Next Article in Journal
Can the Artificial Release of Fluorinated Gases Offset Global Cooling Due to Supervolcanic Eruptions?
Next Article in Special Issue
Spatio-Temporal Characteristics of Climate Extremes in Sub-Saharan Africa and Potential Impact of Oceanic Teleconnections
Previous Article in Journal
Enhanced Forecasting of Global Ionospheric Vertical Total Electron Content Maps Using Deep Learning Methods
 
 
Font Type:
Arial Georgia Verdana
Font Size:
Aa Aa Aa
Line Spacing:
Column Width:
Background:
Article

High Water Level Forecast Under the Effect of the Northeast Monsoon During Spring Tides

Hong Kong Observatory, Hong Kong, China
*
Author to whom correspondence should be addressed.
Atmosphere 2024, 15(11), 1321; https://doi.org/10.3390/atmos15111321
Submission received: 20 August 2024 / Revised: 12 October 2024 / Accepted: 28 October 2024 / Published: 2 November 2024

Abstract

One of the manifests of air-sea interactions is the change in sea level due to meteorological forcing through wind stress and atmospheric pressure. When meteorological conditions conducive to water level increase coincide with high tides during spring tides, the sea level may rise higher than expected and pose a flood risk to coastal low-lying areas. In Hong Kong, specifically when the northeast monsoon coincides with the higher spring tides in late autumn and winter, and sometimes even compounded by the storm surge brought by late-season tropical cyclones (TCs), the result may be coastal flooding or sea inundation. Aiming at forecasting such sea level anomalies on the scale of hours and days with local tide gauges using a flexible and computationally efficient method, this study adapts a data-driven method based on empirical orthogonal functions (EOF) regression of non-uniformly lagged regional wind field from ECMWF Reanalysis v5 (ERA5) to capture the effects from synoptic weather evolution patterns, excluding the effect of TCs. Local atmospheric pressure and winds are also included in the predictors of the regression model. Verification results show good performance in general. Hindcast using ECMWF forecasts as input reveals that the reduction of mean absolute error (MAE) by adding the anomaly forecast to the existing predicted astronomical tide was as high as 30% in February on average over the whole range of water levels, as well as that compared against the Delft3D forecast in a strong northeast monsoon case. The EOF method generally outperformed the persistence method in forecasting water level anomaly for a lead time of more than 6 h. The performance was even better particularly for high water levels, making it suitable to serve as a forecast reference tool for providing high water level alerts to relevant emergency response agencies to tackle the risk of coastal inundation in non-TC situations and an estimate of the anomaly contribution from the northeast monsoon under its combined effect with TC. The model is capable of improving water level forecasts up to a week ahead, despite the general decreasing model performance with increasing lead time due to less accurate input from model forecasts at a longer range. Some cases show that the model successfully predicted both positive and negative anomalies with a magnitude similar to observations up to 5 to 7 days in advance.

1. Introduction

Prediction of sea water level is important to minimise coastal hazards especially for low-lying and populated areas in the coastal region. There have been numerous studies on sea level anomalies due to storm surge associated with tropical cyclones (TCs) and the development of storm surge forecast tools [1,2,3,4], but comparatively fewer studies on the study of sea level anomalies due to the northeast monsoon [5]. When the effect of the northeast monsoon couples with spring tides, it can exacerbate coastal flooding and pose risks to coastal communities in low-lying areas. This study aims to develop a flexible and efficient forecast tool for predicting sea level anomalies driven by the northeast monsoon and demonstrate its performance in Hong Kong, a metropolitan city located on the south China coast with complex coastlines (Figure 1).
The largest variability of sea level changes is the astronomical tide, ranging generally from around 0.5 to 2.5 metres above Chart Datum (mCD) [6] in Hong Kong. The higher astronomical spring tides in a year usually occur around late autumn to winter with a tidal range up to around 3 mCD during spring tides. Against the background of mean sea level rise under climate change, any significant increase in water level due to meteorological causes during spring tides may easily trigger flooding in low-lying areas.
Among these factors, a storm surge could bring the highest water level anomaly, comparable to the magnitude of an astronomical tidal range, especially during the direct hit or close call of intense typhoons. In 2018, Super Typhoon Mangkhut resulted in an increase in water level (against the astronomical tide) by more than 2 m generally over Hong Kong [7]. However, in periods without tropical cyclones (TCs), the effect of the northeast monsoon should not be neglected. According to the Hong Kong Observatory (HKO)’s hourly tidal records between 1993 and 2023, the highest tide level recorded at Tai Po Kau (for location see Figure 1) in a strong monsoon situation was 3.32 mCD on 13 November 1996, where the water level was almost 1 metre higher than the astronomical tide level.
Flooding in these areas can pose significant impact to nearby traffic and pedestrian facilities connecting to nearby residential buildings. During floods along the Shing Mun River promenades, the water level at TPK usually exceeded 3.0 mCD, and there were 21 such days during 1993–2022 in non-TC situations, i.e., 0.7 days per year on average, mostly under the effect of the northeast monsoon. In TC situations, the frequency of water level exceeding this threshold is much higher and is expected to increase with a greater proportion of intense TCs under climate change. A simple and efficient method to forecast water level anomalies due to the northeast monsoon not only facilitates risk assessment of high water level when combined with astronomical tide prediction in strong northeast monsoon situations but also serves as a non-TC component of water level anomaly, which could be flexibly added to storm surge forecasts to obtain the total water anomaly forecast in TC situations. Separate storm surge forecasts derived from the wind and pressure fields constructed by using a TC parametric model in an operational environment has the benefit of ensuring the corresponding TC track and intensity being aligned with the official TC forecast, which is not necessarily the same as a numerical model forecast.
Methods to predict the water level can be broadly divided into the physics-based numerical models such as the Hybrid Coordinate Ocean Model [8] and Delft3D [9] and the data-driven type such as harmonic analysis of the astronomical tide based on tidal observations for a Metonic cycle of about 19 years, along with the booming body of methods and literature using machine learning (ML) and deep learning methods. Granata and Di Nunno [10] used several ML algorithms, including multilayer perceptron, to forecast the tide level at Venice with an absolute error. Guillou and Chapalain [11] compared multiple regression methods and artificial neural network to good performances in the Elorn estuary in France. Ayyad et al. [12] made use of an ensemble of regressors to predict the water level and showed it in good comparison with a fine-gridded hydrodynamic model. Mulia et al. [13] proposed to use generative adversarial networks and lead-lag parameters to achieve an accuracy comparable to the numerical weather prediction models and better than the parametric model.
These methods have their own merits and drawbacks. The hydrodynamical models are physics-based but are computationally expensive to run for operational use and need specialised implementation and tuning, while the data-driven models are usually efficient and perform on par with the numerical models but are less explainable. There are certainly attempts to bring in the two approaches. For example, Casas-Prat et al. [14] developed a physics-based statistical method to model ocean wave heights using multiple linear regression on the sea level pressure field and the significant wave heights at a previous time step. The use of synoptic climatological patterns to predict short-term changes in the coastal sea level in the conterminous United States has also been studied by Sheridan et al. [15]. This allows an inexpensive run while shedding light on the physical cause of the anomaly.
While ML methods are promising, this study opts for a multi-linear regression method with empirical orthogonal functions (hereafter referred to as the EOF method) because it strikes a balance between computational efficiency and maintaining a degree of physical interpretability. In fact, this method is operationally viable and economical and has been adopted in the operational forecasting in HKO. It applies in all weather conditions at different tide gauge stations to facilitate performance validation. In TC situations, the storm surge forecasts produced by a storm surge model with the use of a TC parametric model are simply added to the water level anomaly forecast by the EOF method (hereafter referred as the EOF forecast) together with the astronomical tide prediction at different forecast times and locations.
In this paper, water level anomaly forecast generated by the multiple linear regression method with the use of EOF to account for the effect of the northeast monsoon will be introduced. Verification results of the forecasts based on the dataset from 2021 to 2023 will be presented.

