Indoor Concentration Distributions of Ammonia and Sulfur-Based Odorous Substances According to Types of Laying Hen Houses in South Korea
Abstract
1. Introduction
2. Materials and Methods
2.1. Subject
2.2. Measurement
3. Results
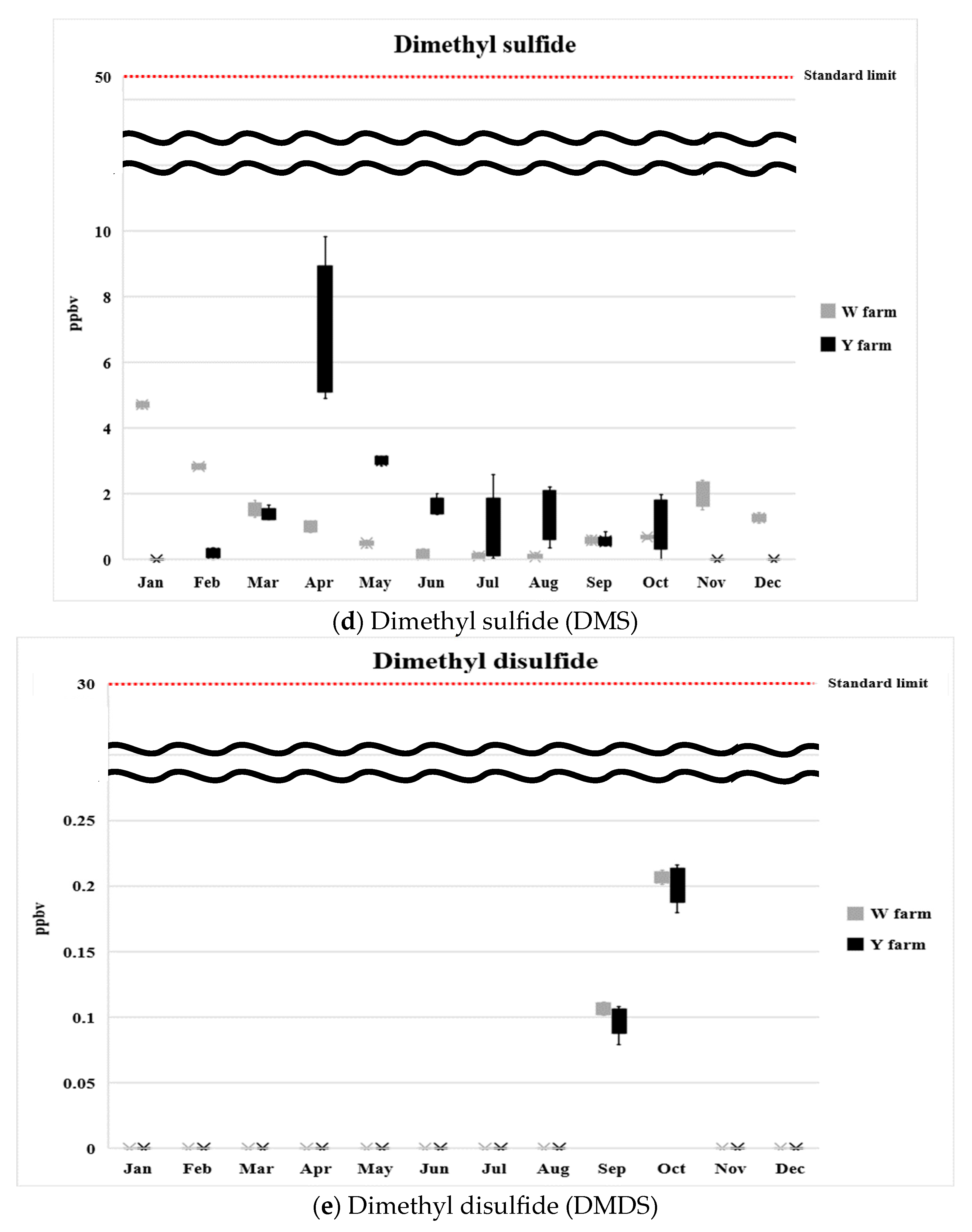
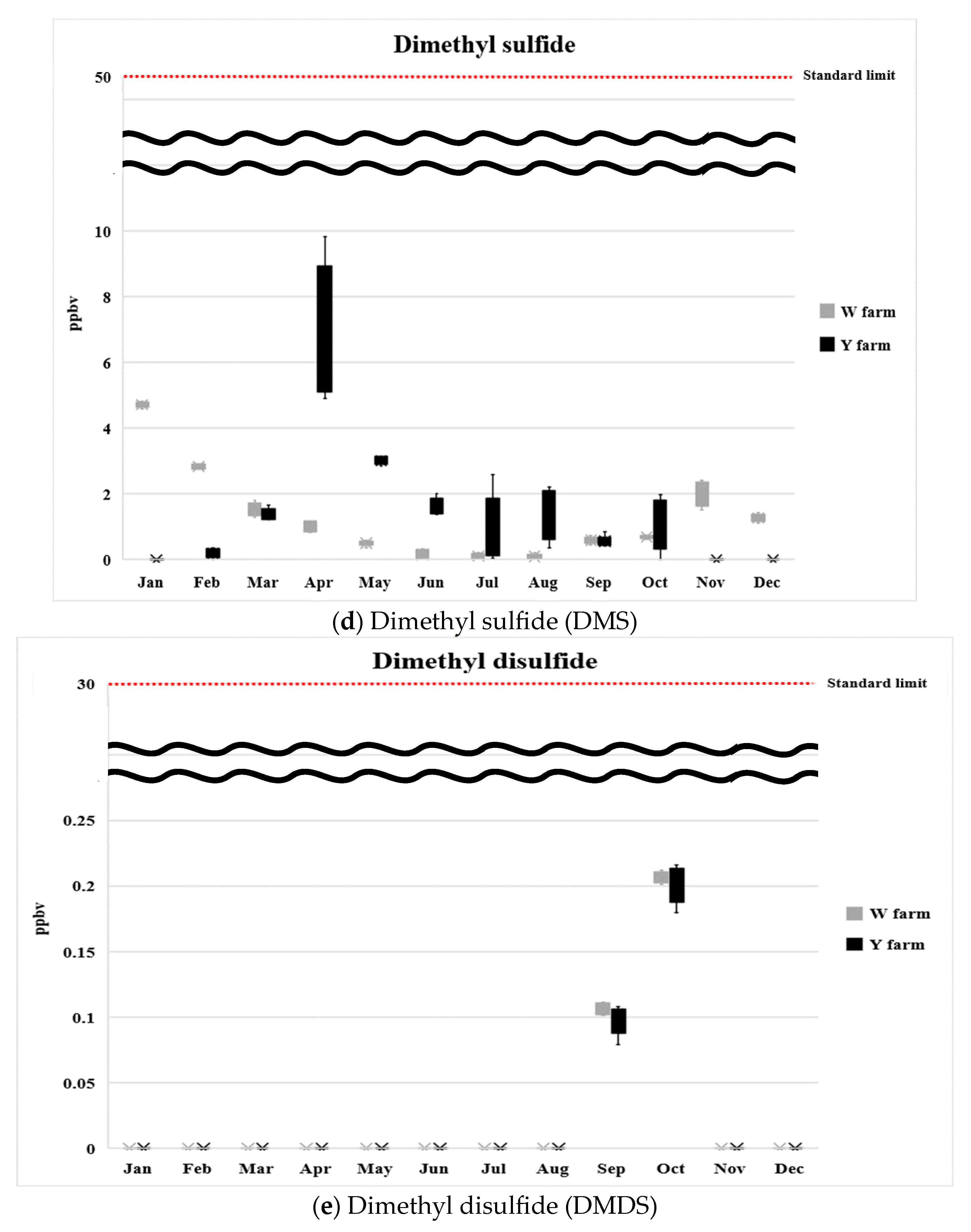
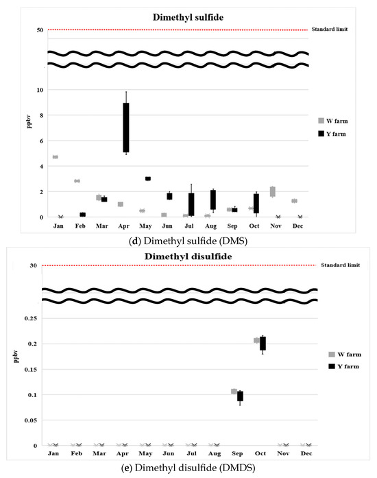
3.1. Ammonia and Sulfur-Based Odorous Substances: Monthly Concentration Distribution
3.2. Ammonia and Sulfur-Based Odorous Substances: Seasonal Concentration Distribution
4. Discussion
5. Conclusions
Author Contributions
Funding
Institutional Review Board Statement
Informed Consent Statement
Data Availability Statement
Conflicts of Interest
References
- Korea Ministry of Environment. Odor Prevention Act; Korea Ministry of Environment: Sejong, Republic of Korea, 2022.
