Sustainable Environmental Management: Evaluating the Effects of the Tail Number Restriction Policy on Air Quality in Lanzhou, China
Abstract
1. Introduction
2. Literature Review and Research Hypotheses
2.1. Literature Review
2.2. Research Hypotheses
3. Policy Background in Lanzhou
4. Data and Methods
4.1. Data
4.2. Method
5. Results
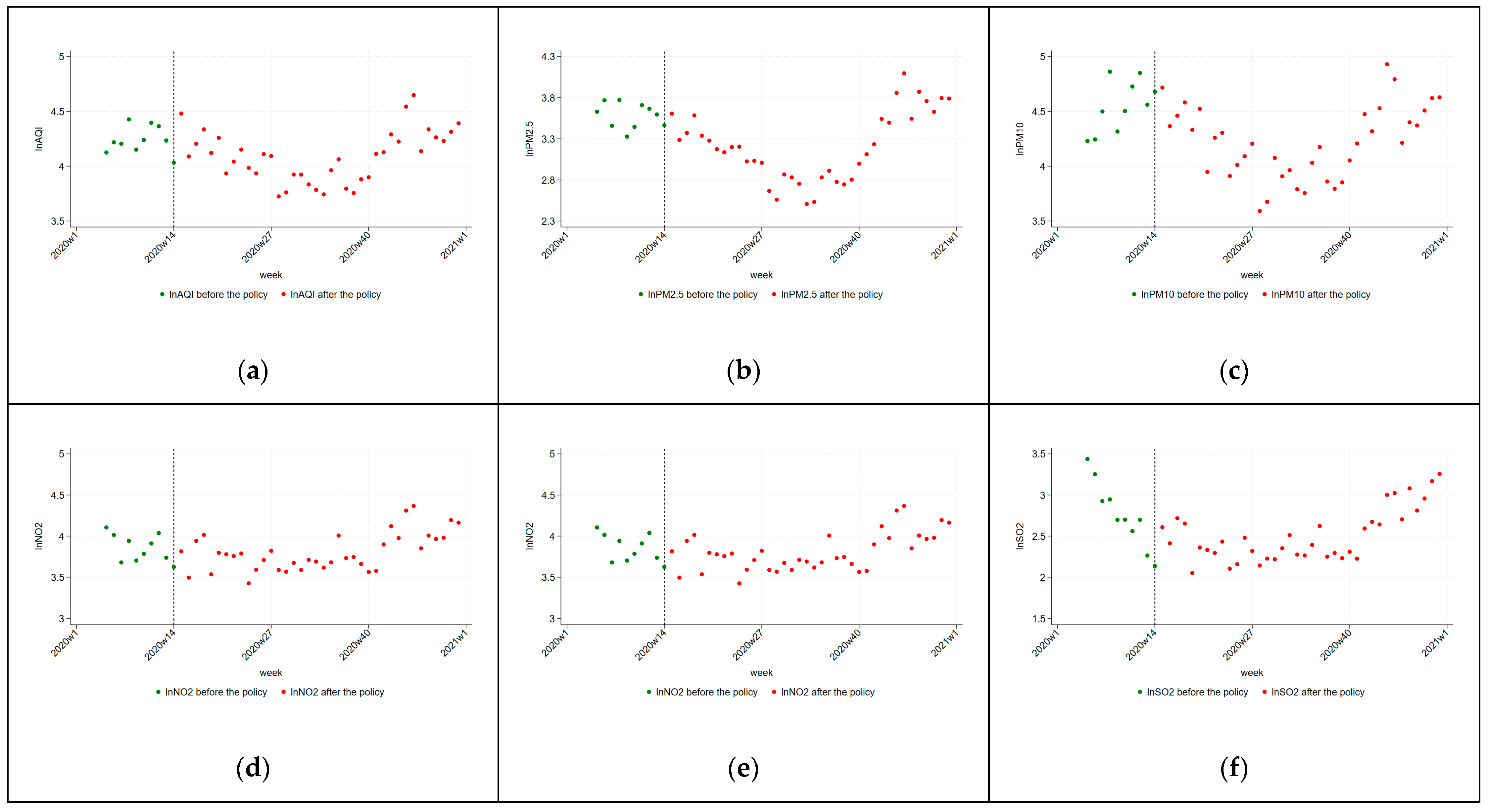
5.1. Overall Results
5.2. Time Interval Results
5.3. Robustness Test and Validity Analysis
5.3.1. Robustness Test
5.3.2. Validity Test
5.4. Further Exploration: Results for Different Peak Hours
6. Conclusions
Author Contributions
Funding
Institutional Review Board Statement
Informed Consent Statement
Data Availability Statement
Conflicts of Interest
References
- Fenger, J. Urban air quality. Atmos. Environ. 1999, 33, 4877–4900. [Google Scholar] [CrossRef]
- Slade, M.; Leese, M.; Ruggeri, M.; Kuipers, E.; Tansella, M.; Thornicroft, G. Does meeting needs improve quality of life? Psychother. Psychosom. 2004, 73, 183–189. [Google Scholar] [CrossRef] [PubMed]
- Li, Y.; Shao, L.; Wang, W.; Zhang, M.; Feng, X.; Li, W.; Zhang, D. Airborne fiber particles: Types, size and concentration observed in Beijing. Sci. Total Environ. 2020, 705, 135967. [Google Scholar] [CrossRef] [PubMed]
- He, G.; Fan, M.; Zhou, M. The effect of air pollution on mortality in China: Evidence from the 2008 Beijing Olympic Games. J. Environ. Econ. Manag. 2016, 79, 18–39. [Google Scholar] [CrossRef]
- Zhang, W.; Lawell, C.Y.C.L.; Umanskaya, V.I. The effects of license plate-based driving restrictions on air quality: Theory and empirical evidence. J. Environ. Econ. Manag. 2017, 82, 181–220. [Google Scholar] [CrossRef]
- Troncoso, R.; De Grange, L.; Cifuentes, L.A. Effects of environmental alerts and pre-emergencies on pollutant concentrations in Santiago, Chile. Atmos. Environ. 2012, 61, 550–557. [Google Scholar] [CrossRef]
- Davis, L.W. The effect of driving restrictions on air quality in Mexico City. J. Political Econ. 2008, 116, 38–81. [Google Scholar] [CrossRef]
- Viard, V.B.; Fu, S. The effect of Beijing’s driving restrictions on pollution and economic activity. J. Public Econ. 2015, 125, 98–115. [Google Scholar] [CrossRef]
- Han, Q.; Liu, Y.; Lu, Z. Temporary driving restrictions, air pollution, and contemporaneous health: Evidence from China. Reg. Sci. Urban Econ. 2020, 84, 103572. [Google Scholar] [CrossRef]
- Chen, Y.; Jin, G.Z.; Kumar, N.; Shi, G. The promise of Beijing: Evaluating the impact of the 2008 Olympic Games on air quality. J. Environ. Econ. Manag. 2013, 66, 424–443. [Google Scholar] [CrossRef]
