Impact of Meteorological Conditions on PM2.5 Pollution in Changchun and Associated Health Risks Analysis
Abstract
1. Introduction
2. Data and Methods
2.1. Data Collection
2.2. Model Configuration
2.3. Evaluation Indicators
2.4. Health Assessment
2.4.1. AQI
2.4.2. Novel Health Risk-Based Air Quality Index (NHAQI)
2.5. Scenario Settings
3. Results and Discussion
3.1. Model Performance
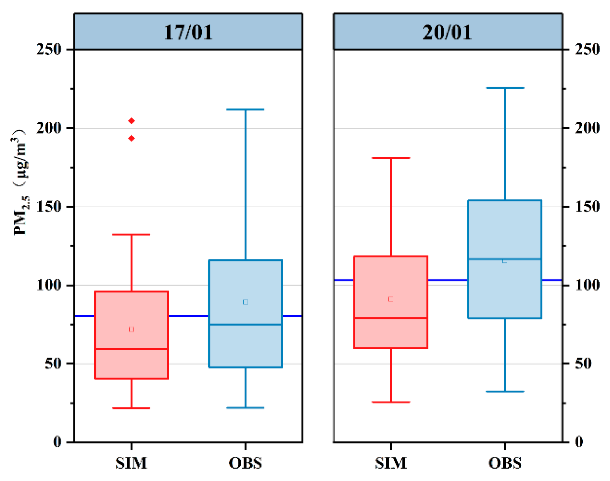
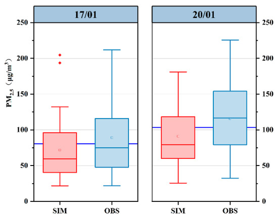
3.1.1. WRF Model
3.1.2. CMAQ Model
3.1.3. The Influence of Meteorological Parameters on PM2.5
3.2. Interannual Spatial and Temporal Distribution of AQI and NHAQI
4. Conclusions
Author Contributions
Funding
Institutional Review Board Statement
Informed Consent Statement
Data Availability Statement
Acknowledgments
Conflicts of Interest
References
- Chan, K.L.; Wang, Z.; Ding, A.; Heue, K.-P.; Shen, Y.; Wang, J.; Zhang, F.; Shi, Y.; Hao, N.; Wenig, M. MAX-DOAS measurements of tropospheric NO2 and HCHO in Nanjing and a comparison to ozone monitoring instrument observations. Atmos. Chem. Phys. 2019, 19, 10051–10071. [Google Scholar] [CrossRef]
- Xu, T.; Zhang, C.; Liu, C.; Hu, Q. Variability of PM2.5 and O-3 concentrations and their driving forces over Chinese megacities during 2018-2020. J. Environ. Sci. 2023, 124, 1–10. [Google Scholar] [CrossRef] [PubMed]
- Liu, C.; Chen, R.; Sera, F.; Vicedo-Cabrera, A.M.; Guo, Y.; Tong, S.; Coelho, M.S.Z.S.; Saldiva, P.H.N.; Lavigne, E.; Matus, P.; et al. Ambient Particulate Air Pollution and Daily Mortality in 652 Cities. N. Engl. J. Med. 2019, 381, 705–715. [Google Scholar] [CrossRef] [PubMed]
- Zhai, S.; Jacob, D.J.; Wang, X.; Shen, L.; Li, K.; Zhang, Y.; Gui, K.; Zhao, T.; Liao, H. Fine particulate matter (PM2.5) trends in China, 2013-2018: Separating contributions from anthropogenic emissions and meteorology. Atmos. Chem. Phys. 2019, 19, 11031–11041. [Google Scholar] [CrossRef]
- Yang, Q.; Yuan, Q.; Li, T.; Shen, H.; Zhang, L. The Relationships between PM2.5 and Meteorological Factors in China: Seasonal and Regional Variations. Int. J. Environ. Res. Public Health 2017, 14, 1510. [Google Scholar] [CrossRef] [PubMed]
- Miao, Y.; Liu, S.; Guo, J.; Yan, Y.; Huang, S.; Zhang, G.; Zhang, Y.; Lou, M. Impacts of meteorological conditions on wintertime PM2.5 pollution in Taiyuan, North China. Environ. Sci. Pollut. Res. 2018, 25, 21855–21866. [Google Scholar] [CrossRef] [PubMed]
- Duan, W.; Wang, X.; Cheng, S.; Wang, R.; Zhu, J. Influencing factors of PM2.5 and O-3 from 2016 to 2020 based on DLNM and WRF-CMAQ. Environ. Pollut. 2021, 285, 117512. [Google Scholar] [CrossRef] [PubMed]
- Kitayama, K.; Morino, Y.; Yamaji, K.; Chatani, S. Uncertainties in O-3 concentrations simulated by CMAQ over Japan using four chemical mechanisms. Atmos. Environ. 2019, 198, 448–462. [Google Scholar] [CrossRef]
- Chen, D.; Jin, X.; Fu, X.; Xia, L.; Guo, X.; Lang, J.; Zhou, Y.; Wei, W. Impact of Inter-Annual Variation in Meteorology from 2010 to 2019 on the Inter-City Transport of PM2.5 in the Beijing-Tianjin-Hebei Region. Sustainability 2022, 14, 6210. [Google Scholar] [CrossRef]
