Interaction between the Westerlies and Asian Monsoons in the Middle Latitudes of China: Review and Prospect
Abstract
1. Introduction
2. Background—Characteristics of the Westerly Circulation and Asian Summer Monsoon
2.1. Westerly Circulation
2.2. Asian Summer Monsoon
2.3. Extent of the Westerly and ASM
3. The Relationship and Interaction between the Westerlies and ASM: A Review and Discussion on the Spatiotemporal Scales and Driving Mechanisms
3.1. Changes of the Westerlies and ASM at Different Time Scales and Their Relationships
3.1.1. Initial Period
3.1.2. From the Middle Pleistocene to the Last Interglacial Period (1200–130 ka B.P.)
3.1.3. Last Interglacial Period (130–70 ka B.P.)
3.1.4. Last Glacial Period (70–12 ka B.P.)

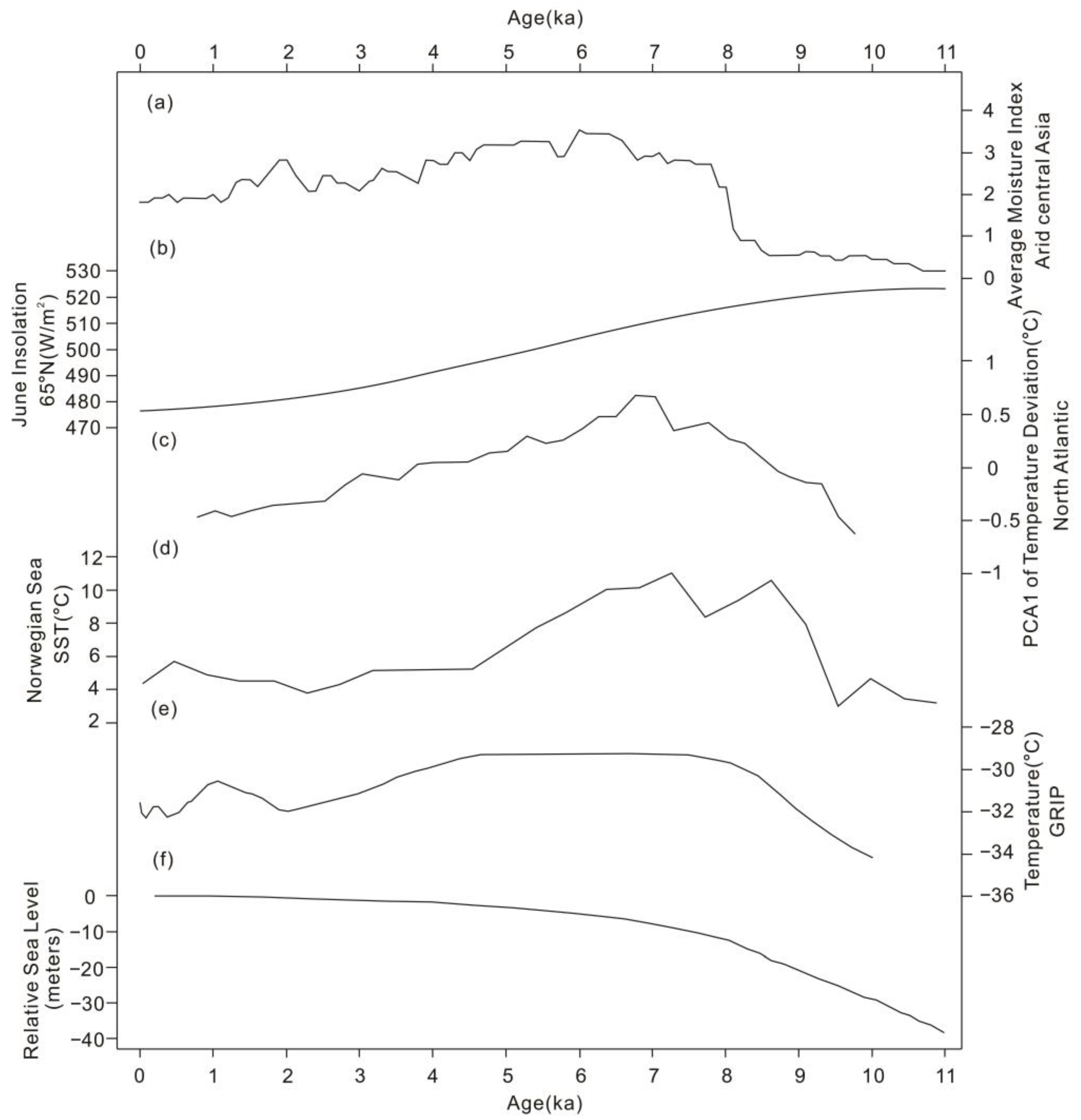
3.1.5. The Holocene (12 ka B.P.–1 ka B.P.)

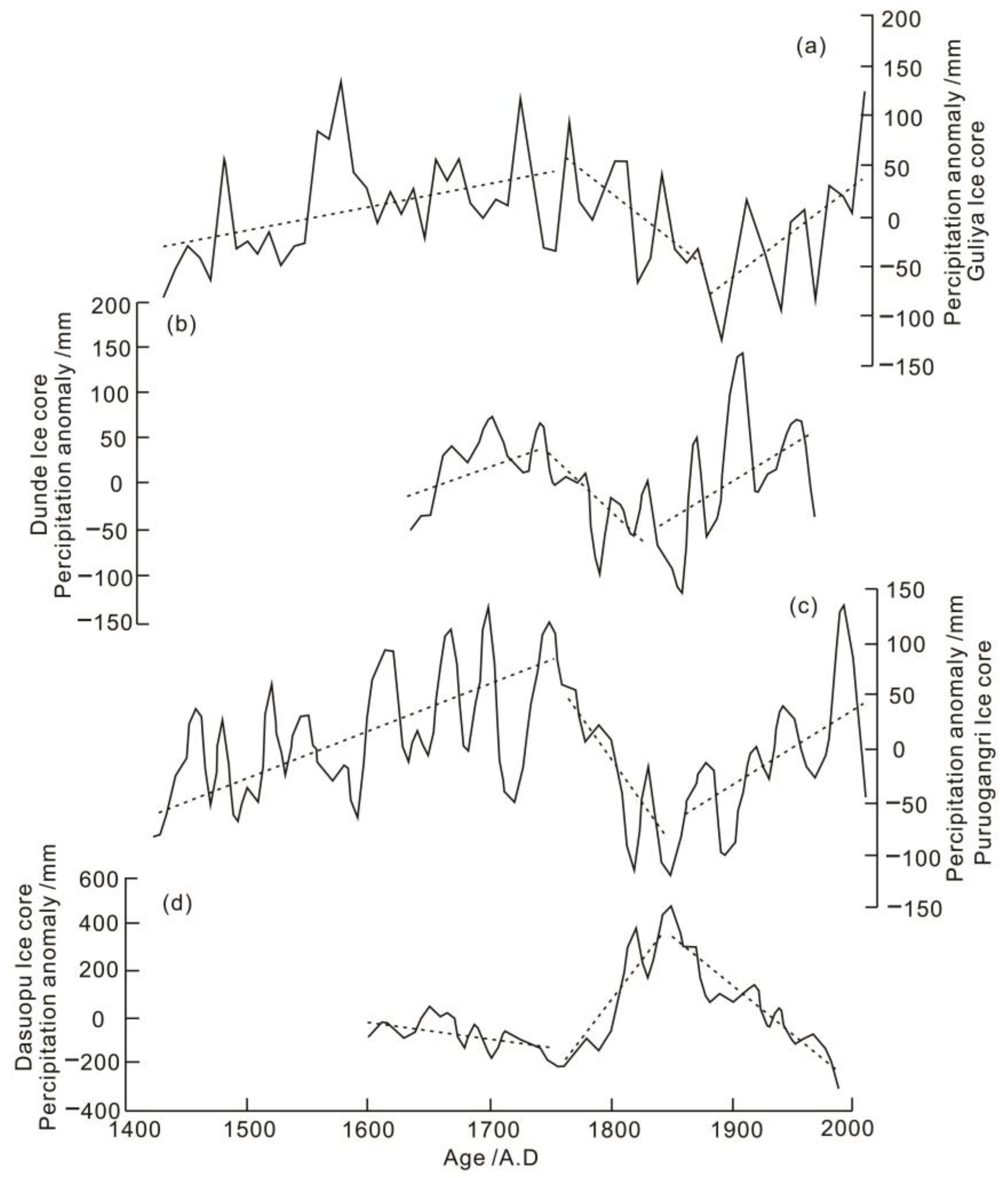
3.1.6. Over the Past Thousand Years (1 ka B.P.–Present)
3.1.7. Differential Evolution and Interrelationships of the Westerlies and Monsoons since the Middle Pleistocene
3.2. Regional Impacts of the Westerly and ASM
3.2.1. Qinghai–Tibet Plateau Region (QTP, Mixed Zone)
3.2.2. Northwest China (Westerly Zone)
3.2.3. Eastern China (Monsoon Zone)
3.3. Dynamic Mechanism and Influencing Factors of Changes in Monsoon and Westerly Circulations
3.3.1. Orbital Time Scale
3.3.2. Suborbital Time Scale
3.3.3. Millennial to Centennial Time Scale

3.3.4. Interannual to Interdecadal Time Scales
4. Summary and Outlook
Author Contributions
Funding
Institutional Review Board Statement
Informed Consent Statement
Data Availability Statement
Acknowledgments
Conflicts of Interest
References
- Liu, D.; Zheng, M.; Guo, Z. Initiation and evolution of the Asian monsoon system timely coupled with the ice-sheet growth and the tectonic movements in Asia. Quat. Sci. 1998, 18, 194–204. [Google Scholar]
- Jia, J.; Gao, F.; Xia, D.; Huang, W.; Chen, F. Moisture variations in arid Central Asia and its out-of-phase relationship with the Asian Monsoon during MIS 5: Evidence from loess records. J. Quat. Sci. 2018, 33, 435–443. [Google Scholar] [CrossRef]
- Chen, F.; Chen, J.; Huang, W. A discussion on the westerly-dominated climate model in mid-latitude Asia during the modern interglacial period. Earth Sci. Front. 2009, 16, 23–32. [Google Scholar] [CrossRef]
- Chen, F.; Yu, Z.; Yang, M.; Ito, E.; Wang, S.; Madsen, D.B.; Huang, X.; Zhao, Y.; Sato, T.; Birks, H.J.B.; et al. Holocene moisture evolution in arid Central Asia and its out-of-phase relationship with Asian monsoon history. Quat. Sci. Rev. 2008, 27, 351–364. [Google Scholar] [CrossRef]
- Feng, Z.; An, C.; Wang, H. Holocene climatic and environmental changes in the arid and semi-arid areas of China: A review. Holocene 2006, 16, 119–130. [Google Scholar] [CrossRef]
- Xu, Q.; Xiao, J.; Li, Y.; Tian, F.; Nakagawa, T. Pollen-based quantitative reconstruction of Holocene climate changes in the Daihai Lake area, Inner Mongolia, China. J. Clim. 2010, 23, 2856–2868. [Google Scholar] [CrossRef]
- Chen, F.; Chen, J.; Huang, W.; Chen, S.; Huang, X.; Jin, L.; Jia, J.; Zhang, X.; An, C.; Zhang, J.; et al. Westerlies Asia and monsoonal Asia: Spatiotemporal differences in climate change and possible mechanisms on decadal to sub-orbital timescales. Earth-Sci. Rev. 2019, 192, 337–354. [Google Scholar] [CrossRef]
- Li, Y.; Wang, N.; Chen, H.; Li, Z.; Zhou, X.; Zhang, C. Tracking millennial-scale climate change by analysis of the modern summer precipitation in the marginal regions of the Asian monsoon. J. Asian Earth Sci. 2012, 58, 78–87. [Google Scholar] [CrossRef]
- Huang, W.; Chen, J.; Zhang, X.; Feng, S.; Chen, F. Definition of the core zone of the “westerlies-dominated climatic regime”, and its controlling factors during the instrumental period. Sci. China Earth Sci. 2015, 58, 676–684. [Google Scholar] [CrossRef]
- Zhang, Q.; Lin, J.; Liu, W.; Han, L. Precipitation seesaw phenomenon and its formation mechanism in the eastern and western parts of Northwest China during the flood season. Sci. China Earth Sci. 2019, 62, 2083–2098. [Google Scholar] [CrossRef]
- Abell, J.T.; Winckler, G.; Anderson, R.F.; Herbert, T.D. Poleward and weakened wester lies during Pliocene warmth. Nature 2021, 589, 70–75. [Google Scholar] [CrossRef]
- Liu, Y.; Wu, C.; Jia, R.; Huang, J. An overview of the influence of atmospheric circulation on the climate in arid and semi-arid region of Central and East Asia. Sci. China Earth Sci. 2018, 61, 1183–1194. [Google Scholar] [CrossRef]
- Qu, W.; Zhang, X.; Wang, D.; Shen, Z.; Mei, F.; Cheng, Y.; Yan, L. The important significance of westerly wind study. Mar. Geol. Quat. Geol. 2004, 24, 125–132. [Google Scholar]
- Gong, D.; Wang, S. Structure of zonal-mean circulation over the northern hemisphere and its impact on climate of China in winter. Sci. Geogr. Sin. 2001, 21, 108–112. [Google Scholar]
- Rossby, C.G. Relation between variations in the intensity of the zonal circulation of the atmosphere and the displacements of the semi-permanent centers of action. J. Mar. Res. 1939, 2, 38–55. [Google Scholar] [CrossRef]
