A Convolutional Neural Network and Attention-Based Retrieval of Temperature Profile for a Satellite Hyperspectral Microwave Sensor
Abstract
1. Introduction
2. Data and Preprocessing
2.1. SeeborV5 Atmospheric Profiles Database
2.2. GRAPES Database
2.3. The Simulation of Brightness Temperature Data
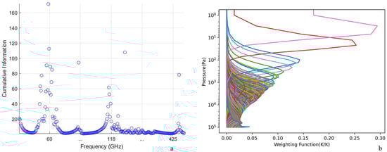
2.4. Calculation of Cumulative Information Content
3. Method
3.1. CNN-LAA
- The local attention mechanism reduces parameters, leading to faster training compared to soft attention, while maintaining differentiability in the data. The distinctive feature of Agent Attention (AA) [28], as compared to other attention mechanisms, lies in the introduction of the agent matrix, leading to a significant reduction in computational complexity. The algorithm complexity is O(Nnd).
- It is easier to train compared to hard attention, achieving a better balance between computational efficiency and model performance.
- It is more conducive to parallelization, as each step only needs to focus on a small local window, contributing to improved training and inference efficiency. During training, we observed that aligning the attention mechanism with the convolutional module’s kernel size yielded the best results, highlighting the significance of input data processing in the training process.
3.2. Other Retrieval Methods
4. Results
4.1. Comparison of Retrieval Performance with Other Methods
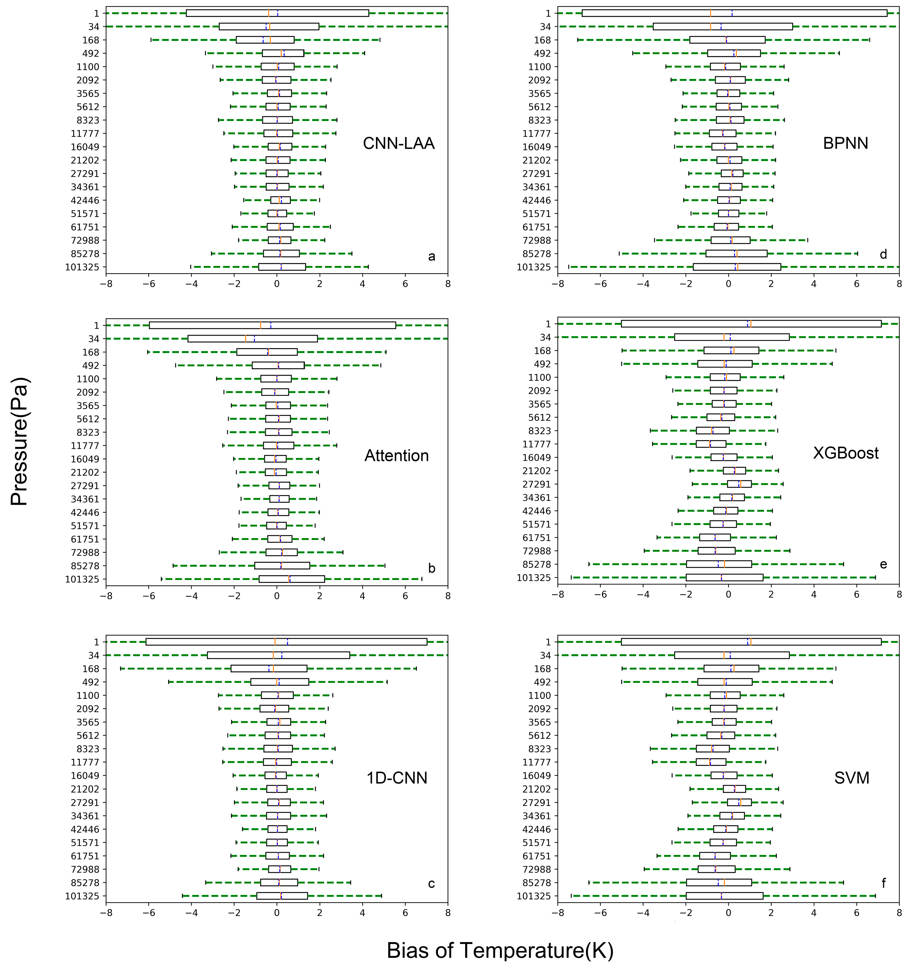
4.2. Bias of Temperature with Pressure
4.3. The Retrieval Performance of CNN-LAA in Three-Dimensional Space
5. Discussion
6. Conclusions
Author Contributions
Funding
Institutional Review Board Statement
Informed Consent Statement
Data Availability Statement
Conflicts of Interest
References
- Westwater, E.R. Ground-Based Passive Probing Using the Microwave Spectrum of Oxygen. J. Res. Natl. Bur. Stand. Sect. D Radio Sci. 1965, 69, 1201. [Google Scholar] [CrossRef]
- Westwater, E.R.; Sweezy, W.B.; McMillin, L.M.; Dean, C. Determination of Atmospheric Temperature Profiles from a Statistical Combination of Ground-Based Profiler and Operational NOAA 6/7 Satellite Retrievals. J. Clim. Appl. Meteorol. 1984, 23, 689–703. [Google Scholar] [CrossRef][Green Version]
- Troitsky, A.; Gajkovich, K.P.; Gromov, V.; Kadygrov, E.; Kosov, A. Thermal Sounding of the Atmospheric Boundary Layer in the Oxygen Absorption Band Center at 60 GHz. IEEE Trans. Geosci. Remote Sens. 1993, 31, 116–120. [Google Scholar] [CrossRef]
- Massaro, G.; Stiperski, I.; Pospichal, B.; Rotach, M.W. Accuracy of Retrieving Temperature and Humidity Profiles by Ground-Based Microwave Radiometry in Truly Complex Terrain. Atmos. Meas. Tech. 2015, 8, 3355–3367. [Google Scholar] [CrossRef]
- Xia, J.; Liu, Q.; Tan, L. A Deep Learning Method Integrating Multisource Data for ECMWF Forecasting Products Correction. IEEE Geosci. Remote Sens. Lett. 2023, 20, 1002105. [Google Scholar] [CrossRef]