- Fang, C.; Qiu, J.; Li, J.; Wang, J. Analysis of the meteorological impact on PM2.5 pollution in Changchun based on KZ filter and WRF-CMAQ. Atmos. Environ. 2022, 271, 118924. [Google Scholar] [CrossRef]
- Shen, Y.; Jiang, F.; Feng, S.; Zheng, Y.; Cai, Z.; Lyu, X. Impact of weather and emission changes on NO2 concentrations in China during 2014–2019. Environ. Pollut. 2021, 269, 116163. [Google Scholar] [CrossRef] [PubMed]
- Wang, W.; Chen, C.; Liu, D.; Wang, M.; Han, Q.; Zhang, X.; Feng, X.; Sun, A.; Mao, P.; Xiong, Q.; et al. Health risk assessment of PM2.5 heavy metals in county units of northern China based on Monte Carlo simulation and APCS-MLR. Sci. Total Environ. 2022, 843, 156777. [Google Scholar] [CrossRef]
- Wang, J.; Li, J.; Li, X.L.; Fang, C.S. Characteristics of Air Pollutants Emission and Its Impacts on Public Health of Chengdu, Western China. Int. J. Environ. Res. Public Health 2022, 19, 16852. [Google Scholar] [CrossRef] [PubMed]
- Humphrey, J.L.; Reid, C.E.; Kinnee, E.J.; Kubzansky, L.D.; Robinson, L.F.; Clougherty, J.E. Putting Co-Exposures on Equal Footing: An Ecological Analysis of Same-Scale Measures of Air Pollution and Social Factors on Cardiovascular Disease in New York City. Int. J. Environ. Res. Public Health 2019, 16, 4621. [Google Scholar] [CrossRef] [PubMed]
- Rodrigues, S.D.; Ueda, R.M.; Barreto, A.C.; Zanini, R.R.; Souza, A.M. How atmospheric pollutants impact the development of chronic obstructive pulmonary disease and lung cancer: A var-based model. Environ. Pollut. 2021, 275, 116622. [Google Scholar] [CrossRef] [PubMed]
- Xia, S.Y.; Huang, D.S.; Jia, H.; Zhao, Y.; Li, N.; Mao, M.Q.; Lin, H.; Li, Y.X.; He, W.; Zhao, L. Relationship between atmospheric pollutants and risk of death caused by cardiovascular and respiratory diseases and malignant tumors in Shenyang, China, from 2013 to 2016: An ecological research. Chin. Med. J. 2019, 132, 2269–2277. [Google Scholar] [CrossRef] [PubMed]
- Li, X.; Zhao, H.Y.; Xue, T.; Geng, G.N.; Zheng, Y.X.; Li, M.; Zheng, B.; Li, H.Y.; Zhang, Q. Consumption-based PM2.5-related premature mortality in the Beijing-Tianjin-Hebei region. Sci. Total Environ. 2021, 800, 149575. [Google Scholar] [CrossRef] [PubMed]
- Liu, M.; Saari, R.K.; Zhou, G.X.; Li, J.; Han, L.; Liu, X.A. Recent trends in premature mortality and health disparities attributable to ambient PM2.5 exposure in China: 2005-2017. Environ. Pollut. 2021, 279, 116882. [Google Scholar] [CrossRef] [PubMed]
- Akan, A.P. Transmission of COVID-19 pandemic (Turkey) associated with short-term exposure of air quality and climatological parameters. Environ. Sci. Pollut. Res. 2022, 29, 41695–41712. [Google Scholar] [CrossRef]
- Coccia, M. How (Un)sustainable Environments Are Related to the Diffusion of COVID-19: The Relation between Coronavirus Disease 2019, Air Pollution, Wind Resource and Energy. Sustainability 2020, 12, 9709. [Google Scholar] [CrossRef]
