Study on Mapping and Identifying Risk Areas for Multiple Particulate Matter Pollution at the Block Scale Based on Local Climate Zones
Abstract
1. Introduction
2. Study Area and Research Methods
2.1. Overview of the Study Area
2.2. Data Sources and Preprocessing
2.3. Field Measurement
2.3.1. Monitoring Route Design
- (1)
- Instrument setting: The detection instrument is a Sniffer4D Lingxiu V2 atmospheric monitoring system (made by Kefei Technology Co., LTD., Shenzhen, China, purchased from the network official platform), which can record the concentration of PM1, PM2.5, and PM10 particles with a time resolution of 1 s.
- (2)
- Layout of the monitoring points: Determine the layout of the monitoring points by combining field investigation and remote sensing. Considering the uniformity and representativeness of the distribution, 37 mobile monitoring stations are set up, which cover all LCZ types and are mainly located in the middle of intersections and roads for easy measurement.
- (3)
- Make the mobile monitoring route: The mobile monitoring is carried out at time intervals. These routes are connected in a series with all the monitoring points. Considering the monitoring length and staffing, four monitoring routes are designed (Figure 3) to ensure that the monitoring data of the particulate matter concentration in different LCZ can be obtained in the same time period.
- (4)
- Field measurement: The monitoring activity is from October 2022 to March 2023, and the times with good weather conditions are selected for actual measurement. The monitoring height is 1.5 m, and the time resolution is 1 s. The method of multi-cycle continuous repeated measurement is adopted, in which every 1.5 h is designated as a cycle, and the monitoring time is 8:00–11:00 in the morning and 14:00–17:00 in the afternoon, with four cycles measured every day. The specific implementation process is as follows: after the instrument is turned on, let it stand for 5 min to start measuring activities. Fix the monitoring instrument at the front of the electric vehicle, drive on the route during the monitoring period, stay at each monitoring point for 1 min, and repeat the measurement in multiple periods after completing a closed route.
2.3.2. Quality Assurance and Quality Control of Particulate Matter Data
2.4. Research Methods
2.4.1. LCZ Construction in the Block
2.4.2. Kriging Interpolation
2.4.3. Hot Spot Analysis
2.4.4. Grid Spatial Data Integration
2.4.5. Correlation Analysis
2.5. Overall Research Approach
3. Results and Discussion
3.1. Description and Analysis of Block LCZ
3.2. Characterization of the Spatial Distribution of Particulate Matter Concentrations in the Block
3.2.1. Visualization of Measured Particulate Matter Concentrations in the Block
3.2.2. Spatial Interpolation Results of Particulate Matter in the Block