- Li, W.; Wang, K.; Fu, S.; Jiang, H. The Interrelationship between regional westerly index and the water vapor budget in Northwest China. J. Glaciol. Geocryol. 2008, 30, 28–34. [Google Scholar]
- Huang, W.; Wu, X.; Chen, J.; Chen, F. Tropospheric Biennial Oscillations and abrupt changes of precipitation in the arid Central Asia. Clim. Chang. Res. 2012, 8, 448–455. [Google Scholar]
- Yan, H.; Hu, J.; Fan, K.; Zhang, Y. The analysis of relationship between the variation of westerly index in summer and precipitation during the flood period over China in the last 50 years. Chin. J. Atmos. Sci. 2007, 31, 717–726. [Google Scholar]
- Ji, M.; Huang, J.; Wang, S.; Wang, X.; Zheng, Z.; Ge, J. Winter blocking episodes and impact on climate over East Asia. Plateau Meteorol. 2008, 27, 415–421. [Google Scholar]
- Sun, A.; Gao, B. A diagnostic analyses of serious flood-drought during summer season in the North China plane. Chin. J. Atmos. Sci. 2000, 24, 393–402. [Google Scholar]
- Lu, R.; Oh, J.; Kim, B. A teleconnection pattern in upper-level meridional wind over the North African and Eurasian continent in summer. Tellus Ser. A-Dyn. Meteorol. Oceanogr. 2002, 54, 44–55. [Google Scholar] [CrossRef]
- Chen, G.; Huang, R. Excitation mechanisms of the teleconnection patterns affecting the July precipitation in Northwest China. J. Clim. 2012, 25, 7834–7851. [Google Scholar] [CrossRef]
- Wang, P. Global monsoon in a geological perspective. Chin. Sci. Bull. 2009, 54, 535–556. [Google Scholar] [CrossRef]
- Hao, Q.; Zhang, R.; Wang, P.; Wang, B. Monsoons across multi-scales: Summary of fourth conference on Earth system science. Adv. Earth Sci. 2016, 31, 689–699. [Google Scholar]
- Wang, B.; Ding, Q. Global monsoon: Dominant mode of annual variation in the tropics. Dyn. Atmos. Ocean. 2008, 44, 165–183. [Google Scholar] [CrossRef]
- Tao, S. A review of recent research on the East Asian summer monsoon in China. In Monsoon Meteorology; Oxford University Press: Oxford, UK, 1987; pp. 60–92. [Google Scholar]
- Wu, G.; Zhang, Y. Tibetan Plateau forcing and the timing of the monsoon onset over South Asia and the South China Sea. Mon. Weather Rev. 1998, 126, 913–927. [Google Scholar] [CrossRef]
- Chen, J.; Huang, W.; Jin, L.; Chen, J.; Chen, S. A climatological northern boundry index for the East Asian summer and its interannual variability. Sci. China Earth Sci. 2018, 61, 13–22. [Google Scholar] [CrossRef]
- Wang, L.; He, J.; Guan, Z.; Chen, X. Review of the Chinese research on the East Asian tropical and subtropical monsoons. J. Trop. Meteorol. 2008, 24, 724–731. [Google Scholar]
- Rea, D.K.; Snoeckx, H.; Joseph, L.H. Late Cenozoic Eolian deposition in the North Pacific: Asian drying, Tibetan uplift, and cooling of the northern hemisphere. Paleoceanography 1998, 13, 215–224. [Google Scholar] [CrossRef]
- Duan, K.; Yao, T.; Wang, N.; Tian, L.; Xu, B. The difference in precipitation variability between the north and south Tibetan Plateaus. J. Glaciol. Geocryol. 2008, 30, 726–732. [Google Scholar]
- Cheng, H.; Edwards, R.L.; Sinha, A.; Sptl, C.; Yi, L.; Chen, S.; Kelly, M.; Kathayat, G.; Wang, X.; Li, X.; et al. The Asian monsoon over the past 640,000 years and ice age terminations. Nature 2016, 534, 640–646. [Google Scholar] [CrossRef]
- An, Z.; Huang, Y.; Liu, W.; Guo, Z.; Clemens, S.; Li, L.; Prell, W.; Ning, Y.; Cai, Y.; Zhou, W.; et al. Multiple expansions of C4 plant biomass in East Asia since 7 Ma coupled with strengthened monsoon circulation. Geology 2005, 33, 705–708. [Google Scholar]
- Liu, Y.; Park, W.K.; Cai, Q.; Seo, J.W.; Jung, H.S. Changes in East Asian summer monsoon precipitation since 1840: Taking tree ring records from China and South Korea as an example. Sci. China (Ser. D) 2003, 33, 543–549. [Google Scholar]
- Xu, J.; Wang, K.; Jiang, H.; Li, Z.; Sun, J.; Luo, X.; Zhu, Q. A numerical simulation of the effects of westerly and monsoon on precipitation in the Heihe River basin. J. Glaciol. Geocryol. 2010, 32, 489–496. [Google Scholar]
- Wu, Y.; Wang, Y.; Liu, X.; Yu, Z.; Ni, Z. Holocene climate evolution in the monsoonal margin region revealed by the pollen record from Jilantai Playa. Lake Sci. 2018, 30, 1161–1176. [Google Scholar]
- Huang, G.; Yan, Z. The East Asian summer monsoon circulation anomaly index and its interannual variations. Chin. Sci. Bull. 1999, 44, 421–424. [Google Scholar] [CrossRef]
- Sun, X.; Chen, L.; He, J. Interannual variation of index of East Asian land-sea thermal difference and its relation to monsoon circulation and rainfall over China. Acta Meteorol. Sin. 2001, 15, 71–85. [Google Scholar]
- Wang, Y.; Cheng, H.; Edwards, R.L.; Kong, X.; Shao, X.; Chen, S.; Wu, J.; Jiang, X.; Wang, X.; An, Z. Millennial- and orbital-scale changes in the East Asian monsoon over the past 224,000 years. Nature 2008, 451, 1090–1093. [Google Scholar] [CrossRef] [PubMed]
- Chen, F.; Xu, Q.; Chen, J.; Birks, H.J.B.; Liu, J.; Zhang, S.; Jin, L.; An, C.; Telford, R.J.; Cao, X.; et al. East Asian summer monsoon precipitation variability since the last deglaciation. Sci. Rep. 2015, 5, 11186. [Google Scholar] [CrossRef] [PubMed]
