Characteristics of Polycyclic Aromatic Hydrocarbons in Size-Resolved Particles in the Roadside Environment of Beijing: Seasonality, Source, and Toxicological Effects
Abstract
1. Introduction
2. Experimental
2.1. Sampling Site
2.2. The Collection of Size-Resolved Ambient Samples
2.3. Chemical Analyses
2.4. Receptor Model
2.5. Evaluation of Cytotoxicity of PAHs
3. Results and Discussion
3.1. Seasonal Variation in PAHs
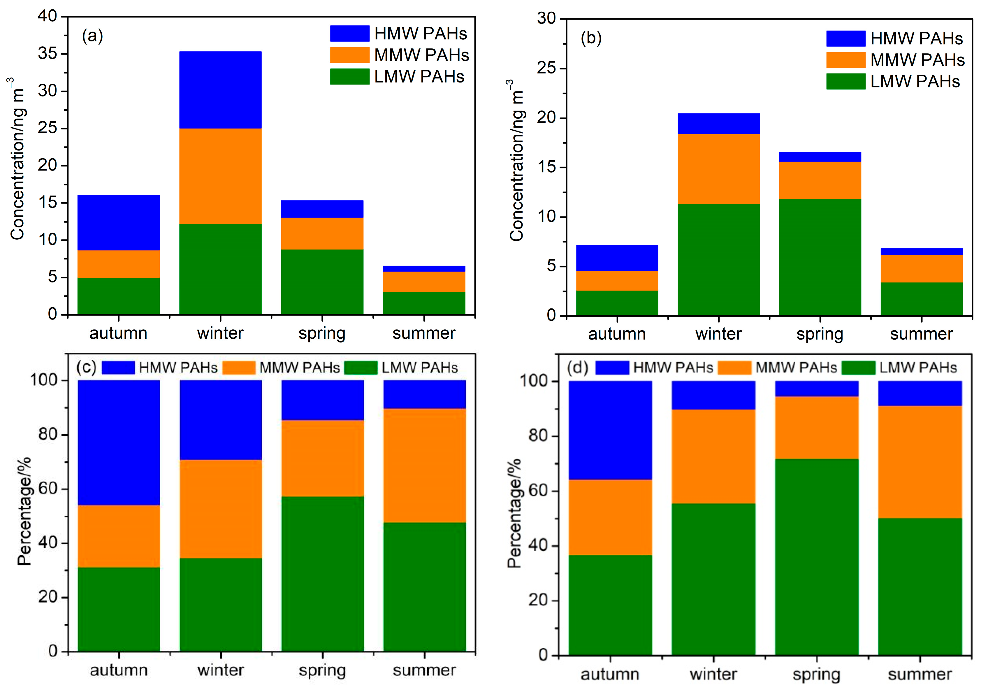
3.1.1. Levels of PAHs
3.1.2. Size Distribution of PAHs
3.2. Levels of PAHs in Different Pollution Levels
3.2.1. Differences in PAHs between Clear and Polluted Days
3.2.2. Differences in Size Fractions
3.3. Source Apportionment
3.3.1. PAH Diagnostic Ratios
3.3.2. PMF Model
- Gasoline emissions
- Biomass burning
- Coal combustion
- Diesel emissions
3.4. Toxicological Effect of PAHs on BEAS-2B Cells
4. Summary and Conclusions
Author Contributions
Funding
Institutional Review Board Statement
Informed Consent Statement
Data Availability Statement
Conflicts of Interest
References
- Perala-Dewey, J.; Orr, K.; Zawar-Reza, P. Atmospheric Transport of Polycyclic Aromatic Hydrocarbons into Three Alpine Valleys: Influence of Local-Scale Wind Patterns and Chemical Partitioning. Environ. Sci. Technol. 2023, 35, 57. [Google Scholar] [CrossRef] [PubMed]
- Shukla, S.; Khan, R.; Bhattacharya, P.; Devanesan, S.; Alsalhi, M.S. Concentration, source apportionment and potential carcinogenic risks of polycyclic aromatic hydrocarbons (PAHs) in roadside soils. Chemosphere 2022, 292, 133413. [Google Scholar] [CrossRef] [PubMed]
- Jiang, G.; Song, X.; Xie, J.; Shi, T.; Yang, Q. Polycyclic aromatic hydrocarbons (PAHs) in ambient air of Guangzhou city: Exposure levels, health effects and cytotoxicity. Ecotoxicol. Environ. Saf. 2023, 262, 115308. [Google Scholar] [CrossRef] [PubMed]
- Andersson, J.T.; Achten, C. Time to Say Goodbye to the 16 EPA PAHs? Toward an Up-to-Date Use of PACs for Environmental Purposes. Polycycl. Aromat. Compd. 2015, 35, 330–354. [Google Scholar] [CrossRef] [PubMed]
- Bergvall, C.; Westerholm, R. Identification and Determination of Highly Carcinogenic Dibenzopyrene Isomers in Air Particulate Samples from a Street Canyon, a Rooftop, and a Subway Station in Stockholm. Environ. Sci. Technol. 2007, 41, 731–737. [Google Scholar] [CrossRef] [PubMed]
- Ma, W.-L.; Zhu, F.-J.; Liu, L.-Y.; Jia, H.-L.; Yang, M.; Li, Y.-F. PAHs in Chinese atmosphere: Gas/particle partitioning. Sci. Total Environ. 2019, 693, 133623. [Google Scholar] [CrossRef] [PubMed]
- Alves, C.A.; Vicente, A.M.P.; Gomes, J.; Nunes, T.; Duarte, M.; Bandowe, B.A.M. Polycyclic aromatic hydrocarbons (PAHs) and their derivatives (oxygenated-PAHs, nitrated-PAHs and azaarenes) in size-fractionated particles emitted in an urban road tunnel. Atmos. Res. 2016, 180, 128–137. [Google Scholar] [CrossRef]