2. Data and Methodology

Water level forecast at three selected tide stations in Hong Kong, namely Tai Po Kau (TPK), Tai Miu Wan (TMW), and Quarry Bay (QUB) in Figure 1, will be generated and verified in non-TC situations in this study. TPK is located at the northeastern part of the territory enclosed in a bay area named Tolo Harbour. Historically, one of the deadliest storm surge events in Hong Kong occurred in the Tai Po area. TPK serves as a reference station for Shing Mun River, which is a narrow river measuring about 200 m wide at places with river mouth flow into Tolo Harbour. The promenade along the river is frequently used by pedestrians accessing the neighbouring densely populated areas. For TMW and QUB, they serve as an indicator on the eastern coast and at Victoria Harbour, respectively. Data from 2010 to 2020 are used as training data.
In general, astronomical tide is the most dominant component of sea water level, with a tidal range up to around 2 to 3 m at the stations during spring tides. The second major component in terms of magnitude is storm surge, which could reach similar magnitudes of astronomical tide but only during infrequent direct hits of intense typhoons. One of the other components that possesses a considerable magnitude and happens often is the water level anomaly caused by other meteorological conditions, namely the effect of the northeast monsoon in the region. Other mesoscale meteorological phenomena like the passage of squall lines, which may also cause a relatively short period of sea level anomaly, do not fall within the present scope of study. The wave-driven component of water level anomalies, i.e., wave effects like wave runup or overtopping waves, is also not considered in the total water level in this study, as there are no wave observations at tide gauge locations for model validation, and the effect of overtopping waves will depend on, among other factors, sloping of the seawall and the materials used, which affect waves breaking and energy dissipation.
In this study, the focus is on the study of sea level anomalies due to strong northeast monsoon and the development of a forecasting tool catering to such mainly wind-driven effects of air-sea interaction. There have already been reliable tools for predicting astronomical tides, such as those based on the harmonic analysis method, and also predicting sea level anomalies due to storm surge by using parametric wind fields of TCs, such as the Sea, Lake and Overland Surges from Hurricanes (SLOSH) model by Jelesnianski et al. [3]. To exclude the effects from TCs, our study excludes those days when there was a TC within 10–30° N, 105–130° E.

2.1. The Multiple Linear Regression Model

To account for meteorological effects on water level at local stations, a multiple linear regression model is used to train for each station and each month, with variables derived from the ERA5 reanalysis dataset at a resolution of 0.25 degree [16] as the regressors and the station water level anomaly as the predictand. A 10 m wind field within the domain 10–30° N, 105–130° E and a 10 m wind and mean sea level pressure at the nearest grid point to Hong Kong were used. The advantage of using ERA5 reanalysis to train the model is that the dataset is freely available on the ECMWF’s website and easy to deploy by different forecast agencies, though the model resolution may not be high enough to cater for the scales smaller than the synoptic scale. However, regression of individual station water level anomaly may somehow take into account the local effect to a certain extent. The station water level anomaly is defined as the observed water level minus the existing astronomical tide prediction produced by harmonic analysis based on the observed water level data in the past 19-year Metonic cycle. The training period of the model for a month in a year is the 3-month periods centred at that month in a year within 2010–2020. For example, December, January and February 2010–2020 serves as the training period of the regression model for January. In addition, only non-TC days are considered, i.e., days with TCs located within the wind field domain are excluded. When the resolution of the model reanalysis data increases in the future, the model can be retrained to improve accuracy and reliability.

2.2. Wind Field Regressors Derived from Empirical Orthogonal Function (EOF) Analysis

The majority of the regressors for the regression model come from the empirical orthogonal function (EOF) analysis of an ERA5 10 m wind anomaly at selected grid points, which is useful to reduce the dimension to several most dominating patterns and avoid multicollinearity in the regression. First, wind anomaly is computed from the wind data by subtracting the mean during the training period. For each grid point in the domain, lagged regressions of station water level anomaly are performed against the wind anomaly with lags between 0 to 48 h in order to find the “best” lag for the grid point by maximising the largest coefficient of determination ( R 2 ) in the regression. Then, by trimming down the domain to only the grid points with R 2 0.2 and by applying the corresponding best lag onto each grid point of the raw wind anomaly field, a non-uniformly lagged composite field of wind anomaly is then created. This composite field is then decomposed into principal components with corresponding EOFs by EOF analysis. The first five principal components are retained and then split into the positive and negative components to serve as individual regressors of the observed water level anomaly. The sign-splitting helps with the fact that opposite direction of winds may not cause the same magnitude of effect in the opposite sign as they would have different downstream regions as suggested by Casas-Prat et al. [14].
V composite x , y , t = V x , y , t δ x , y = k = 1 x y EOF k x , y · PC k t k = 1 5 EOF k x , y · PC k t = k = 1 5 EOF k x , y · PC k + t + PC k t
PC k + t = PC k t   ,         f o r   PC k t > 0 0   ,         o t h e r w i s e
PC k t = PC k t   ,         f o r   PC k t < 0 0   ,         o t h e r w i s e
Imprinting grid-point-specific time lags into the field before performing the EOF analysis does not only allow the model to consider the time lags of individual upstream sources but also the evolution pattern of the flow, which is depicted by the change in time lags across grid points. This enables the model to intrinsically consider wind fetch.

2.3. Local Wind and Mean Sea Level Pressure Regressors

Besides non-local effects from synoptic-scale wind field patterns, local wind also directly affects the water level. The eastward and northward components of the local wind anomaly are also computed by subtracting their respective means during the training period and splitting them into positive and negative components to serve as regressors.
Although wind setup is the major cause for water level anomaly, the barometric setup also contributes to the anomaly in less but measurable magnitude. The inverse barometer effect is well known, in that a decrease of 1 hPa of air pressure corresponds to a 1 cm increase in water level. During a hit of intense TCs, with a pressure anomaly of around −10 to −100 hPa, this barometric effect could bring a significant increase in water level. However, the northeast monsoon, which is the focus of this study, is related to a high-pressure system of around +10 to +20 hPa anomaly. The contribution of this factor is expected to be not that significant, and it should lower the water level instead, counteracting some of the contributions by winds. In addition, given the knowledge of this barometric effect, an opposite sign should just give an opposite effect of the same magnitude, so there is no need to split the mean sea level pressure anomaly regressor into positive and negative counterparts.