- Tang, X.; Chen, B.; Liang, P.; Qian, W. Definition and features of the north edge of Asian summer monsoon. Acta Meteorol. Sin. 2009, 67, 83–89. [Google Scholar]
- Qian, W.; Ding, T.; Hu, H.; Lin, X.; Qin, A. An overview of dry-wet climate variability among monsoon-westerly regions and the monsoon northernmost marginal active zone in China. Adv. Atmos. Sci. 2009, 26, 630–641. [Google Scholar] [CrossRef]
- Zhang, Q.; Zhu, B.; Yang, J.; Ma, P.; Liu, X.; Lu, G.; Wang, Y.; Yu, H.; Liu, W.; Wang, D. New characteristics about the climate humidification trend in Northwest China. Sci. Bull. 2021, 66, 3757–3771. [Google Scholar]
- Wang, F.; Li, Z.; Sun, X.; Li, B.; Wang, X.; Chen, F. A 1200 ka stable isotope record from the center of the Badain Jaran Desert, northwestern China: Implications for the variation and interplay of the westerlies and the Asian summer monsoon. Geochem. Geophys. Geosyst. 2021, 22, e2020GC009575. [Google Scholar] [CrossRef]
- Han, W.; Fang, X.; Ye, C.; Teng, X.; Zhang, T. Tibet forcing Quaternary stepwise enhancement of westerly jet and Central Asian aridification: Carbonate isotope records from deep drilling in the Qaidam salt playa, NE Tibet. Glob. Planet. Chang. 2014, 116, 68–75. [Google Scholar] [CrossRef]
- Fang, X.; Lv, L.; Yang, S.; Li, J.; An, Z.; Jiang, P.; Chen, X. Loess in Kunlun Mountains and its implications on desert development and Tibetan Plateau uplift in West China. Sci. China Ser. D-Earth Sci. 2002, 45, 289–299. [Google Scholar] [CrossRef]
- Fang, X.; Shi, Z.; Yang, S.; Yan, M.; Li, J.; Jiang, P. Loess in the Tian Shan and its implications for the development of the Gurbantunggut Desert and drying of northern Xinjiang. Chin. Sci. Bull. 2002, 47, 1381–1387. [Google Scholar] [CrossRef]
- Song, Y.; Zeng, M.; Chen, X.; Li, Y.; Chang, H.; An, Z.; Guo, X. Abrupt climatic events recorded by the Ili loess during the last glaciation in Central Asia: Evidence from grain-size and minerals. J. Asian Earth Sci. 2018, 155, 58–67. [Google Scholar] [CrossRef]
- Li, Y.; Song, Y.; Lai, Z.; Han, L.; An, Z. Rapid and cyclic dust accumulation during MIS 2 in Central Asia inferred from loess OSL dating and grain-size analysis. Sci. Rep. 2016, 6, 32365. [Google Scholar] [CrossRef]
- Chen, F.; Huang, X.; Zhang, J.; Holmes, J.A.; Chen, J. Humid Little Ice Age in and Central Asia documented by Bosten Lake, Xinjiang, China. Sci. China Ser. D-Earth Sci. 2006, 49, 1280–1290. [Google Scholar] [CrossRef]
- Lv, Y.; Zhang, C.; Fu, Y.; Wu, H.; Hao, Q.; Qiao, Y.; Guo, Z. Clay mineralogical and geochemical record from a loess-paleosol sequence in Chinese Loess Plateau during the past 880 ka and the implication on the East Asian Summer Monsoon. Quat. Sci. 2022, 42, 921–938. [Google Scholar]
- Jia, J.; Xia, D.; Wang, Y.; Wang, B.; Lu, H.; Zhao, S. East Asian monsoon evolution during the Eemian, as recorded in the western Chinese Loess Plateau. Quat. Int. 2016, 399, 156–164. [Google Scholar] [CrossRef]
- Rao, Z.; Chen, F.; Cheng, H.; Liu, W.; Wang, G.; Lai, Z.; Bloemendal, J. High-resolution summer precipitation variations in the western Chinese Loess Plateau during the last glacial. Sci. Rep. 2013, 3, 2785. [Google Scholar] [CrossRef]
- Chen, F.; Bloemendal, J.; Wang, J.; Li, J.; Oldfield, F. High-resolution multi-proxy climate records from Chinese loess, evidence for rapid climatic changes over the last 75 kyr. Palaeogeogr. Palaeoclimatol. Palaeoecol. 1997, 130, 323–335. [Google Scholar] [CrossRef]
- Zhou, X.; Chen, S.; Wang, Z.; Yang, S.; Wang, Y.; Shao, Q. The response of Asian monsoon events to the north south high latitude climate in the Last Glacial period. Quat. Sci. 2020, 40, 864–876. [Google Scholar]
- Wang, Y.; Cheng, H.; Edwards, R.L.; An, Z.; Wu, J.; Shen, C.; Dorale, J.A. A high-resolution absolute-dated late Pleistocene monsoon record from Hulu Cave, China. Science 2001, 294, 2345–2348. [Google Scholar] [CrossRef]
- Zhang, P.; Cheng, H.; Edwards, R.L.; Chen, F.; Wang, Y.; Yang, X.; Liu, J.; Tan, M.; Wang, X.; Liu, J.; et al. A test of climate, sun, and culture relationships from an 1810-Year Chinese cave record. Science 2008, 322, 940–942. [Google Scholar] [CrossRef] [PubMed]
- Wu, F.; Fang, X.; Yang, Y.; Dupont-Nivet, G.; Nie, J.; Fluteau, F.; Zhang, T.; Han, W. Reorganization of Asian climate in relation to Tibetan Plateau uplift. Nat. Rev. Earth Environ. 2022, 3, 684–700. [Google Scholar] [CrossRef]
- Shi, Y.; Tang, M. Discussion on the relationship between the second stage uplift of the Qinghai Tibet Plateau and the development of the Asian monsoon. Sci. China (Ser. D) 1998, 28, 263–271. [Google Scholar]
- Cao, J.; Zhang, X.; Cheng, Y.; Lu, H. Size distribution of the late Cenozoic red clay and the winter monsoon variations. Mar. Geol. Quat. Geol. 2001, 21, 99–106. [Google Scholar]
