Spatiotemporal Variation in Absorption Aerosol Optical Depth over China
Abstract
1. Introduction
2. Data and Methodology
2.1. OMI Data and Methodology
2.2. AERONET Data and Methodology
2.3. MERRA-2 Data
2.4. MODIS-Aqua Data
3. Results and Discussion
3.1. Validation of OMI AAOD with AERONET AAOD
3.2. Spatial and Annual Variation in OMI AAOD
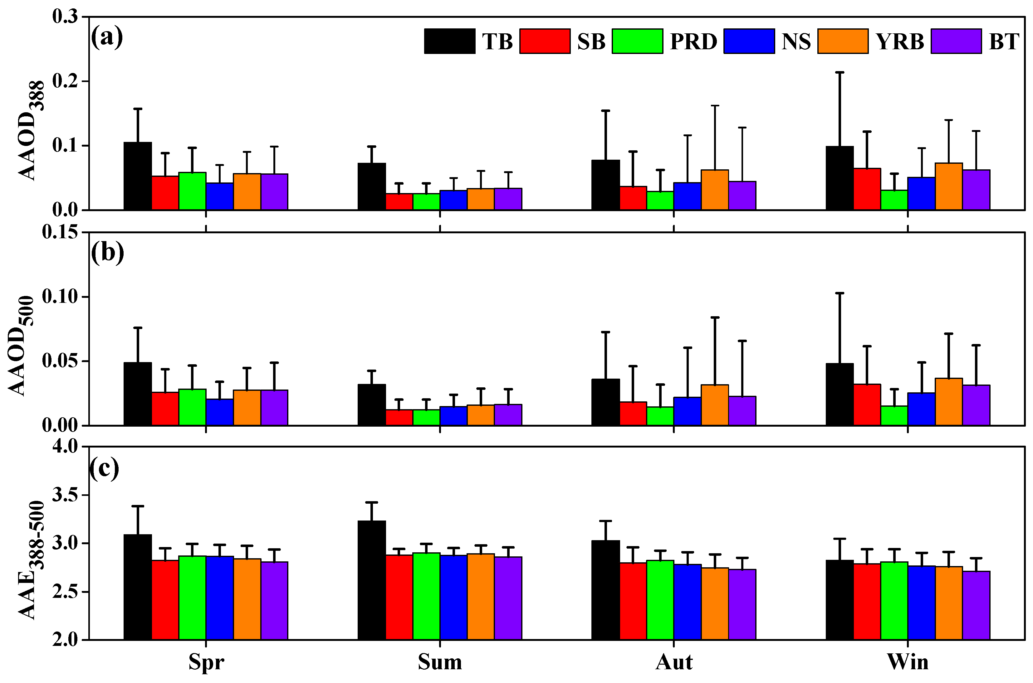
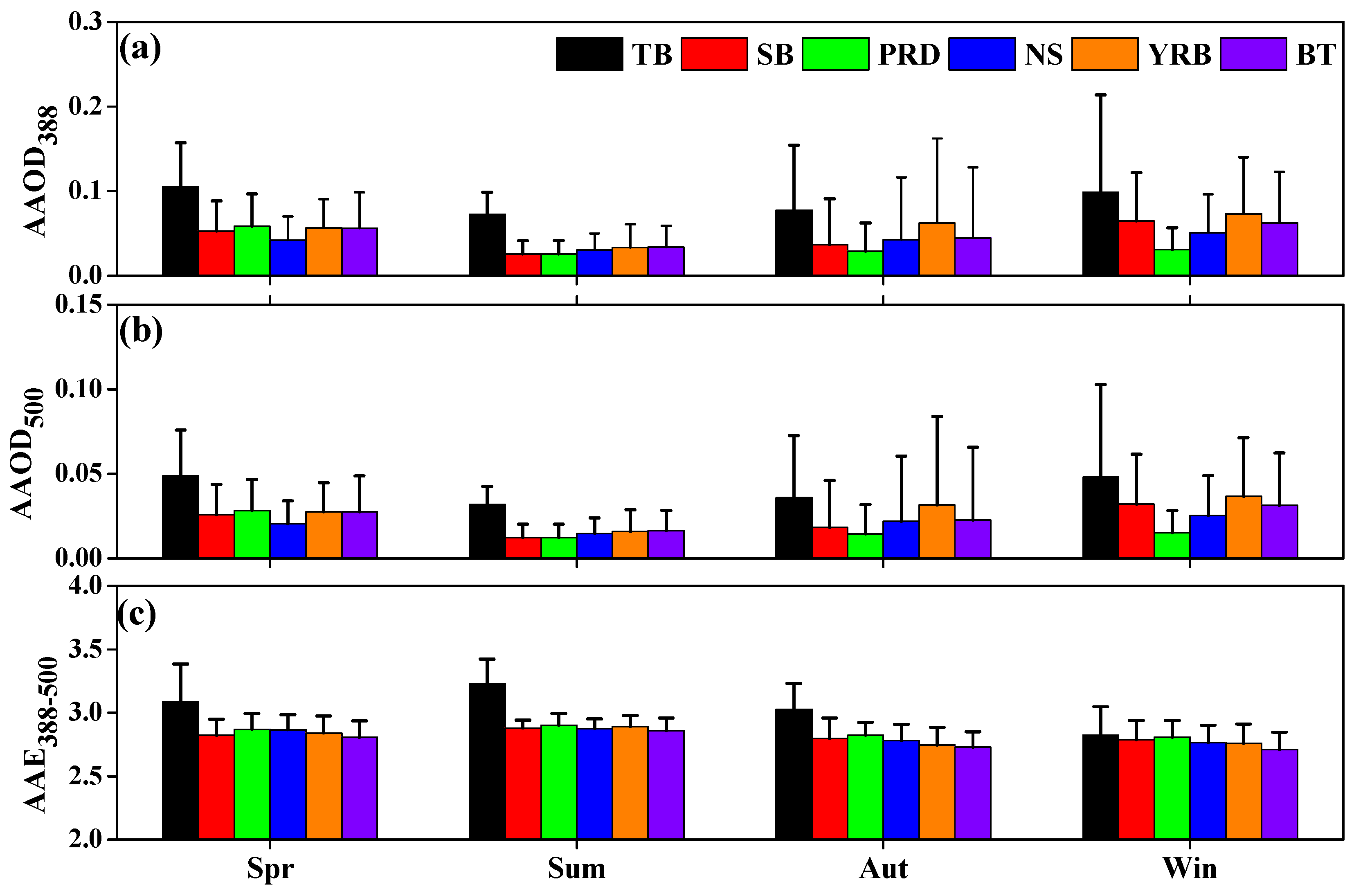
3.3. OMI AAOD over Typical Areas of China
3.4. AAE on Episode and Non-Episode Days
3.5. Comparison
4. Conclusions
Author Contributions
Funding
Institutional Review Board Statement
Informed Consent Statement
Data Availability Statement
Acknowledgments
Conflicts of Interest
References
- Wang, H.; Kang, Y.; He, Q.; Chen, Y. Transport of black carbon aerosols from non-local sources: A case study in Shanghai. Particuology 2015, 20, 89–93. [Google Scholar] [CrossRef]
- You, W.; Zang, Z.; Pan, X.; Zhang, L.; Chen, D. Estimating PM2.5 in Xi’an, China using aerosol optical depth: A comparison between the MODIS and MISR retrieval models. Sci. Total Environ. 2015, 505, 1156–1165. [Google Scholar] [CrossRef] [PubMed]
- Shao, P.; Xin, J.; An, J.; Kong, L.; Wang, B.; Wang, J.; Wang, Y.; Wu, D. The empirical relationship between PM2.5 and AOD in Nanjing of the Yangtze River Delta. Atmos. Pollut. Res. 2017, 8, 233–243. [Google Scholar] [CrossRef]
- Xin, J.; Wang, L.; Wang, Y.; Li, Z.; Wang, P. Trends in aerosol optical properties over the Bohai Rim in Northeast China from 2004 to 2010. Atmos. Environ. 2011, 45, 6317–6325. [Google Scholar] [CrossRef]
- Zhao, H.; Che, H.; Gui, K. Interdecadal variation in aerosol optical properties and their relationships to meteorological parameters over northeast China from 1980 to 2017. Chemosphere 2020, 247, 125737. [Google Scholar] [CrossRef]
- Kirillova, E.N.; Andersson, A.; Han, J.; Lee, M.; Gustafsson, Ö. Sources and Light Absorption of Water-Soluble Organic Carbon Aerosols in the Outflow from Northern China. Atmos. Chem. Phys. 2014, 14, 1413–1422. [Google Scholar] [CrossRef]
- Koike, M.; Moteki, N.; Khatri, P.; Takamura, T.; Takegawa, N.; Kondo, Y.; Hashioka, H.; Matsui, H.; Shimizu, A.; Sugimoto, N. Case Study of Absorption Aerosol Optical Depth Closure of Black Carbon over the East China Sea. J. Geophys. Res. Atmos. 2014, 119, 122–136. [Google Scholar] [CrossRef]