2.4. Variable Selection with Akaike Information Criterion (AIC)

The intercept of our multiple linear regression model is set as zero, assuming that zero meteorological anomaly should correspond to zero water level anomaly. Now gathering all the above regressors and the zero intercept, the full model is given by the following:
h t = 0 + k = 1 5 β PC k + PC k + t + β PC k PC k t + β u + u + t + β u u t + β v + v + t + β v v t + β P P t + ϵ t
where h is the water level anomaly; β are the regression coefficients for the corresponding regressors; PC k is the k -th principal component of the non-uniformly lagged wind anomaly composite field; u , v , and P are the anomalies of the eastward and northward wind components and mean sea level pressure at the nearest grid point to Hong Kong, respectively; ϵ is the residual of the regression; and the subscripts + / indicate the positive/negative components.
An overly complex regression model with too many regressors may be prone to overfitting so that it fits to the noise in the training data instead of the truth, undermining its performance in forecasting with unforeseen future input data. Therefore, the above full model undergoes variable selection with Akaike information criterion (AIC) [17], a lower value of which indicates a better fit while avoiding overfitting.
AIC = 2 k + n ln RSS n
where k is the number of regressors included in the regression formula, n is the size of the dataset, and RSS is the residual sum of squares of the regression. To justify inclusion of more variables, the RSS must have an adequate decrease. We use a stepwise bi-directional approach in the variable selection starting with a full model. It is an iterative process of finding a new preferred model, which is the model with the lowest AIC among the current model, the models dropping one variable from the current model and adding back one previously dropped variable into the current model (a total of 1 + k + K k = K + 1 models, where k and K are the numbers of regressors in the current model and the full model, respectively).

2.5. Forecasting and Verification

To produce water level anomaly forecast, we use the same fields from ECMWF model forecast data as input to the trained regression models in place of the ERA5 reanalysis dataset used in the model training.
The verification includes the forecasts for non-TC days from runs with initial times at 00 and 12 UTC during January–April and September–December in 2021–2023. These are generally the months in a year when northeast monsoons affect southern China. The statistics of observed water level during the verification period are given in Table 1.
We assess the performance of the trained regression models with error statistics and scatterplots and by comparing the water level anomaly forecasts generated by the EOF method with the observed, as well as against the persistence method (observed water level anomaly of the present time taken as anomaly prediction for the forecast time), which serves as a benchmark for skill validation.
Apart from statistical verification of water anomaly forecast during the above-mentioned period, two strong northeast monsoon cases respectively in February 2021 and December 2023 were used to evaluate the performance of the EOF method. A Delft3D four [18] model simulation of water level forecast using a nearshore grid size of about 240 m and 0.125-degree ECMWF model surface wind and pressure forecast fields as the atmospheric forcing was performed as a benchmark reference for comparison with the water level forecast generated by the addition of the EOF forecast to astronomical tide prediction in the case study.

3. Results and Discussion

3.1. EOF Analysis

Figure 2 shows an example of the EOF analysis of the lagged wind field in February, generated from the regression model based on January, February and March 2010–2020 data, with the lags optimised for station QUB. The most dominant spatial pattern, EOF1, captures typical northeast monsoon events, featuring a large-scale anticyclonic flow originating from the sea off Shanghai at around 36 h earlier as north-northwesterlies and arriving at Hong Kong as northeasterlies, with high wind speeds over the East China Sea and the Taiwan Strait. The corresponding temporal variation PC1 (of this spatial pattern EOF1) alone already accounts for 50% of the variability in the lagged wind field in February.