- Chen, Z.; Hao, X.; Zhang, X.; Chen, F. Have traffic restrictions improved air quality? A shock from COVID-19. J. Clean. Prod. 2021, 279, 123622. [Google Scholar] [CrossRef] [PubMed]
- Lu, K.F.; Wang, H.W.; Li, X.B.; Peng, Z.R.; He, H.D.; Wang, Z.P. Assessing the effects of non-local traffic restriction policy on urban air quality. Transp. Policy 2022, 115, 62–74. [Google Scholar] [CrossRef]
- Huang, H.; Fu, D.; Qi, W. Effect of driving restrictions on air quality in Lanzhou, China: Analysis integrated with internet data source. J. Clean. Prod. 2017, 142, 1013–1020. [Google Scholar] [CrossRef]
- Mishra, R.K.; Pandey, A.; Pandey, G.; Kumar, A. The effect of odd-even driving scheme on PM2. 5 and PM1. 0 emission. Transp. Res. Part D Transp. Environ. 2019, 67, 541–552. [Google Scholar] [CrossRef]
- Chen, Z.; Zan, Z.; Jia, S. Effect of urban traffic-restriction policy on improving air quality based on system dynamics and a non-homogeneous discrete grey model. Clean Technol. Environ. Policy 2022, 24, 2365–2384. [Google Scholar] [CrossRef]
- Zhang, M.; Shan, C.; Wang, W.; Pang, J.; Guo, S. Do driving restrictions improve air quality: Take Beijing-Tianjin for example? Sci. Total Environ. 2020, 712, 136408. [Google Scholar] [CrossRef]
- Xu, S.-Q.; He, H.-D.; Yang, M.-K.; Wu, C.-L.; Zhu, X.-H.; Peng, Z.-R.; Sasaki, Y.; Doi, K. To what extent the traffic restriction policies can improve its air quality? An inspiration from COVID-19. Stoch. Environ. Res. Risk Assess. 2023, 37, 1479–1495. [Google Scholar] [CrossRef]
- Ye, J. Better safe than sorry? Evidence from Lanzhou’s driving restriction policy. China Econ. Rev. 2017, 45, 1–21. [Google Scholar] [CrossRef]
- Liu, Y.; Hong, Z.; Liu, Y. Do driving restriction policies effectively motivate commuters to use public transportation? Energy Policy 2016, 90, 253–261. [Google Scholar] [CrossRef]
- Guerra, E.; Millard-Ball, A. Getting around a license-plate ban: Behavioral responses to Mexico City’s driving restriction. Transp. Res. Part D Transp. Environ. 2017, 55, 113–126. [Google Scholar] [CrossRef]
- Chen, Z.; Zhang, X.; Chen, F. Have driving restrictions reduced air pollution: Evidence from prefecture-level cities of China. Environ. Sci. Pollut. Res. 2021, 28, 3106–3120. [Google Scholar] [CrossRef] [PubMed]
- Yi, L.; Kang, Z.R.; Yang, L.; Musa, M.; Wang, F. Do driving restriction policies effectively alleviate smog pollution in China? Environ. Sci. Pollut. Res. 2022, 29, 11405–11417. [Google Scholar] [CrossRef]
- Salas, C. Evaluating Public Policies with High Frequency Data: Evidence for Driving Restrictions in Mexico City Revisited; Pontificia Universidad Católica de Chile, Instituto de Economía, Oficina de Publicaciones: Santiago, Chile, 2010. [Google Scholar]