- Che, H.; Zhao, H.; Wu, Y. Application of aerosol optical properties to estimate aerosol type from ground-based remote sensing observation at urban area of northeastern China. J. Atmos. Sol.-Terr. Phys. 2015, 132, 37–47. [Google Scholar] [CrossRef]
- Bond, T.C.; Doherty, S.J.; Fahey, D.W.; Forster, P.M.; Berntsen, T.; Deangelo, B.J.; Flanner, M.G.; Ghan, S.; Kärcher, B.; Koch, D.; et al. Bounding the role of black carbon in the climate system: A scientific assessment. J. Geophys. Res. Atmos. 2013, 118, 5380–5552. [Google Scholar] [CrossRef]
- Rathod, T.; Sahu, S.K.; Tiwari, M.; Yousaf, A.; Bhangare, R.; Pandit, G. Light absorbing properties of brown carbon Absorption Angstrom Exponent of Dust Aerosolsgenerated from pyrolytic combustion of household biofuels. Aerosol Air Qual. Res. 2016, 17, 108–116. [Google Scholar] [CrossRef]
- Dumka, U.C.; Kaskaoutis, D.G.; Tiwari, S.; Safai, P.D.; Attri, S.D.; Soni, V.K.; Singh, N.; Mihalopoulos, N. Assessment of biomass burning and fossil fuel contribution to black carbon concentrations in Delhi during winter. Atmos. Environ. 2018, 194, 93–109. [Google Scholar] [CrossRef]
- Ganguly, D.; Jayaraman, A.; Gadhavi, H. Physical and optical properties of aerosols over an urban location in western India: Seasonal variabilities. J. Geophys. Res. Atmos. 2006, 111, D24206. [Google Scholar] [CrossRef]
- Kirchstetter, T.W.; Novakov, T.; Hobbs, P.V. Evidence that the spectral dependence of light absorption by aerosols is affected by organic carbon: Spectral light absorption by aerosols. J. Geophys. Res. Atmos. 2004, 109, D21208. [Google Scholar] [CrossRef]
- Rajesh, T.A.; Ramachandran, S. Characteristics and source apportionment of black carbon aerosols over an urban site. Environ. Sci. Pollut. Res. 2017, 24, 8411–8424. [Google Scholar] [CrossRef] [PubMed]
- Dubovik, O.; Holben, B.; Eck, T.F.; Smirnov, A.; Kaufman, Y.J.; King, M.D.; Tanré, D.; Slutsker, I. Variability of absorption and optical properties of key aerosol types observed in worldwide locations. J. Atmos. Sci. 2002, 59, 590–608. [Google Scholar] [CrossRef]