- Gaikovich, K.P.; Markina, N.N.; Naumov, A.P.; Plechkov, V.M.; Sumin, M.I. Investigation of Remote Sensing Possibilities of the Lower Atmosphere in the Microwave Range and Some Aspects of Statistical Data Use. Int. J. Remote Sens. 1983, 4, 419–431. [Google Scholar] [CrossRef]
- Askne, J.; Skoog, G.; Winberg, E. Test of a Ground-Based Microwave Radiometer for Atmospheric Temperature Profiling with Meteorological Applications. Int. J. Remote Sens. 1985, 6, 1241–1256. [Google Scholar] [CrossRef]
- Blackwell, W.J. An Overview of the NASA Tropics Earth Venture Mission. In Proceedings of the 2017 IEEE International Geoscience and Remote Sensing Symposium (IGARSS), Fort Worth, TX, USA, 23–28 July 2017; pp. 5934–5937. [Google Scholar]
- Lipton, A.E. Satellite Sounding Channel Optimization in the Microwave Spectrum. IEEE Trans. Geosci. Remote Sens. 2003, 41, 761–781. [Google Scholar] [CrossRef]
- Blackwell, W.J.; Bickmeier, L.J.; Leslie, R.V.; Pieper, M.L.; Samra, J.E.; Surussavadee, C.; Upham, C.A. Hyperspectral Microwave Atmospheric Sounding. IEEE Trans. Geosci. Remote Sens. 2011, 49, 128–142. [Google Scholar] [CrossRef]
- Liu, D.; Lv, C.; Liu, K.; Xie, Y.; Miao, J. Retrieval Analysis of Atmospheric Water Vapor for K-Band Ground-Based Hyperspectral Microwave Radiometer. IEEE Geosci. Remote Sens. Lett. 2014, 11, 1835–1839. [Google Scholar] [CrossRef]
- Mahfouf, J.-F.; Birman, C.; Aires, F.; Prigent, C.; Orlandi, E.; Milz, M. Information Content on Temperature and Water Vapour from a Hyper-Spectral Microwave Sensor. Q. J. R. Meteorol. Soc. 2015, 141, 3268–3284. [Google Scholar] [CrossRef]
- Aires, F.; Prigent, C.; Orlandi, E.; Milz, M.; Eriksson, P.; Crewell, S.; Lin, C.-C.; Kangas, V. Microwave Hyperspectral Measurements for Temperature and Humidity Atmospheric Profiling from Satellite: The Clear-Sky Case. J. Geophys. Res. Atmos. 2015, 120, 11334–11351. [Google Scholar] [CrossRef]
- Bi, Y.; Yang, J.; Wei, C.; Dou, F.; Xu, W.; An, D.; Luan, Y.; Feng, J.; Zhang, L. Atmospheric Temperature Measurements Using Microwave Hyper-Spectrum from Geostationary Satellite: Band Design, Weighting Functions and Information Content. Remote Sens. 2024, 16, 289. [Google Scholar] [CrossRef]
- Huang, H.-L.; Antonelli, P. Application of Principal Component Analysis to High-Resolution Infrared Measurement Compression and Retrieval. J. Appl. Meteorol. Climatol. 2001, 40, 365–388. [Google Scholar] [CrossRef]
- Sica, R.J.; Haefele, A. Retrieval of Temperature from a Multiple-Channel Rayleigh-Scatter Lidar Using an Optimal Estimation Method. Appl. Opt. 2015, 54, 1872–1889. [Google Scholar] [CrossRef] [PubMed]
- Hewison, T.J. 1D-VAR Retrieval of Temperature and Humidity Profiles from a Ground-Based Microwave Radiometer. IEEE Trans. Geosci. Remote Sens. 2007, 45, 2163–2168. [Google Scholar] [CrossRef]