3.2. Verification Statistics

Figure 3 shows the scatterplots of water level anomaly forecast against the observed anomaly. For all three tide stations, the EOF-based forecast anomaly increases with the observed anomaly. Although the performance of the EOF-based forecast is no better than the persistence in the first few hours (Figure 3a), it generally starts to outperform particularly for high water anomalies at a lead time of more than 6 h at QUB and TPK (Figure 3b). For a lead time of 24 h or more, it clearly outperforms persistence for high water anomalies for all stations (Figure 3c). The difference over the negative anomalies also diminishes with increasing lead time. At a lead time of 240 h, the EOF-based forecast shows its skill over the persistence forecast for both high and low ends of anomalies (Figure 3d). From an operational perspective, a lead time of merely a few hours, especially during the nighttime, may not be sufficient for emergency response agencies to take actions against the threat of coastal flooding. The EOF method is thus practically more useful than the persistence method.
Moreover, the dots in Figure 3 from the persistence method are more dispersed than the EOF-based forecast for all lead times. At a lead time of 240 h, some persistence forecasts are even over +1.0 m, while the observed are between 0 m and −0.13 m. On the contrary, the EOF-based method is able to handle regime changes and is much more reliable in such situations.
Figure 4 shows the percentage reduction of mean absolute error (MAE) of water level forecasts generated by the EOF method as compared with the benchmark persistence forecasts at the three selected tide stations for different lead times. The percentage error reduction by the EOF method has already been about 5 to 10% higher than that from the persistence method for a lead time of 12 h. MAE generally increases, or in other words, percentage error reduction generally decreases with lead time as expected. The performance of the persistence method drops very fast to negative starting from a lead time of 24 h and keeps on worsening with increasing lead time. However, the EOF method is able to maintain similar performance until 96 h, keeping around 18% gain over solely astronomical tide prediction at QUB and TMW and 12% gain at TPK. Its drop in performance seems to be more prominent only after about 6 days. Even out to 10 days, the EOF method still shows a slight gain over astronomical tide at QUB and TMW.
Station-wise, the water level anomaly forecast performed slightly worse at TPK than at the other two stations, probably due to the fact that the station is located in a sack-shaped bay area. The complex topography there would induce local effects on water level anomaly through various phenomena, e.g., reflection and resonance, which is probably more than what the regression model for the larger synoptic scale could handle. It can be seen from the more dispersed dots in the scatterplots for TPK in Figure 3. The smoothing curve also levels off for greater negative observed anomaly. Yet, the local effects are not confounding, and the regression model is still skillful for TPK.
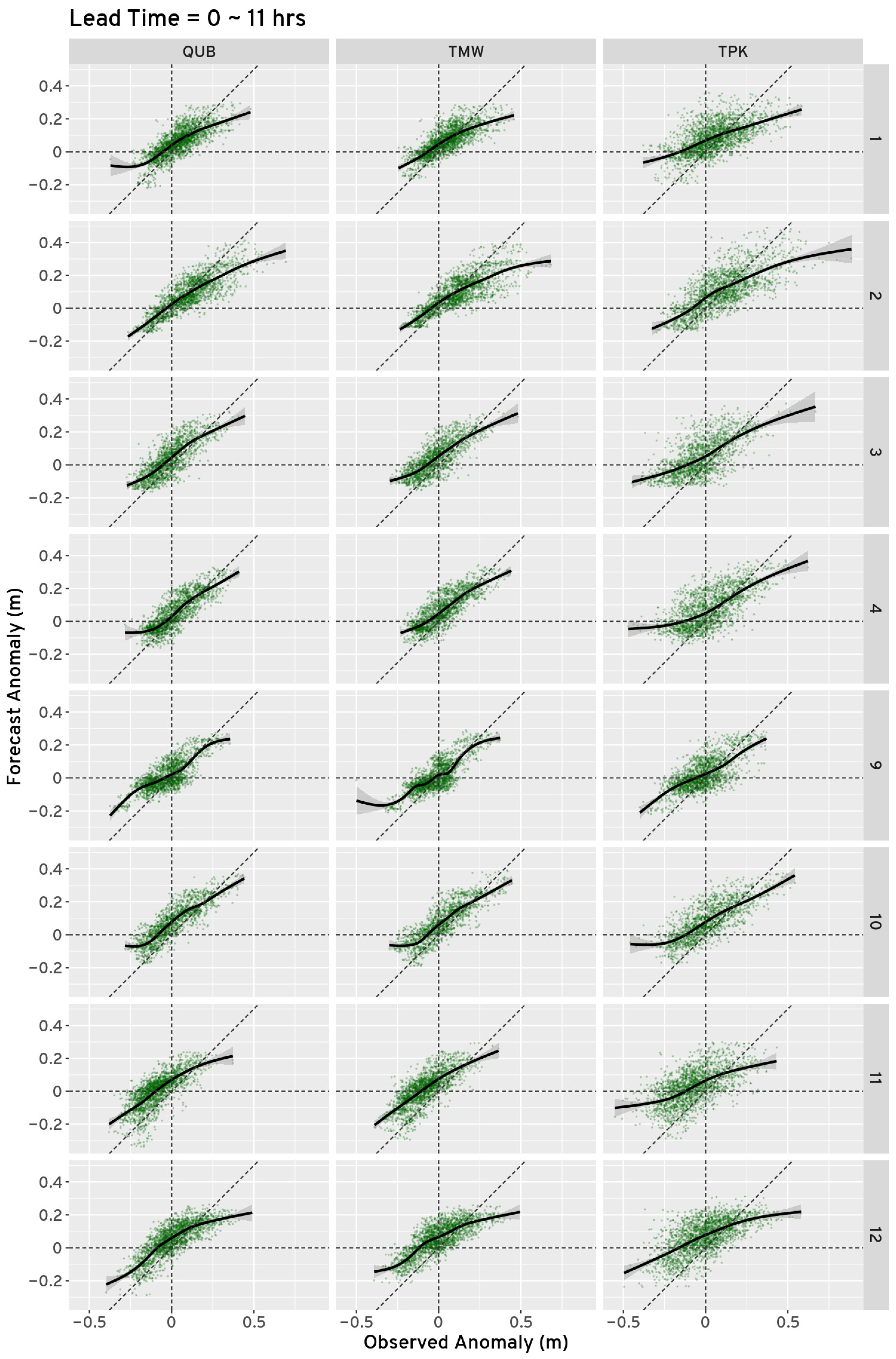
Figure 5 shows the monthly scatterplots for lead times between 0 and 11 h, basically a monthly version of the green lines in Figure 3a,b as an illustration. The model is skillful for all months from September to April. February is the month experiencing the greatest water level anomaly, and the model is able to capture the extreme events to a certain extent, saturated at around 0.3 to 0.4 m, while the observed anomaly is around 0.5 to 0.8 m. In Figure 6, it can be seen that on average over all ranges of water level, the reduction in MAE brought by adding the anomaly forecast to astronomical tide could be as high as over 30% for the shorter lead times.
Adding the water level anomaly forecast to the existing astronomical tide prediction gives the total water level forecast. Scatterplots in Figure 7 compare the performance of the new total water level forecast with the existing astronomical tide prediction in February. Scatterplots for the other months can be found in Figure A1 in Appendix A. Adding the anomaly forecast greatly remediates the underestimation at the higher ends of water level at all stations. This is particularly important as coastal inundation is related to such high water levels. Even at the longest lead times (Figure 7b), the smoothing curve still shows similar improvement upon astronomical tide, just with slightly greater uncertainty. The ability to forecast high ends of water level and the lengthy lead time allow preventive measures to be planned and implemented early, therefore reducing the potential impact by the coastal inundation.
Improvement can also be seen at lower water levels. The smoothing curves of the water level forecast lie very much closer to the ideal dashed line of y = x when the anomaly forecast is included, implying bias reduced across the whole range of water levels. Dots of water level forecast including anomaly forecast (green ones) are also less dispersed than those without (red ones), indicating that the error range is also reduced.
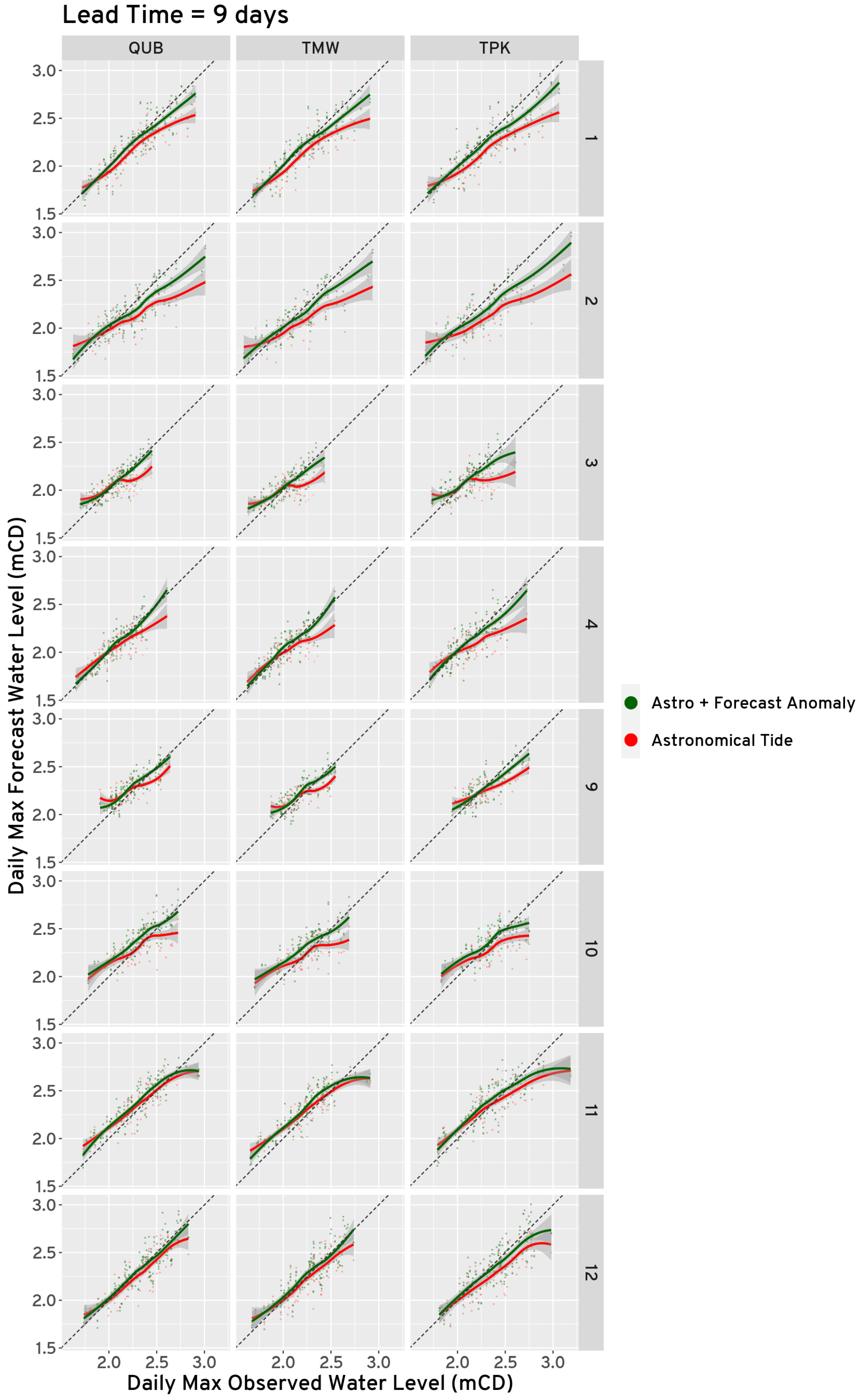
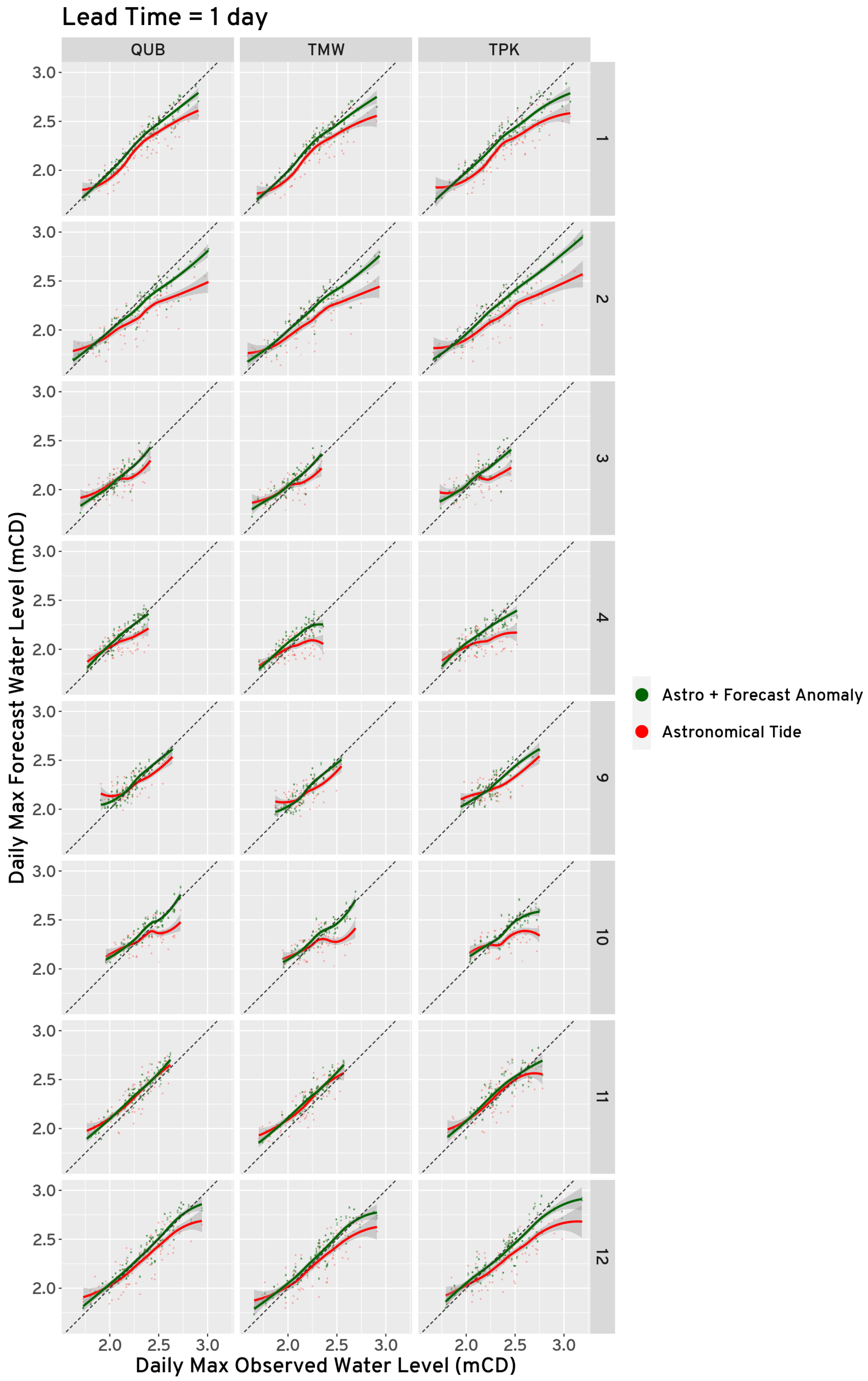
The performance in forecasting daily maximum water level was also examined. Figure 8a shows the results for Day 1 of the forecast runs initialised in February. The day on which the forecast run are initialised is considered Day 0. The performance gain in forecasting daily maximum is more obvious than that in forecasting hourly values. The mean error is reduced by over a half over the whole range of water level. On Day 9, in Figure 8b, it only slightly deteriorates from Day 1 and with larger uncertainty. Scatterplots by months with lead times of 1 day and 9 days can be found in Figure A2 and Figure A3, respectively, in Appendix A.