- Shin, S.K.; Tesche, M.; Müller, D.; Noh, Y. Technical note: Absorption aerosol optical depth components from AERONET observations of mixed dust plumes. Atmos. Meas. Tech. 2019, 12, 607–618. [Google Scholar] [CrossRef]
- Sun, E.; Xu, X.; Che, H.; Tang, Z.; Gui, K.; An, L.; Lu, C.; Shi, G. Variation in MERRA-2 aerosol optical depth and absorption aerosol optical depth over China from 1980 to 2017. J. Atmos. Sol.-Terr. Phys. 2019, 186, 8–19. [Google Scholar] [CrossRef]
- Dehkhoda, N.; Sim, J.; Joo, S.; Shin, S.; Noh, Y. Retrieval of Black Carbon Absorption Aerosol Optical Depth from AERONET Observations over the World during 2000–2018. Remote Sens. 2022, 14, 1510. [Google Scholar] [CrossRef]
- Russell, P.B.; Bergstrom, R.W.; Shinozuka, Y. Absorption Angstrom exponent in AERONET and related data as an indicator of aerosol composition. Atmos. Chem. Phys. 2010, 10, 1155–1169. [Google Scholar] [CrossRef]
- Levelt, P.F.; van den Oord, G.H.J.; Dobber, M.R.; Mälkki, A.; Visser, H.; de Vries, J.; Stammes, P.; Lundell, J.O.V.; Saari, H. The Ozone Monitoring Instrument. IEEE Trans. Geosci. Remote Sens. 2006, 44, 1093–1101. [Google Scholar] [CrossRef]
- Torres, O.; Tanskanen, A.; Veihelmann, B.; Ahn, C.; Braak, R.; Bhartia, P.K.; Veefkind, P.; Levelt, P. Aerosols and surface UV products from Ozone Monitoring Instrument observations: An overview. J. Geophys. Res. Atmos. 2007, 112, D24S47. [Google Scholar] [CrossRef]
- Buchard, V.; Silva, A.M.; Colarco, P.R.; Darmenov, A.; Randles, C.A.; Govindaraju, R.; Torres, O.; Campbell, J.; Spurr, R. Using the OMI aerosol index and absorption aerosol optical depth to evaluate the NASA MERRA Aerosol Reanalysis. Atmos. Chem. Phys. 2015, 15, 5743–5760. [Google Scholar] [CrossRef]
- Zhang, L.; Henze, D.K.; Grell, G.A.; Carmichael, G.R.; Bousserez, N.; Zhang, Q.; Torres, O.; Ahn, C.; Lu, Z.; Cao, J.; et al. Constraining black carbon aerosol over Asia using OMI aerosol absorption optical depth and the adjoint of GEOS-Chem. Atmos. Chem. Phys. 2015, 15, 10281–10308. [Google Scholar] [CrossRef]
- Zhang, L.; Henze, D.K.; Grell, G.A.; Torres, O.; Jethva, H.; Lamsal, L.N. What factors control the trend of increasing AAOD over the United States in the last decade? J. Geophys. Res. Atmos. 2017, 122, 1797–1810. [Google Scholar] [CrossRef]
