Vegetation Transpiration Drives Root-Zone Soil Moisture Depletion in Subtropical Humid Regions: Evidence from GLDAS Catchment Simulations in Fujian Province
Abstract
1. Introduction
2. Materials and Methods
2.1. Study Area
2.2. Data Sources
2.2.1. GLDAS Data
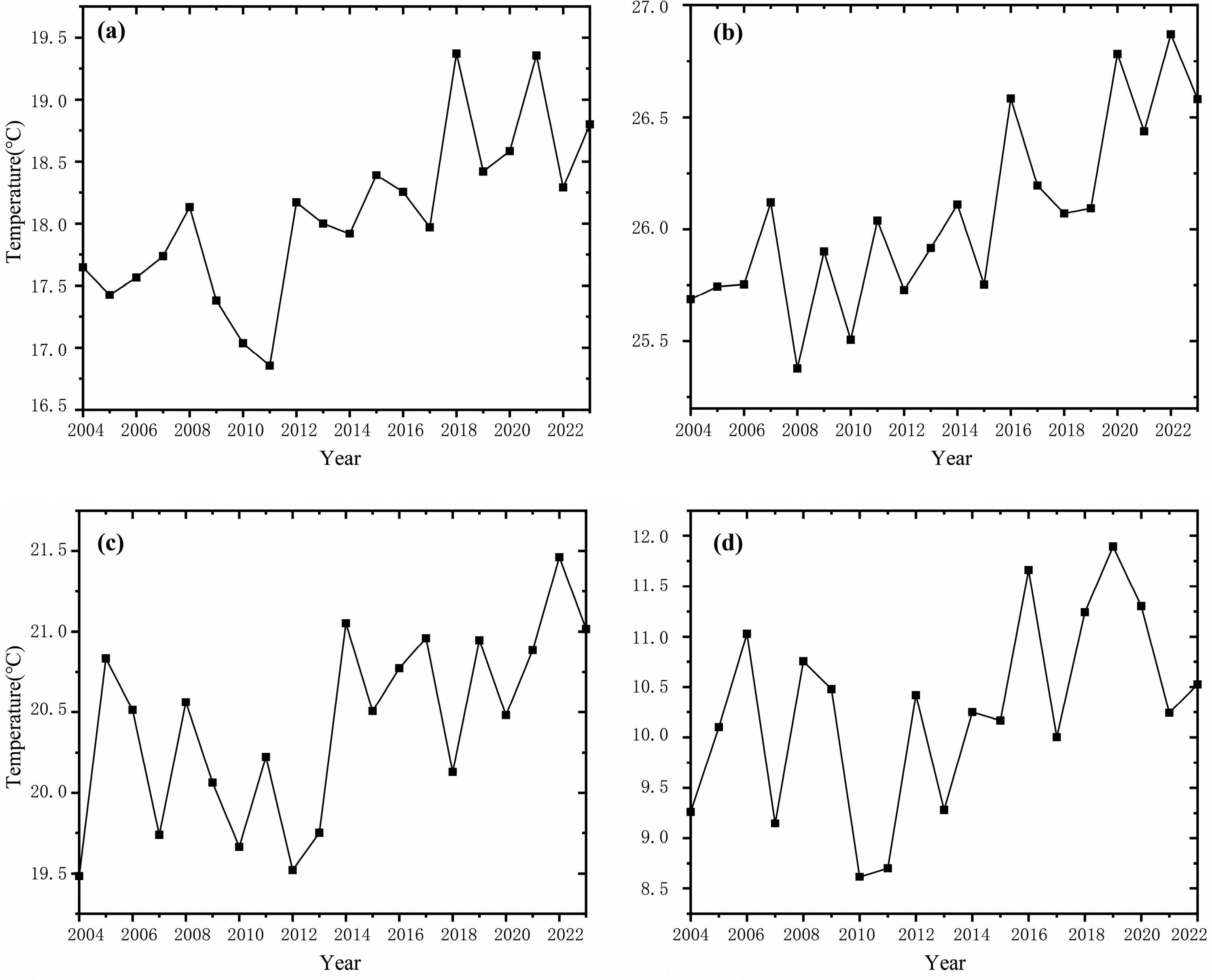
2.2.2. Temperature and Precipitation Data
2.3. Research Methods
2.3.1. Mann–Kendall Trend Test
2.3.2. Cross-Wavelet Transform
2.3.3. Singular Value Decomposition (SVD)
3. Results
3.1. Characteristics of Vegetation Transpiration Changes
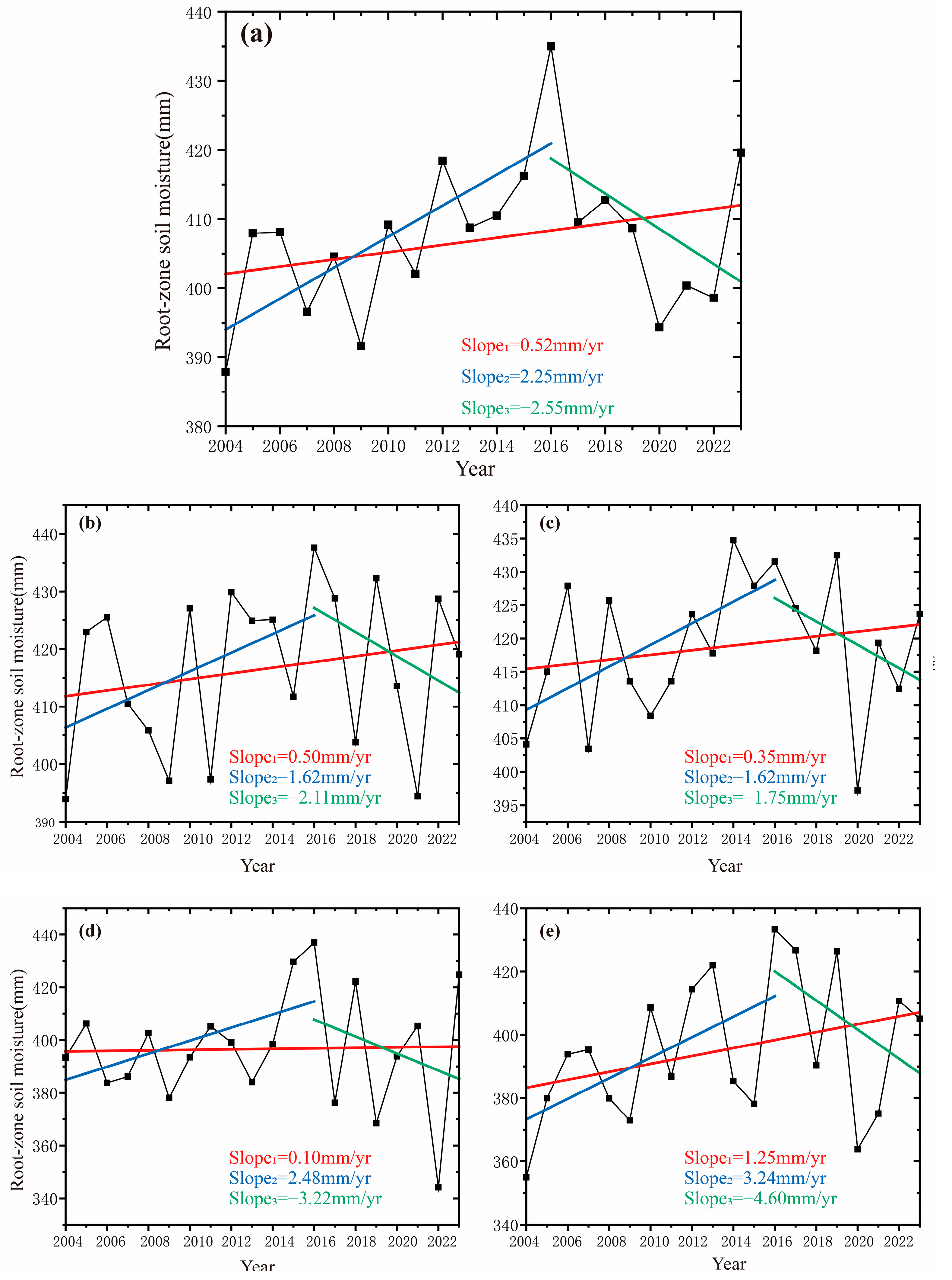
3.2. Characteristics of Root-Zone Soil Moisture Changes
3.3. Analysis of the Relationship Between Root-Zone Soil Moisture and Vegetation Transpiration
3.3.1. Correlation Analysis at the Grid Scale
3.3.2. Time–Frequency Domain Correlation Analysis
4. Discussion
4.1. Limitation
4.2. The Mechanism Behind Vegetation and Root-Zone Soil Moisture
4.3. Practical Implications
5. Conclusions
Author Contributions
Funding
Institutional Review Board Statement
Informed Consent Statement
Data Availability Statement
Acknowledgments
Conflicts of Interest
References
- Xu, X.; Li, Y.; Tan, Z.; Zhang, Q. Water fluxes in the groundwater-soil-plant-atmosphere continuum and water sources of typical wetland vegetation communities in Poyang Lake. J. Lake Sci. 2018, 30, 1351–1367. [Google Scholar]
- Angelini, I.M.; Garstang, M.; Davis, R.E.; Hayden, B.; Fitzjarrald, D.R.; Legates, D.R.; Greco, S.; Macko, S.; Connors, V. On the coupling between vegetation and the atmosphere. Theor. Appl. Climatol. 2011, 105, 243–261. [Google Scholar] [CrossRef]
- Dubbert, M.; Werner, C. Water fluxes mediated by vegetation: Emerging isotopic insights at the soil and atmosphere interfaces. New Phytol. 2018, 221, 1754–1763. [Google Scholar] [CrossRef]
- Hong, S.; Deng, H.; Zheng, Z.; Deng, Y.; Chen, X.; Gao, L.; Chen, Y.; Liu, M. The influence of variations in actual evapotranspiration on drought in China’s Southeast River basin. Sci. Rep. 2023, 13, 21336. [Google Scholar] [CrossRef]
- Robock, A.; Vinnikov, K.Y.; Srinivasan, G.; Entin, J.K.; Hollinger, S.E.; Speranskaya, N.A.; Liu, S.X.; Namkhai, A. The Global Soil Moisture Data Bank. Bull. Am. Meteorol. Soc. 2000, 81, 1281–1299. [Google Scholar] [CrossRef]
- Gao, H.K.; Hrachowitz, M.; Wang-Erlandsson, L.; Fenicia, F.; Xi, Q.J.; Xia, J.Y.; Shao, W.; Sun, G.; Savenije, H.H.G. Root zone in the Earth system. Hydrol. Earth Syst. Sci. 2024, 28, 4477–4499. [Google Scholar] [CrossRef]
- Mahmood, T.; Xie, Z.H.; Jia, B.H.; Habib, A.; Mahmood, R. A Soil Moisture Data Assimilation System for Pakistan Using PODEn4DVar and CLM4.5. J. Meteorol. Res. 2019, 33, 1182–1193. [Google Scholar] [CrossRef]