- Ali-Taleshi, M.S.; Riyahi Bakhtiari, A.; Moeinaddini, M.; Squizzato, S.; Feiznia, S.; Cesari, D. Single-site source apportionment modeling of PM2.5-bound PAHs in the Tehran metropolitan area, Iran: Implications for source-specific multi-pathway cancer risk assessment. Urban Clim. 2021, 39, 100928. [Google Scholar] [CrossRef]
- Gao, P.; Li, H.; Wilson, C.P.; Townsend, T.G.; Xiang, P.; Liu, Y.; Ma, L.Q. Source identification of PAHs in soils based on stable carbon isotopic signatures. Crit. Rev. Environ. Sci. Technol. 2018, 48, 923–948. [Google Scholar] [CrossRef]
- Jang, E.; Alam, M.S.; Harrison, R.M. Source apportionment of polycyclic aromatic hydrocarbons in urban air using positive matrix factorization and spatial distribution analysis. Atmos. Environ. 2013, 79, 271–285. [Google Scholar] [CrossRef]
- Wang, Q.; Dong, Z.; Guo, Y.; Yu, F.; Zhang, Z.; Zhang, R. Characterization of PM2.5-Bound Polycyclic Aromatic Hydrocarbons at Two Central China Cities: Seasonal Variation, Sources, and Health Risk Assessment. Arch. Environ. Contam. Toxicol. 2020, 78, 20–33. [Google Scholar] [CrossRef] [PubMed]
- Tang, N.; Suzuki, G.; Morisaki, H.; Tokuda, T.; Yang, X.; Zhao, L.; Lin, J.; Kameda, T.; Toriba, A.; Hayakawa, K. Atmospheric behaviors of particulate-bound polycyclic aromatic hydrocarbons and nitropolycyclic aromatic hydrocarbons in Beijing, China from 2004 to 2010. Atmos. Environ. 2017, 152, 354–361. [Google Scholar] [CrossRef]
- Famiyeh, L.; Chen, K.; Xu, J.; Sun, Y.; Guo, Q.; Wang, C.; Lv, J.; Tang, Y.T.; Yu, H.; Snape, C.; et al. A review on analysis methods, source identification, and cancer risk evaluation of atmospheric polycyclic aromatic hydrocarbons. Sci. Total Environ. 2021, 789, 147741. [Google Scholar] [CrossRef] [PubMed]
- Keyte, I.J.; Albinet, A.; Harrison, R.M. On-road traffic emissions of polycyclic aromatic hydrocarbons and their oxy- and nitro-derivative compounds measured in road tunnel environments. Sci. Total Environ. 2016, 566–567, 1131–1142. [Google Scholar] [CrossRef] [PubMed]
- Martuzevicius, D.; Kliucininkas, L.; Prasauskas, T.; Krugly, E.; Kauneliene, V.; Strandberg, B. Resuspension of particulate matter and PAHs from street dust. Atmos. Environ. 2011, 45, 310–317. [Google Scholar] [CrossRef]
- Bandowe, B.A.M.; Nkansah, M.A. Occurrence, distribution and health risk from polycyclic aromatic compounds (PAHs, oxygenated-PAHs and azaarenes) in street dust from a major West African Metropolis. Sci. Total Environ. 2016, 553, 439–449. [Google Scholar] [CrossRef] [PubMed]
- Wu, S.; Chen, Z.; Yang, L.; Zhang, Y.; Luo, X.; Guo, J.; Shao, Y. Particle-bound PAHs induced glucose metabolism disorders through HIF-1 pathway. Sci. Total Environ. 2021, 797, 149132. [Google Scholar] [CrossRef]