- Guo, Z. The Evolution History of the Monsoon Recorded by the 22-8 Ma Wind Dust Deposition See: Ding Zhongli et al. Research on the Integration of Environmental Evolution in Western China; Meteorological Publishing House: Beijing, China, 2010. [Google Scholar]
- An, Z. The history and variability of East Asian monsoon climate. Chin. Sci. Bull. 2000, 45, 238–249. [Google Scholar]
- Sun, D.; Shaw, J.; An, Z.; Cheng, M.; Yue, L. Magnetostratigraphy and paleoclimatic interpretation of a continuous 7.2 Ma late Cenozoic eolian sediments from the Chinese Loess Plateau. Geophys. Res. Lett. 1998, 25, 85–88. [Google Scholar] [CrossRef]
- Liu, X. Influences of Qinghai-Xizang (Tibet) Plateau uplift on the atmospheric circulation, global climate and environment changes. Plateau Meteorol. 1999, 18, 321–332. [Google Scholar]
- Wu, G.; Pan, B.; Guan, Q.; Gao, H. Reviews of studies on the Mid-Pleistocene climatic transition and 100 ka cycle. Adv. Earth Sci. 2002, 17, 605–611. [Google Scholar]
- Wang, T.; Sun, Y.; Liu, X. Mid-Pleistocene climate transition: Characteristic, mechanism and perspective. Chin. Sci. Bull. 2017, 62, 3861–3872. [Google Scholar] [CrossRef]
- Ding, Z.; Ranov, V.; Yang, S.; Finaev, A.; Han, J.; Wang, G. The loess record in southern Tajikistan and correlation with Chinese loess. Earth Planet. Sci. Lett. 2002, 200, 387–400. [Google Scholar] [CrossRef]
- Li, J.; Fang, X. Uplift of the Tibetan Plateau and environmental changes. Chin. Sci. Bull. 1999, 44, 2117–2124. [Google Scholar] [CrossRef]
- Ao, H.; Rohling, E.J.; Stringer, C.; Roberts, A.P.; Dekkers, M.J.; Dupont-Nivet, G.; Yu, J.; Liu, Q.; Zhang, P.; Liu, Z.; et al. Two-stage mid-Brunhes climate transition and Mid-Pleistocene human diversification. Earth-Sci. Rev. 2020, 210, 103354. [Google Scholar] [CrossRef]
- Huang, C.; Pang, J.; Huang, P.; Hou, C.; Han, Y. High-resolution studies of the oldest cultivated soils in the southern Loess Plateau of China. Catena 2002, 47, 29–42. [Google Scholar] [CrossRef]
- Huang, C.; Pang, J.; Chen, S.; Zhang, Z. Holocene dust accumulation and the formation of polycyclic cinnamon soils (luvisols) in the Chinese Loess Plateau. Earth Surf. Process. Landf. 2003, 28, 1259–1270. [Google Scholar] [CrossRef]
- Chen, C.; Lan, H.; Lou, J.; Chen, Y. The dry Holocene megathermal in inner Mongolia. Palaeogeogr. Palaeoclimatol. Palaeoecol. 2003, 193, 181–200. [Google Scholar] [CrossRef]
- Pye, K.; Zhou, L. Late Pleistocene and Holocene aeolian dust deposition in North China and the Northwest Pacific Ocean. Palaeogeogr. Palaeoclimatol. Palaeoecol. 1989, 73, 11–23. [Google Scholar] [CrossRef]
- Linsley, B.K. Oxygen-isotope record of sea level and climate variations in the Sulu Sea over the past 150,000 years. Nature 1996, 380, 234–237. [Google Scholar] [CrossRef]
- Chen, F.; Jia, J.; Chen, J.; Li, G.; Zhang, X.; Xie, H.; Xia, D.; Huang, W.; An, C. A persistent Holocene wetting trend in arid Central Asia, with wettest conditions in the late Holocene, revealed by multi-proxy analyses of loess-paleosol sequences in Xinjiang, China. Quat. Sci. Rev. 2016, 146, 134–146. [Google Scholar] [CrossRef]
- Dansgaard, W. North Atlantic climatic oscillations revealed by deep Greenland ice cores. Clim. Process. Clim. Sensit. 1984, 29, 288–298. [Google Scholar]
- Heinrich, H. Origin and consequences of cyclic ice rafting in the Northeast Atlantic Ocean during the past 130,000 years. Quat. Res. 1988, 29, 142–152. [Google Scholar] [CrossRef]
- Chen, J.; An, Z.; Wang, Y.; Ji, J.; Chen, Y.; Lu, H. Rb/Sr distribution and paleomonsoon changes in the recent 800ka Luochuan loess profile. Sci. China (Ser. D) 1998, 28, 498–504. [Google Scholar]
- Andersen, K.K.; Azuma, N.; Barnola, J.M.; Bigler, M.; Biscaye, P.; Caillon, N.; Chappellaz, J.; Clausen, H.B.; Dahljensen, D.; Fischer, H.; et al. High-resolution record of northern hemisphere climate extending into the last interglacial period. Nature 2004, 431, 147–151. [Google Scholar]
- Jin, L.; Chen, F.; Morrill, C.; Otto-Bliesner, B.L.; Rosenbloom, N. Causes of early Holocene desertification in arid Central Asia. Clim. Dyn. 2012, 38, 1577–1591. [Google Scholar] [CrossRef]
- Herzschuh, U. Palaeo-moisture evolution in monsoonal Central Asia during the last 50,000 years. Quat. Sci. Rev. 2006, 25, 163–178. [Google Scholar] [CrossRef]
- Zhang, X.; Jin, L.; Huang, W.; Chen, F. Forcing mechanisms of orbital-scale changes in winter rainfall over northwestern China during the Holocene. Holocene 2016, 26, 549–555. [Google Scholar] [CrossRef]
- Yuan, D.; Cheng, H.; Edwards, R.L.; Dykoski, C.A.; Kelly, M.J.; Zhang, M.; Qing, J.; Lin, Y.; Wang, Y.; Wu, J.; et al. Timing, duration, and transitions of the Last Interglacial Asian monsoon. Science 2004, 304, 575–578. [Google Scholar] [CrossRef]
- Wang, Y.; Cheng, H.; Edwards, R.L.; He, Y.; Kong, X.; An, Z.; Wu, J.; Kelly, M.J.; Dykoski, C.A.; Li, X. The Holocene Asian monsoon: Links to solar changes and North Atlantic climate. Science 2005, 308, 854–857. [Google Scholar] [CrossRef]
- Shao, X.; Wang, Y.; Cheng, H.; Kong, X.; Wu, J. Long-term trend and abrupt events of the Holocene Asian monsoon inferred from a stalagmite d18O record from Shennongjia in Central China. Chin. Sci. Bull. 2006, 51, 221–228. [Google Scholar] [CrossRef]