- Fuentes, I.; Padaran, J.; Vervoort, S.W. Towards near real-time national-scale soil water content monitoring using data fusion as a downscaling alternative. J. Hydrol. 2022, 609, 127705. [Google Scholar] [CrossRef]
- Liang, Y.; Zhang, F.; Wang, X.-W.; Zhao, J.-H. The Variations of Soil Water of Wheat Field and Its Relation to Precipitation in Loess Plateau Mesa Region. Chin. J. Soil Sci. 2012, 43, 20–24. [Google Scholar] [CrossRef]
- Liu, J.; Liu, L.; Yang, B.; Luo, Y.; Bai, L.; Lu, H.; Song, L. Spatial-temporal pattern of soil water content and its response to precipitation in a tropical seasonal rainforest in Xishuangbanna. Chin. J. Ecol. 2024, 43, 3341–3349. [Google Scholar] [CrossRef]
- Granier, A.; Loustau, D.; Bréda, N. A generic model of forest canopy conductance dependent on climate, soil water availability and leaf area index. Ann. For. Sci. 2000, 57, 755–765. [Google Scholar] [CrossRef]
- Bai, Y.; Zhu, G.F.; Su, Y.H.; Zhang, K.; Han, T.; Ma, J.Z.; Wang, W.Z.; Ma, T.; Feng, L.L. Hysteresis loops between canopy conductance of grapevines and meteorological variables in an oasis ecosystem. Agric. For. Meteorol. 2015, 214, 319–327. [Google Scholar] [CrossRef]
- Zhang, M.; Zhang, L.; Chen, Z.; Zhang, X.; Zhao, L.; Li, Q.; Tang, Y.; Gu, S. Effects of evaporation and transpiration on evapotranspiration of degrade meadow in the Three-River Source Region. Acta Ecol. Sin. 2021, 41, 7138–7152. [Google Scholar] [CrossRef]
- Ren, X.; Lu, Q.; He, H.; Zhang, L.; Niu, Z. Spatio-temporal variations of the ratio of transpiration to evapotranspiration in forest ecosystems along the North-South Transect of Eastern China. Acta Geogr. Sin. 2019, 74, 63–75. [Google Scholar] [CrossRef]
- Jin, J.; Cai, Y.; Guo, X.; Wang, L.; Wang, Y.; Liu, Y. Decoupled driving forces of variabilities of transpiration in Chinese subtropical vegetation based on remote sensing data. Acta Geogr. Sin. 2023, 78, 1779–1791. [Google Scholar] [CrossRef]
- Yu, J.-H.; Wang, W.-G.; Chen, Z.-F. Influences of vapor pressure deficit and root⁃zone soil moisture changes on vegetation productivity and its causes across global drylands. Acta Ecol. Sin. 2024, 44, 4808–4819. [Google Scholar] [CrossRef]
- Yang, Y.-F.; Zhou, H.-F.; Xu, L.-G. Dynamic variations of soil moisture in Haloxylon ammodendron root zone in Gurbantunggut Desert. Chin. J. Appl. Ecol. 2011, 22, 1711–1716. [Google Scholar] [CrossRef]
- Zhu, H.; Hu, S.; Liu, X.; Li, H.; Li, Y. Spatio-temporal variations of soil moisture in the root zone of Haloxylon ammodendron at different life stages. Acta Ecol. Sin. 2017, 37, 860–867. [Google Scholar] [CrossRef]