- Garcia, K.O.; Teixeira, E.C.; Agudelo-Castañeda, D.M.; Braga, M.; Alabarse, P.G.; Wiegand, F.; Kautzmann, R.M.; Silva, L.F.O. Assessment of nitro-polycyclic aromatic hydrocarbons in PM1 near an area of heavy-duty traffic. Sci. Total Environ. 2014, 479–480, 57–65. [Google Scholar] [CrossRef]
- Chen, F.; Hu, W.; Zhong, Q. Emissions of particle-phase polycyclic aromatic hydrocarbons (PAHs) in the Fu Gui-shan Tunnel of Nanjing, China. Atmos. Res. 2013, 124, 53–60. [Google Scholar] [CrossRef]
- Yang, M.; Tian, S.L.; Liu, Q.Y.; Yang, Z.; Yang, Y.F.; Shao, P.; Liu, Y.J. Determination of 31 Polycyclic Aromatic Hydrocarbons in Plant Leaves Using Internal Standard Method with Ultrasonic Extraction-Gas Chromatography-Mass Spectrometry. Toxics 2022, 10, 634. [Google Scholar] [CrossRef]
- Paatero, P.; Tapper, U. Positive matrix factorization: A non-negative factor model with optimal utilization of error estimates of data values. Environmetrics 1994, 5, 111–126. [Google Scholar] [CrossRef]
- Karanasiou, A.A.; Siskos, P.A.; Eleftheriadis, K. Assessment of source apportionment by Positive Matrix Factorization analysis on fine and coarse urban aerosol size fractions. Atmos. Environ. 2009, 43, 3385–3395. [Google Scholar] [CrossRef]
- Li, Y.; Bai, X.; Ren, Y.; Gao, R.; Ji, Y.; Wang, Y.; Li, H. PAHs and nitro-PAHs in urban Beijing from 2017 to 2018: Characteristics, sources, transformation mechanism and risk assessment. J. Hazard. Mater. 2022, 436, 129143. [Google Scholar] [CrossRef] [PubMed]
- Wang, Y.; Li, W.; Gao, W.; Liu, Z. 2013–2017 Trends in particulate matter and its chemical compositions in China. Sci. China Earth Sci. 2019, 62, 1857–1871. [Google Scholar] [CrossRef]
- Meng, Q.; Fan, S.; He, J.; Zhang, J.; Sun, Y.; Zhang, Y.; Zu, F. Particle size distribution and characteristics of polycyclic aromatic hydrocarbons during a heavy haze episode in Nanjing, China. Particuology 2015, 18, 127–134. [Google Scholar] [CrossRef]
- Zhang, F.; Xu, L.; Chen, J.; Chen, X.; Niu, Z.; Lei, T.; Li, C.; Zhao, J. Chemical characteristics of PM2.5 during haze episodes in the urban of Fuzhou, China. Particuology 2013, 11, 264–272. [Google Scholar] [CrossRef]
- Tian, S.; Pan, Y.; Liu, Z.; Wen, T.; Wang, Y. Size-resolved aerosol chemical analysis of extreme haze pollution events during early 2013 in urban Beijing, China. J. Hazard. Mater. 2014, 279, 452–460. [Google Scholar] [CrossRef] [PubMed]
- Zhang, W.; Zhang, S.; Wan, C.; Yue, D.; Ye, Y.; Wang, X. Source diagnostics of polycyclic aromatic hydrocarbons in urban road runoff, dust, rain and canopy throughfall. Environ. Pollut. 2008, 153, 594–601. [Google Scholar] [CrossRef]