- Zaman, S.U.; Pavel, M.R.; Rani, R.I.; Jeba, F.; Islam, M.S.; Khan, M.F.; Edwards, R.; Salam, A. Aerosol climatology characterization over Bangladesh using ground-based and remotely sensed satellite measurements. Elem. Sci. Anth. 2022, 10, 000063. [Google Scholar] [CrossRef]
- Ali, M.A.; Nichol, J.E.; Bilal, M.; Qiu, Z.F.; Mazhar, U.; Wahiduzzaman, M.; Almazroui, M.; Islam, N.M. Classification of aerosols over Saudi Arabia from 2004–2016. Atmos. Environ. 2020, 241, 117785. [Google Scholar] [CrossRef]
- Zhang, X.L.; Jiang, H.; Mao, M. Absorption Angstrom Exponent of Dust Aerosol over the Tarim Basin. Pure Appl. Geophys. 2021, 178, 4549–4560. [Google Scholar] [CrossRef]
- Levelt, P.F.; Hilsenrath, E.; Leppelmeier, G.W.; Bhartia, P.K.; Tamminen, J.; Veefkind, J.P. Science objectives of the ozone monitoring instrument. IEEE Trans. Geosci. Remote Sens. 2006, 44, 1199–1208. [Google Scholar] [CrossRef]
- Kang, L.; Chen, S.; Huang, J.; Zhao, S.; Ma, X.; Yuan, T.; Zhang, X.; Xie, T. The Spatial and Temporal Distributions of Absorbing Aerosols over East Asia. Remote Sens. 2017, 9, 1050. [Google Scholar] [CrossRef]
- Ahn, C.; Torres, O.; Jethva, H. Assessment of OMI near-UV aerosol optical depth over land. J. Geophys. Res. Atmos. 2014, 119, 2457–2473. [Google Scholar] [CrossRef]
- Available online: http://daac.gsfc.nasa.gov/Aura/data-holdings/OMI/documents/v003/OMAERUV_README_V003.doc (accessed on 1 January 2024).
- Kumar, K.R.; Kang, N.; Sivakumar, V.; Grifth, D. Temporal characteristics of columnar aerosol optical properties and radiative forcing (2011–2015) measured at AERONET’s Pretoria_CSIR_DPSS site in South Africa. Atmos. Environ. 2017, 165, 274–289. [Google Scholar] [CrossRef]
- Adesina, A.J.; Kumar, K.R.; Sivakumar, V.; Piketh, S.J. Inter-comparison and assessment of long-term (2004–2013) multiple satellite aerosol products over two contrasting sites in South Africa. J. Atmos. Sol.-Terr. Phys. 2016, 148, 82–95. [Google Scholar] [CrossRef]
- Boiyo, R.; Kumar, K.R.; Zhao, T.; Bao, Y. Climatological analysis of aerosol optical properties over east Africa observed from space-borne sensors during 2001–2015. Atmos. Environ. 2017, 152, 298–313. [Google Scholar] [CrossRef]
- OMI Level 3 AAOD at 500 nm and 388 nm. Available online: http://giovanni.gsfc.nasa.gov/ (accessed on 1 June 2024).