3.2.3. Identification of Particulate Matter Risk Areas Based on Time Weighting
3.3. Effect of LCZ on Particulate Dispersion
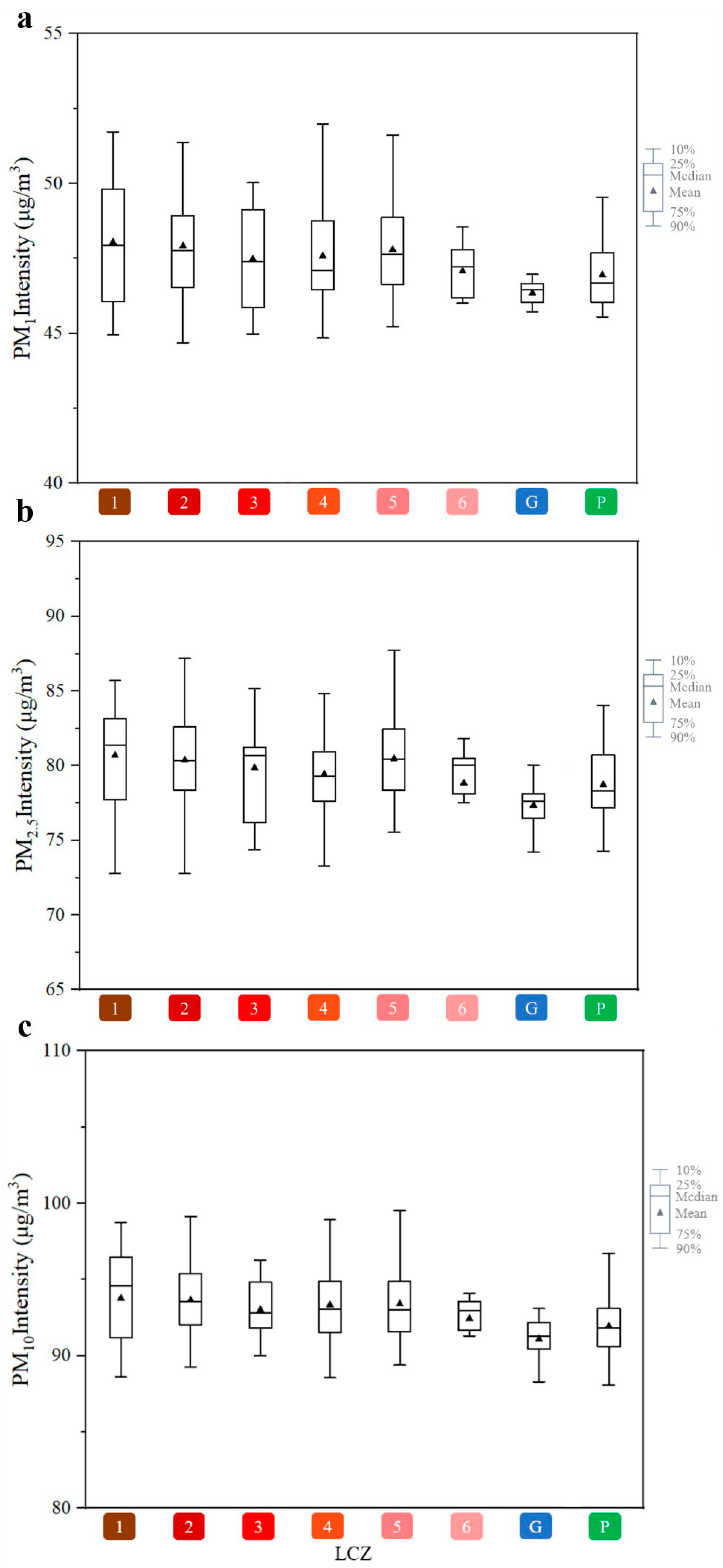
3.3.1. Correlation between LCZ and Particulate Matter
3.3.2. Correlation between LCZ and Particulate Matter
4. Discussions
4.1. PM2.5 Difference in LCZ Configuration
4.2. Suggestions for the Optimization of Risk Areas
4.3. Limitations
5. Conclusions
Author Contributions
Funding
Institutional Review Board Statement
Informed Consent Statement
Data Availability Statement
Conflicts of Interest
References
- Wu, D. Hazy weather research in China in the last decade: A review. Acta Sci. Circumstantiae 2012, 32, 257–269. [Google Scholar] [CrossRef]
- Song, J.; Li, C.L.; Liu, M.; Hu, Y.M.; Wu, W. Spatiotemporal Distribution Patterns and Exposure Risks of PM2.5 Pollution in China. Remote Sens. 2022, 14, 3173. [Google Scholar] [CrossRef]
- Hrdličková, Z.; Michálek, J.; Kolář, M.; Veselý, V. Identification of factors affecting air pollution by dust aerosol PM10 in Brno City, Czech Republic. Atmos. Environ. 2008, 42, 8661–8673. [Google Scholar] [CrossRef]
- Liu, H.M.; Fang, C.L.; Zhang, X.L.; Wang, Z.Y.; Bao, C.; Li, F.Z. The effect of natural and anthropogenic factors on haze pollution in Chinese cities: A spatial econometrics approach. J. Cleaner Prod. 2017, 165, 323–333. [Google Scholar] [CrossRef]
- Fan, C.J.; Tian, L.; Li, J.W. Research Progress of lmpacts of Urban Form on Air Quality. Urban Dev. Stud. 2017, 24, 92–100. [Google Scholar] [CrossRef]
- Gomišček, B.; Hauck, H.; Stopper, S.; Preining, O. Spatial and temporal variations of PM1, PM2.5, PM10 and particle number concentration during the AUPHEP—Project. Atmos. Environ. 2004, 38, 3917–3934. [Google Scholar] [CrossRef]
- Wu, W.; Wang, Y.Q.; Liu, M.; Li, C.L. A Review on the Use of Landscape Indices to Study the Effects of Three-Dimensional Urban Landscape Patterns on Haze Pollution in China. Pol. J. Environ. Stud. 2021, 30, 2957–2967. [Google Scholar] [CrossRef]
- Clark, P.L.; Millet, B.D.; Marshall, D.J. Air Quality and Urban Form in U.S. Urban Areas: Evidence from Regulatory Monitors. Environ. Sci. Technol. 2011, 45, 7028–7035. [Google Scholar] [CrossRef]
- Abougendia, M.S. Investigating surface UHI using local climate zones (LCZs), the case study of Cairo’s River Islands. Alexandria Eng. J. 2023, 77, 293–307. [Google Scholar] [CrossRef]
- Lyu, T.; Buccolieri, R.; Gao, Z. A Numerical Study on the Correlation between Sky View Factor and Summer Microclimate of Local Climate Zones. Atmosphere 2019, 10, 438. [Google Scholar] [CrossRef]
- Jiang, R.Y.; Xie, C.K.; Man, Z.H.; Afshari, A.; Che, S.Q. LCZ method is more effective than traditional LUCC method in interpreting the relationship between urban landscape and atmospheric particles. Sci. Total Environ. 2023, 869, 161677. [Google Scholar] [CrossRef] [PubMed]
