Abstract
In recent years, haze pollution in China has garnered significant attention from both the government and the public, with vehicle emissions being identified as a key source of pollution. This study analyzes the impact of the tail number restriction policy (TNRP) on air quality using daily data from Lanzhou, China, in 2020, by employing the regression discontinuity in time (RDiT) method. The results show that the TNRP significantly reduced the air quality index (AQI) and concentrations of PM2.5, PM10, NO2, and CO, indicating a positive effect on air quality, though this is not a long-term standalone solution. Unlike previous policies, the current TNRP restricts traffic during peak hours, yielding consistent effects. This study recommends continuing the restriction policy and developing a comprehensive environmental governance system to promote new energy vehicles and enhance public transportation infrastructure.
1. Introduction
Urban air quality is a vast subject with different socioeconomic considerations in different parts of the world and even within specific regions [1]. Since the late 1970s, with economic development, China has been plagued by heavy air pollution [2,3]. Vehicle emissions have become a significant source of air pollution [4,5], and they mainly include CO, HC, NOx, and PM. According to the 2020 data from the “China Mobile Source Environmental Management Annual Report” (https://www.mee.gov.cn/, accessed on 1 August 2022), there were nearly 400 million vehicles in China in 2019, with total emissions of 16.04 million tons of these four pollutants. Specifically, the emissions included 7.716 million tons of carbon monoxide (CO), 1.892 million tons of hydrocarbons (HCs), 6.356 million tons of nitrogen oxides (NOx), and 0.074 million tons of particulate matter (PM). Rapid economic growth and urbanization have significantly increased the number of motor vehicles, resulting in traffic congestion, noise, and serious air pollution. From an economic point of view, air exemplifies a public good, demonstrating non-rivalry and non-excludability. The excessive use of vehicles in urban areas causes air pollution, which is a classic example of negative externality. Vehicle emissions degrade air quality, causing significant social welfare losses. This decline negatively impacts public health, increases healthcare costs, and lowers the overall quality of life. Public policy is crucial in mitigating these issues. If the government fails to respond effectively due to poor policies or lack of regulation, it can result in both market and governmental failures. Market failure occurs when environmental costs are not reflected, weakening incentives for emissions reduction; while governmental failure arises from policy flaws or inefficiencies, undermining environmental efforts. This leads to inefficient resource allocation and harms overall social welfare. Thus, assessing the impact of traffic restriction policies on air quality is vital for cities such as Lanzhou to implement effective ecological strategies, promoting harmony between economic growth and environmental health.
Vehicle restriction policies represent a highly effective solution to the aforementioned issue, facilitating direct government intervention. These policies enforce limitations on certain vehicles during specific times and in designated areas. They aim to alleviate traffic congestion and mitigate air pollution by reducing the number of vehicles on the road at any given time. Such policies encompass measures such as the odd–even number restriction policy (O-ENRP) and the tail number restriction policy (TNRP), both of which are based on the final digit of a vehicle’s license plate. The O-ENRP divides vehicles into two groups based on whether the last digit of the license plate is an odd or even number. The TNRP further organizes the last digit of license plates into five groups: 1 and 6, 2 and 7, 3 and 8, 4 and 9, and 5 and 0. During weekdays, one of the groups is subject to restrictions prohibiting them from using certain roads or entering designated areas. The TNRP and O-ENRP are cost-effective and require lower public investment than alternative air pollution prevention measures. In theory, the TNRP could reduce daily traffic flow by 20%, while the O-ENRP has the potential to reduce it by 50%. When balancing residents’ travel convenience with policy goals, the TNRP is regarded as a more moderate approach. These policies have been widely used in many cities as an efficient traffic management measure. Santiago first implemented a TNRP in 1986 to address serious air quality issues. Buses, taxis, and private cars are prohibited one day per week under this policy. On weekdays, the restricted time is between 06:30 and 20:30. Santiago revised the policy in 2008 based on the level of pollutants emitted by vehicles and the concentration of air pollutants [6]. For the same reason, Mexico also implemented a TNRP in 1987, which is called Hoy No Circula [7]. The restricted time is between 05:00 and 22:00. In China, Beijing first implemented an O-ENRP during the Olympic Games in 2008. Some studies concluded that the policy effectively reduced air pollution in Beijing during the 2008 Olympic Games [8,9,10]. Beijing has implemented a TNRP since then, taking the need to improve urban air quality and the benefits of traffic transportation into account.