- Fleitmann, D.; Burns, S.J.; Mudelsee, M.; Neff, U.; Kramers, J.; Mangini, A.; Matter, A. Holocene Forcing of the Indian Monsoon recorded in a stalagmite from Southern Oman. Science 2003, 300, 1737–1739. [Google Scholar] [CrossRef] [PubMed]
- Hong, Y.; Hong, B.; Lin, Q.; Zhu, Y.; Shibata, Y.; Hirota, M.; Uchida, M.; Leng, X.; Jiang, H.; Xu, H.; et al. Correlation between Indian Ocean summer monsoon and North Atlantic climate during the Holocene. Earth Planet. Sci. Lett. 2003, 211, 371–380. [Google Scholar] [CrossRef]
- Hong, Y.; Hhong, B.; Lin, Q.; Shibata, Y.; Hirota, M.; Zhu, Y.; Leng, X.; Wang, Y.; Wang, H.; Yi, L. Inverse phase oscillations between the East Asian and Indian Ocean summer monsoons during the last 12000 years and paleo-El Nio. Earth Planet. Sci. Lett. 2005, 231, 337–346. [Google Scholar] [CrossRef]
- Gu, Z.; Liu, J.; Yuan, B.; Liu, D.; Liu, R.; Liu, Y.; Yaskawa, K. Monsoon variations of the Qinghai-Xizang Plateau during the last 12,000 years—Geochemical evidence from the sediments in the Siling Lake. Chin. Sci. Bull. 1993, 38, 577–581. [Google Scholar]
- Liu, X.; Shen, J.; Wang, S.; Wang, Y.; Liu, W. Southwest monsoon changes indicated by oxygen isotope of ostracode shells from sediments in Qinghai Lake since the Lateglacial. Chin. Sci. Bull. 2007, 52, 539–544. [Google Scholar] [CrossRef]
- Gupta, A.K.; Anderson, D.M.; Overpeck, J.T. Abrupt changes in the Asian southwest monsoon during the Holocene and their links to the North Atlantic Ocean. Nature 2003, 421, 354–357. [Google Scholar] [CrossRef] [PubMed]
- Berger, A.; Loutre, M.F. Insolation values for the climate of the last 10,000,000 years. Quat. Sci. Rev. 1991, 10, 297–317. [Google Scholar] [CrossRef]
- Ren, G. Pollen evidence for increased summer rainfall in the Medieval warm period at Maili, northeast China. Geophys. Res. Lett. 1998, 25, 1931–1934. [Google Scholar] [CrossRef]
- Hou, J.; Tan, M.; Cheng, H.; Liu, T. Stable isotope records of plant cover change and monsoon variation in the past 2200 years: Evidence from laminated stalagmites in Beijing, China. Boreas 2003, 32, 304–313. [Google Scholar] [CrossRef]
- Hu, C.; Hendrson, G.M.; Huang, J.; Xie, S.; Sun, Y.; Johnson, K.R. Quantification of Holocene Asian monsoon rainfall from spatially separated cave records. Earth Planet. Sci. Lett. 2008, 266, 221–232. [Google Scholar] [CrossRef]
- Liu, J.; Zhang, P.; Cheng, H.; Chen, F.; Yang, X.; Zhang, D.; Zhou, J.; Jia, J.; An, C.; Sang, W.; et al. The relationship between monsoon precipitation changes recorded by oxygen isotopes of stalagmites and the sea air system during AD 1875–2003 on the western edge of the Loess Plateau. Chin. Sci. Bull. 2008, 53, 2801–2808. [Google Scholar] [CrossRef]
- Jin, L.; Schneider, B.; Park, W.; Latif, M.; Khon, V.; Zhang, X. The spatial-temporal patterns of Asian summer monsoon precipitation in response to Holocene insolation change: A model-data synthesis. Quat. Sci. Rev. 2014, 85, 47–62. [Google Scholar] [CrossRef]
- An, Z.; Porter, S.C.; Kutzbach, J.E.; Wu, X.; Wang, S.; Liu, X.; Li, X.; Zhou, W. Asynchronous Holocene optimum of the East Asian monsoon. Quat. Sci. Rev. 2000, 19, 743–762. [Google Scholar] [CrossRef]
- Yao, T.; Park, S.; Shen, M.; Gao, J.; Yang, W.; Zhang, G.; Lei, Y.; Gao, Y.; Zhu, L.; Xu, B.; et al. Chained impacts on modern environment of interaction between westerlies and Indian monsoon on Tibetan Plateau. Bull. Chin. Acad. Sci. 2017, 32, 976–984. [Google Scholar]
- Chen, B.; Xu, X.; Yang, S.; Zhang, W. On the origin and destination of atmospheric moisture and air mass over the Tibetan Plateau. Theor. Appl. Climatol. 2012, 110, 423–435. [Google Scholar] [CrossRef]
- Zhou, T.; Gao, J.; Zhao, Y.; Zhang, L.; Zhang, W. Water vapor transport processes on Asian water tower. Bull. Chin. Acad. Sci. 2019, 34, 1210–1219. [Google Scholar]
- Yao, T.; Masson-Delmotte, V.; Gao, J.; Yu, W.; Yang, X.; Risi, C.; Sturm, C.; Werner, M.; Zhao, H.; He, Y. A review of climatic controls δ18O in precipitation over the Tibetan Plateau: Observations and simulations. Rev. Geophys. 2013, 51, 525–548. [Google Scholar] [CrossRef]
- Guo, L.; Zhu, C. Coupling mode of westerly–monsoonal flow over the Tibetan Plateau and its seasonal variation. Chin. J. Atmos. Sci. 2022, 46, 1017–1029. [Google Scholar]
- Chen, C.; Zhang, X.; Lu, H.; Jin, L.; Du, Y.; Chen, F. Increasing summer precipitation in arid Central Asia linked to the weakening of the East Asian summer monsoon in the recent decades. Int. J. Climatol. 2021, 41, 1024–1038. [Google Scholar] [CrossRef]
- Hu, R.; Jiang, F.; Wang, Y.; Fan, Z. A study on signals and effects of climatic pattern change from warm-dry to warm-wet in Xinjiang. Arid Land Geogr. 2002, 25, 194–200. [Google Scholar]
- Li, J.; Gou, X.; Cook, E.R.; Chen, F. Tree-ring based drought reconstruction for the Central Tien Shan area in northwest China. Geophys. Res. Lett. 2006, 33, L07715. [Google Scholar] [CrossRef]