- Cui, G.X.; Zhang, Z.S.; Xu, C.X.; Huang, W.X. Research advances in large eddy simulation of urban atmospheric environment. Adv. Mech. 2013, 43, 295–328. [Google Scholar] [CrossRef]
- Gong, J.; Hu, Y.; Liu, M.; Bu, R.; Chang, Y.; Bilal, M.; Li, C.; Wu, W.; Ren, B. Land use regression models using satellite aerosol optical depth observations and 3d building data from the central cities of Liaoning province, China. Pol. J. Environ. Stud. 2016, 25, 1015–1026. [Google Scholar] [CrossRef] [PubMed]
- Gaines Wilson, J.; Zawar-Reza, P. Intraurban-scale dispersion modelling of particulate matter concentrations: Applications for exposure estimates in cohort studies. Atmos. Environ. 2006, 40, 1053–1063. [Google Scholar] [CrossRef]
- Kim, C.H.; Meng, F.; Kajino, M.; Lim, J.; Tang, W.; Lee, J.J.; Kiriyama, Y.; Woo, J.H.; Sato, K.; Kitada, T.; et al. Comparative Numerical Study of PM2.5 in Exit-and-Entrance Areas Associated with Transboundary Transport over China, Japan, and Korea. Atmosphere 2021, 12, 469. [Google Scholar] [CrossRef]
- Lu, D.B.; Mao, W.L.; Yang, D.Y.; Zhao, J.N.; Xu, J.H. Effects of land use and landscape pattern on PM2.5 in Yangtze River Delta, China. Atmos. Pollut. Res. 2018, 9, 705–713. [Google Scholar] [CrossRef]
- Leen, B.; Vu, G.N.; Kim, C.V.; Han, H.D.; Ben, S.; Bruno, V. Assessment of the impact of local climate zones on fine dust concentrations: A case study from Hanoi, Vietnam. Build. Sci. 2023, 242, 110430. [Google Scholar] [CrossRef]
- McCarty, J.; Kaza, N. Urban form and air quality in the United States. Landsc. Urban Plan. 2015, 139, 168–179. [Google Scholar] [CrossRef]
- Jiang, Z.W.; Cheng, H.M.; Zhang, P.H.; Kang, T.F. Influence of urban morphological parameters on the distribution and diffusion of air pollutants: A case study in China. J. Environ. Sci. 2021, 105, 163–172. [Google Scholar] [CrossRef]
- Zhu, G.; Chen, Y.; Wu, W.; Liu, R.H.; Tang, Y.; Li, P.C.; Xu, A.W. Coupling relationships between urban block spatial morphology and microclimate in severe cold regions. iScience 2023, 26, 108313. [Google Scholar] [CrossRef]
- Shiva, N.S.; Pavan, R.Y.; Narayana, M.; Seema, K.; Pooja, R. Mobile monitoring of air pollution using low cost sensors to visualize spatio-temporal variation of pollutants at urban hotspots. Sustain. Cities Soc. 2019, 44, 520–535. [Google Scholar] [CrossRef]
- Cummings, E.R.; Stewart, D.J.; Kremer, P.; Shakya, M.K. Predicting citywide distribution of air pollution using mobile monitoring and three-dimensional urban structure. Sustain. Cities Soc. 2022, 76, 103510. [Google Scholar] [CrossRef]
- Messier, P.K.; Chambliss, E.S.; Gani, S.; Alvarez, R.; Brauer, M.; Choi, J.J.; Hamburg, P.S.; Kerckhoffs, J.; LaFranchi, B.; Lunden, M.M.; et al. Mapping Air Pollution with Google Street View Cars: Efficient Approaches with Mobile Monitoring and Land Use Regression. Environ. Sci. Technol. 2018, 52, 12563–12572. [Google Scholar] [CrossRef] [PubMed]