- Churnside, J.H.; Stermitz, T.A.; Schroeder, J.A. Temperature Profiling with Neural Network Inversion of Microwave Radiometer Data. J. Atmos. Ocean. Technol. 1994, 11, 105–109. [Google Scholar] [CrossRef]
- Jiang, N.; Xu, Y.; Xu, T.; Li, S.; Gao, Z. Land Water Vapor Retrieval for AMSR2 Using a Deep Learning Method. IEEE Trans. Geosci. Remote Sens. 2022, 60, 5803011. [Google Scholar] [CrossRef]
- Rysman, J.-F.; Claud, C.; Dafis, S. A Machine Learning Algorithm for Retrieving Cloud Top Height with Passive Microwave Radiometry. IEEE Geosci. Remote Sens. Lett. 2022, 19, 4500605. [Google Scholar] [CrossRef]
- Yan, X.; Liang, C.; Jiang, Y.; Luo, N.; Zang, Z.; Li, Z. A Deep Learning Approach to Improve the Retrieval of Temperature and Humidity Profiles from a Ground-Based Microwave Radiometer. IEEE Trans. Geosci. Remote Sens. 2020, 58, 8427–8437. [Google Scholar] [CrossRef]
- Yu, W.; Xu, X.; Jin, S.; Ma, Y.; Liu, B.; Gong, W. BP Neural Network Retrieval for Remote Sensing Atmospheric Profile of Ground-Based Microwave Radiometer. IEEE Geosci. Remote Sens. Lett. 2022, 19, 4502105. [Google Scholar] [CrossRef]
- MacKinnon, J.; Gambacorta, A.; Piepmeier, J.; Stephen, M.; Kroodsma, R.; Santanello, J.; Blumberg, G.; Blaisdell, J.; Moradi, I.; Gong, J.; et al. Deep Neural Networks For Evaluating Future Satellite-Based Hyperspectral Microwave Sensor Designs. In Proceedings of the IGARSS 2023—2023 IEEE International Geoscience and Remote Sensing Symposium, Pasadena, CA, USA, 16–21 July 2023; IEEE: Piscataway, NJ, USA, 2023; pp. 5210–5213. [Google Scholar]
- Eriksson, P.; Buehler, S.A.; Davis, C.P.; Emde, C.; Lemke, O. ARTS, the Atmospheric Radiative Transfer Simulator, Version 2. J. Quant. Spectrosc. Radiat. Transf. 2011, 112, 1551–1558. [Google Scholar] [CrossRef]
- Rodgers, C.D. Information Content and Optimisation of High Spectral Resolution Remote Measurements. Adv. Space Res. 1998, 21, 361–367. [Google Scholar] [CrossRef]
- Orescanin, M.; Petkovic, V.; Powell, S.W.; Marsh, B.R.; Heslin, S.C. Bayesian Deep Learning for Passive Microwave Precipitation Type Detection. IEEE Geosci. Remote Sens. Lett. 2022, 19, 4500705. [Google Scholar] [CrossRef]
- Ioffe, S.; Szegedy, C. Batch Normalization: Accelerating Deep Network Training by Reducing Internal Covariate Shift. In Proceedings of the 32nd International Conference on Machine Learning, PMLR, Lille, France, 6–11 July 2015. [Google Scholar]
- Han, D.; Ye, T.; Han, Y.; Xia, Z.; Song, S.; Huang, G. Agent Attention: On the Integration of Softmax and Linear Attention. arXiv 2023, arXiv:2312.08874. [Google Scholar]
- Varghese, A.A.; Krishnadas, J.; Antony, A.M. Robust Air Quality Prediction Based on Regression and XGBoost. In Proceedings of the 2023 Advanced Computing and Communication Technologies for High Performance Applications (ACCTHPA), Ernakulam, India, 20–21 January 2023; pp. 1–6. [Google Scholar]