- Korea Ministry of Agriculture. Livestock Statistics; Korea Ministry of Agriculture: Sejong, Republic of Korea, 2022.
- Hayes, E.T.; Curran, T.P.; Dodd, V. Odour and ammonia emissions from intensive pig units in Ireland. Bioresour. Technol. 2006, 97, 940–948. [Google Scholar] [CrossRef] [PubMed][Green Version]
- Hospido, A.; Sonesson, U. The environmental impact of mastitis: A case study of dairy herds. Sci. Total Environ. 2005, 343, 71–82. [Google Scholar] [CrossRef] [PubMed]
- Mayer, D.; Reiczigel, J.; Rubel, F. A Lagrangian particle model to predict the airborne spread of foot-and-mouth disease virus. Atmos. Environ. 2008, 42, 466–479. [Google Scholar] [CrossRef]
- Gustafsson, G. Factors affecting the release and concentration of dust in pig houses. J. Agric. Eng. Res. 1999, 74, 379–390. [Google Scholar] [CrossRef]
- Hartung, J.; Phillips, V. Control of gaseous emissions from livestock buildings and manure stores. J. Agric. Eng. Res. 1994, 57, 173–189. [Google Scholar] [CrossRef]
- Chang, C.; Chung, H.; Huang, C.-F.; Su, H.-J.J. Exposure assessment to airborne endotoxin, dust, ammonia, hydrogen sulfide and carbon dioxide in open style swine houses. Ann. Occup. Hyg. 2001, 45, 457–465. [Google Scholar] [CrossRef] [PubMed]
- Rimac, D.; Macan, J.; Varnai, V.M.; Vučemilo, M.; Matković, K.; Prester, L.; Orct, T.; Trošić, I.; Pavičić, I. Exposure to poultry dust and health effects in poultry workers: Impact of mould and mite allergens. Int. Arch. Occup. Environ. Health 2009, 83, 9–19. [Google Scholar] [CrossRef] [PubMed]
- Senthilselvan, A.; Beach, J.; Feddes, J.; Cherry, N.; Wenger, I. A prospective evaluation of air quality and workers’ health in broiler and layer operations. Occup. Environ. Med. 2011, 68, 102–107. [Google Scholar] [CrossRef] [PubMed]
- Gay, S.; Schmidt, D.; Clanton, C.; Janni, K.; Jacobson, L.; Weisberg, S. Odor, total reduced sulfur, and ammonia emissions from animal housing facilities and manure storage units in Minnesota. Appl. Eng. Agric. 2003, 19, 347. [Google Scholar]
- Hinz, T.; Linke, S. A comprehensive experimental study of aerial pollutants in and emissions from livestock buildings. Part 2: Results. J. Agric. Eng. Res. 1998, 70, 119–129. [Google Scholar] [CrossRef]
- Koerkamp, P.G.; Metz, J.; Uenk, G.; Phillips, V.; Holden, M.; Sneath, R.; Short, J.; White, R.; Hartung, J.; Seedorf, J. Concentrations and emissions of ammonia in livestock buildings in Northern Europe. J. Agric. Eng. Res. 1998, 70, 79–95. [Google Scholar] [CrossRef]
- Lacey, R.; Mukhtar, S.; Carey, J.; Ullman, J. A review of literature concerning odors, ammonia, and dust from broiler production facilities: 1. Odor concentrations and emissions. J. Appl. Poult. Res. 2004, 13, 500–508. [Google Scholar] [CrossRef]
- Wathes, C.; Holden, M.; Sneath, R.; White, R.; Phillips, V. Concentrations and emission rates of aerial ammonia, nitrous oxide, methane, carbon dioxide, dust and endotoxin in UK broiler and layer houses. Br. Poult. Sci. 1997, 38, 14–28. [Google Scholar] [CrossRef] [PubMed]
- Venter, P.; Lues, J.; Theron, H. Quantification of bioaerosols in automated chicken egg production plants. Poult. Sci. 2004, 83, 1226–1231. [Google Scholar] [CrossRef] [PubMed]
- Olesen, J.E.; Sommer, S.G. Modelling effects of wind speed and surface cover on ammonia volatilization from stored pig slurry. Atmos. Environ. 1993, 27, 2567–2574. [Google Scholar] [CrossRef]
- Hartung, J.; Rokicki, E. Occurrence of phenolic compounds in the dust of swine stalls and henhouses. Zentralblatt Fur Bakteriol. Mikrobiol. Und Hygiene. 1. Abt. Orig. B Hyg. 1984, 179, 431–439. [Google Scholar]