- Li, P.C.; Chen, J.D.; Li, Y.X.; Wu, W. Using the InVEST-PLUS Model to Predict and Analyze the Pattern of Ecosystem Carbon storage in Liaoning Province, China. Remote Sens. 2023, 15, 4050. [Google Scholar] [CrossRef]
- Li, C.L.; Xu, Y.Y.; Liu, M.; Hu, Y.M.; Huang, N.; Wu, W. Modeling the Impact of Urban Three-Dimensional Expansion on Atmospheric Environmental Conditions in an Old Industrial District: A Case Study in Shenyang, China. Pol. J. Environ. Stud. 2020, 29, 3171–3181. [Google Scholar] [CrossRef] [PubMed]
- Li, K.M.; Li, C.L.; Liu, M.; Hu, Y.M.; Wang, H.; Wu, W. Multiscale analysis of the effects of urban green infrastructure landscape patterns on PM2.5 concentrations in an area of rapid urbanization. J. Cleaner Prod. 2021, 325, 129324. [Google Scholar] [CrossRef]
- Shi, Y.; Xie, X.L.; Fung, C.J.; Ng, E. Identifying critical building morphological design factors of street-level air pollution dispersion in high-density built environment using mobile monitoring. Build. Sci. 2018, 128, 248–259. [Google Scholar] [CrossRef]
- Zhang, R.; Yang, J.; Ma, X.Y.; Xiao, X.M.; Xia, J.H. Optimal allocation of local climate zones based on heat vulnerability perspective. Sustain. Cities Soc. 2023, 99, 104981. [Google Scholar] [CrossRef]
- Cressie, A.N. The origins of kriging. Math. Geol. 1990, 22, 239–252. [Google Scholar] [CrossRef]
- Sampson, D.P.; Richards, M.; Szpiro, A.A.; Bergen, S.; Sheppard, L.; Larson, V.T.; Kaufman, D.J. A Regionalized National Universal Kriging Model Using Partial Least Squares Regression for Estimating Annual PM2.5 Concentrations in Epidemiology. Atmos. Environ. 2013, 75, 383–392. [Google Scholar] [CrossRef]
- Ord, J.K.; Getis, A. Local Spatial Autocorrelation Statistics: Distributional Issues and an Application. Geogr. Anal. 1995, 27, 286–306. [Google Scholar] [CrossRef]
- Zhang, H.R.; Tripathi, N.K. Geospatial hot spot analysis of lung cancer patients correlated to fine particulate matter (PM2.5) and industrial wind in Eastern Thailand. J. Cleaner Prod. 2018, 170, 407–424. [Google Scholar] [CrossRef]
- Tadesse, S.; Enqueselassie, F.; Hagos, S. Spatial and Space-Time Clustering of Tuberculosis in Gurage Zone, Southern Ethiopia. PLoS ONE 2018, 13, 0198353. [Google Scholar] [CrossRef]
- Md, F.K.; Yuichiro, S.; Koichiro, H.; Shigeki, M. Characterization of PM2.5, PM2.5–10 and PM>10 in ambient air, Yokohama, Japan. Atmos. Res. 2010, 96, 159–172. [Google Scholar] [CrossRef]
- Xie, Y.Y.; Zhao, B.; Zhang, L.; Luo, R. Spatiotemporal variations of PM2.5 and PM10 concentrations between 31 Chinese cities and their relationships with SO2, NO2, CO and O3. Particuology 2015, 20, 141–149. [Google Scholar] [CrossRef]