- Coccia, M. High health expenditures and low exposure of population to air pollution as critical factors that can reduce fatality rate in COVID-19 pandemic crisis: A global analysis. Environ. Res. 2021, 199, 111339. [Google Scholar] [CrossRef] [PubMed]
- Akan, A.P.; Coccia, M. Changes of Air Pollution between Countries Because of Lockdowns to Face COVID-19 Pandemic. Appl. Sci. 2022, 12, 12806. [Google Scholar] [CrossRef]
- Gope, S.; Dawn, S.; Das, S.S. Effect of COVID-19 pandemic on air quality: A study based on Air Quality Index. Environ. Sci. Pollut. Res. 2021, 28, 35564–35583. [Google Scholar] [CrossRef] [PubMed]
- Yan, D.; Chen, G.; Lei, Y.; Zhou, Q.; Liu, C.; Su, F. Spatiotemporal Regularity and Socioeconomic Drivers of the AQI in the Yangtze River Delta of China. Int. J. Environ. Res. Public Health 2022, 19, 9017. [Google Scholar] [CrossRef] [PubMed]
- Kyrkilis, G.; Chaloulakou, A.; Kassomenos, P.A. Development of an aggregate Air Quality Index for an urban Mediterranean agglomeration: Relation to potential health effects. Environ. Int. 2007, 33, 670–676. [Google Scholar] [CrossRef]
- Hu, J.L.; Ying, Q.; Wang, Y.G.; Zhang, H.L. Characterizing multi-pollutant air pollution in China: Comparison of three air quality indices. Environ. Int. 2015, 84, 17–25. [Google Scholar] [CrossRef] [PubMed]
- Lei, R.Y.; Nie, D.Y.; Zhang, S.M.; Yu, W.N.; Ge, X.L.; Song, N.H. Spatial and temporal characteristics of air pollutants and their health effects in China during 2019-2020. J. Environ. Manag. 2022, 317, 115460. [Google Scholar] [CrossRef] [PubMed]
- Luo, H.P.; Guan, Q.Y.; Lin, J.K.; Wang, Q.Z.; Yang, L.Q.; Tan, Z.; Wang, N. Air pollution characteristics and human health risks in key cities of northwest China. J. Environ. Manag. 2020, 269, 110791. [Google Scholar] [CrossRef] [PubMed]
- Ma, Y.X.; Cheng, B.W.; Li, H.P.; Feng, F.L.; Zhang, Y.F.; Wang, W.C.; Qin, P.P. Air pollution and its associated health risks before and after COVID-19 in. Environ. Pollut. 2023, 320, 121090. [Google Scholar] [CrossRef]
- Feng, X.; Zhang, X.; He, C.; Wang, J. Contributions of Traffic and Industrial Emission Reductions to the Air Quality Improvement after the Lockdown of Wuhan and Neighboring Cities Due to COVID-19. Toxics 2021, 9, 358. [Google Scholar] [CrossRef] [PubMed]
- Huang, X.; Ding, A.; Gao, J.; Zheng, B.; Zhou, D.; Qi, X.; Tang, R.; Wang, J.; Ren, C.; Nie, W.; et al. Enhanced secondary pollution offset reduction of primary emissions during COVID-19 lockdown in China. Natl. Sci. Rev. 2021, 8, nwaa137. [Google Scholar] [CrossRef]
- Gao, H.; Wang, J.; Li, T.; Fang, C. Analysis of Air Quality Changes and Influencing Factors in Changchun during the COVID-19 Pandemic in 2020. Aerosol Air Qual. Res. 2021, 21, 210055. [Google Scholar] [CrossRef]
