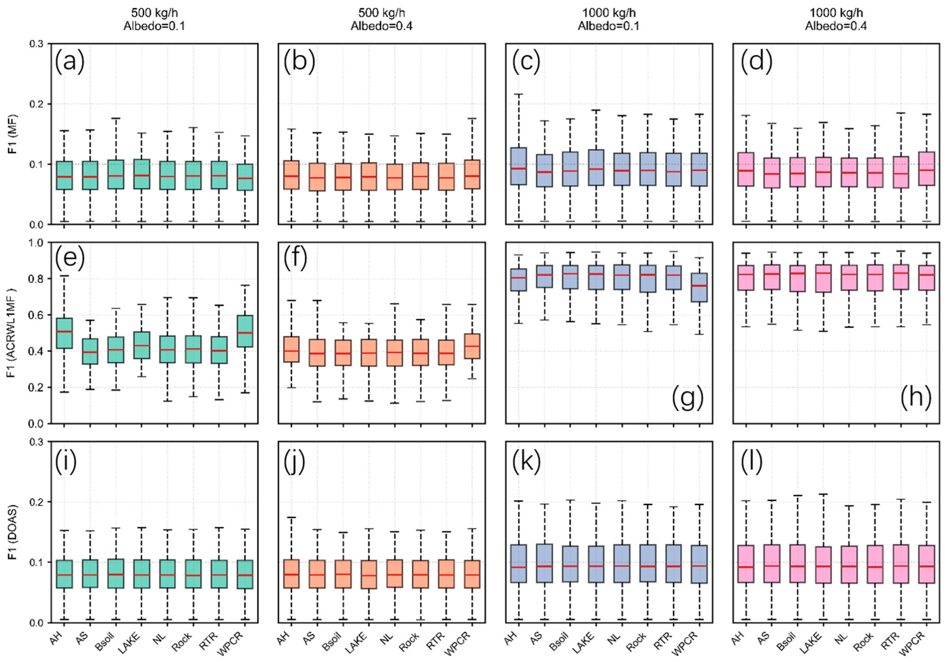
3. Results
3.1. Subsection
Sensitivity of Retrieval Algorithms to Surface Types: Plume Detection Capabilities
3.2. Sensitivity of Algorithms to Surface Albedo
3.3. Sensitivity of Algorithms to Different Emission Rates
3.4. Improvement in CH4 Retrievals and Application to Real AVIRIS-NG Image
| Algorithm 1. DRAMF |
![]() |
4. Discussion
4.1. Different Sensitivities of Retrieved Algorithm to Surface Parameters
4.2. Algorithm Limitations and Improvement Directions
4.3. Actual Application Potential and Challenges
5. Conclusions
Supplementary Materials
Author Contributions
Funding
Institutional Review Board Statement
Informed Consent Statement
Data Availability Statement
Acknowledgments
Conflicts of Interest
References
- Legg, S. IPCC, 2021: Climate Change 2021-the Physical Science Basis. Interaction 2021, 49, 44–45. [Google Scholar] [CrossRef]
- Conrad, B.M.; Tyner, D.R.; Johnson, M.R. Robust Probabilities of Detection and Quantification Uncertainty for Aerial Methane Detection: Examples for Three Airborne Technologies. Remote Sens. Environ. 2023, 288, 113499. [Google Scholar] [CrossRef]
- Bruno, J.H.; Jervis, D.; Varon, D.J.; Jacob, D.J. U-Plume: Automated Algorithm for Plume Detection and Source Quantification by Satellite Point-Source Imagers. Atmos. Meas. Tech. 2024, 17, 2625–2636. [Google Scholar] [CrossRef]
- Joyce, P.; Ruiz Villena, C.; Huang, Y.; Webb, A.; Gloor, M.; Wagner, F.H.; Chipperfield, M.P.; Barrio Guilló, R.; Wilson, C.; Boesch, H. Using a Deep Neural Network to Detect Methane Point Sources and Quantify Emissions from PRISMA Hyperspectral Satellite Images. Atmos. Meas. Tech. 2023, 16, 2627–2640. [Google Scholar] [CrossRef]
- Cusworth, D.H.; Duren, R.M.; Ayasse, A.K.; Jiorle, R.; Howell, K.; Aubrey, A.; Green, R.O.; Eastwood, M.L.; Chapman, J.W.; Thorpe, A.K. Quantifying Methane Emissions from United States Landfills. Science 2024, 383, 1499–1504. [Google Scholar] [CrossRef]
- Cusworth, D.H.; Jacob, D.J.; Varon, D.J.; Chan Miller, C.; Liu, X.; Chance, K.; Thorpe, A.K.; Duren, R.M.; Miller, C.E.; Thompson, D.R. Potential of Next-Generation Imaging Spectrometers to Detect and Quantify Methane Point Sources from Space. Atmos. Meas. Tech. 2019, 12, 5655–5668. [Google Scholar] [CrossRef]
- Jongaramrungruang, S.; Frankenberg, C.; Matheou, G.; Thorpe, A.K.; Thompson, D.R.; Kuai, L.; Duren, R.M. Towards Accurate Methane Point-Source Quantification from High-Resolution 2-D Plume Imagery. Atmos. Meas. Tech. 2019, 12, 6667–6681. [Google Scholar] [CrossRef]
- Middleton, E.B.M.; Green, R.; Hook, S.; Turner, W. NASA’s Future HyspIRI Mission and the EO-1 Hyperion Collections. In Proceedings of the 2011 Hyperspectral Imaging and Sounding of the Environment (HISE) Meeting, Toronto, Canada, 10–14 July 2009. [Google Scholar]
- Hu, H.; Hasekamp, O.; Butz, A.; Galli, A.; Landgraf, J.; Aan de Brugh, J.; Borsdorff, T.; Scheepmaker, R.; Aben, I. The Operational Methane Retrieval Algorithm for TROPOMI. Atmos. Meas. Tech. 2016, 9, 5423–5440. [Google Scholar] [CrossRef]