- Kuerban, M.; Waili, Y.; Fan, F.; Liu, Y.; Qin, W.; Dore, J.A.; Peng, J.J.; Xu, W.; Zhang, F.S. Spatio-temporal patterns of air pollution in China from 2015 to 2018 and implications for health risks. Environ Pollut. 2020, 258, 113659. [Google Scholar] [CrossRef] [PubMed]
- Zhang, A.Q.; Xia, C.; Li, W.F. Exploring the effects of 3D urban form on urban air quality: Evidence from fifteen megacities in China. Sustain. Cities Soc. 2022, 78, 103649. [Google Scholar] [CrossRef]
- Luo, H.Y.; Tang, X.; Wu, H.J.; Kong, L.; Wu, Q.; Cao, Q.; Song, Y.T.; Luo, X.C.; Wang, Y.; Zhu, J.; et al. The Impact of the Numbers of Monitoring Stations on the National and Regional Air Quality Assessment in China During 2013–18. Adv. Atmos. Sci. 2022, 39, 1709–1720. [Google Scholar] [CrossRef] [PubMed]
- Southworth, J.; Nagendra, H.; Tucker, M.C. Fragmentation of a landscape: Incorporating landscape metrics into satellite analyses of land-cover change. Landscape. Res. 2002, 27, 253–269. [Google Scholar] [CrossRef]
- Kong, F.H.; Yin, H.W.; Nakagoshi, N. Using GIS and landscape metrics in the hedonic price modeling of the amenity value of urban green space: A case study in Jinan City, China. Landsc Urban Plan. 2007, 79, 240–252. [Google Scholar] [CrossRef]
- Shi, Y.; Ren, C.; Lau, K.K.L.; Ng, E. Investigating the influence of urban land use and landscape pattern on PM2.5 spatial variation using mobile monitoring and WUDAPT. Landsc Urban Plan. 2019, 189, 15–26. [Google Scholar] [CrossRef]
- Yang, H.O.; Leng, Q.M.; Xiao, Y.F.; Chen, W.B. Investigating the impact of urban landscape composition and configuration on PM2.5 concentration under the LCZ scheme: A case study in Nanchang, China. Sustain. Cities Soc. 2022, 84, 104006. [Google Scholar] [CrossRef]
- Gao, Y.; Wang, Z.Y.; Liu, C.; Peng, Z.R. Assessing neighborhood air pollution exposure and its relationship with the urban form. Build. Sci. 2019, 155, 15–24. [Google Scholar] [CrossRef]
- Li, Z.Y.; Fung, C.H.J.; Lau, K.H.A. High spatiotemporal characterization of on-road PM2.5 concentrations in high-density urban areas using mobile monitoring. Build. Sci. 2018, 143, 196–205. [Google Scholar] [CrossRef]
- Ke, B.; Hu, W.H.; Huang, D.M.; Zhang, J.; Lin, X.T.; Li, C.H.; Jin, X.J.; Chen, J. Three-dimensional building morphology impacts on PM2.5 distribution in urban landscape settings in Zhejiang, China. Sci. Total Environ. 2022, 826, 154094. [Google Scholar] [CrossRef]
- Liu, M.Y.; Chen, H.; Wei, D.; Wu, Y.N.; Li, C. Nonlinear relationship between urban form and street-level PM2.5 and CO based on mobile measurements and gradient boosting decision tree models. Build. Sci. 2021, 205, 108265. [Google Scholar] [CrossRef]
- Maleki, M.; Asadi, M.; Naghadehi, S.Z.; Khosravi, A.; Wang, J.Y.; Stewart, D.I.; Shakeryari, M. Detecting local climate zone change and its effects on PM10 distribution using fuzzy machine learning in Tehran, Iran. Urban Clim. 2023, 49, 101506. [Google Scholar] [CrossRef]