- Xue, W.; Shi, X.; Yan, G.; Wang, J.; Xu, Y.; Tang, Q.; Wang, Y.; Zheng, Y.; Lei, Y. Impacts of meteorology and emission variations on the heavy air pollution episode in North China around the 2020 Spring Festival. Sci. China-Earth Sci. 2021, 64, 329–339. [Google Scholar] [CrossRef] [PubMed]
- Li, M.; Liu, H.; Geng, G.N.; Hong, C.P.; Liu, F.; Song, Y.; Tong, D.; Zheng, B.; Cui, H.Y.; Man, H.Y.; et al. Anthropogenic emission inventories in China: A review. Natl. Sci. Rev. 2017, 4, 834–866. [Google Scholar] [CrossRef]
- Zheng, B.; Tong, D.; Li, M.; Liu, F.; Hong, C.P.; Geng, G.N.; Li, H.Y.; Li, X.; Peng, L.Q.; Qi, J.; et al. Trends in China’s anthropogenic emissions since 2010 as the consequence of clean air actions. Atmos. Chem. Phys. 2018, 18, 14095–14111. [Google Scholar] [CrossRef]
- Wang, K.; Gao, C.; Wu, K.; Liu, K.Y.; Wang, H.F.; Dan, M.; Ji, X.H.; Tong, Q.Q. ISAT v2.0: An integrated tool for nested-domain configurations andmodel-ready emission inventories for WRF-AQM. Geosci. Model Dev. 2023, 16, 1961–1973. [Google Scholar] [CrossRef]
- Emery, C.; Liu, Z.; Russell, A.G.; Odman, M.T.; Yarwood, G.; Kumar, N. Recommendations on statistics and benchmarks to assess photochemical model performance. J. Air Waste Manag. Assoc. 2017, 67, 582–598. [Google Scholar] [CrossRef] [PubMed]
- Boylan, J.W.; Russell, A.G. PM and light extinction model performance metrics, goals, and criteria for three-dimensional air quality models. Atmos. Environ. 2006, 40, 4946–4959. [Google Scholar] [CrossRef]
- Powers, J.G.; Klemp, J.B.; Skamarock, W.C.; Davis, C.A.; Dudhia, J.; Gill, D.O.; Coen, J.L.; Gochis, D.J.; Ahmadov, R.; Peckham, S.E.; et al. The Weather Research and Forecasting Model Overview, System Efforts, and Future Directions. Bull. Am. Meteorol. Soc. 2017, 98, 1717–1737. [Google Scholar] [CrossRef]
- Shang, Y.; Sun, Z.W.; Cao, J.J.; Wang, X.M.; Zhong, L.J.; Bi, X.H.; Li, H.; Liu, W.X.; Zhu, T.; Huang, W. Systematic review of Chinese studies of short-term exposure to air pollution and daily mortality. Environ. Int. 2013, 54, 100–111. [Google Scholar] [CrossRef]
- Cairncross, E.K.; John, J.; Zunckel, M. A novel air pollution index based on the relative risk of daily mortality associated with short-term exposure to common air pollutants. Atmos. Environ. 2007, 41, 8442–8454. [Google Scholar] [CrossRef]
- Chen, D.S.; Xie, X.; Zhou, Y.; Lang, J.L.; Xu, T.T.; Yang, N.; Zhao, Y.H.; Liu, X.X. Performance Evaluation of the WRF-Chem Model with Different Physical Parameterization Schemes during an Extremely High PM2.5 Pollution Episode in Beijing. Aerosol Air Qual. Res. 2017, 17, 262–277. [Google Scholar] [CrossRef]
- Hong, C.P.; Zhang, Q.; Zhang, Y.; Tang, Y.H.; Tong, D.; He, K.B. Multi-year downscaling application of two-way coupled WRF v3.4 and CMAQ v5.0.2 over east Asia for regional climate and air quality modeling: Model evaluation and aerosol direct effects. Geosci. Model Dev. 2017, 10, 2447–2470. [Google Scholar] [CrossRef]
- Zhang, Y.; Zhang, X.; Wang, L.T.; Zhang, Q.; Duan, F.K.; He, K.B. Application of WRF/Chem over East Asia: Part I. Model evaluation and intercomparison with MM5/CMAQ. Atmos. Environ. 2016, 124, 285–300. [Google Scholar] [CrossRef]