- Chen, F.; Huang, W.; Jin, L.; Chen, J.; Wang, J. Spatiotemporal precipitation variations in the arid Central Asia in the context of global warming. Sci. China Earth Sci. 2011, 41, 1647–1657. [Google Scholar] [CrossRef]
- Chen, F.; Chen, J.; Huang, W. Weakened East Asian summer monsoon triggers increased precipitation in Northwest China. Sci. China Earth Sci. 2021, 64, 835–837. [Google Scholar] [CrossRef]
- Huang, W.; Feng, S.; Chen, J.; Chen, F. Physical Mechanisms of summer precipitation variations in the Tarim Basin in northwestern China. J. Clim. 2015, 28, 3579–3591. [Google Scholar] [CrossRef]
- Liu, C.; Wang, H.; Jiang, D. The configurable relationships between summer monsoon and precipitation over East Asia. Chin. J. Atmos. Sci. 2004, 28, 699–712. [Google Scholar]
- Guo, Q. The variations of summer monsoon in East Asia and the rainfall over China. J. Trop. Meteorol. 1985, 1, 44–52. [Google Scholar]
- Huang, X.; Xu, H.; Deng, J. Long-term rising of SST over the marginal seas of China in winter and its impact on precipitation in China. Acta Meteorol. Sin. 2015, 73, 505–514. [Google Scholar]
- Yu, Y.; Wang, S.; Qian, Z.; Song, M.; Wang, A. Climatic linkages between SHWP position and EASM rainy-belts and areas in east part of China in summer half year. Plateau Meteorol. 2013, 32, 1510–1525. [Google Scholar]
- Zhang, Y.; Li, Y.; Wei, L.; Liu, K. Effects of south Asia high and western Pacific subtropical high on the summer precipitation anomalies over southwest China. J. Arid Meteorol. 2013, 31, 464–470. [Google Scholar]
- Zhang, Q.; Tao, S. Influence of Asian mid-high latitude circulation on East Asian summer rainfall. Acta Meteorol. Sinia 1998, 56, 199–211. [Google Scholar]
- Yang, S.; Ding, F.; Ding, Z. Pleistocene chemical weathering history of Asian arid and semi-arid regions recorded in loess deposits of China and Tajikistan. Geochim. Cosmochim. Acta 2006, 70, 1695–1709. [Google Scholar] [CrossRef]
- Liu, T. Loess and the Environment; China Ocean Press: Beijing, China, 1985. [Google Scholar]
- Lu, H.; An, Z. The paleoclimatic significance of grain size composition of Loess Plateau. Sci. China (Ser. D) 1998, 28, 278–283. [Google Scholar]
- Li, Y.; Song, Y.; Yin, Q.; Han, L.; Wang, Y. Orbital and millennial northern mid-latitude westerlies over the last glacial period. Clim. Dyn. 2019, 53, 3315–3324. [Google Scholar] [CrossRef]
- Cheng, H.; Spotl, C.; Breitenbach, S.F.M.; Sinha, A.; Wassenburg, J.A.; Jochum, K.P.; Scholz, D.; Li, X.; Yi, L.; Peng, Y.; et al. Climate variations of Central Asia on orbital to millennial timescales. Sci. Rep. 2016, 6, 36975. [Google Scholar] [CrossRef]
- Kaplan, M.R.; Wolfe, A.P. Spatial and temporal variability of Holocene temperature in the North Atlantic region. Quat. Res. 2006, 65, 223–231. [Google Scholar] [CrossRef]
- Koc, N.; Jansen, E.; Haflidason, H. Paleoceanographic reconstructions of surface ocean conditions in the Greenland, Iceland and Norwegian Seas through the last 14 ka based on diatoms. Quat. Sci. Rev. 1993, 12, 115–140. [Google Scholar] [CrossRef]
- Dahl-Jensen, D.; Mosegaard, K.; Gundestrup, N.; Clow, G.D.; Johnsen, S.J.; Hansen, A.W.; Balling, N. Past temperatures directly from the Greenland ice sheet. Science 1998, 282, 268–271. [Google Scholar] [CrossRef]
- Peltier, W.R.; Fairbanks, R.G. Global glacial ice volume and Last Glacial maximum duration from an extended Barbados sea level record. Quat. Sci. Rev. 2006, 25, 3322–3337. [Google Scholar] [CrossRef]
- Guo, Z.; Liu, T.; Guiot, J.; Wu, N.; Lu, H.; Han, J.; Liu, J.; Gu, Z. High frequency pulses of East Asian monsoon climate in the last two glaciations: Link with the North Atlantic. Clim. Dyn. 1996, 12, 701–709. [Google Scholar] [CrossRef]
- Yanase, W.; Abe-Ouchi, A. The LGM surface climate and atmospheric circulation over East Asia and the North Pacific in the PMIP2 coupled model simulations. Clim. Past 2007, 3, 439–451. [Google Scholar] [CrossRef]
- Liu, Y.; Henderson, G.M.; Hu, C.; Mason, A.J.; Charnley, N.; Johnson, K.R.; Xie, S. Links between the East Asian monsoon and North Atlantic climate during the 8200-year event. Nat. Geosci. 2013, 6, 117–120. [Google Scholar] [CrossRef]
- Porter, S.C.; An, Z.S. Correlation between climate events in the North-Altantic and China during last glaciation. Nature 1995, 375, 305–308. [Google Scholar] [CrossRef]
- Jin, L.; Chen, F.; Ganopolski, A.; Claussen, M. Response of East Asian climate to Dansgaard/Oeschger and Heinrich events in a coupled model of intermediate complexity. J. Geophys. Res.-Atmos. 2007, 112, D06117. [Google Scholar] [CrossRef]
- Mcmanus, J.F.; Francois, R.; Gherardi, J.M.; Keigwin, L.D.; Brown-Leger, S. Collapse and rapid resumption of Atlantic meridional circulation linked to deglacial climate changes. Nature 2004, 428, 834–837. [Google Scholar] [CrossRef] [PubMed]
- Praetorius, S.K.; Mcmanus, J.F.; Oppo, D.W.; Curry, W.B. Episodic reductions in bottom-water currents since the last ice age. Nat. Geosci. 2008, 1, 449–452. [Google Scholar] [CrossRef]