- Malina, E.; Hu, H.; Landgraf, J.; Veihelmann, B. A Study of Synthetic 13CH4 Retrievals from TROPOMI and Sentinel 5/UVNS Part 1: Non Scattering Atmosphere. Atmos. Meas. Tech. Discuss. 2019, 12, 6273–6301. [Google Scholar] [CrossRef]
- Hulley, G.C.; Duren, R.M.; Hopkins, F.M.; Hook, S.J.; Vance, N.; Guillevic, P.; Johnson, W.R.; Eng, B.T.; Mihaly, J.M.; Jovanovic, V.M. High Spatial Resolution Imaging of Methane and Other Trace Gases with the Airborne Hyperspectral Thermal Emission Spectrometer (HyTES). Atmos. Meas. Tech. 2016, 9, 2393–2408. [Google Scholar] [CrossRef]
- Thorpe, A.; Duren, R.; Tapella, R.; Bue, B.; Foster, K.; Yadav, V.; Rafiq, T.; Hopkins, F.; Gill, K.; Rodriguez, J. Visualizing Anthropogenic Methane Plumes from the California Methane Survey. In Proceedings of the EGU General Assembly Conference Abstracts, Vienna, Austria, 4–8 May 2020; p. 9945. [Google Scholar]
- Thorpe, A.K.; Frankenberg, C.; Thompson, D.R.; Duren, R.M.; Aubrey, A.D.; Bue, B.D.; Green, R.O.; Gerilowski, K.; Krings, T.; Borchardt, J. Airborne DOAS Retrievals of Methane, Carbon Dioxide, and Water Vapor Concentrations at High Spatial Resolution: Application to AVIRIS-NG. Atmos. Meas. Tech. 2017, 10, 3833–3850. [Google Scholar] [CrossRef]
- Badola, A.; Panda, S.K.; Roberts, D.A.; Waigl, C.F.; Bhatt, U.S.; Smith, C.W.; Jandt, R.R. Hyperspectral Data Simulation (Sentinel-2 to Aviris-Ng) for Improved Wildfire Fuel Mapping, Boreal Alaska. Remote Sens. 2021, 13, 1693. [Google Scholar] [CrossRef]
- Broadwater, J.B.; Spisz, T.S.; Carr, A.K. Detection of Gas Plumes in Cluttered Environments Using Long-Wave Infrared Hyperspectral Sensors. In Proceedings of the Chemical, Biological, Radiological, Nuclear, and Explosives (CBRNE) Sensing IX, Orlando, FL, USA, 16–20 March 2008; SPIE: Bellingham, WA, USA, 2008; Volume 6954, pp. 193–204. [Google Scholar]
- Henrot, S.; Chanussot, J.; Jutten, C. Correction to “Dynamical Spectral Unmixing of Multitemporal Hyperspectral Images” [Jul 16 3219-3232]. IEEE Trans. Image Process. 2016, 25, 4443. [Google Scholar] [CrossRef]
- Manolakis, D.; Pieper, M.; Truslow, E.; Lockwood, R.; Weisner, A.; Jacobson, J.; Cooley, T. Longwave Infrared Hyperspectral Imaging: Principles, Progress, and Challenges. IEEE Geosci. Remote Sens. Mag. 2019, 7, 72–100. [Google Scholar] [CrossRef]
- Groshenry, A.; Giron, C.; Lauvaux, T.; d’Aspremont, A.; Ehret, T. Detecting Methane Plumes Using Prisma: Deep Learning Model and Data Augmentation. arXiv 2022, arXiv:2211.15429. [Google Scholar] [CrossRef]
- Thorpe, A.K.; Frankenberg, C.; Aubrey, A.D.; Roberts, D.A.; Nottrott, A.A.; Rahn, T.A.; Sauer, J.A.; Dubey, M.K.; Costigan, K.R.; Arata, C. Mapping Methane Concentrations from a Controlled Release Experiment Using the next Generation Airborne Visible/Infrared Imaging Spectrometer (AVIRIS-NG). Remote Sens. Environ. 2016, 179, 104–115. [Google Scholar] [CrossRef]