- Utry, N.; Ajtai, T.; Filep, A. Correlation between absorption Angstrom exponent of wintertime ambient urban aerosol and its physical and chemical properties. Atmos. Environ. 2014, 91, 52–59. [Google Scholar] [CrossRef]
- Holben, B.N.; Eck, F.T.; Slutsker, I.; Tanré, D.; Buis, P.J.; Setzer, A.; Vermote, E.; Reagan, A.J.; Kaufman, J.Y.; Nakajima, T.; et al. AERONET–A federated instrument network and data archive for aerosol characterization. Remote Sens. Environ. 1998, 66, 1–16. [Google Scholar] [CrossRef]
- Dubovik, O.; King, D.M. A flexible inversion algorithm for retrieval of aerosol optical properties from Sun and sky radiance measurements. J. Geophys. Res. Atmos. 2000, 105, 20673–20696. [Google Scholar] [CrossRef]
- Sinyuk, A.; Dubovik, O.; Holben, B.; Eck, T.F.; Breon, F.M.; Martonchik, J.; Kahn, R.; Diner, D.J.; Vermote, E.F.; Roger, J.C.; et al. Simultaneous retrieval of aerosol and surface properties from a combination of AERONET and satellite data. Remote Sens. Environ. 2007, 107, 90–108. [Google Scholar] [CrossRef]
- AERONET. AAOD at 400 nm and AAE between 440 and 870 nm. Available online: https://aeronet.gsfc.nasa.gov/ (accessed on 1 June 2024).
- Omar, A.H.; Winker, D.M.; Tackett, J.L.; Giles, D.M.; Kar, J.; Liu, Z.; Vaughan, M.A.; Powell, K.A.; Trepte, C.R. CALIOP and AERONET aerosol optical depth comparisons: One size fits none. J. Geophys. Res. Atmos. 2013, 118, 4748–4766. [Google Scholar] [CrossRef]
- Eck, T.F.; Holben, B.N.; Reid, J.S.; Dubovik, O.; Smirnov, A.; O’Neill, N.T.; Slutsker, I.; Kinne, S. Wavelength dependence of the optical depth of biomass burning, urban, and desert dust aerosols. J. Geophys. Res. Atmos. 1999, 104, 31333–31349. [Google Scholar]
- Randles, C.A.; da Silva, A.M.; Buchard, V.; Colarco, P.R.; Darmenov, A.; Govindaraju, R.; Smirnov, A.; Holben, B.; Ferrare, R.; Hair, J.; et al. The MERRA-2 aerosol reanalysis, 1980 onward. Part I: System description and data assimilation evaluation. J. Clim. 2017, 30, 6823–6850. [Google Scholar] [CrossRef]
- Gelaro, R.; McCarty, W.; Suárez, M.J.; Todling, R.; Molod, A.; Takacs, L.; Randles, C.A.; Darmenov, A.; Bosilovich, M.G.; Reichle, R.; et al. The Modern-Era retrospective analysis for research and applications, version 2 (MERRA-2). J. Clim. 2017, 30, 5419–5454. [Google Scholar] [CrossRef]
- The Goddard Earth Sciences (GES) Data and Information Services Center (DISC). Available online: https://disc.gsfc.nasa.gov (accessed on 1 June 2024).
- MODIS. Available online: http://giovanni.gsfc.nasa.gov/ (accessed on 1 June 2024).