- Zhang, K.-H.; Hu, G.-L.; Zhang, Y.-J.; Fang, Q. Distribution Characteristics and Influencing Factors of Soil Water Content in the Root Zone of Haloxylon ammodendron in Desert-oasis Ecotone in the Middle Reaches of the Heihe River. J. Northwest For. Univ. 2019, 34, 16–25. [Google Scholar] [CrossRef]
- Wu, R.; Wang, Z.; Meng, F.; Liu, Y.; Shi, H. Strengthening Coupling Between Vegetation and Soil-Atmosphere Compound Drought over the Past Two Decades. Earth’s Future 2025, 13, e2025EF006311. [Google Scholar] [CrossRef]
- Chen, M.; Hong, X.; Peng, Q.; Lin, W.; Su, K. Agricultural carbon footprint evaluation and its influencing factors based on grid search-random forest algorithm: Taking Fujian Province as an example. Acta Ecol. Sin. 2025, 14, 45. [Google Scholar] [CrossRef]
- He, W.; Chen, X.; Zhang, Y.; Duan, W.; Deng, H. Spatio-temporal variations of compound precipitation and wind-speed extreme events in Fujian and Jiangxi Provinces, Southeast China. Meteorol. Atmos. Phys. 2024, 137, 7. [Google Scholar] [CrossRef]
- Wei, L.; Sun, X.; Dong, J.; Gao, M.; Pan, J.; Shan, G.; Liu, S. Spatiotemporal trends of actual evapotranspiration and evaluation of multi-source evapotranspiration products in China’s exorheic basins. Adv. Water Sci. 2025, 36, 383–396. [Google Scholar] [CrossRef]
- Tong, K.; Ju, Q.; Zhao, Y.; Hu, B. Assessment of actual evapotranspiration in the Xijiang River Basin based on water balance. Geogr. Sci. 2025, 45, 910–918. [Google Scholar] [CrossRef]
- Puma, M.J.; Mitchell, K.; Dirmeyer, P.A.; Yang, R.; Guo, Z.; Koster, R.D. On the Nature of Soil Moisture in Land Surface Models. J. Clim. 2009, 22, 4322–4335. [Google Scholar] [CrossRef]
- Pan, Z.; Wang, K.; Sheng, Z.; Xu, X.; Zhou, Y.; Wang, G.; Tian, W. Comparing multi-source runoff data in different watersheds across China. Geogr. Res. 2024, 43, 1004–1017. [Google Scholar] [CrossRef]
- Deng, H.; Lu, Y.; Wang, Y.; Chen, X.; Liu, Q. Assessment of Actual Evapotranspiration in the Minjiang River Basin Based on the GLDAS-Noah Model. Geogr. Sci. 2022, 42, 548–556. [Google Scholar] [CrossRef]
- Lu, Y.; Wang, Y.; Liu, Q.; Chen, X.; Zhang, Y.; Gao, L.; Chen, Y.; Liu, M.; Deng, H. Evapotranspiration Variations of the Minjiang River Basin in Southeastern China from 2000 to 2019. Atmosphere 2022, 13, 562. [Google Scholar] [CrossRef]
- Vargas, R.; Detto, M.; Baldocchi, D.D.; Allen, M.F. Multiscale analysis of temporal variability of soil CO2 production as influenced by weather and vegetation. Glob. Change Biol. 2010, 16, 1589–1605. [Google Scholar] [CrossRef]
- Gao, W.; Li, B.L. Wavelet analysis of coherent structures at the atmosphere-forest interface. J. Appl. Meteorol. Climatol. 1993, 32, 1717–1725. [Google Scholar] [CrossRef]
- Grinsted, A.; Moore, J.C.; Jevrejeva, S. Application of the cross wavelet transform and wavelet coherence to geophysical time series. Nonlinear Process. Geophys. 2004, 11, 561–566. [Google Scholar] [CrossRef]