- Yunker, M.B.; Macdonald, R.W.; Vingarzan, R.; Mitchell, R.H.; Goyette, D.; Sylvestre, S. PAHs in the Fraser River basin: A critical appraisal of PAH ratios as indicators of PAH source and composition. Org. Geochem. 2002, 33, 489–515. [Google Scholar] [CrossRef]
- Elzein, A.; Dunmore, R.E.; Ward, M.W.; Hamilton, J.F.; Lewis, A.C. Variability of polycyclic aromatic hydrocarbons and their oxidative derivatives in wintertime Beijing, China. Atmos. Chem. Phys. 2019, 19, 8741–8758. [Google Scholar] [CrossRef]
- Oliveira, C.; Martins, N.; Tavares, J.; Pio, C.; Cerqueira, M.; Matos, M.; Silva, H.; Oliveira, C.; Camoes, F. Size distribution of polycyclic aromatic hydrocarbons in a roadway tunnel in Lisbon, Portugal. Chemosphere 2011, 83, 1588–1596. [Google Scholar] [CrossRef] [PubMed]
- Iakovides, M.; Stephanou, E.G.; Apostolaki, M.; Hadjicharalambous, M.; Evans, J.S.; Koutrakis, P.; Achilleos, S. Study of the occurrence of airborne Polycyclic Aromatic Hydrocarbons associated with respirable particles in two coastal cities at Eastern Mediterranean: Levels, source apportionment, and potential risk for human health. Atmos. Environ. 2019, 213, 170–184. [Google Scholar] [CrossRef]
- Fang, B.; Zhang, L.; Zeng, H.; Liu, J.; Yang, Z.; Wang, H.; Wang, Q.; Wang, M. PM2.5-Bound Polycyclic Aromatic Hydrocarbons: Sources and Health Risk during Non-Heating and Heating Periods (Tangshan, China). Int. J. Environ. Res. Public Health 2020, 17, 483. [Google Scholar] [CrossRef] [PubMed]
- Gurkan Ayyildiz, E.; Esen, F. Atmospheric Polycyclic Aromatic Hydrocarbons (PAHs) at Two Sites, in Bursa, Turkey: Determination of Concentrations, Gas-Particle Partitioning, Sources, and Health Risk. Arch. Environ. Contam. Toxicol. 2020, 78, 350–366. [Google Scholar] [CrossRef]
- Kubo, T.; Bai, W.; Nagae, M.; Takao, Y. Seasonal Fluctuation of Polycyclic Aromatic Hydrocarbons and Aerosol Genotoxicity in Long-Range Transported Air Mass Observed at the Western End of Japan. Int. J. Environ. Res. Public Health 2020, 17, 1210. [Google Scholar] [CrossRef] [PubMed]
- Sofowote, U.M.; Allan, L.M.; McCarry, B.E. Evaluation of PAH diagnostic ratios as source apportionment tools for air particulates collected in an urban-industrial environment. J. Environ. Monit. 2010, 12, 417–424. [Google Scholar] [CrossRef] [PubMed]
- Liu, J.; Man, R.; Ma, S.; Li, J.; Wu, Q.; Peng, J. Atmospheric levels and health risk of polycyclic aromatic hydrocarbons (PAHs) bound to PM2.5 in Guangzhou, China. Mar. Pollut. Bull. 2015, 100, 134–143. [Google Scholar] [CrossRef]
- Bai, L.; Chen, W.; He, Z.; Sun, S.; Qin, J. Pollution characteristics, sources and health risk assessment of polycyclic aromatic hydrocarbons in PM2.5 in an office building in northern areas, China. Sustain. Cities Soc. 2020, 53, 101891. [Google Scholar] [CrossRef]