- Shi, K.; Di, B.; Zhang, K.; Feng, C.; Svirchev, L. Detrended cross-correlation analysis of urban traffic congestion and NO2 concentrations in Chengdu. Transp. Res. Part D Transp. Environ. 2018, 61, 165–173. [Google Scholar] [CrossRef]
- Choudhary, A.; Gokhale, S. Urban real-world driving traffic emissions during interruption and congestion. Transp. Res. Part D Transp. Environ. 2016, 43, 59–70. [Google Scholar] [CrossRef]
- Wu, K.; Chen, Y.; Ma, J.; Bai, S.; Tang, X. Traffic and emissions impact of congestion charging in the central Beijing urban area: A simulation analysis. Transp. Res. Part D Transp. Environ. 2017, 51, 203–215. [Google Scholar] [CrossRef]
- Wang, L.; Xu, J.; Qin, P. Will a driving restriction policy reduce car trips?—The case study of Beijing, China. Transp. Res. Part A Policy Pract. 2014, 67, 279–290. [Google Scholar] [CrossRef]
- Zhang, L.; Chen, C.; Li, S.; Zhang, F. Air pollution and potential control schemes in Lanzhou. Res. Env. Sci. 2000, 13, 18–21. [Google Scholar]
- Yin, Z.; Wang, H. Seasonal prediction of winter haze days in the north central North China Plain. Atmos. Chem. Phys. 2016, 16, 14843–14852. [Google Scholar] [CrossRef]
- Yang, Y.; Liao, H.; Lou, S. Increase in winter haze over eastern China in recent decades: Roles of variations in meteorological parameters and anthropogenic emissions. J. Geophys. Res. Atmos. 2016, 121, 13–050. [Google Scholar] [CrossRef]
- Grange, S.K.; Carslaw, D.C. Using meteorological normalisation to detect interventions in air quality time series. Sci. Total Environ. 2019, 653, 578–588. [Google Scholar] [CrossRef]
- He, X.; Jiang, S. Effects of vehicle purchase restrictions on urban air quality: Empirical study on cities in China. Energy Policy 2021, 148, 112001. [Google Scholar] [CrossRef]
- Tan, X.; Han, L.; Zhang, X.; Zhou, W.; Li, W.; Qian, Y. A review of current air quality indexes and improvements under the multi-contaminant air pollution exposure. J. Environ. Manag. 2021, 279, 111681. [Google Scholar] [CrossRef] [PubMed]
- Cao, Z.; Wang, L.; Zhang, Y. Environmental Effects of City–County Mergers in China: Strengthening Governance or Aggravating Pollution? Sustainability 2022, 14, 5522. [Google Scholar] [CrossRef]
- De Grange, L.; Troncoso, R. Impacts of vehicle restrictions on urban transport flows: The case of Santiago, Chile. Transp. Policy 2011, 18, 862–869. [Google Scholar] [CrossRef]
- Ramos, R.; Cantillo, V.; Arellana, J.; Sarmiento, I. From restricting the use of cars by license plate numbers to congestion charging: Analysis for Medellin, Colombia. Transp. Policy 2017, 60, 119–130. [Google Scholar] [CrossRef]