- Kuroda, K.; Osada, T.; Yonaga, M.; Kanematu, A.; Nitta, T.; Mouri, S.; Kojima, T. Emissions of malodorous compounds and greenhouse gases from composting swine feces. Bioresour. Technol. 1996, 56, 265–271. [Google Scholar] [CrossRef]
- Saraswati; George, M.P.; Sharma, S.K.; Mandal, T.K.; Kotnala, R.K. Simultaneous measurements of ambient NH3 and its relation ship with other trace gases, PM2.5 and meteorological parameters over Delhi, India. J. Metrol. Soc. India 2019, 34, 55–69. [Google Scholar]
- Sharma, S.K.; Datta, A.; Saud, T.; Saxena, M.; Manadal, T.K.; Ahammed, Y.N.; Arya, B.C. Seasonal variability of ambient NH3, NO, NO2 and SO2 over Delhi. J. Environ. Sci. 2010, 22, 1023–1028. [Google Scholar] [CrossRef] [PubMed]







| Laying Hen House | Manure Collection System | Ventilation Mode | Housing Head (N) | Size (m) (W × L × H) | Fan | |
|---|---|---|---|---|---|---|
| N | Location | |||||
| W farm | Treatment with conveyer belt | * F.V. (enclosed type) | 19,000 | 50.0 × 8.0 × 8.5 | 2 | Side wall |
| Y farm | Treatment with conveyer belt | † N.V. (winch-curtain) | 5700 | 51.0 × 6.4 × 9.0 | - | |
| Analyzer | Variables | Analytical Conditions | LOD | LOQ | Calibration |
|---|---|---|---|---|---|
| Uv-vis spetrometer (s-3100, scinco, Seoul, Republic of Korea) | Detector | Uv-vis | 0.01 ppmv | 0.03 ppmv | Every time in analyzing |
| Wavelength | 640 nm |
| Analytical Conditions | ||
|---|---|---|
| Thermal Desorber (Unity + Airserver: Markes Ltd., Bridgend, UK) | Sampling flow | 50 mL/min |
| Sampling time | 10 min | |
| Cold trap | Hydrogen sulfide | |
| Cold trap low temperature | −15 °C | |
| Cold trap high temperature | 250 °C | |
| Cold trap hold time | 5 min | |
| GC/FPD (GC-2010, Simadzu, Kyoto, Japan) | Column info | Varian CP-SIL 5CB (60 m × 0.32 mm × 5 µm) |
| Initial temperature | 50 °C (7 min) | |
| Temperature Rate | 10 °C/min to 280 °C | |
| Final temperature | 280 °C (5 min) | |
| Detector temperature | 300 °C | |
| H2 flow | 60 mL/min | |
| Air flow | 70 mL/min | |
| LOD | 0.001 ppbv | |
| LOQ | 0.003 ppbv | |
| Calibration | Every time in analyzing | |
Disclaimer/Publisher’s Note: The statements, opinions and data contained in all publications are solely those of the individual author(s) and contributor(s) and not of MDPI and/or the editor(s). MDPI and/or the editor(s) disclaim responsibility for any injury to people or property resulting from any ideas, methods, instructions or products referred to in the content. |
© 2024 by the authors. Licensee MDPI, Basel, Switzerland. This article is an open access article distributed under the terms and conditions of the Creative Commons Attribution (CC BY) license (https://creativecommons.org/licenses/by/4.0/).
Share and Cite
Kim, K.-Y.; Kim, J.-K. Indoor Concentration Distributions of Ammonia and Sulfur-Based Odorous Substances According to Types of Laying Hen Houses in South Korea. Atmosphere 2024, 15, 980. https://doi.org/10.3390/atmos15080980
Kim K-Y, Kim J-K. Indoor Concentration Distributions of Ammonia and Sulfur-Based Odorous Substances According to Types of Laying Hen Houses in South Korea. Atmosphere. 2024; 15(8):980. https://doi.org/10.3390/atmos15080980
Chicago/Turabian StyleKim, Ki-Youn, and Jung-Kon Kim. 2024. "Indoor Concentration Distributions of Ammonia and Sulfur-Based Odorous Substances According to Types of Laying Hen Houses in South Korea" Atmosphere 15, no. 8: 980. https://doi.org/10.3390/atmos15080980
APA StyleKim, K.-Y., & Kim, J.-K. (2024). Indoor Concentration Distributions of Ammonia and Sulfur-Based Odorous Substances According to Types of Laying Hen Houses in South Korea. Atmosphere, 15(8), 980. https://doi.org/10.3390/atmos15080980