- Liu, Q.; Hao, Y.; Stebler, E.; Tanaka, N.; Zou, C.B. Impact of Plant Functional Types on Coherence Between Precipitation and Soil Moisture: A Wavelet Analysis. Geophys. Res. Lett. 2017, 44, 12,197–12,207. [Google Scholar] [CrossRef]
- Rocha, A.V.; Armesto, J.J.; Perez-Quezada, J.F.; Blakely, B.; Sharma, P.; Gaxiola, A. Atmosphere, Vegetation, and Soil Water Coupling Determined by Stomatal Regulation of Transpiration. Ecosystems 2025, 28, 38. [Google Scholar] [CrossRef]
- Stoy, P.C.; Dietze, M.C.; Richardson, A.D.; Vargas, R.; Barr, A.G.; Anderson, R.S.; Arain, M.A.; Baker, I.T.; Black, T.A.; Chen, J.M.; et al. Evaluating the agreement between measurements and models of net ecosystem exchange at different times and timescales using wavelet coherence: An example using data from the North American Carbon Program Site-Level Interim Synthesis. Biogeosciences 2013, 10, 6893–6909. [Google Scholar] [CrossRef]
- Seneviratne, S.I.; Corti, T.; Davin, E.L.; Hirschi, M.; Jaeger, E.B.; Lehner, I.; Orlowsky, B.; Teuling, A.J. Investigating soil moisture–climate interactions in a changing climate a review. Earth-Sci. Rev. 2010, 99, 125–161. [Google Scholar] [CrossRef]
- Teuling, A.J.; Hirschi, M.; Ohmura, A.; Wild, M.; Reichstein, M.; Ciais, P.; Buchmann, N.; Ammann, C.; Montagnani, L.; Richardson, A.D.; et al. A regional perspective on trends in continental evaporation. Geophys. Res. Lett. 2009, 36, L02404. [Google Scholar] [CrossRef]
- Saleem, J.A.; Salvucci, G.D. Comparison of soil wetness indices for inducing functional similarity of hydrologic response across sites in Illinois. J. Hydrometeorol. 2002, 3, 80–91. [Google Scholar] [CrossRef]
- Badakhshan, E.; Vaunat, J. A Specialized Boundary Condition for Soil–Vegetation–Atmosphere Interaction in Embankments. J. Geotech. Geoenvironmental Eng. 2025, 151, 04025133. [Google Scholar] [CrossRef]
- Hsu, A.; Sheriff, G.; Chakraborty, T.; Manya, D. Disproportionate exposure to urban heat island intensity across major US cities. Nat. Commun. 2021, 12, 2721. [Google Scholar] [CrossRef]
- Chen, J.-F. Systematic Classification and Distribution Law of Mountain Soils in Fujian. Mt. Res. 2001, 19, 1–8, CNKI:SUN:SDYA.0.2001-01-000. [Google Scholar]
- Rodell, M.; Houser, P.R.; Jambor, U.; Gottschalck, J.; Mitchell, K.; Meng, C.J.; Arsenault, K.; Cosgrove, B.; Radakovich, J.; Bosilovich, M.; et al. The global land data assimilation system. Bull. Am. Meteorol. Soc. 2004, 85, 381–394. [Google Scholar] [CrossRef]
- Peng, S. 1-km Monthly Precipitation Dataset for China (1901–2023); National Tibetan Plateau/Third Pole Environment Data Center: Beijing, China, 2020. [Google Scholar]