- Gong, A.; Liu, W.; Shan, Y.; Chen, X.; Yue, J. Retrieval of Land Surface Temperature (LST) Based on Support Vector Machine (SVM) from HJ-1B Data with Single-Channel. In Proceedings of the 2012 IEEE International Geoscience and Remote Sensing Symposium, Munich, Germany, 22–27 July 2012; pp. 4229–4232. [Google Scholar]
- Wang, D.; Tong, L.; Gong, X.; Guan, X.; Wang, P.; Gao, B. Retrieval of Atmospheric Temperature Profiles from Hyperspectral Microwave Radiative Data Based on the Neural Network. In Proceedings of the 2021 IEEE International Geoscience and Remote Sensing Symposium IGARSS, Brussels, Belgium, 11–16 July 2021; pp. 7095–7098. [Google Scholar]
- Kingma, D.P.; Ba, J. Adam: A Method for Stochastic Optimization. arXiv 2017, arXiv:1412.6980. [Google Scholar]













| 50–70 GHz | 108–128 GHz | 415–435 GHz | |
|---|---|---|---|
| Bandwith (MHz) | 50 | 50 | 50 |
| Polarization | Vertical | Vertical | Vertical |
| Sensor Noise (K) | 0.4 | 0.4–0.5 | 0.4–0.6 |
| RT Noise (K) | 0.2 | 0.3 | 0.4 |
| Spatial res (Km) | 25 | 25 | 25 |
| Method | RMSE | MAE | R2 |
|---|---|---|---|
| CNN-LAA | 1.46 | 1.40 | 0.97 |
| 1D-CNN | 1.69 | 1.63 | 0.94 |
| Attention | 1.71 | 1.69 | 0.94 |
| BPNN | 1.68 | 1.58 | 0.95 |
| XGBoost | 1.99 | 1.82 | 0.93 |
| SVM | 2.08 | 1.68 | 0.92 |
Disclaimer/Publisher’s Note: The statements, opinions and data contained in all publications are solely those of the individual author(s) and contributor(s) and not of MDPI and/or the editor(s). MDPI and/or the editor(s) disclaim responsibility for any injury to people or property resulting from any ideas, methods, instructions or products referred to in the content. |
© 2024 by the authors. Licensee MDPI, Basel, Switzerland. This article is an open access article distributed under the terms and conditions of the Creative Commons Attribution (CC BY) license (https://creativecommons.org/licenses/by/4.0/).
Share and Cite
Tan, X.; Ma, K.; Dou, F. A Convolutional Neural Network and Attention-Based Retrieval of Temperature Profile for a Satellite Hyperspectral Microwave Sensor. Atmosphere 2024, 15, 235. https://doi.org/10.3390/atmos15020235
Tan X, Ma K, Dou F. A Convolutional Neural Network and Attention-Based Retrieval of Temperature Profile for a Satellite Hyperspectral Microwave Sensor. Atmosphere. 2024; 15(2):235. https://doi.org/10.3390/atmos15020235
Chicago/Turabian StyleTan, Xiangyang, Kaixue Ma, and Fangli Dou. 2024. "A Convolutional Neural Network and Attention-Based Retrieval of Temperature Profile for a Satellite Hyperspectral Microwave Sensor" Atmosphere 15, no. 2: 235. https://doi.org/10.3390/atmos15020235
APA StyleTan, X., Ma, K., & Dou, F. (2024). A Convolutional Neural Network and Attention-Based Retrieval of Temperature Profile for a Satellite Hyperspectral Microwave Sensor. Atmosphere, 15(2), 235. https://doi.org/10.3390/atmos15020235