3.3. Case Illustrations

Apart from overall statistics, here we also illustrate the performance of the anomaly forecast through two cases, one in February 2021 and another in December 2023.

3.3.1. High Positive Water Level Anomaly in February 2021

A strong easterly airstream associated with the northeast monsoon brought around a 0.5 to 0.6 m increase in water level at around 21 Hong Kong Time (HKT = UTC + 8 h) on 9 February 2021. Figure 9 shows the surface weather charts at around 37 and 13 h before the occurrence time. At 37 h before, the sea off Shanghai was affected by the northerlies brought about by the high-pressure area centred to the northwest over the continent. At 13 h before, the high-pressure centre had moved over the Yellow Sea. A ridge of high pressure extended southwards over the coast of southeastern China, channelling cooler air mass along the Taiwan Strait and bringing northeasterlies as far south as the northeastern part of the South China Sea. The evolution of the event matches well with the February EOF1 (Figure 2a).
Figure 10 compares the total water level forecast by the EOF method for different forecast runs against the observed and the Delft3D forecast. From the forecast run initialised at 12 UTC on 5 February 2021, four days ahead of the occurrence of peak water level, a high water level anomaly was already expected. The root mean square error (RMSE) of the water level forecast by the EOF method was generally 30–50% lower than that of the Delft3D forecast for QUB, TMW and TPK stations, though the peak water level forecast did not always outperform Delft3D. Although the Delft3D model can be further tuned and calibrated using tide observations to improve its forecast, Delft3D is computationally much more expensive than the EOF method, and the verification results could still demonstrate the usefulness of the EOF method in serving as a forecast tool for predicting water level anomalies in northeast monsoon conditions. There was occasional underestimation of the peak height, but the difference diminished in later runs initialised at a time closer to the peak. Starting from 10 February, the observed anomaly gradually diminished, whereas the anomaly forecast did follow the diminishing trend but somewhat at a faster rate, leading to greater underestimation in the following days when compared to the day of the peak.

3.3.2. Negative-Turning-Positive Water Level Anomaly in December 2023

Another case illustration was in December 2023. On the morning of 16 December, a cold front had just swept across Hong Kong, bringing fresh to strong northerlies to the region (Figure 11 (top)). The observed water level was lower than the astronomical tide, and the anomaly forecast had captured this negative anomaly since the 00 UTC run on 11 December, which is five days prior to the occurrence of peak water level (Figure 12).
At the same time, the sea off Shanghai was affected by the northwesterlies brought by an intense high centred over Mongolia with an extension over central China, and that was around 40 h before the peak anomaly coming at midnight on 18 December. Then at 16 h before the peak anomaly, i.e., on the morning of 17 December (Figure 11 (bottom)), a high-pressure cell formed over northern China and moved towards the coast of eastern China. Winds then gradually turned to northeasterlies over the Taiwan Strait and the northern part of the South China Sea. The evolution above also matched quite well with the December EOF1, which is very similar to the February one. The anomaly forecast was also able to capture the associated high positive anomaly since the 00 UTC run on 11 December 2023, which was seven days before.
The root mean square error (RSME) of the hourly water level forecast by the EOF method was generally 15–30% lower than that of the Delft3D forecast for QUB, TMW and TPK stations, and the peak water level forecast generally outperformed the Delft3D forecast (Figure 12).
In this case, it is shown that the EOF method was generally better than the benchmark reference of Delft3D, and it was also capable of producing both negative and positive water level anomaly forecasts, with similar magnitudes as the observed ones as early as five to seven days prior to the event. In fact, the anomaly forecasts from earlier runs also indicated a positive anomaly, but the magnitude was only half of the observed in this case. In general, the effectiveness of the forecast range likely depends on the forecast error from the input wind field forecast.