- Peng, S. 1-km Monthly Mean Temperature Dataset for China (1901–2023); National Tibetan Plateau/Third Pole Environment Data Center: Beijing, China, 2024. [Google Scholar]
- Bao, Z.X.; Zhang, J.Y.; Wang, G.Q.; Chen, Q.W.; Guan, T.S.; Yan, X.L.; Liu, C.S.; Liu, J.; Wang, J. The impact of climate variability and land use/cover change on the water balance in the Middle Yellow River Basin, China. J. Hydrol. 2019, 577, 123942. [Google Scholar] [CrossRef]
- Guan, X.X.; Zhang, J.Y.; Elmahdi, A.; Li, X.M.; Liu, J.; Liu, Y.; Jin, J.L.; Liu, Y.L.; Bao, Z.X.; Liu, C.S.; et al. The Capacity of the Hydrological Modeling for Water Resource Assessment under the Changing Environment in Semi-Arid River Basins in China. Water 2019, 11, 1328. [Google Scholar] [CrossRef]
- Jiang, Y.; Xu, Z.; Wang, J. Comparison among five methods of trend detection for annual runoff series. J. Hydraul. Eng. 2020, 51, 845–857. [Google Scholar] [CrossRef]
- Wang, Y.; Li, Q.; Wang, J.; Jiang, T.; Liu, C.; Wang, Y. The Variation Characteristics of Recorded Runoff and Its Annual Distribution in North China during the Recent 60 Years in the Context of Environment Change. J. North China Univ. Water Resour. Electr. Power (Nat. Sci. Ed.) 2020, 41, 36–42. [Google Scholar] [CrossRef]
- Ning, Z.-R.; Zang, J.-Y.; Wang, G.-Q. Variation and global pattern of major meteorological elements during 1948~2016. China Environ. Sci. 2021, 41, 4085–4095. [Google Scholar] [CrossRef]
- Sun, W.; Cheng, B. Application of Cross Wavelet Transformation to Analysi on Regional Climate Variations. J. Appl. Meteorol. Sci. 2008, 19, 479–487. [Google Scholar]
- Prohaska, J.T. A Technique for Analyzing the Linear Relationships between Two Meteorological Fields. Mon. Weather Rev. 1976, 104, 1345–1353. [Google Scholar] [CrossRef]
- Fengying, W. Modern Climatic Statistical Diagnosis and Prediction Technology; China Meteorological Press: Beijing, China, 2007. [Google Scholar]
- Zhao, Y.-J.; Qian, Y.-F. Analyses of the Impacts of Global SS-TA on Precipitation Anomaly in China. J. Trop. Meteorol. 2009, 25, 561–570. [Google Scholar] [CrossRef]
- Liu, H.; Yu, Y.; Xia, D.S.; Zhao, S.P.; Ma, X.Y.; Dong, L.X. Analysis of the relationship between dust aerosol and precipitation in spring over East Asia using EOF and SVD methods. Sci. Total Environ. 2024, 908, 168437. [Google Scholar] [CrossRef] [PubMed]
- Ding, J.-M.; Xu, H.-M.; Liu, S.; Wang, J.-S.; Xu, Z.-K.; Ruan, H.-H.; Liu, Y.-S. Effects of snow storm on soil available nitrogen in evergreen broad leaf forest in Wuyi Mountain. J. Nanjing For. Univ. 2010, 34, 136–140. [Google Scholar] [CrossRef]
- Huang, R.-Z.; Li, J.-M.; Zhen, H.-Z.; Wang, J.; Zhou, Y.-F. Comparison on photosynthetic characteristics between Pinus massoniana and Schima superba at the two different rehabilitation vegetation, Changting County, Fujian Province. J. Ecol. 2009, 29, 6120–6130. [Google Scholar] [CrossRef]