- Hoseini, M.; Yunesian, M.; Nabizadeh, R.; Yaghmaeian, K.; Ahmadkhaniha, R.; Rastkari, N.; Parmy, S.; Faridi, S.; Rafiee, A.; Naddafi, K. Characterization and risk assessment of polycyclic aromatic hydrocarbons (PAHs) in urban atmospheric particulate of Tehran, Iran. Environ. Sci. Pollut. Res. 2016, 23, 1820–1832. [Google Scholar] [CrossRef]
- Ouyang, R.; Yang, S.; Xu, L. Analysis and risk assessment of PM2.5-bound PAHs in a comparison of indoor and outdoor environments in a middle school: A case study in Beijing, China. Atmosphere 2020, 11, 904. [Google Scholar] [CrossRef]
- Pengchai, P.; Chantara, S.; Sopajaree, K.; Wangkarn, S.; Tengcharoenkul, U.; Rayanakorn, M. Seasonal variation, risk assessment and source estimation of PM 10 and PM10-bound PAHs in the ambient air of Chiang Mai and Lamphun, Thailand. Environ. Monit. Assess. 2009, 154, 197–218. [Google Scholar] [CrossRef] [PubMed]
- Wang, D.; Tian, F.; Yang, M.; Liu, C.; Li, Y.F. Application of positive matrix factorization to identify potential sources of PAHs in soil of Dalian, China. Environ. Pollut. 2009, 157, 1559–1564. [Google Scholar] [CrossRef] [PubMed]
- Rogge, W.F.; Hlldemann, L.M.; Mazurek, M.A.; Cass, G.R. Sources of fine organic aerosol. 2. Noncatalyst and catalyst-equipped automobiles and heavy-duty diesel trucks. Environ. Sci. Technol. 1993, 27, 636–651. [Google Scholar] [CrossRef]
- Khalili, N.R.; Scheff, P.A.; Holsen, T.M. PAH source fingerprints for coke ovens, diesel and gasoline engines, highway tunnels, and wood combustion emissions. Atmos. Environ. 1995, 29, 533–542. [Google Scholar] [CrossRef]
- Bzdusek, P.A.; Christensen, E.R.; Li, A.; Zou, Q. Source apportionment of sediment PAHs in Lake Calumet, Chicago: Application of factor analysis with nonnegative constraints. Environ. Sci. Technol. 2004, 38, 97–103. [Google Scholar] [CrossRef]
- Li, J.; Zhang, G.; Li, X.D.; Qi, S.H.; Liu, G.Q.; Peng, X.Z. Source seasonality of polycyclic aromatic hydrocarbons (PAHs) in a subtropical city, Guangzhou, South China. Sci. Total Environ. 2006, 355, 145–155. [Google Scholar] [CrossRef] [PubMed]
- Wan, X.; Chen, J.; Tian, F.; Sun, W.; Yang, F.; Saiki, K. Source apportionment of PAHs in atmospheric particulates of Dalian: Factor analysis with nonnegative constraints and emission inventory analysis. Atmos. Environ. 2006, 40, 6666–6675. [Google Scholar] [CrossRef]
- Harrison, R.M.; Smith, D.J.T.; Luhana, L. Source apportionment of atmospheric polycyclic aromatic hydrocarbons collected from an urban location in Birmingham, U.K. Environ. Sci. Technol. 1996, 30, 825–832. [Google Scholar] [CrossRef]
- Chang, K.F.; Fang, G.C.; Chen, J.C.; Wu, Y.S. Atmospheric polycyclic aromatic hydrocarbons (PAHs) in Asia: A review from 1999 to 2004. Environ. Pollut. 2006, 142, 388–396. [Google Scholar] [CrossRef]