- Hu, J.; Chen, J.; Ying, Q.; Zhang, H. One-year simulation of ozone and particulate matter in China using WRF/CMAQ modeling system. Atmos. Chem. Phys. 2016, 16, 10333–10350. [Google Scholar] [CrossRef]
- Zhang, Y.; Wu, S.Y. Fine Scale Modeling of Agricultural Air Quality over the Southeastern United States Using Two Air Quality Models. Part II. Sensitivity Studies and Policy Implications. Aerosol Air Qual. Res. 2013, 13, 1475–1491. [Google Scholar] [CrossRef]












| Number | Name | Abbr. | Longitude (°E) | Latitude (°N) |
|---|---|---|---|---|
| 1 | Food Products Factory | FPF | 125.31 | 43.92 |
| 2 | Bus Factory Hospital | BFH | 125.29 | 43.90 |
| 3 | Institute of Posts and Telecommunications | IPT | 125.30 | 43.85 |
| 4 | Labor Park | LP | 125.37 | 43.87 |
| 5 | Gardern Management Office | GMO | 125.32 | 43.88 |
| 6 | Jingyue Park | JYP | 125.46 | 43.79 |
| 7 | Economic Development Zone Environment Sanitary Administration | EESA | 125.42 | 43.87 |
| 8 | High-Tech Zone Management Committee | HZMC | 125.25 | 43.82 |
| 9 | Daishan Park | DP | 125.22 | 43.85 |
| 10 | Shuaiwanzi | SWZ | 125.63 | 43.55 |
| 11 | Longjia Airport Meteorological Station | LJA | 125.70 | 44.00 |
| AQI | PM2.5 | PM10 | SO2 | NO2 | CO | MDA8 O3 | Category | Health Risks |
|---|---|---|---|---|---|---|---|---|
| (μg/m3) | (μg/m3) | (μg/m3) | (μg/m3) | (mg/m3) | (μg/m3) | |||
| 0–50 | 35 | 50 | 50 | 40 | 2 | 100 | Excellent | Satisfactory, no risk |
| 51–100 | 75 | 150 | 150 | 80 | 4 | 160 | Good | Acceptable, may be a moderate risk for a very small number of people |
| 101–150 | 115 | 250 | 475 | 180 | 14 | 215 | Light pollution | Unhealthy for sensitive people (children, older adults, etc.) |
| 151–200 | 150 | 350 | 800 | 280 | 24 | 265 | Moderate pollution | Unhealthy (everyone begins to have adverse health effects) |
| 201–300 | 250 | 420 | 1600 | 565 | 36 | 800 | Serious pollution | Very unhealthy (everyone experience more serious health effects) |
| 301–400 | 350 | 500 | 2100 | 750 | 48 | 1000 | Very severe pollution | Hazardous (healthy people have significant symptoms) |
| 401–500 | 500 | 600 | 2620 | 940 | 60 | 1200 |
| Scenarios Name | Meteorological | Emission |
|---|---|---|
| Case1 | Meteorological of January 2017 | Emissions listing of 2017 |
| Case2 | Meteorological of January 2020 | Emissions listing of 2017 |
| Meteorological Parameters | Year | Monitoring Mean Value | Simulated Mean Value | R | NMB | NME | MFB | MFE | RMSE |
|---|---|---|---|---|---|---|---|---|---|
| T2 (°C) | 2017 | −13.15 | −16.72 | 0.83 ** | 27.16% | −31.40% | 28.37% | 33.88% | 4.66 |
| 2020 | −13.23 | −17.83 | 0.79 ** | 74.22% | 39.80% | 34.36% | 35.98% | 4.92 | |
| WS10 (m/s) | 2017 | 3.42 | 4.04 | 0.64 ** | 18.25% | 39.00% | 12.82% | 38.79% | 1.05 |
| 2020 | 2.68 | 3.47 | 0.51 ** | 28.80% | 51.69% | 25.76% | 47.28% | 1.44 | |