- Wang, F.; Lu, Z.-M.; Wang, J.; Zhang, S.-K.; Li, Y.-X.; Li, S.-C.; Zang, J.-Q.; Yang, Y.-C. Photosynthetic and Stomatal Characteristics of Pinus koraiensis and P. sibirica under Low Temperature Stress. Plant Res. 2021, 41, 205–212. [Google Scholar] [CrossRef]
- Liu, E.; Zhu, Y.; Calvet, J.-C.; Lü, H.; Bonan, B.; Zheng, J.; Gou, Q.; Wang, X.; Ding, Z.; Xu, H.; et al. Evaluation of root zone soil moisture products over the Huai River basin. Hydrol. Earth Syst. Sci. 2024, 28, 2375–2400. [Google Scholar] [CrossRef]
- Nkiaka, E.; Bryant, R.G.; Ntajal, J.; Biao, E.I. Evaluating the accuracy of gridded water resources reanalysis and evapotranspiration products for assessing water security in poorly gauged basins. Hydrol. Earth Syst. Sci. 2022, 26, 5899–5916. [Google Scholar] [CrossRef]
- Yue, S.; Wang, C. The Mann-Kendall Test Modified by Effective Sample Size to Detect Trend in Serially Correlated Hydrological Series. Water Resources Management. 2004, 18, 201–208. [Google Scholar] [CrossRef]
- Miao, H.X.; Chen, S.P.; Chen, J.Q.; Zhang, W.L.; Zhang, P.; Wei, L.; Han, X.G.; Lin, G.H. Cultivation and grazing altered evapotranspiration and dynamics in Inner Mongolia steppes. Agric. For. Meteorol. 2009, 149, 1810–1819. [Google Scholar] [CrossRef]
- Li, J.; Jiang, S.; Wang, B.; Jiang, W.W.; Tang, Y.H.; Du, M.Y.; Gu, S. Evapotranspiration and Its Energy Exchange in Alpine Meadow Ecosystem on the Qinghai-Tibetan Plateau. J. Integr. Agric. 2013, 12, 1396–1401. [Google Scholar] [CrossRef]
- Strilesky, S.L.; Humphreys, E.R. A comparison of the net ecosystem exchange of carbon dioxide and evapotranspiration for treed and open portions of a temperate peatland. Agric. For. Meteorol. 2012, 153, 45–53. [Google Scholar] [CrossRef]
- Liu, Z.; Li, S.; Zhang, Y.; Guo, Y.; Wei, W.; Wang, K. Evaporation characteristics of alpine meadow in Tibetan Plateau and the influencing factors. J. Arid Land Resour. Environ. 2019, 33, 87–93. [Google Scholar] [CrossRef]
- Niu, Y.-M.; Jia, G.-D.; Wang, X.; Liu, Z.-H. Dynamic changes of transpiration water age and water utilization strategies for trees at different altitudes in Lushan area. J. Ecol. 2024, 48, 1104–1117. [Google Scholar] [CrossRef]
- Pan, M.X.; Zhao, F.; Ma, J.Y.; Zhang, L.J.; Qu, J.P.; Xu, L.L.; Li, Y. Effect of Snow Cover on Spring Soil Moisture Content in Key Agricultural Areas of Northeast China. Sustainability 2022, 14, 1527. [Google Scholar] [CrossRef]
- Li, J.-J.; Chen, Y.-H.; Zhou, Z.-H.; Wang, Y.-J.; Yang, X.; Guo, L. Research progress on mechanisms of plant adaptation to flooding stress. Plant Sci. J. 2023, 41, 835–846. [Google Scholar] [CrossRef]