- Hsu, N.C.; Jeong, M.J.; Bettenhausen, C.; Sayer, A.M.; Hansell, R.; Seftor, C.S.; Huang, J.; Tsay, S.C. Enhanced Deep Blue aerosol retrieval algorithm: The second generation. J. Geophys Res. Atmos. 2013, 118, 9296–9315. [Google Scholar] [CrossRef]
- Levy, R.C.; Remer, L.A.; Kleidman, R.G.; Mattoo, S.; Ichoku, C.; Kahn, R.; Eck, T.F. Global evaluation of the collection 5MODIS dark-target aerosol products over land. Atmos. Chem. Phys. 2010, 10, 10399–10420. [Google Scholar] [CrossRef]
- Sayer, A.M.; Munchak, L.A.; Hsu, N.C.; Levy, R.C.; Bettenhausen, C.; Jeong, M.J. MODIS Collection 6 aerosol products: Comparison between aqua’s Deep Blue, dark target, and B merged data sets, and usage recommendations. J. Geophys. Res. Atmos. 2014, 119, 13965–13989. [Google Scholar] [CrossRef]
- Cao, S.S.; Zhang, S.Q.; Cao, C.C.; Yan, Y.Y.; Bao, J.H.; Su, L.; Liu, M.Q.; Peng, N.; Liu, M. A long-term analysis of atmospheric black carbon MERRA-2 concentration over China during 1980–2019. Atmos. Environ. 2021, 264, 118662. [Google Scholar] [CrossRef]
- Zhang, W.; Gu, X.; Xu, H.; Yu, T.; Zheng, F. Assessment of OMI near-UV aerosol optical depth over Central and East Asia. J. Geophys. Res. Atmos. 2016, 121, 382–398. [Google Scholar] [CrossRef]
- Jethva, H.; Torres, O.; Ahn, C. Global assessment of OMI aerosol single-scattering albedo using ground-based AERONET inversion. J. Geophys. Res. Atmos. 2014, 119, 9020–9040. [Google Scholar] [CrossRef]
- Bibi, S.; Alam, K.; Chishtie, F.; Bibi, H. Characterization of absorbing aerosol types using ground and satellites based observations over an urban environment. Atmos. Environ. 2017, 150, 126–135. [Google Scholar] [CrossRef]
- Hu, Z.; Zhao, C.; Huang, J.; Leung Ruby, L.; Qian, Y.; Yu, H.; Huang, L.; Kalashnikova, O. Trans-Pacific transport and evolution of aerosols: Evaluation of quasi-global WRF-Chem simulation with multiple observations. Geosci. Model Dev. 2016, 9, 1725–1746. [Google Scholar] [CrossRef]
- Yang, M.; Howell, S.G.; Zhuang, J.; Huebert, B.J. Attribution of aerosol light absorption to black carbon, brown carbon, and dust in China–interpretations of atmospheric measurements during EAST-AIRE. Atmos. Chem. Phys. 2009, 9, 2035–2050. [Google Scholar] [CrossRef]
- Acker, J.G.; Leptoukh, G. On line analysis enhances use of NASA earth science data. EOS Trans. Am. Geophys. Union 2007, 88, 14–17. [Google Scholar] [CrossRef]
- Shaeb, K.H.B.; Rao, K.K.; Althaf, P. Seasonal characteristics of black carbon aerosols over an urban city in India: Source analysis using concentration weighted trajectories. Asia-Pac. J. Atmos. Sci. 2020, 56, 29–43. [Google Scholar] [CrossRef]
- Mao, M.; Zhou, Y.; Zhang, X.L. Evaluation of MERRA-2 black carbon characteristics and potential sources over China. Atmosphere 2023, 14, 1378. [Google Scholar] [CrossRef]
- Wang, R.; Tao, S.; Wang, W.; Liu, J.; Shen, H.; Shen, G.; Wang, B.; Liu, X.; Li, W.; Huang, Y.; et al. Black Carbon Emissions in China from 1949 to 2050. Environ. Sci. Technol. 2012, 46, 7595–7603. [Google Scholar] [CrossRef]
- Crippa, M.; Janssens-Maenhout, G.; Dentener, F.; Guizzardi, D.; Sindelarova, K.; Muntean, M.; Van Dingenen, R.; Granier, C. Forty years of improvements in European air quality: Regional policy-industry interactions with global impacts. Atmos. Chem. Phys. 2016, 16, 3825–3841. [Google Scholar] [CrossRef]
- Wang, S.G.; Wang, J.Y.; Zhou, Z.J.; Shang, K.Z. Regional characteristics of three kinds of dust storm events in China. Atmos. Environ. 2005, 39, 509–520. [Google Scholar] [CrossRef]
- Zhao, C.; Hu, Z.; Qian, Y.; Ruby, L.; Huang, J.; Huang, M.; Jin, J.; Flanner, M.G.; Zhang, R.; Wang, H.; et al. Simulating black carbon and dust and their radiative forcing in seasonal snow: A case study over North China with field campaign measurements. Atmos. Chem. Phys. 2014, 14, 11475–11491. [Google Scholar] [CrossRef]
- Bond, T.; Streets, D.; Yarber, K.; Nelson, S.; Woo, J.; Klimint, Z. A technology-based global inventory of black and organic carbon emissions from combustion. J. Geophys. Res. Atmos. 2004, 109, D14203. [Google Scholar] [CrossRef]
- Zhang, L.; Liao, H.; Li, J. Impacts of Asian summer monsoon on seasonal and interannual variations of aerosols over eastern China. J. Geophys. Res. Atmos. 2010, 115, D00K05. [Google Scholar] [CrossRef]
- Bergstrom, J.F. A simplified and reliable cannulation technique for lymphography. Am. J. Roentgenol. 1973, 117, 701–703. [Google Scholar] [CrossRef]
- Mao, M.; Zhang, X.; Yin, Y. Particulate matter and gaseous pollutions in three metropolises along the Chinese Yangtze River: Situation and Implications. Int. J. Environ. Res. Public Health 2018, 15, 1102. [Google Scholar] [CrossRef]
- Mao, M.; Rao, L.; Jiang, H.; He, S.; Zhang, X. Air Pollutants in Metropolises of Eastern Coastal China. Int. J. Environ. Res. Public Health 2022, 19, 15332. [Google Scholar] [CrossRef] [PubMed]
- China Air Quality Online Monitoring and Analysis Platform. Available online: https://www.aqistudy.cn (accessed on 1 June 2024).