3.4. Appplication in Late Tropical Cyclone Seasons

The northeast monsoon often prevails over southern China in autumn and winter. In late tropical cyclone (TC) seasons like October, it is not uncommon to see encounters of TCs over the northern part of the South China Sea with the northeast monsoon advancing from northern or central China towards the South China coastal region. The combined effect usually brings about higher winds to the South China coastal region where the systems meet and the pressure gradient is larger. In such cases, although the high water level anomaly is mostly contributed by the storm surge associated with TCs, the contribution from the northeast monsoon cannot be neglected. Storm surge forecast using a circularly symmetric TC parametric model like SLOSH is not able to take into account the effect of the northeast monsoon in water level anomaly forecasts. The HKO has been adding the time- and location-dependent offset generated by the EOF method as described in this paper. A pre-processed model input field after vortex removal is generated to derive the contribution of the water level anomaly by the northeast monsoon. The effect of the northeast monsoon may somehow manifest itself in an increase in TC storm size and environmental pressure. The linear combination of water level anomalies respectively contributed by TCs and the northeast monsoon is considered to be a good first-order estimate of the interactions between the two systems, though the non-linear effects of their interactions and those with sea waves and current cannot be accounted for and will affect the accuracy of this method. These non-linear effects may need to be tackled by a coupled ocean-atmosphere modelling system such as COAWST [19]. Under the combined effect of TCs and the northeast monsoon, the methods of forecasting water level including the use of air-sea coupled models and a linear combination of storm surge forecast, EOF forecast and astronomical tide prediction and their comparison will be discussed and evaluated in a separate paper. Notwithstanding this, this computationally efficient EOF method provides a flexible and effective way to generate water level anomaly and total water level forecasts. In fact, the EOF method could also work for other synoptic weather patterns in different seasons.

4. Conclusions

The northeast monsoon can also cause significant sea water level anomalies and when overlapping with high tides during spring tides may lead to coastal flooding and sea inundations that pose a threat to coastal communities in low-lying regions. This paper shares the operational experience from Hong Kong, a coastal city with long and complex coastlines and a dense coastal population, in adopting a flexible and computationally efficient forecasting tool to support high water level forecast service in northeast monsoon situations, and to estimate the additional water anomaly component due to the combined effect with the northeast monsoon in TC situations. The study method and results could also serve as a reference for other forecast agencies with insufficient computer resources to run computationally expensive hydrodynamical models for generating location-specific water level forecasts.
A multiple linear regression model that utilises 10 m wind and mean sea level pressure forecasts from the ECMWF model to forecast water level anomalies at local tide stations was introduced. The model was trained with the same fields from the ERA5 reanalysis and past water level anomaly observations. The pre-processing of the input involves applying grid-specific optimised time lag on the wind field followed by EOF analysis of the resultant wind field composite in order to reduce the data dimension and to capture weather evolution patterns. Verification results based on the 2021–2023 dataset as compared with astronomical tide prediction and the persistence method showed that the EOF model was useful for predicting water level anomalies. On average over all ranges of water levels, the reduction in MAE by adding the anomaly forecast to astronomical tide prediction was as high as 30%. Higher water levels received even greater improvement. The two case illustrations of the northeast monsoon in February 2021 and December 2023 showed that the model was capable of predicting both negative and positive anomalies, with lead times as long as 5 to 7 days prior to the event and possibly even longer but with less skill. Its performance was at least on par with the computationally expensive Delft3D forecast and demonstrated skills as compared with the benchmark reference. This EOF forecasting method may also work for phenomena other than the northeast monsoon and in other months. It may also provide a practical and effective method for producing a total water level forecast under the combined effect of TCs and the northeast monsoon using the linear combination method when the TC parametric model is used for storm surge forecasting.
Compared to other methods of sea water level prediction, such as hydrodynamical models and machine learning methods, the EOF method is computationally efficient and requires only relatively few basic meteorological elements as inputs, viz. a regional 10 m wind gridded field, local wind and mean sea level pressure, and the local observed water level anomaly for training purposes. In fact, the ERA5 reanalysis dataset is readily available on the ECMWF website for model training. It would be easy for other parts of the world to adopt this forecasting method. Meanwhile, it also keeps a certain degree of physical sense by explicitly considering the relationships between synoptic weather patterns/local weather variables and water level, which would be an advantage over the machine learning methods in understanding the phenomena, though non-linear effects of interactions could not be accounted for.

Author Contributions

Conceptualisation, Y.-C.W. and C.-C.L.; methodology, Y.-C.W.; software, Y.-C.W.; validation, Y.-C.W. and H.-F.L.; formal analysis, Y.-C.W.; investigation, Y.-C.W. and H.-F.L.; resources, P.-W.C.; data curation, Y.-C.W. and H.-F.L.; writing—original draft preparation, Y.-C.W. and H.-F.L.; writing—review and editing, Y.-C.W., H.-F.L. and C.-C.L.; visualisation, Y.-C.W.; supervision, C.-C.L.; project administration, C.-C.L. and P.-W.C. All authors have read and agreed to the published version of the manuscript.

Funding

This research received no external funding.

Institutional Review Board Statement

Not applicable.

Informed Consent Statement

Not applicable.

Data Availability Statement

Wind and pressure recorded by the Hong Kong Observatory can be obtained at https://www.hko.gov.hk/en/cis/climat.htm (accessed on 1 November 2024). Requests for tide data can be made to the corresponding author, who will evaluate each request on a case-by-case basis.

Acknowledgments

We would like to thank CK Chow for his preparation of Delft3D simulation results and useful discussions and DS Lau and NS Leung for their assistance in data collection.

Conflicts of Interest

The authors declare no conflicts of interest.