- Gelman, A.; Imbens, G. Why High-Order Polynomials Should Not Be Used in Regression Discontinuity Designs. J. Bus. Econ. Stat. 2019, 37, 447–456. [Google Scholar] [CrossRef]
- Calonico, S.; Cattaneo, M.D.; Titiunik, R. Robust Nonparametric Confidence Intervals for Regression-Discontinuity Designs. Econometrica 2014, 82, 2295–2326. [Google Scholar] [CrossRef]
- Imbens, G.W.; Lemieux, T. Regression discontinuity designs: A guide to practice. J. Econom. 2008, 142, 615–635. [Google Scholar] [CrossRef]
- Abadie, A.; Diamond, A.; Hainmueller, J. Comparative politics and the synthetic control method. Am. J. Political Sci. 2015, 59, 495–510. [Google Scholar] [CrossRef]







| Classification | Duration | Restricted Time | Restricted Area | Restriction Approach | |
|---|---|---|---|---|---|
| Normalized Atmospheric Governance | 11 January 2014–31 August 2018 | Weekdays only 07:30–19:30 | Downtown | TNRP | |
| 1 September 2018–3 February 2020 | Weekdays only 07:30–19:30 | Downtown | TNRP | ||
| 13 April 2020–6 July 2021 | Weekdays only 07:30–09:00, 17:00–19:30 | Adjusted downtown | TNRP | ||
| 13 July 2021–now | Weekdays only 07:30–20:00 | Adjusted downtown | TNRP | ||
| Special Atmospheric Governance | Winter control period | 17 November 2013–10 January 2014 | 07:00–20:00 | Downtown | O-ENRP |
| Major event period | 25 May 2014–20 July 2014 | 07:30–09:00, 11:00–12:30, 17:00–19:30 | Downtown | O-ENRP | |
| 5 July 2016–9 July 2016 | 07:00–20:00 | Downtown | O-ENRP | ||
| 7 July 2021–12 July 2021 | Workdays and weekends 07:00–21:00 | Adjusted downtown | TNRP | ||
| Variable | Measure | Definition | Data Source |
|---|---|---|---|
| Air quality | lnAQI | Logarithm of the air quality index | China National Environmental Monitoring Center |
| lnPM2.5 | Logarithm of fine particulate matter with a particle size below 2.5 microns (μg/m3) | ||
| lnPM10 | Logarithm of particulate matter with a particle size below 10 microns (μg/m3) | ||
| lnSO2 | Logarithm of sulfur dioxide (μg/m3) (μg/m3) | ||
| lnNO2 | Logarithm of nitrogen dioxide (μg/m3) | ||
| lnCO | Logarithm of carbon monoxide (mg/m3) | ||
| Control variables | T | Logarithm of atmospheric temperature 2 m above the ground (°C) | http://tianqi.2345.cn/, accessed on 1 March 2022 |
| lnPO | Logarithm of atmospheric pressure (mmHg) | ||
| lnDD | Logarithm of relative humidity at a height of 2 m from the ground (%) | ||
| lnU | Logarithm of wind direction at ground height and 10–12 m (compass position) | ||
| lnFf | Logarithm of the average wind speed at ground height and 10–12 m (m/s) |
| Variables | AIC | |||
|---|---|---|---|---|
| First Order | Second Order | Third Order | Fourth Order | |