- Deng, X.D.; Gao, F.; Liao, S.Y.; Li, S.Y. Unraveling the association between the built environment and air pollution from a geospatial perspective. J. Cleaner Prod. 2023, 386, 135768. [Google Scholar] [CrossRef]
- Verma, V.; Fang, T.; Xu, L.; Peltier, E.R.; Russell, G.A.; Ng, L.N.; Weber, R. Organic aerosols associated with the generation of reactive oxygen species (ROS) by water-soluble PM2.5. Environ. Sci. Technol. 2015, 49, 4646–4656. [Google Scholar] [CrossRef] [PubMed]
- Liang, D.; Ma, C.; Wang, Y.Q.; Wang, Y.J.; Chen-Xi, Z. Quantifying PM2.5 capture capability of greening trees based on leaf factors analyzing. Environ. Sci. Pollut. 2016, 23, 21176–21186. [Google Scholar] [CrossRef]
- Yuan, M.; Song, Y.; Huang, Y.P.; Shen, H.F.; Li, T.W. Exploring the association between the built environment and remotely sensed PM2.5 concentrations in urban areas. J. Cleaner Prod. 2019, 220, 1014–1023. [Google Scholar] [CrossRef]
- Wu, J.S.; Li, J.; Peng, J.C.; Peng, J.; Li, W.F.; Xu, G.; Dong, C.C. Applying land use regression model to estimate spatial variation of PM2.5 in Beijing, China. Environ. Sci. Pollut. 2015, 9, 7045–7061. [Google Scholar] [CrossRef] [PubMed]
- Feng, H.H.; Zou, B.; Tang, Y.M. Scale-and region-dependence in landscape-PM2.5 correlation: Implications for urban planning. Remote Sens. 2017, 9, 918. [Google Scholar] [CrossRef]
- Azimi, P.; Zhao, H.R.; Fazli, T.; Zhao, D.; Faramarzi, A.; Leung, L.; Stephens, B. Pilot study of the vertical variations in outdoor pollutant concentrations and environmental conditions along the height of a tall building. Build. Sci. 2018, 138, 124–134. [Google Scholar] [CrossRef]
- Huang, C.Y.; Hu, T.T.; Duan, Y.S.; Li, Q.Y.; Chen, N.; Wang, Q.; Zhou, M.G.; Rao, P.H. Effect of urban morphology on air pollution distribution in high-density urban blocks based on mobile monitoring and machine learning. Build. Sci. 2022, 219, 109173. [Google Scholar] [CrossRef]
- Miao, C.P.; Yu, S.; Hu, Y.M.; Liu, M.; Yao, J.; Zhang, Y.; He, X.Y.; Chen, W. Seasonal effects of street trees on particulate matter concentration in an urban street canyon. Sustain. Cities Soc. 2021, 73, 103095. [Google Scholar] [CrossRef]
- Bi, S.B.; Dai, F.; Chen, M.; Xu, S. A new framework for analysis of the morphological spatial patterns of urban green space to reduce PM2.5 pollution: A case study in Wuhan, China. Sustain. Cities Soc. 2022, 82, 103900. [Google Scholar] [CrossRef]
- Su, T.H.; Lin, C.S.; Lu, S.Y.; Lin, J.C.; Wang, H.H.; Liu, C.P. Effect of air quality improvement by urban parks on mitigating PM2.5 and its associated heavy metals: A mobile-monitoring field study. J. Environ. Man. 2022, 323, 116283. [Google Scholar] [CrossRef] [PubMed]