- Che, H.; Qi, B.; Zhao, H. Aerosol optical properties and direct radiative forcing based on measurements from the China Aerosol Remote Sensing Network (CARSNET) in eastern China. Atmos. Chem. Phys. 2018, 18, 405–425. [Google Scholar] [CrossRef]
- Liu, Q.; Ding, W.; Xie, L. Aerosol properties over an urban site in central East China derived from ground sun-photometer measurements. Sci. China Earth Sci. 2017, 60, 297–314. [Google Scholar] [CrossRef]
- Zhao, H.; Che, H.; Ma, Y. Temporal variability of the visibility, particulate matter mass concentration and aerosol optical properties over an urban site in Northeast China. Atmos. Res. 2015, 166, 204–212. [Google Scholar] [CrossRef]
- Zhu, C.; Cao, J.; Hu, T. Spectral dependence of aerosol light absorption at an urban and a remote site over the Tibetan Plateau. Sci. Total Environ. 2017, 590–591, 14–21. [Google Scholar] [CrossRef]
- Liu, C.; Yang, L.; Che, H. Aerosol optical properties over an urban site in Central China determined using ground sun photometer measurements. Aerosol Air Qual. Res. 2019, 19, 620–638. [Google Scholar] [CrossRef]
- Zhuang, B.; Wang, T.; Liu, J. Absorption coefficient of urban aerosol in Nanjing, west Yangtze River Delta China. Atmos. Chem. Phys. 2015, 15, 13633–13646. [Google Scholar] [CrossRef]
- Bahadur, R.; Praveen, P.S.; Xu, Y.; Ramanathan, V. Solar absorption by elemental and brown carbon determined from spectral observations. Proc. Natl. Acad. Sci. USA 2012, 109, 17366–17371. [Google Scholar] [CrossRef]
- Adam, M.; Chiang, A.; Balasubramanian, R. Insights into characteristics of light absorbing carbonaceous aerosols over an urban location in Southeast Asia. Environ. Pollut. 2020, 257, 113425. [Google Scholar] [CrossRef]












| Site | Xianghe | Taihu | Hongkong Polytechnic Univ | Sacol |
|---|---|---|---|---|
| Location | North China | East China | South China | Northwest China |
| Latitude (Degree) | 39.8° N | 31.4° N | 22.3° N | 35.9° N |
| Longitude (Degree) | 117.0° E | 120.2° E | 114.2° E | 104.1° E |
| Elevation (m) | 36 m | 20 m | 30 m | 1965 m |
| AERONET AAOD440 | 0.052 | 0.050 | 0.039 | 0.038 |
| AERONET AAE440–870 | 1.288 | 1.310 | 1.272 | 1.553 |
| AERONET AAOD500 | 0.044 | 0.042 | 0.033 | 0.031 |
| OMI AAOD500 | 0.023 | 0.021 | 0.018 | 0.021 |
| OMI AAE388–500 | 2.766 | 2.826 | 2.850 | 2.793 |
| Season | TB | SB | PRD | NS | YRB | BT | |
|---|---|---|---|---|---|---|---|
| AAOD388 | Annual | 0.088 ± 0.073 | 0.047 ± 0.046 | 0.036 ± 0.032 | 0.042 ± 0.045 | 0.058 ± 0.064 | 0.052 ± 0.059 |
| Spring | 0.105 ± 0.052 | 0.053 ± 0.036 | 0.059 ± 0.038 | 0.042 ± 0.027 | 0.057 ± 0.034 | 0.056 ± 0.042 | |
| Summer | 0.073 ± 0.026 | 0.026 ± 0.016 | 0.026 ± 0.016 | 0.031 ± 0.019 | 0.033 ± 0.028 | 0.034 ± 0.025 | |