Appendix A

Figure A1. Scatterplots of astronomical tide (red) and total water level forecast (green) obtained by adding the anomaly forecast on top of the astronomical tide against the observed water level with lead times between 0 and 11 h, the shortest lead times covering all forecast hours, from runs initialised in different months (rows) and for different stations (columns).
Figure A1. Scatterplots of astronomical tide (red) and total water level forecast (green) obtained by adding the anomaly forecast on top of the astronomical tide against the observed water level with lead times between 0 and 11 h, the shortest lead times covering all forecast hours, from runs initialised in different months (rows) and for different stations (columns).
Atmosphere 15 01321 g0a1
Figure A2. Scatterplots of daily maximum of astronomical tide (red) and daily maximum of the total water level forecast (green) obtained by adding the anomaly forecast on top of the astronomical tide against daily maximum observed water level with a lead time of 1 day, from runs initialised in different months (rows) and for different stations (columns). The thick lines are the smoothing curves, with 95% confidence intervals shaded around them.
Figure A2. Scatterplots of daily maximum of astronomical tide (red) and daily maximum of the total water level forecast (green) obtained by adding the anomaly forecast on top of the astronomical tide against daily maximum observed water level with a lead time of 1 day, from runs initialised in different months (rows) and for different stations (columns). The thick lines are the smoothing curves, with 95% confidence intervals shaded around them.
Atmosphere 15 01321 g0a2
Figure A3. Same as Figure A2 but for a lead time of 9 days.
Figure A3. Same as Figure A2 but for a lead time of 9 days.
Atmosphere 15 01321 g0a3

References

  1. Kohno, N.; Dube, S.K.; Entel, M.; Fakhruddin, S.H.M.; Greenslade, D.; Leroux, M.-D.; Rhome, J.; Thuy, N.B. Recent progress in storm surge forecasting. Trop. Cyclone Res. Rev. 2018, 7, 128–139. [Google Scholar] [CrossRef]
  2. Holland, G.J. An analytical model of the wind and pressure profiles in hurricanes. Mon. Weather Rev. 1980, 108, 1212–1218. [Google Scholar] [CrossRef]
  3. Jelesnianski, C.P.; Chen, J.; Shaffer, W.A. SLOSH: Sea, Lake, and Overland Surges from Hurricane. In NOAA Technical Report; National Weather Service: Silver Spring, MD, USA, 1992; Volume 48, pp. 13–15. [Google Scholar]
  4. WMO. Guide to Storm Surge Forecasting. WMO-No.1076 2011, p. 120. Available online: https://library.wmo.int/viewer/28432/download?file=wmo_1076_en.pdf&type=pdf&navigator=1 (accessed on 28 September 2024).
  5. Tkalich, P.; Vethamony, P.; Babu, M.T.; Malanotte-Rizzoli, P. Surges in the Singapore Strait due to winds in the South China Sea. Nat. Hazards 2013, 66, 1345–1362. [Google Scholar] [CrossRef]
  6. Mok, H.Y.; Liu, W.H. Story of a Bolt. Hong Kong Observatory Blog 2016. Available online: https://www.hko.gov.hk/en/Observatorys-Blog/101807/Story-of-a-Bolt (accessed on 28 September 2024).
  7. Hong Kong Observatory (HKO). Super Typhoon Mangkhut (1822). HKO Tropical Cyclone Reports and Publication 2020. Available online: https://www.hko.gov.hk/en/informtc/mangkhut18/report.htm (accessed on 28 September 2024).
  8. HYCOM Consortium. Available online: https://www.hycom.org/about (accessed on 28 September 2024).
  9. Lesser, G.R.; Roelvink, J.A.; van Kester, J.A.; Stelling, G.S. Development and validation of a three-dimensional mor-phological model. Coast. Eng. 2004, 51, 883–915. [Google Scholar] [CrossRef]
  10. Granata, F.; Di Nunno, F. Artificial Intelligence models for prediction of the tide level in Venice. Stoch. Environ. Res. Risk Assess. 2021, 35, 2537–2548. [Google Scholar] [CrossRef]
  11. Ayyad, M.; Hajj, M.R.; Marsooli, R. Machine learning-based assessment of storm surge in the New York metropolitan area. Sci. Rep. 2022, 12, 19215. [Google Scholar] [CrossRef] [PubMed]
  12. Guillou, N.; Chapalain, G. Machine learning methods applied to sea level predictions in the upper part of a tidal estuary. Oceanologia 2021, 63, 531–544. [Google Scholar] [CrossRef]
  13. Mulia, I.E.; Ueda, N.; Miyoshi, T.; Iwamoto, T.; Heidarzadeh, M. A novel deep learning approach for typhoon-induced storm surge modelling through efficient emulation of wind and pressure fields. Sci. Rep. 2023, 13, 7918. [Google Scholar] [CrossRef] [PubMed]
  14. Casas-Prat, M.; Wang, X.L.; Sierra, J.P. A physical-based statistical method for modeling ocean wave heights. Ocean. Model. 2014, 73, 59–75. [Google Scholar] [CrossRef]
  15. Sheridan, S.C.; Lee, C.C.; Adams, R.E.; Smith, E.T.; Pirhalla, D.E.; Ransibrahmanakul, V. Temporal modeling of anomalous coastal sea level values using synoptic climatological patterns. J. Geophys. Res. Oceans 2019, 124, 6531–6544. [Google Scholar] [CrossRef]
  16. Copernicus Climate Change Service (C3S). ERA5: Fifth Generation of ECMWF Atmospheric Reanalyses of the Global Climate. Copernicus Climate Change Service Climate Data Store (CDS) 2017. Available online: https://cds.climate.copernicus.eu/cdsapp#!/home (accessed on 28 September 2024).
  17. Venables, W.N.; Ripley, B.D. Modern Applied Statistics with S, 4th ed.; Springer: New York, NY, USA, 2002. [Google Scholar]
  18. Delft3D 4. Available online: https://oss.deltares.nl/web/delft3d/home (accessed on 28 September 2024).
  19. Warner, J.C.; Armstrong, B.; He, R.; Zambon, J.B. Development of a Coupled Ocean-Atmosphere-Wave-Sediment Transport (COAWST) modeling system. Ocean. Model. 2010, 35, 230–244. [Google Scholar] [CrossRef]
Figure 1. Location map showing Hong Kong inside the black box with tide stations and places mentioned in this paper.
Figure 1. Location map showing Hong Kong inside the black box with tide stations and places mentioned in this paper.
Atmosphere 15 01321 g001
Figure 2. (a) EOFs of the non-uniformly lagged composite field of ERA5 10 m wind anomaly, with the lags optimised for station QUB. Contours show the grid-wise “best” lag (in hours) applied on the field. Coloured shading and streamlines represent the magnitude and direction of the wind loading vector, respectively. The bar (b) on the right indicates the proportion of the variance in the non-uniformly lagged composite field of the ERA5 10 m wind anomaly that is explained by each principal component.
Figure 2. (a) EOFs of the non-uniformly lagged composite field of ERA5 10 m wind anomaly, with the lags optimised for station QUB. Contours show the grid-wise “best” lag (in hours) applied on the field. Coloured shading and streamlines represent the magnitude and direction of the wind loading vector, respectively. The bar (b) on the right indicates the proportion of the variance in the non-uniformly lagged composite field of the ERA5 10 m wind anomaly that is explained by each principal component.
Atmosphere 15 01321 g002
Figure 3. Scatterplots by station of water level anomaly forecast using the EOF method (green) and the persistence method (orange) against the observed water level anomaly for forecasts of lead time: (a) 1 to 6 h; (b) 7 to 11 h; (c) 24 to 29 h; and (d) 240 h. The thick black lines are the smoothing curves, with 95% confidence intervals shaded around them.
Figure 3. Scatterplots by station of water level anomaly forecast using the EOF method (green) and the persistence method (orange) against the observed water level anomaly for forecasts of lead time: (a) 1 to 6 h; (b) 7 to 11 h; (c) 24 to 29 h; and (d) 240 h. The thick black lines are the smoothing curves, with 95% confidence intervals shaded around them.
Atmosphere 15 01321 g003
Figure 4. Reduction of MAE of water level forecast by EOF method (green) and persistence method (orange) from solely astronomical tide prediction for different forecast lead times.
Figure 4. Reduction of MAE of water level forecast by EOF method (green) and persistence method (orange) from solely astronomical tide prediction for different forecast lead times.
Atmosphere 15 01321 g004
Figure 5. Scatterplots by station (columns) and by month (rows) of water level anomaly forecast against observed water level anomaly for forecasts of lead times between 0 and 11 h, the shortest lead times that include all observation times. The thick black lines are the smoothing curves, with 95% confidence intervals shaded around them.
Figure 5. Scatterplots by station (columns) and by month (rows) of water level anomaly forecast against observed water level anomaly for forecasts of lead times between 0 and 11 h, the shortest lead times that include all observation times. The thick black lines are the smoothing curves, with 95% confidence intervals shaded around them.
Atmosphere 15 01321 g005
Figure 6. Reduction of MAE after adding anomaly forecast to astronomical tide, by station (columns) and by month (rows).
Figure 6. Reduction of MAE after adding anomaly forecast to astronomical tide, by station (columns) and by month (rows).
Atmosphere 15 01321 g006
Figure 7. Scatterplots of runs initialised in February, by station, of astronomical tide (red), and total water level forecast (green) obtained by adding the anomaly forecast on top of the astronomical tide, against observed water level, for lead time (a) between 0 to 11 h, the shortest lead times covering all forecast hours and (b) lead time between 229 to 240 h, the longest lead times covering all forecast times. The thick lines are the smoothing curves, with 95% confidence intervals shaded around them.
Figure 7. Scatterplots of runs initialised in February, by station, of astronomical tide (red), and total water level forecast (green) obtained by adding the anomaly forecast on top of the astronomical tide, against observed water level, for lead time (a) between 0 to 11 h, the shortest lead times covering all forecast hours and (b) lead time between 229 to 240 h, the longest lead times covering all forecast times. The thick lines are the smoothing curves, with 95% confidence intervals shaded around them.
Atmosphere 15 01321 g007
Figure 8. Scatterplots of runs initialised in February by station, of daily max of astronomical tide (red), and daily max of the total water level forecast (green) obtained by adding the anomaly forecast on top of the astronomical tide, against daily max observed water level, for lead times of (a) 1 day and (b) 9 days. The thick lines are the smoothing curves, with 95% confidence intervals shaded around them.
Figure 8. Scatterplots of runs initialised in February by station, of daily max of astronomical tide (red), and daily max of the total water level forecast (green) obtained by adding the anomaly forecast on top of the astronomical tide, against daily max observed water level, for lead times of (a) 1 day and (b) 9 days. The thick lines are the smoothing curves, with 95% confidence intervals shaded around them.
Atmosphere 15 01321 g008
Figure 9. Surface weather charts at 08 HKT on 8 February 2021 (top), 37 h before the peak water level, and 08 HKT on 9 February 2021 (bottom), 13 h before the peak water level. The base map is annotated with Chinese and English names of location.
Figure 9. Surface weather charts at 08 HKT on 8 February 2021 (top), 37 h before the peak water level, and 08 HKT on 9 February 2021 (bottom), 13 h before the peak water level. The base map is annotated with Chinese and English names of location.
Atmosphere 15 01321 g009aAtmosphere 15 01321 g009b
Figure 10. A comparison of total water level forecast with solely the astronomical tide (red dashed) and the inclusion of the anomaly forecast (green dashed), against the observed total water level (blue solid) and Delft3D forecast (orange dashed), for forecast runs of different initial times (columns) and different stations (rows) in the northeast monsoon case of February 2021.
Figure 10. A comparison of total water level forecast with solely the astronomical tide (red dashed) and the inclusion of the anomaly forecast (green dashed), against the observed total water level (blue solid) and Delft3D forecast (orange dashed), for forecast runs of different initial times (columns) and different stations (rows) in the northeast monsoon case of February 2021.
Atmosphere 15 01321 g010
Figure 11. Surface weather charts at 08 HKT on 16 December 2023 (top), around the time of the negative peak anomaly and 40 h before the peak water level, and 08 HKT on 17 December 2023 (bottom), around 16 h before the peak water level. The base map is annotated with Chinese and English names of location.
Figure 11. Surface weather charts at 08 HKT on 16 December 2023 (top), around the time of the negative peak anomaly and 40 h before the peak water level, and 08 HKT on 17 December 2023 (bottom), around 16 h before the peak water level. The base map is annotated with Chinese and English names of location.
Atmosphere 15 01321 g011aAtmosphere 15 01321 g011b
Figure 12. A comparison of total water level forecast with solely the astronomical tide (red dashed) and the inclusion of the anomaly forecast (green dashed), against the observed total water level (blue solid) and the Delft3D forecast (orange dashed), for forecast runs of different initial times (columns) and different stations (rows) in the northeast monsoon case of December 2023.
Figure 12. A comparison of total water level forecast with solely the astronomical tide (red dashed) and the inclusion of the anomaly forecast (green dashed), against the observed total water level (blue solid) and the Delft3D forecast (orange dashed), for forecast runs of different initial times (columns) and different stations (rows) in the northeast monsoon case of December 2023.
Atmosphere 15 01321 g012
Table 1. Statistics of water level in non-TC hours in January–April and September–December from 2021 to 2023. An anomaly is defined as the observed water level minus the astronomical tide.
Table 1. Statistics of water level in non-TC hours in January–April and September–December from 2021 to 2023. An anomaly is defined as the observed water level minus the astronomical tide.
QUBTMWTPK
Number of hourly water level observations17,27617,16717,214
Maximum hourly observed water level (mCD)3.012.943.19
99th percentile of anomaly (m)0.3660.3880.440
95th percentile of anomaly (m)0.2520.2620.290
Mean anomaly (m)0.0130.0170.013
Standard deviation of anomaly (m)0.1350.1390.160
Disclaimer/Publisher’s Note: The statements, opinions and data contained in all publications are solely those of the individual author(s) and contributor(s) and not of MDPI and/or the editor(s). MDPI and/or the editor(s) disclaim responsibility for any injury to people or property resulting from any ideas, methods, instructions or products referred to in the content.