- Liu, X.; Sun, Y.; Vandenberghe, J.; Cheng, P.; Zhang, X.; Gowan, E.J.; Lohmann, G.; An, Z. Centennial- to millennial-scale monsoon changes since the last deglaciation linked to solar activities and North Atlantic cooling. Clim. Past 2020, 16, 315–324. [Google Scholar] [CrossRef]
- Bond, G.; Kromer, B.; Beer, J.; Muscheler, R.; Evans, M.N.; Showers, W.; Hoffmann, S.; Lotti-Bond, R.; Hajdas, I.; Bonani, G. Persistent solar influence on North Atlantic climate during the Holocene. Science 2001, 294, 2130–2136. [Google Scholar] [CrossRef] [PubMed]
- Reimer, P.J.; Bard, E.; Bayliss, A.; Beck, J.W.; Blackwell, P.G.; Ramsey, C.B.; Buck, C.E.; Cheng, H.; Edwards, R.L.; Friedrich, M.; et al. IntCal13 and Marine13 radiocarbon age calibration curves 0–50,000 years cal BP. Radiocarbon 2013, 55, 1869–1887. [Google Scholar] [CrossRef]
- Shin, S.I.; Liu, Z.; Otto-Bliesner, B.; Brady, E.C.; Kutzbach, J.E.; Harrison, S.P. A simulation of the last glacial maximum climate using the NCAR-CCSM. Clim. Dyn. 2003, 20, 127–151. [Google Scholar] [CrossRef]
- Sun, Y.; Clemens, S.C.; Morrill, C.; Lin, X.; Wang, X.; An, Z. Influence of Atlantic meridional overturning circulation on the East Asian winter monsoon. Nat. Geosci. 2012, 5, 46–49. [Google Scholar] [CrossRef]
- An, Z.; Colman, S.M.; Zhou, W.; Li, X.; Brown, E.T.; Jull, A.J.T.; Cai, Y.; Huang, Y.; Lu, X.; Chang, H.; et al. Interplay between the Westerlies and Asian monsoon recorded in Lake Qinghai sediments since 32 ka. Sci. Rep. 2012, 2, 619. [Google Scholar] [CrossRef]
- Aizen, E.M.; Aizen, V.B.; Melack, J.M.; Nakamura, T.; Ohta, T. Precipitation and atmospheric circulation patterns at mid-latitudes of Asia. Int. J. Climatol. 2001, 21, 535–556. [Google Scholar] [CrossRef]
- Huang, W.; Chen, F.; Feng, S.; Chen, J.; Zhang, X. Interannual precipitation variations in the mid-latitude Asia and their association with large-scale atmospheric circulation. Chin. Sci. Bull. 2013, 58, 3962–3968. [Google Scholar] [CrossRef]
- Zhu, B.; Yang, L. Desertification and related climate change in the Alashan Plateau since the last 40 ka of the last glacial period. Atmosphere 2023, 14, 384. [Google Scholar] [CrossRef]
- An, C.; Lu, Y.; Zhao, J.; Tao, S.; Dong, W.; Li, H.; Jin, M.; Wang, Z. A high-resolution record of Holocene environmental and climatic changes from Lake Balikun (Xinjiang, China): Implications for Central Asia. Holocene 2012, 22, 43–52. [Google Scholar] [CrossRef]
- Li, Y.; Morrill, C. Multiple factors causing Holocene lake-level change in monsoonal and arid Central Asia as identified by model experiments. Clim. Dyn. 2010, 35, 1115–1128. [Google Scholar] [CrossRef]
- Wang, Q. The characteristics of the North Atlantic Oscillation and its impact on East Asia. Adv. Mar. Sci. 2021, 8, 1–10. [Google Scholar] [CrossRef]
- Huang, R.; Wu, Y. The influence of ENSO on the summer climate change in China and its mechanism. Adv. Atmos. Sci. 1989, 6, 21–32. [Google Scholar]
- Lu, R. Interannual variation of North China rainfall in rainy season and SSTs in the equatorial eastern Pacific. Chin. Sci. Bull. 2005, 50, 2069–2073. [Google Scholar] [CrossRef]
- Wang, P.; Tian, J.; Huang, E.; Ma, W. Earth System and Evolution; Science Press: Beijing, China, 2018. [Google Scholar]
- Ding, S.; Chen, W.; Feng, J.; Graf, H.F. Combined impacts of PDO and two types of La Nina on climate anomalies in Europe. J. Clim. 2017, 30, 3253–3278. [Google Scholar] [CrossRef]
- Trenberth, K.E.; Branstator, G.W.; Karoly, D.; Kumar, A.; Lau, N.C.; Ropelewski, C. Progress during TOGA in understanding and modeling global teleconnections associated with tropical sea surface temperatures. J. Geophys. Res. Ocean. 1998, 103, 14291–14324. [Google Scholar] [CrossRef]
- Li, H.; He, S.; Gao, Y.; Chen, H.; Wang, H. North Atlantic modulation of interdecadal variations in hot drought events over northeastern China. J. Clim. 2020, 33, 4315–4332. [Google Scholar] [CrossRef]
- Lee, J.; Wang, B.; Seo, K.; Kug, J.; Choi, Y.; Kosaka, Y.; Ha, K. Future change of northern hemisphere summer tropical-extratropical teleconnection in CMIP5 Models*. J. Clim. 2014, 27, 3643–3664. [Google Scholar] [CrossRef]
- Wei, W.; Zhang, R.; Wen, M.; Kim, B.; Nam, J. Interannual variation of the South Asian High and its relation with Indian and East Asian summer monsoon rainfall. J. Clim. 2015, 28, 2623–2634. [Google Scholar] [CrossRef]
- Ding, Q.; Wang, B. Circumglobal teleconnection in the Northern Hemisphere summer. J. Clim. 2005, 18, 3483–3505. [Google Scholar] [CrossRef]







| Region | Sample Location | Latitude and Longitude | Climate Proxy Indicator | Period (ka B.P.) | Materials and Methods for Dating | Measurement Index | Phenomena Reflected by Indicators | Reference |
|---|---|---|---|---|---|---|---|---|
| Areas mainly controlled by the Westerlies | Badanjilin Desert | 101°44′ E, 40°01′ N | Sediment cores | 1200–0 | OSL and electron spin resonance dating | Carbonate δ18O and δ13C, total Organic Carbon δ13C | Intensity of Westerly circulation, precipitation and evaporation intensity, range and density of C4 plants | [44] |