- Varchand, H.K.; Pandya, M.R.; Dave, J.A.; Parmar, P.N.; Trivedi, H.J.; Shah, D.B.; Pathak, V.N. CO2 Concentration Retrieval and Emission Rate Estimation over Indian Thermal Power Plants Using Radiative Transfer Approach and AVIRIS-NG Data. Remote Sens. Appl. Soc. Environ. 2024, 33, 101138. [Google Scholar] [CrossRef]
- Ayasse, A.K.; Thorpe, A.K.; Roberts, D.A.; Funk, C.C.; Dennison, P.E.; Frankenberg, C.; Steffke, A.; Aubrey, A.D. Evaluating the Effects of Surface Properties on Methane Retrievals Using a Synthetic Airborne Visible/Infrared Imaging Spectrometer next Generation (AVIRIS-NG) Image. Remote Sens. Environ. 2018, 215, 386–397. [Google Scholar] [CrossRef]
- Chan Miller, C.; Roche, S.; Wilzewski, J.S.; Liu, X.; Chance, K.; Souri, A.H.; Conway, E.; Luo, B.; Samra, J.; Hawthorne, J. Methane Retrieval from MethaneAIR Using the CO2 Proxy Approach: A Demonstration for the Upcoming MethaneSAT Mission. Atmos. Meas. Tech. 2024, 17, 5429–5454. [Google Scholar] [CrossRef]
- Feng, C.; Chen, S.; Zeng, Z.-C.; Luo, Y.; Natraj, V.; Yung, Y.L. Aerosol-Calibrated Matched Filter Method for Retrievals of Methane Point Source Emissions over the Los Angeles Basin. Earth Space Sci. 2024, 11, e2024EA003519. [Google Scholar] [CrossRef]
- Foote, M.D.; Dennison, P.E.; Thorpe, A.K.; Thompson, D.R.; Jongaramrungruang, S.; Frankenberg, C.; Joshi, S.C. Fast and Accurate Retrieval of Methane Concentration from Imaging Spectrometer Data Using Sparsity Prior. IEEE Trans. Geosci. Remote Sens. 2020, 58, 6480–6492. [Google Scholar] [CrossRef]
- Platt, U.; Stutz, J. Differential Absorption Spectroscopy. In Differential Optical Absorption Spectroscopy: Principles and Applications; Springer: Berlin/Heidelberg, Germany, 2008; pp. 135–174. [Google Scholar]
- Butz, A.; Galli, A.; Hasekamp, O.; Landgraf, J.; Tol, P.; Aben, I. TROPOMI Aboard Sentinel-5 Precursor: Prospective Performance of CH4 Retrievals for Aerosol and Cirrus Loaded Atmospheres. Remote Sens. Environ. 2012, 120, 267–276. [Google Scholar] [CrossRef]
- He, H.; Liu, M.; Xiao, X.; Ren, X.; Zhang, L.; Sun, X.; Yang, Y.; Li, Y.; Zhao, L.; Shi, P.; et al. Large-scale Estimation and Uncertainty Analysis of Gross Primary Production in Tibetan Alpine Grasslands. JGR Biogeosci. 2014, 119, 466–486. [Google Scholar] [CrossRef]
- Hasekamp, O.; Litvinov, P.; Fu, G.; Chen, C.; Dubovik, O. Algorithm Evaluation for Polarimetric Remote Sensing of Atmospheric Aerosols. Atmos. Meas. Tech. 2024, 17, 1497–1525. [Google Scholar] [CrossRef]
- Hasekamp, O.P.; Gryspeerdt, E.; Quaas, J. Analysis of Polarimetric Satellite Measurements Suggests Stronger Cooling Due to Aerosol-Cloud Interactions. Nat. Commun. 2019, 10, 5405. [Google Scholar] [CrossRef] [PubMed]
- Lorente, A.; Boersma, K.F.; Stammes, P.; Tilstra, L.G.; Richter, A.; Yu, H.; Kharbouche, S.; Muller, J.-P. The Importance of Surface Reflectance Anisotropy for Cloud and NO 2 Retrievals from GOME-2 and OMI. Atmos. Meas. Tech. 2018, 11, 4509–4529. [Google Scholar] [CrossRef]