| lnAQI | 104.820 | 45.296 | 40.652 | 45.819 |
| lnPM2.5 | 349.513 | 171.988 | 164.306 | 187.028 |
| lnPM10 | 352.392 | 303.987 | 297.454 | 301.631 |
| lnNO2 | 226.256 | 208.877 | 209.716 | 210.102 |
| lnSO2 | 316.805 | 258.400 | 276.008 | 285.255 |
| lnCO | 326.546 | 288.817 | 290.877 | 290.346 |
| Variables | Mean (Full) | SD (Full) | Mean (Pre) | SD (Pre) | Mean (Post) | SD (Post) |
|---|---|---|---|---|---|---|
| lnAQI | 4.122 | 0.299 | 4.122 | 0.299 | 4.122 | 0.299 |
| lnPM2.5 | 3.281 | 0.460 | 3.281 | 0.460 | 3.281 | 0.460 |
| lnPM10 | 4.288 | 0.445 | 4.288 | 0.445 | 4.288 | 0.445 |
| lnNO2 | 3.816 | 0.358 | 3.816 | 0.358 | 3.816 | 0.358 |
| lnSO2 | 2.549 | 0.454 | 2.549 | 0.454 | 2.549 | 0.454 |
| lnCO | 0.656 | 0.225 | 0.656 | 0.225 | 0.656 | 0.225 |
| lnPo | 6.412 | 0.00600 | 6.412 | 0.00600 | 6.412 | 0.00600 |
| lnU | 4.300 | 0.352 | 4.300 | 0.352 | 4.300 | 0.352 |
| lnDD | 4.604 | 1.684 | 4.604 | 1.684 | 4.604 | 1.684 |
| lnFf | 1.181 | 0.230 | 1.181 | 0.230 | 1.181 | 0.230 |
| Te | 5.366 | 9.966 | 5.366 | 9.966 | 5.366 | 9.966 |
| N | 333 | 333 | 70 | 70 | 263 | 263 |
| Variables | (1) | (2) | (3) | (4) | (5) | (6) | (7) | (8) | (9) | (10) | (11) | (12) |
|---|---|---|---|---|---|---|---|---|---|---|---|---|
| lnAQI | lnAQI | lnPM2.5 | lnPM2.5 | lnPM10 | lnPM10 | lnNO2 | lnNO2 | lnSO2 | lnSO2 | lnCO | lnCO | |
| Policy | −0.128 * (−1.707) | −0.209 *** (−3.088) | −0.146 ** (−1.997) | −0.197 ** (−2.489) | −0.268 *** (−2.791) | −0.510 *** (−3.986) | −0.079 ** (−2.601) | −0.244 ** (−2.039) | 0.353 (1.358) | 0.181 (1.424) | −0.142 *** (−3.154) | −0.098 * (−1.651) |
| lnFf | 0.010 (0.656) | −0.004 (−0.231) | −0.059 ** (−2.348) | −0.027 (−1.307) | −0.004 (−0.157) | −0.001 (−0.135) | ||||||
| lnPo | 4.378 * (1.805) | 3.573 (1.244) | 11.943 *** (3.358) | 12.945 *** (3.533) | 10.445 *** (2.867) | 8.641 *** (4.579) | ||||||
| lnU | −0.282 *** (−6.087) | −0.037 (−0.695) | −0.443 *** (−6.024) | −0.219 *** (−2.705) | −0.256 *** (−3.142) | −0.044 (−1.092) | ||||||
| lnDD | 0.002 *** (2.688) | 0.000 (0.993) | −0.000 (−0.179) | 0.000 (0.832) | 0.000 (0.913) | 0.000 (1.433) | ||||||
| Te | −0.008 (−1.419) | 0.006 (0.870) | −0.017 ** (−2.041) | 0.002 (0.170) | 0.008 (0.920) | −0.001 (−0.192) | ||||||
| Constance | 4.323 *** (65.354) | −34.768 (−1.565) | 4.073 *** (19.042) | −28.744 (−1.090) | 5.173 *** (20.106) | −102.793 *** (−3.151) | 4.124 *** (13.432) | −114.171 *** (−3.392) | 2.441 *** (9.338) | −92.791 *** (−2.773) | 0.445 *** (7.123) | −78.701 *** (−4.541) |
| Time fix effect | Yes | Yes | Yes | Yes | Yes | Yes | Yes | Yes | Yes | Yes | Yes | Yes |
| N | 333 | 332 | 333 | 332 | 333 | 332 | 333 | 332 | 333 | 332 | 333 | 332 |