| Autumn | 0.077 ± 0.077 | 0.037 ± 0.054 | 0.029 ± 0.033 | 0.043 ± 0.073 | 0.062 ± 0.1 | 0.045 ± 0.083 | |
| Winter | 0.099 ± 0.115 | 0.065 ± 0.057 | 0.031 ± 0.026 | 0.051 ± 0.045 | 0.074 ± 0.067 | 0.063 ± 0.06 | |
| AAOD500 | Annual | 0.041 ± 0.035 | 0.023 ± 0.023 | 0.017 ± 0.016 | 0.021 ± 0.023 | 0.029 ± 0.033 | 0.026 ± 0.03 |
| Spring | 0.049 ± 0.027 | 0.026 ± 0.018 | 0.028 ± 0.018 | 0.021 ± 0.013 | 0.028 ± 0.017 | 0.028 ± 0.021 | |
| Summer | 0.032 ± 0.011 | 0.012 ± 0.008 | 0.012 ± 0.008 | 0.015 ± 0.009 | 0.016 ± 0.013 | 0.016 ± 0.012 | |
| Autumn | 0.036 ± 0.037 | 0.018 ± 0.028 | 0.014 ± 0.017 | 0.022 ± 0.039 | 0.032 ± 0.052 | 0.023 ± 0.043 | |
| Winter | 0.048 ± 0.055 | 0.032 ± 0.03 | 0.015 ± 0.013 | 0.026 ± 0.024 | 0.037 ± 0.035 | 0.032 ± 0.031 | |
| AAE388–500 | Annual | 3.058 ± 0.272 | 2.821 ± 0.135 | 2.849 ± 0.119 | 2.825 ± 0.127 | 2.806 ± 0.144 | 2.770 ± 0.137 |
| Spring | 3.088 ± 0.297 | 2.821 ± 0.127 | 2.871 ± 0.121 | 2.868 ± 0.115 | 2.842 ± 0.131 | 2.807 ± 0.129 | |
| Summer | 3.232 ± 0.191 | 2.879 ± 0.063 | 2.901 ± 0.093 | 2.877 ± 0.073 | 2.891 ± 0.086 | 2.859 ± 0.099 | |
| Autumn | 3.029 ± 0.201 | 2.796 ± 0.164 | 2.822 ± 0.101 | 2.78 ± 0.129 | 2.745 ± 0.139 | 2.731 ± 0.119 | |
| Winter | 2.825 ± 0.224 | 2.787 ± 0.152 | 2.806 ± 0.133 | 2.764 ± 0.137 | 2.759 ± 0.151 | 2.71 ± 0.137 |
Disclaimer/Publisher’s Note: The statements, opinions and data contained in all publications are solely those of the individual author(s) and contributor(s) and not of MDPI and/or the editor(s). MDPI and/or the editor(s) disclaim responsibility for any injury to people or property resulting from any ideas, methods, instructions or products referred to in the content. |
© 2024 by the authors. Licensee MDPI, Basel, Switzerland. This article is an open access article distributed under the terms and conditions of the Creative Commons Attribution (CC BY) license (https://creativecommons.org/licenses/by/4.0/).
Share and Cite
Mao, M.; Jiang, H.; Zhang, X. Spatiotemporal Variation in Absorption Aerosol Optical Depth over China. Atmosphere 2024, 15, 1099. https://doi.org/10.3390/atmos15091099
Mao M, Jiang H, Zhang X. Spatiotemporal Variation in Absorption Aerosol Optical Depth over China. Atmosphere. 2024; 15(9):1099. https://doi.org/10.3390/atmos15091099
Chicago/Turabian StyleMao, Mao, Huan Jiang, and Xiaolin Zhang. 2024. "Spatiotemporal Variation in Absorption Aerosol Optical Depth over China" Atmosphere 15, no. 9: 1099. https://doi.org/10.3390/atmos15091099
APA StyleMao, M., Jiang, H., & Zhang, X. (2024). Spatiotemporal Variation in Absorption Aerosol Optical Depth over China. Atmosphere, 15(9), 1099. https://doi.org/10.3390/atmos15091099