- Zhao, C.-Z.; Luo, Y.; Huang, J.-B. Global warming and El Niño events. Clim. Change Res. 2023, 19, 663–666. [Google Scholar] [CrossRef]
- Lin, J.; Liu, G.; Deng, H. Percipitation Variation and Its Response to ENSO in Fujian Province. J. Subtrop. Resour. Environ. 2023, 18, 71–78. [Google Scholar] [CrossRef]
- Lv, T.R.; Jiang, Y.J.; Wu, Z.; Mao, Y.; Qiu, J.; Wu, C. Transpiration characteristics of typical evergreen and deciduous tree species in subtropical karst areas and their responses to environmental factors. Acta Ecol. Sin. 2022, 42, 1047–1058. [Google Scholar] [CrossRef]
- Li, X.-Y.; Li, Y.-M.; Sun, L.; Xu, R.; Zhao, S.-T.; Guo, J. Characteristics of transpiration water consumption and its relationship with environmental factors in Ginkgo biloba. J. Beijing For. Univ. 2014, 36, 23–29. [Google Scholar] [CrossRef]
- Chen, L.; Li, Y.-L.; Ning, Z.-Y.; Yao, H.-L.; Zhan, J.; Yao, B. Response mechanisms of woody plants to drought stress:a review based on plant hydraulic traits. Acta Ecol. Sin. 2024, 44, 2688–2705. [Google Scholar] [CrossRef]
- Yu, Y.; Lin, W.; Chen, S.; Fan, D.; Fu, R.; You, W. Comparison of population quantity characteristics and spatial point pattern of dominant tree species in typical coniferous and broad-leaved mixed forest in Wuyi Mountain. J. Fujian Agric. For. Univ. (Nat. Sci. Ed.) 2023, 52, 649–659. [Google Scholar] [CrossRef]
- Xiao, J.; Liu, J.; Zheng, W.; Wang, Z.; Fang, M.; Hong, Y.; Tan, F. Characteristics and dynamic changes of forest carbon storage in Fujian Province from 1974 to 2018. J. Plant Resour. Environ. 2024, 33, 101–108. [Google Scholar] [CrossRef]
- Hu, J.; Guo, S.; Huang, J. Calculation of dominant tree species and bamboo forest carbon stock in Fujian Province. J. Shenyang Norm. Univ. (Nat. Sci. Ed.) 2024, 42, 391–397. [Google Scholar] [CrossRef]
- Liu, Y.X.; Shi, X.L.; Shi, W.J. Evaluation of water retention services of forest ecosystems in Fujian Province: Comparison between results from the InVEST model and meta-analysis. Acta Ecol. Sin. 2021, 41, 1349–1361. [Google Scholar] [CrossRef]
- Sheng, W.-T. Targets of the Silviculture System of Plantation Forestry. J. Temp. For. Res. 2019, 2, 1–5. [Google Scholar] [CrossRef]
- Jiang, X.; Zou, A.; Wang, Y.; Zhou, X.; Ji, C. Leaf Stomatal Traits of Woody Plants and Their Response to NitrogenAddition in Typical Forests in Eastern China. Acta Sci. Nat. Univ. Pekin. 2018, 54, 839–847. [Google Scholar] [CrossRef]
- Zhang, Z.-A.; Yang, F.; Chen, Z.-Y.; Xu, K.-Z. Relationship Between Diurnal Changes of Net Photosynthetic Rateand Environmental Factors in Leaves of Zizania latifolia. Sci. Agric. Sin. 2006, 39, 502–509. [Google Scholar] [CrossRef]