- Cusworth, D.H.; Thorpe, A.K.; Ayasse, A.K.; Stepp, D.; Heckler, J.; Asner, G.P.; Miller, C.E.; Yadav, V.; Chapman, J.W.; Eastwood, M.L. Strong Methane Point Sources Contribute a Disproportionate Fraction of Total Emissions across Multiple Basins in the United States. Proc. Natl. Acad. Sci. USA 2022, 119, e2202338119. [Google Scholar] [CrossRef]
- Duren, R.M.; Thorpe, A.K.; Foster, K.T.; Rafiq, T.; Hopkins, F.M.; Yadav, V.; Bue, B.D.; Thompson, D.R.; Conley, S.; Colombi, N.K. California’s Methane Super-Emitters. Nature 2019, 575, 180–184. [Google Scholar] [CrossRef]
- Xu, Y.; Wu, Z.; Wei, Z.; Dalla Mura, M.; Chanussot, J.; Bertozzi, A. GAS Plume Detection in Hyperspectral Video Sequence Using Low Rank Representation. In Proceedings of the 2016 IEEE International Conference on Image Processing (ICIP), Phoenix, AZ, USA, 25–28 September 2016; IEEE: New York, NY, USA, 2016; pp. 2221–2225. [Google Scholar]
- Bao, Y.; Yao, F.; Meng, X.; Wang, J.; Liu, H.; Wang, Y.; Liu, Q.; Zhang, J.; Mouazen, A.M. A Fine Digital Soil Mapping by Integrating Remote Sensing-Based Process Model and Deep Learning Method in Northeast China. Soil Tillage Res. 2024, 238, 106010. [Google Scholar] [CrossRef]
- Marjani, M.; Mohammadimanesh, F.; Varon, D.J.; Radman, A.; Mahdianpari, M. PRISMethaNet: A Novel Deep Learning Model for Landfill Methane Detection Using PRISMA Satellite Data. ISPRS J. Photogramm. Remote Sens. 2024, 218, 802–818. [Google Scholar] [CrossRef]
- Roberts, D.; Alonzo, M.; Wetherley, E.B.; Dudley, K.L.; Dennison, P.E. Multiscale Analysis of Urban Areas Using Mixing Models. In Integrating Scale in Remote Sensing and GIS; CRC Press: Boca Raton, FL, USA, 2017; pp. 285–320. [Google Scholar]
- Kokaly, R.F.; Clark, R.N.; Swayze, G.A.; Livo, K.E.; Hoefen, T.M.; Pearson, N.C.; Wise, R.A.; Benzel, W.; Lowers, H.A.; Driscoll, R.L. USGS Spectral Library Version 7; US Geological Survey: Reston, VA, USA, 2017. [Google Scholar]
- Kokaly, R.F.; Couvillion, B.R.; Holloway, J.M.; Roberts, D.A.; Ustin, S.L.; Peterson, S.H.; Khanna, S.; Piazza, S.C. Spectroscopic Remote Sensing of the Distribution and Persistence of Oil from the Deepwater Horizon Spill in Barataria Bay Marshes. Remote Sens. Environ. 2013, 129, 210–230. [Google Scholar] [CrossRef]
- Berk, A.; Conforti, P.; Kennett, R.; Perkins, T.; Hawes, F.; Van Den Bosch, J. MODTRAN® 6: A Major Upgrade of the MODTRAN® Radiative Transfer Code. In Proceedings of the 2014 6th Workshop on Hyperspectral Image and Signal Processing: Evolution in Remote Sensing (WHISPERS), Lausanne, Switzerland, 24–27 June 2014; IEEE: New York, NY, USA, 2014; pp. 1–4. [Google Scholar]
- Gelaro, R.; McCarty, W.; Suárez, M.J.; Todling, R.; Molod, A.; Takacs, L.; Randles, C.A.; Darmenov, A.; Bosilovich, M.G.; Reichle, R. The Modern-Era Retrospective Analysis for Research and Applications, Version 2 (MERRA-2). J. Clim. 2017, 30, 5419–5454. [Google Scholar] [CrossRef]
- Matheou, G.; Bowman, K.W. A Recycling Method for the Large-Eddy Simulation of Plumes in the Atmospheric Boundary Layer. Environ. Fluid Mech. 2016, 16, 69–85. [Google Scholar] [CrossRef]