- Yang, S.; Wu, H.T.; Chen, J.; Lin, X.T.; Lu, T. Optimization of PM2.5 Estimation Using Landscape Pattern Information and Land Use Regression Model in Zhejiang, China. Atmosphere 2018, 9, 47. [Google Scholar] [CrossRef]
- Jones, A.B.; Fleck, J. Shrinking lakes, air pollution, and human health: Evidence from California’s Salton Sea. Sci. Total Environ. 2020, 712, 136490. [Google Scholar] [CrossRef] [PubMed]
- Cai, M.; Ren, C.; Xu, Y.; Dai, W.; Wang, X.M. Local Climate Zone Study for Sustainable Megacities Development by Using Improved WUDAPT Methodology—A Case Study in Guangzhou. Procedia Environ. Sci. 2016, 36, 82–89. [Google Scholar] [CrossRef]
- Cao, Q.; Luan, Q.Z.; Liu, Y.P.; Wang, R.Q. The effects of 2D and 3D building morphology on urban environments: A multi-scale analysis in the Beijing metropolitan region. Build Environ. 2021, 192, 107635. [Google Scholar] [CrossRef]
- Peng, J.; Chen, S.; Lü, H.L.; Liu, Y.X.; Wu, J.S. Spatiotemporal patterns of remotely sensed PM2.5 concentration in China from 1999 to 2011. Remote Sens. Environ. 2016, 174, 109–121. [Google Scholar] [CrossRef]









| Variables of Analysis | LCZ | |
|---|---|---|
| Spearman’s Correlation Analysis | Sig. (Two-Tailed) | |
| PM1 | −0.207 ** | 0.000 |
| PM2.5 | −0.246 ** | 0.000 |
| PM10 | −0.265 ** | 0.000 |
Disclaimer/Publisher’s Note: The statements, opinions and data contained in all publications are solely those of the individual author(s) and contributor(s) and not of MDPI and/or the editor(s). MDPI and/or the editor(s) disclaim responsibility for any injury to people or property resulting from any ideas, methods, instructions or products referred to in the content. |
© 2024 by the authors. Licensee MDPI, Basel, Switzerland. This article is an open access article distributed under the terms and conditions of the Creative Commons Attribution (CC BY) license (https://creativecommons.org/licenses/by/4.0/).
Share and Cite
Wu, W.; Liu, R.; Tang, Y. Study on Mapping and Identifying Risk Areas for Multiple Particulate Matter Pollution at the Block Scale Based on Local Climate Zones. Atmosphere 2024, 15, 794. https://doi.org/10.3390/atmos15070794
Wu W, Liu R, Tang Y. Study on Mapping and Identifying Risk Areas for Multiple Particulate Matter Pollution at the Block Scale Based on Local Climate Zones. Atmosphere. 2024; 15(7):794. https://doi.org/10.3390/atmos15070794
Chicago/Turabian StyleWu, Wen, Ruihan Liu, and Yu Tang. 2024. "Study on Mapping and Identifying Risk Areas for Multiple Particulate Matter Pollution at the Block Scale Based on Local Climate Zones" Atmosphere 15, no. 7: 794. https://doi.org/10.3390/atmos15070794
APA StyleWu, W., Liu, R., & Tang, Y. (2024). Study on Mapping and Identifying Risk Areas for Multiple Particulate Matter Pollution at the Block Scale Based on Local Climate Zones. Atmosphere, 15(7), 794. https://doi.org/10.3390/atmos15070794