| R2 | 0.293 | 0.362 | 0.704 | 0.716 | 0.439 | 0.517 | 0.197 | 0.273 | 0.440 | 0.497 | 0.321 | 0.476 |
| lnAQI | lnPM2.5 | lnPM10 | lnNO2 | lnSO2 | lnCO | |
|---|---|---|---|---|---|---|
| Policy | −0.691 *** (−5.284) | −0.251 ** (−2.200) | −0.347 *** (−3.882) | −0.690 *** (−6.954) | −0.064 (−0.947) | −0.208 * (−1.900) |
| Order | 3 | 3 | 3 | 2 | 2 | 2 |
| Kernel function | Triangular | Triangular | Triangular | Triangular | Triangular | Triangular |
| Bandwidth | 40.899 | 33.109 | 49.373 | 29.061 | 28.776 | 51.436 |
| Variables | (1) | (2) | (3) | (4) | (5) |
|---|---|---|---|---|---|
| AQI | PM2.5 | PM10 | NO2 | CO | |
| Period_1 | −0.201 *** (−2.907) | −0.193 ** (−2.320) | −0.230 ** (−2.562) | −0.348 *** (−2.741) | −0.107 (−1.171) |
| Period_2 | −0.209 *** (−3.137) | −0.203 *** (−2.817) | −0.335 *** (−3.645) | −0.143 (−1.346) | −0.272 ** (−2.506) |
| Period_3 | −0.278 *** (−3.845) | −0.398 *** (−4.785) | −0.482 *** (−4.818) | −0.141 (−1.384) | −0.195 * (−1.661) |
| Period_4 | −0.360 *** (−4.567) | −0.578 *** (−5.949) | −0.675 *** (−5.727) | −0.238 ** (−2.063) | −0.235 * (−1.805) |
| Period_5 | −0.475 *** (−5.846) | −0.849 *** (−8.571) | −0.771 *** (−6.547) | −0.213 * (−1.698) | −0.012 (−0.087) |
| Period_6 | −0.418 *** (−5.415) | −0.895 *** (−9.746) | −0.651 *** (−5.893) | −0.057 (−0.513) | 0.087 (0.701) |
| Period_7 | −0.358 *** (−5.201) | −0.708 *** (−8.807) | −0.591 *** (−5.984) | −0.048 (−0.492) | −0.158 (−1.403) |
| Period_8 | 0.099 (1.498) | −0.090 (−1.217) | 0.070 (0.750) | 0.296 *** (3.312) | 0.066 (0.652) |
| Period_9 | 0.218 *** (4.409) | 0.256 *** (4.360) | 0.118 (1.518) | 0.364 *** (5.038) | 0.306 *** (3.694) |
| Constant | −41.887 * (−1.816) | −11.533 (−0.476) | −76.195 ** (−2.230) | −106.341 *** (−3.620) | −169.336 *** (−4.962) |
| Time fix effect | Yes | Yes | Yes | Yes | Yes |
| Control variables | Yes | Yes | Yes | Yes | Yes |
| N | 332 | 332 | 332 | 332 | 332 |
| R2 | 0.502 | 0.729 | 0.513 | 0.322 | 0.474 |
| Variables | City | Weight |
|---|---|---|
| AQI | Jiuquan | 0.323 |
| Pingliang | 0.040 | |
| Yan’an | 0.637 | |
| PM2.5 | Jiuquan | 0.227 |
| Yan’an | 0.773 | |
| PM10 | Jiuquan | 0.289 |
| Tianshui | 0.019 | |
| Shuizuishan | 0.108 | |
| Yan’an | 0.583 | |
| NO2 | Jiuquan | 0.087 |
| Lasa | 0.001 | |
| Kelamayi | 0.368 | |
| Yan’an | 0.544 | |
| CO | Qingyang | 0.772 |
| Yan’an | 0.228 |
| Variable | MSPE |
|---|---|
| AQI | 0.0016 |
| PM2.5 | 0.0034 |
| PM10 | 0.0066 |
| SO2 | 0.0009 |
| NO2 | 0.0012 |
| CO | 0.0079 |
| Variables | (1) | (2) | (3) | (4) | (5) | (6) |
|---|---|---|---|---|---|---|
| lnAQI | lnPM2.5 | lnPM10 | lnNO2 | lnSO2 | lnCO | |