- Jezík, M.; Blazenec, M.; Letts, M.G.; Ditmarová, L.; Sitková, Z.; Strelcová, K. Assessing seasonal drought stress response in Norway spruce (Picea abies (L.) Karst.) by monitoring stem circumference and sap flow. Ecohydrology 2015, 8, 378–386. [Google Scholar] [CrossRef]
- Juan, C.; Fangjun, D.; Zhenghong, T.; Liguo, L.; Ting, Z.; Yingchun, C. Leaf stomatal morphological characteristics and their effects on transpiration for two tree species in Maolan Karst area, Guizhou Province. J. Nanjing For. Univ. (Nat. Sci. Ed.) 2021, 45, 125–132. [Google Scholar] [CrossRef]
- Ye, C.; Hong, Y.; Zhang, R.; Huang, S.; Pan, S. Spatiotemporal dynamics and spatial heterogeneity of forest ecosystem services in Fujian Province. J. Soil Water Conserv. 2025, 39. [Google Scholar] [CrossRef]
- Huang, J. Exacerbated land-air coupling under global warming drives the westward shift of heatwave hotspots. Chin. Sci. Bull. 2025, 70, 4616–4618. [Google Scholar] [CrossRef]










Disclaimer/Publisher’s Note: The statements, opinions and data contained in all publications are solely those of the individual author(s) and contributor(s) and not of MDPI and/or the editor(s). MDPI and/or the editor(s) disclaim responsibility for any injury to people or property resulting from any ideas, methods, instructions or products referred to in the content. |
© 2025 by the authors. Licensee MDPI, Basel, Switzerland. This article is an open access article distributed under the terms and conditions of the Creative Commons Attribution (CC BY) license (https://creativecommons.org/licenses/by/4.0/).
Share and Cite
Xie, Y.; Wang, Y.; Huang, D.; Chen, X.; Deng, H. Vegetation Transpiration Drives Root-Zone Soil Moisture Depletion in Subtropical Humid Regions: Evidence from GLDAS Catchment Simulations in Fujian Province. Atmosphere 2025, 16, 1180. https://doi.org/10.3390/atmos16101180
Xie Y, Wang Y, Huang D, Chen X, Deng H. Vegetation Transpiration Drives Root-Zone Soil Moisture Depletion in Subtropical Humid Regions: Evidence from GLDAS Catchment Simulations in Fujian Province. Atmosphere. 2025; 16(10):1180. https://doi.org/10.3390/atmos16101180
Chicago/Turabian StyleXie, Yudie, Yali Wang, Dina Huang, Xingwei Chen, and Haijun Deng. 2025. "Vegetation Transpiration Drives Root-Zone Soil Moisture Depletion in Subtropical Humid Regions: Evidence from GLDAS Catchment Simulations in Fujian Province" Atmosphere 16, no. 10: 1180. https://doi.org/10.3390/atmos16101180
APA StyleXie, Y., Wang, Y., Huang, D., Chen, X., & Deng, H. (2025). Vegetation Transpiration Drives Root-Zone Soil Moisture Depletion in Subtropical Humid Regions: Evidence from GLDAS Catchment Simulations in Fujian Province. Atmosphere, 16(10), 1180. https://doi.org/10.3390/atmos16101180