- Karavalakis, G.; Fontaras, G.; Ampatzoglou, D.; Kousoulidou, M.; Stournas, S.; Samaras, Z.; Bakeas, E. Effects of low concentration biodiesel blends application on modern passenger cars. Part 3: Impact on PAH, nitro-PAH, and oxy-PAH emissions. Environ. Pollut. 2010, 158, 1584–1594. [Google Scholar] [CrossRef]
- Ballesteros, R.; Hernández, J.J.; Lyons, L.L. An experimental study of the influence of biofuel origin on particle-associated PAH emissions. Atmos. Environ. 2010, 44, 930–938. [Google Scholar] [CrossRef]
- Singh, K.P.; Malik, A.; Kumar, R.; Saxena, P.; Sinha, S. Receptor modeling for source apportionment of polycyclic aromatic hydrocarbons in urban atmosphere. Environ. Monit. Assess. 2008, 136, 183–196. [Google Scholar] [CrossRef] [PubMed]
- Xu, A.; Mao, Y.; Su, Y.; Shi, M.; Qi, S. Characterization, sources and risk assessment of PM2.5-bound polycyclic aromatic hydrocarbons (PAHs) in Huanggang city, central China. Atmos. Environ. 2021, 264, 118296. [Google Scholar] [CrossRef]
- Singh, S.; Ashesh, A.; Linthoingambi, D.N.; Yadav, I.C. A comprehensive review on occurrence, source, effect, and measurement techniques of polycyclic aromatic hydrocarbons in India. Microchem. J. 2022, 183, 108005. [Google Scholar] [CrossRef]








| No. | Compound | Abbreviation | Formula | Benzene Ring |
|---|---|---|---|---|
| 1 | Naphthalene | NAP | C10H8 | 2 |
| 2 | Fluorene | FLO | C13H10 | 3 |
| 3 | Phenanthrene | PHE | C14H10 | 3 |
| 4 | Anthracene | ANT | C14H10 | 3 |
| 5 | Fluoranthene | FLA | C16H10 | 4 |
| 6 | Retene | RET | C18H18 | 3 |
| 7 | Pyrene | PYR | C16H10 | 4 |
| 8 | Benzo(g,h,i)perylene | BghiF | C18H10 | 4 |
| 9 | Benzo(c)phenanthrene | BcPHE | C18H12 | 4 |
| 10 | Benz(a)anthracene | BaA | C18H12 | 4 |
| 11 | Cyclopenta(c,d)pyrene | CPEP | C18H10 | 4 |
| 12 | Chrysene | CHR | C18H12 | 4 |
| 13 | Benzo(b)fluoranthene | BbF | C20H12 | 5 |
| 14 | Benzo(k)fluoranthene | BkF | C20H12 | 5 |
| 15 | 7,12-Dimethylbenz(a)anthracene | DMBA | C20H16 | 4 |
| 16 | Benzo(j)fluoranthene | BjF | C20H12 | 5 |
| 17 | Benz(e)pyrene | BeP | C20H12 | 5 |
| 18 | Benz(a)pyrene | BaP | C20H12 | 5 |
| 19 | Perylene | PER | C20H12 | 5 |
| 20 | 3-Methylcholanthrene | MC | C21H16 | 5 |
| 21 | Indeno(1,2,3-cd)pyrene | IcdP | C22H12 | 6 |
| 22 | Dibenz(a,h)anthracene | DahA | C22H14 | 5 |
| 23 | Picene | PIC | C22H14 | 5 |
| 24 | Benzo(g,h,i)perylene | BghiP | C22H12 | 6 |
| Ratios | PM2.1 | PM2.1–9 | PM2.1 | PM2.1–9 | Reference Value | Sources | ||||||||
|---|---|---|---|---|---|---|---|---|---|---|---|---|---|---|
| Autumn | Winter | Spring | Summer | Autumn | Winter | Spring | Summer | Clear | Polluted | Clear | Polluted | |||
| MMW/HMW | 0.50 | 1.25 | 1.95 | 4.14 | 0.77 | 3.41 | 4.30 | 4.68 | 1.26 | 1.24 | 3.81 | 3.26 | - | The higher the ratio, the more it comes from external sources |