| Chaidamu Basin | 38°24′ N, 92°30′ E | Sediment cores | 1800–0 | OSL and U-series dating | Carbonate δ18O and δ13C | Environmental wetness, intensity of westerly circulation | [45] | |
| Northern slope of Kunlun Mountains | — | Loess profiles | 880–0 | 14C, TL thermoluminescence | CaCO3 content and sediment particle size | Wind strength, rainfall | [46] | |
| Northern slope of Tianshan Mountains | — | Loess profiles | 800–0 | 14C, TL thermoluminescence | Magnetic susceptibility, sediment particle size | Wind strength, rainfall | [47] | |
| Yili Basin | 43°31′ N, 83°18′ E, | Loess profiles | 140–60 | OSL, IRSL dating | Magnetic susceptibility, sediment particle size, chromaticity, chemical elements | Changes in humidity, dust storm frequency | [2] | |
| Zhaosu area in Yili Basin | 42°41′ N, 80°15′ E | Loess profiles | 70–10 | OSL, 14C dating | Sediment particle size, mineral composition | Wind strength, extreme climate events | [48] | |
| XiaoErbulake | 83°4′ E, 43°25′ N | Loess profiles | 29–0.4 | OSL dating | Sediment particle size | Westerly circulation intensity | [49] | |
| Lakes in northwestern China | — | Lacustrine sediments | 12–0 | — | Changes in humidity, lake level | Westerly circulation intensity | [7] | |
| Bosten Lake | 41°56′ N–42°14′ N, 86°40′ E–87°26′ E | Lake cores | 1–0 | 137Cs, 210Pb, 14C dating | Carbonate content, particle size, pollen A/C ratio | Changes in effective humidity, precipitation intensity | [50] | |
| Asian summer monsoon regions | Chinese Loess Plateau | About 34–37° N, 107–110° E | Loess profiles | 7000–0 | — | Carbonate δ13C, C3 and C4 plants coverages | Precipitation, monsoon circulation intensity | [33] |
| Badanjilin Desert | 101°44′ E, 40°01′ N | Sediment cores | 1200–0 | OSL and electron spin resonance dating | Carbonate δ18O and δ13C, total organic carbon δ13C | Monsoon circulation intensity, precipitation and evaporation intensity, coverage and density of C4 plants | [44] | |
| Shaozhai on the Loess Plateau | 34°59′ N, 107°46′ E | Loess profiles | 880–0 | — | Mineral composition of clay particles, geochemical elements | Monsoon circulation intensity, chemical weathering intensity | [51] | |
| Jiuzhoutai on the Loess Plateau | 36°05′ N, 103°47′ E, | Loess profiles | 140–60 | RPI and SPECMAP curves | Magnetic susceptibility, sediment particle size | Monsoon circulation intensity | [52] | |
| Yuanbao and Jingyuan on the Loess Plateau | 103°37′ E, 35°9′ N; 104°36′ N, 36°21′ N | Loess profiles | 70–10 | OSL dating | Sediment particle size, total organic matter δ13C | Precipitation, monsoon circulation intensity | [53] | |
| Western Loess Plateau | 35–37° N, 101–104° E; | Loess profiles | 70–0 | 14C dating | Sediment particle size, magnetic susceptibility, CaCO3 content | Westerly circulation intensity | [54] | |
| Luoshui Cave in Enshi, Hubei Province | 29°44′ N, 109°07′ E | Stalagmites | 28.7–22.2; 87.0~82.9 | U/Th dating | δ18O | Monsoon circulation intensity | [55] | |
| Hulu Cave in Nanjing | 32°30′ N, 119°10′ E | Stalagmites | 75–11 | 230Th dating | δ18O | Monsoon circulation intensity, climate anomaly events | [56] | |
| Northeast margin of Loess Plateau | 38°54′ N, 112°14′ E | Lake cores, spore pollen | 14.7–0 | 210Pb/137Cs and14C dating | Pollen content of different plants, magnetic susceptibility, CaCO3 content | Monsoon circulation intensity, precipitation | [40] | |
| Stalagmites in Wanxiang Cave | 33°19′ N, 105°00′ E | Stalagmites | 18–0 | 230Th dating | δ18O | Monsoon circulation intensity, precipitation | [57] |
Disclaimer/Publisher’s Note: The statements, opinions and data contained in all publications are solely those of the individual author(s) and contributor(s) and not of MDPI and/or the editor(s). MDPI and/or the editor(s) disclaim responsibility for any injury to people or property resulting from any ideas, methods, instructions or products referred to in the content. |
© 2024 by the authors. Licensee MDPI, Basel, Switzerland. This article is an open access article distributed under the terms and conditions of the Creative Commons Attribution (CC BY) license (https://creativecommons.org/licenses/by/4.0/).
Share and Cite
Li, X.-J.; Zhu, B.-Q. Interaction between the Westerlies and Asian Monsoons in the Middle Latitudes of China: Review and Prospect. Atmosphere 2024, 15, 274. https://doi.org/10.3390/atmos15030274
Li X-J, Zhu B-Q. Interaction between the Westerlies and Asian Monsoons in the Middle Latitudes of China: Review and Prospect. Atmosphere. 2024; 15(3):274. https://doi.org/10.3390/atmos15030274
Chicago/Turabian StyleLi, Xiang-Jie, and Bing-Qi Zhu. 2024. "Interaction between the Westerlies and Asian Monsoons in the Middle Latitudes of China: Review and Prospect" Atmosphere 15, no. 3: 274. https://doi.org/10.3390/atmos15030274
APA StyleLi, X.-J., & Zhu, B.-Q. (2024). Interaction between the Westerlies and Asian Monsoons in the Middle Latitudes of China: Review and Prospect. Atmosphere, 15(3), 274. https://doi.org/10.3390/atmos15030274