Share and Cite

MDPI and ACS Style

Wong, Y.-C.; Law, H.-F.; Lam, C.-C.; Chan, P.-W. High Water Level Forecast Under the Effect of the Northeast Monsoon During Spring Tides. Atmosphere 2024, 15, 1321. https://doi.org/10.3390/atmos15111321

AMA Style

Wong Y-C, Law H-F, Lam C-C, Chan P-W. High Water Level Forecast Under the Effect of the Northeast Monsoon During Spring Tides. Atmosphere. 2024; 15(11):1321. https://doi.org/10.3390/atmos15111321

Chicago/Turabian Style

Wong, Yat-Chun, Hiu-Fai Law, Ching-Chi Lam, and Pak-Wai Chan. 2024. "High Water Level Forecast Under the Effect of the Northeast Monsoon During Spring Tides" Atmosphere 15, no. 11: 1321. https://doi.org/10.3390/atmos15111321

APA Style

Wong, Y.-C., Law, H.-F., Lam, C.-C., & Chan, P.-W. (2024). High Water Level Forecast Under the Effect of the Northeast Monsoon During Spring Tides. Atmosphere, 15(11), 1321. https://doi.org/10.3390/atmos15111321

Note that from the first issue of 2016, this journal uses article numbers instead of page numbers. See further details here.

Article Metrics

Back to TopTop