- Varon, D.J.; Jacob, D.J.; McKeever, J.; Jervis, D.; Durak, B.O.; Xia, Y.; Huang, Y. Quantifying Methane Point Sources from Fine-Scale Satellite Observations of Atmospheric Methane Plumes. Atmos. Meas. Tech. 2018, 11, 5673–5686. [Google Scholar] [CrossRef]
- Ferrari, A.; Laneve, G.; Pampanoni, V.; Carvajal, A.; Rossi, F. Monitoring Methane Emissions from Landfills Using Prisma Imagery. In Proceedings of the IGARSS 2024-2024 IEEE International Geoscience and Remote Sensing Symposium, Athens, Greece, 7–12 July 2024; IEEE: New York, NY, USA, 2024; pp. 3663–3667. [Google Scholar]
- Kochanov, R.V.; Gordon, I.E.; Rothman, L.S.; Wcisło, P.; Hill, C.; Wilzewski, J.S. HITRAN Application Programming Interface (HAPI): A Comprehensive Approach to Working with Spectroscopic Data. J. Quant. Spectrosc. Radiat. Transf. 2016, 177, 15–30. [Google Scholar] [CrossRef]
- Li, K.; Bai, K.; Jiao, P.; Chen, H.; He, H.; Shao, L.; Sun, Y.; Zheng, Z.; Li, R.; Chang, N.-B. Developing Unbiased Estimation of Atmospheric Methane via Machine Learning and Multiobjective Programming Based on TROPOMI and GOSAT Data. Remote Sens. Environ. 2024, 304, 114039. [Google Scholar] [CrossRef]
- Hamlin, L.; Green, R.O.; Mouroulis, P.; Eastwood, M.; Wilson, D.; Dudik, M.; Paine, C. Imaging Spectrometer Science Measurements for Terrestrial Ecology: AVIRIS and New Developments. In Proceedings of the 2011 Aerospace conference, Big Sky, MT, USA, 5–12 March 2011; IEEE: New York, NY, USA, 2011; pp. 1–7. [Google Scholar]
- Pei, Z.; Han, G.; Mao, H.; Chen, C.; Shi, T.; Yang, K.; Ma, X.; Gong, W. Improving Quantification of Methane Point Source Emissions from Imaging Spectroscopy. Remote Sens. Environ. 2023, 295, 113652. [Google Scholar] [CrossRef]
- Scafutto, R.D.M.; de Souza Filho, C.R.; Riley, D.N.; de Oliveira, W.J. Evaluation of Thermal Infrared Hyperspectral Imagery for the Detection of Onshore Methane Plumes: Significance for Hydrocarbon Exploration and Monitoring. Int. J. Appl. Earth Obs. Geoinf. 2018, 64, 311–325. [Google Scholar] [CrossRef]
- Schaum, A. A Uniformly Most Powerful Detector of Gas Plumes against a Cluttered Background. Remote Sens. Environ. 2021, 260, 112443. [Google Scholar] [CrossRef]
- Frankenberg, C.; Platt, U.; Wagner, T. Iterative Maximum a Posteriori (IMAP)-DOAS for Retrieval of Strongly Absorbing Trace Gases: Model Studies for CH4 and CO2 Retrieval from near Infrared Spectra of SCIAMACHY Onboard ENVISAT. Atmos. Chem. Phys. 2005, 5, 9–22. [Google Scholar] [CrossRef]
- Foote, M.D.; Dennison, P.E.; Sullivan, P.R.; O’Neill, K.B.; Thorpe, A.K.; Thompson, D.R.; Cusworth, D.H.; Duren, R.; Joshi, S.C. Impact of Scene-Specific Enhancement Spectra on Matched Filter Greenhouse Gas Retrievals from Imaging Spectroscopy. Remote Sens. Environ. 2021, 264, 112574. [Google Scholar] [CrossRef]
- Liu, Y.; Liu, Y.; Muñoz-Esparza, D.; Hu, F.; Yan, C.; Miao, S. Simulation of Flow Fields in Complex Terrain with WRF-LES: Sensitivity Assessment of Different PBL Treatments. J. Appl. Meteorol. Climatol. 2020, 59, 1481–1501. [Google Scholar] [CrossRef]