| WD10 (degree) | 2017 | 271.49 | 289.15 | 0.74 ** | 9.40% | 12.98% | 5.89% | 7.86% | 28.61 |
| 2020 | 223.08 | 238.64 | 0.68 ** | 7.29% | 25.83% | 8.69% | 22.87% | 67.13 |
| Monitoring Sites | Statistical Indicators | January 2017 | January 2020 |
|---|---|---|---|
| FPF | Simulated Mean Value | 58.10 | 84.55 |
| Monitoring Mean Value | 90.46 | 133.34 | |
| R | 0.67 ** | 0.43 ** | |
| NMB | 35.57% | 36.00% | |
| NME | 48.86% | 55.00% | |
| MFB | 47.00% | 46.00% | |
| MFE | 65.40% | 70.00% | |
| BFH | Simulated Mean Value | 54.00 | 96.63 |
| Monitoring Mean Value | 89.32 | 112.82 | |
| R | 0.64 ** | 0.23 ** | |
| NMB | 40.29% | 32.00% | |
| NME | 51.35% | 60.14% | |
| MFB | 48.00% | 41.20% | |
| MFE | 69.29% | 68.21% | |
| IPT | Simulated Mean Value | 63.15 | 91.82 |
| Monitoring Mean Value | 99.05 | 119.96 | |
| R | 0.55 ** | 0.30 ** | |
| NMB | 36.37% | 17.20% | |
| NME | 53.67% | 52.00% | |
| MFB | 43.00% | 28.00% | |
| MFE | 70.78% | 62.00% | |
| LP | Simulated Mean Value | 67.16 | 101.10 |
| Monitoring Mean Value | 97.93 | 115.90 | |
| R | 0.49 ** | 0.31 ** | |
| NMB | 26.50% | 12.10% | |
| NME | 56.48% | 55.00% | |
| MFB | 28.00% | 23.00% | |
| MFE | 69.11% | 61.00% | |
| GMO | Simulated Mean Value | 68.46 | 101.25 |
| Monitoring Mean Value | 72.26 | 108.96 | |
| R | 0.52 ** | 0.31 ** | |
| NMB | 4.16% | 7.00% | |
| NME | 58.70% | 56.00% | |
| MFB | 10.00% | 21.00% | |
| MFE | 66.36% | 61.01% |
Disclaimer/Publisher’s Note: The statements, opinions and data contained in all publications are solely those of the individual author(s) and contributor(s) and not of MDPI and/or the editor(s). MDPI and/or the editor(s) disclaim responsibility for any injury to people or property resulting from any ideas, methods, instructions or products referred to in the content. |
© 2024 by the authors. Licensee MDPI, Basel, Switzerland. This article is an open access article distributed under the terms and conditions of the Creative Commons Attribution (CC BY) license (https://creativecommons.org/licenses/by/4.0/).
Share and Cite
Fang, C.; Li, X.; Li, J.; Tian, J.; Wang, J. Impact of Meteorological Conditions on PM2.5 Pollution in Changchun and Associated Health Risks Analysis. Atmosphere 2024, 15, 616. https://doi.org/10.3390/atmos15050616
Fang C, Li X, Li J, Tian J, Wang J. Impact of Meteorological Conditions on PM2.5 Pollution in Changchun and Associated Health Risks Analysis. Atmosphere. 2024; 15(5):616. https://doi.org/10.3390/atmos15050616
Chicago/Turabian StyleFang, Chunsheng, Xinlong Li, Juan Li, Jiaqi Tian, and Ju Wang. 2024. "Impact of Meteorological Conditions on PM2.5 Pollution in Changchun and Associated Health Risks Analysis" Atmosphere 15, no. 5: 616. https://doi.org/10.3390/atmos15050616
APA StyleFang, C., Li, X., Li, J., Tian, J., & Wang, J. (2024). Impact of Meteorological Conditions on PM2.5 Pollution in Changchun and Associated Health Risks Analysis. Atmosphere, 15(5), 616. https://doi.org/10.3390/atmos15050616