| BaP/(BaP + Chr) | 0.32 | 0.43 | 0.55 | 0.64 | 0.39 | 0.52 | 0.65 | 0.64 | 0.36 | 0.49 | 0.45 | 0.65 | 0.07~0.24 | Coal combustion |
| 0.49 | Gasoline emissions | |||||||||||||
| 0.68 | Diesel emissions | |||||||||||||
| ANT/(ANT + PHE) | 0.13 | 0.16 | 0.12 | 0.13 | 0.19 | 0.22 | 0.11 | 0.12 | 0.13 | 0.20 | 0.18 | 0.26 | <0.1 | Petroleum products |
| >0.1 | Combustion source | |||||||||||||
| BaA/(BaA + Chr) | 0.47 | 0.34 | 0.37 | 0.53 | 0.50 | 0.31 | 0.52 | 0.53 | 0.29 | 0.38 | 0.23 | 0.36 | <0.2 | Petrogenic |
| 0.2–0.35 | Coal combustion | |||||||||||||
| >0.35 | Vehicular emissions | |||||||||||||
| IcdP/(IcdP + BghiP) | 0.30 | 0.42 | 0.21 | 0.20 | 0.32 | 0.46 | 0.24 | 0.35 | 0.52 | 0.36 | 0.56 | 0.37 | 0.18 | Gasoline emissions |
| 0.37 | Diesel emissions | |||||||||||||
| 0.56 | Coal combustion | |||||||||||||
Disclaimer/Publisher’s Note: The statements, opinions and data contained in all publications are solely those of the individual author(s) and contributor(s) and not of MDPI and/or the editor(s). MDPI and/or the editor(s) disclaim responsibility for any injury to people or property resulting from any ideas, methods, instructions or products referred to in the content. |
© 2024 by the authors. Licensee MDPI, Basel, Switzerland. This article is an open access article distributed under the terms and conditions of the Creative Commons Attribution (CC BY) license (https://creativecommons.org/licenses/by/4.0/).
Share and Cite
Tian, S.; Liu, Q.; Ge, S.; Luo, L.; Yang, M.; An, Y.; Shao, P.; Liu, Y. Characteristics of Polycyclic Aromatic Hydrocarbons in Size-Resolved Particles in the Roadside Environment of Beijing: Seasonality, Source, and Toxicological Effects. Atmosphere 2024, 15, 346. https://doi.org/10.3390/atmos15030346
Tian S, Liu Q, Ge S, Luo L, Yang M, An Y, Shao P, Liu Y. Characteristics of Polycyclic Aromatic Hydrocarbons in Size-Resolved Particles in the Roadside Environment of Beijing: Seasonality, Source, and Toxicological Effects. Atmosphere. 2024; 15(3):346. https://doi.org/10.3390/atmos15030346
Chicago/Turabian StyleTian, Shili, Qingyang Liu, Simin Ge, Liang Luo, Ming Yang, Yunhe An, Peng Shao, and Yanju Liu. 2024. "Characteristics of Polycyclic Aromatic Hydrocarbons in Size-Resolved Particles in the Roadside Environment of Beijing: Seasonality, Source, and Toxicological Effects" Atmosphere 15, no. 3: 346. https://doi.org/10.3390/atmos15030346
APA StyleTian, S., Liu, Q., Ge, S., Luo, L., Yang, M., An, Y., Shao, P., & Liu, Y. (2024). Characteristics of Polycyclic Aromatic Hydrocarbons in Size-Resolved Particles in the Roadside Environment of Beijing: Seasonality, Source, and Toxicological Effects. Atmosphere, 15(3), 346. https://doi.org/10.3390/atmos15030346