- Vaughan, A.; Mateo-García, G.; Gómez-Chova, L.; Růžička, V.; Guanter, L.; Irakulis-Loitxate, I. CH4Net: A Deep Learning Model for Monitoring Methane Super-Emitters with Sentinel-2 Imagery. Atmos. Meas. Tech. 2024, 17, 2583–2593. [Google Scholar] [CrossRef]
- Rouet-Leduc, B.; Hulbert, C. Automatic Detection of Methane Emissions in Multispectral Satellite Imagery Using a Vision Transformer. Nat. Commun. 2024, 15, 3801. [Google Scholar] [CrossRef] [PubMed]














| Land Cover Class | Surface Name |
|---|---|
| Confusers | Green sports field (AH) |
| White painted commercial roof (WPCR) | |
| Water | Lake |
| Non-Photosynthetic Vegetation (NPV) | Needle litter (NL) |
| Roof | Red tile roof (RTR) |
| Rock | Rock |
| Soil | bare_soil (BSoil) |
| Paved Surfaces | Airport asphalt (AS) |
| Attribute | Values |
|---|---|
| Atmosphere MODEL | 7 |
| Atmospheric Path Type | 1 |
| Sensor height | 5 km above sea level |
| Wavelengths | 380–2500 nm |
| Carbon dioxide | 400 ppm |
| Methane | 1.8 ppm |
| Observer Zenith Angle (Deg) | 180 degrees |
| Target Zenith Angle (Deg) | 0 degrees |
| Observer Azimuth Angle (Deg) | 0 degrees |
| Surface reflectance option | 1 (read spectral reflectance data file) |
| Parameter | Range |
|---|---|
| Surface albedo | 0.1, 0.40 |
| Land cover types | Confusers/Water/Rock/Non-Photosynthetic Vegetation/Paved Surfaces/Roof/Soil |
| Emission rates | 500\1000 |
Disclaimer/Publisher’s Note: The statements, opinions and data contained in all publications are solely those of the individual author(s) and contributor(s) and not of MDPI and/or the editor(s). MDPI and/or the editor(s) disclaim responsibility for any injury to people or property resulting from any ideas, methods, instructions or products referred to in the content. |
© 2025 by the authors. Licensee MDPI, Basel, Switzerland. This article is an open access article distributed under the terms and conditions of the Creative Commons Attribution (CC BY) license (https://creativecommons.org/licenses/by/4.0/).
Share and Cite
Chen, J.; Wang, D.; Huang, L.; Shi, J. Sensitivity of Airborne Methane Retrieval Algorithms (MF, ACRWL1MF, and DOAS) to Surface Albedo and Types: Hyperspectral Simulation Assessment. Atmosphere 2025, 16, 1224. https://doi.org/10.3390/atmos16111224
Chen J, Wang D, Huang L, Shi J. Sensitivity of Airborne Methane Retrieval Algorithms (MF, ACRWL1MF, and DOAS) to Surface Albedo and Types: Hyperspectral Simulation Assessment. Atmosphere. 2025; 16(11):1224. https://doi.org/10.3390/atmos16111224
Chicago/Turabian StyleChen, Jidai, Ding Wang, Lizhou Huang, and Jiasong Shi. 2025. "Sensitivity of Airborne Methane Retrieval Algorithms (MF, ACRWL1MF, and DOAS) to Surface Albedo and Types: Hyperspectral Simulation Assessment" Atmosphere 16, no. 11: 1224. https://doi.org/10.3390/atmos16111224
APA StyleChen, J., Wang, D., Huang, L., & Shi, J. (2025). Sensitivity of Airborne Methane Retrieval Algorithms (MF, ACRWL1MF, and DOAS) to Surface Albedo and Types: Hyperspectral Simulation Assessment. Atmosphere, 16(11), 1224. https://doi.org/10.3390/atmos16111224