| Policy | −0.607 *** (−5.401) | −0.802 *** (−5.756) | −0.959 *** (−7.786) | −0.337 *** (−3.460) | −0.147 (−1.128) | −0.381 *** (−5.304) |
| Time fixed effect | Yes | Yes | Yes | Yes | Yes | Yes |
| Control variables | Yes | Yes | Yes | Yes | Yes | Yes |
| Constants | −22.746 (−0.783) | −6.437 (−0.173) | −12.970 (−0.317) | −45.036 (−1.341) | −147.057 *** (−3.869) | −90.525 *** (−2.729) |
| N | 332 | 332 | 332 | 332 | 332 | 332 |
| R2 | 0.449 | 0.575 | 0.476 | 0.430 | 0.422 | 0.496 |
| Variables | (1) | (2) | (3) | (4) | (5) | (6) |
|---|---|---|---|---|---|---|
| lnAQI | lnPM2.5 | lnPM10 | lnNO2 | lnSO2 | lnCO | |
| Treatment | −0.379 *** (−5.423) | −0.514 *** (−7.876) | −0.406 *** (−3.464) | −0.281 *** (−3.275) | 0.076 (0.370) | −0.247 * (−1.704) |
| Time fixed effect | Yes | Yes | Yes | Yes | Yes | Yes |
| Control variables | Yes | Yes | Yes | Yes | Yes | Yes |
| Constants | −15.464 (−0.673) | −20.542 (−0.693) | −19.149 (−0.545) | −40.145 * (−1.833) | −118.278 ** (−2.556) | −215.363 *** (−3.554) |
| N | 332 | 332 | 332 | 332 | 332 | 332 |
| r2 | 0.400 | 0.613 | 0.355 | 0.162 | 0.234 | 0.431 |
Disclaimer/Publisher’s Note: The statements, opinions and data contained in all publications are solely those of the individual author(s) and contributor(s) and not of MDPI and/or the editor(s). MDPI and/or the editor(s) disclaim responsibility for any injury to people or property resulting from any ideas, methods, instructions or products referred to in the content. |
© 2024 by the authors. Licensee MDPI, Basel, Switzerland. This article is an open access article distributed under the terms and conditions of the Creative Commons Attribution (CC BY) license (https://creativecommons.org/licenses/by/4.0/).
Share and Cite
Gan, X.; Huang, H.; Song, Y. Sustainable Environmental Management: Evaluating the Effects of the Tail Number Restriction Policy on Air Quality in Lanzhou, China. Atmosphere 2024, 15, 1307. https://doi.org/10.3390/atmos15111307
Gan X, Huang H, Song Y. Sustainable Environmental Management: Evaluating the Effects of the Tail Number Restriction Policy on Air Quality in Lanzhou, China. Atmosphere. 2024; 15(11):1307. https://doi.org/10.3390/atmos15111307
Chicago/Turabian StyleGan, Xuewei, Hengjun Huang, and Yuyuan Song. 2024. "Sustainable Environmental Management: Evaluating the Effects of the Tail Number Restriction Policy on Air Quality in Lanzhou, China" Atmosphere 15, no. 11: 1307. https://doi.org/10.3390/atmos15111307
APA StyleGan, X., Huang, H., & Song, Y. (2024). Sustainable Environmental Management: Evaluating the Effects of the Tail Number Restriction Policy on Air Quality in Lanzhou, China. Atmosphere, 15(11), 1307. https://doi.org/10.3390/atmos15111307