The number of motor vehicles in Lanzhou has rapidly increased over the last decade. According to the 2019 Statistical Communiqué on National Economic and Social Development from the Lanzhou Municipal Bureau of Statistics, the city’s vehicle count reached 1.095 million by the end of 2019, a 3.2% rise from the previous year. Private cars totaled 697,700, growing by 4.2%. Motor vehicle emissions are, thus, important contributors to haze and photochemical pollution.
Lanzhou suspended the TNRP on February 3 to ensure the prevention and control of the epidemic due to the public health events in 2020. The majority of pollution sources ceased to emit. The policy was reinstated on April 13 with the gradual resumption of production and work. At the same time, this policy changed the restricted hours to between 07:30 and 09:00 and between 17:00 and 19:30 during the peak weekday hours in the morning and evening. It has been significantly relaxed in comparison with the previous policy. The COVID-19 lockdown in 2020 has provided a one-of-a-kind “real-world modeling scenario” that represents a plausible quasi-natural experiment for analyzing the effect of the TNRP. This research is dedicated to investigating the effects of the TNRP in Lanzhou, China during the year 2020. This study employs a regression discontinuity in time (RDiT) design to evaluate the impact of the TNRP on air quality, represented by the air quality index (AQI) and five key vehicle emission pollutants (PM2.5, PM10, NO2, SO2, and CO), which are the main pollutants in vehicle emissions. The AQI consolidates various air pollutant concentrations into a single index based on environmental standards. This research differs from previous studies that examined the effects of the TNRP on air quality. First, this study separately verifies the overall effect and the various peak-hour effects on air quality. Second, within the framework of the RDiT design, this study employs both global and local polynomial regression, making it more robust than previous studies. We hope that this work will provide an up-to-date policy effectiveness assessment study and contribute to the city’s environmental governance research.
The remainder of this article unfolds as follows: Section 2 provides an overview of the policy background. Section 3 elaborates on the methodology and data used. In Section 4, we delve into a discussion of the primary empirical findings, their validity, and various robustness checks. Finally, Section 5 presents a summary and conclusion.
2. Literature Review and Research Hypotheses
2.1. Literature Review
Vehicle restriction policies are designed to manage traffic and air pollution. However, their effectiveness in improving urban air quality depends on various factors. Many scholars are dedicated to addressing the following question: can these policies effectively enhance air quality in cities? If they prove effective, how can they be optimally implemented during urbanization to maximize air quality improvements? The effect of vehicle restriction policies on air quality has varied in previous studies due to the variety of cities and research methods. First, these policies have a significant effect on improving air quality. Several studies have indicated that such policies can motivate drivers to switch to public transportation. Using daily pre- and post-COVID-19 data, Chen et al. (2021) found that private vehicle restriction policies can reduce air pollution, although their effectiveness varies with concurrent policies and the city’s economic development [11]. Lu et al. (2022) employed pollution data from Shanghai monitoring networks to analyze a policy [12]. They found that restrictions resulted in a greater decrease in primary gaseous pollutants than particles, with air quality effects varying based on pollutant types and spatial locations. Second, the effect of the analyzed policies varies over time, showing different effects in the short and long term. Huang, Fu, and Qi (2017) utilized internet-based semi-structured data sources to conduct an analysis, revealing the effectiveness of the policy in the short term but its ineffectiveness in the long term [13]. Mishra et al. (2019) analyzed the effects of a 15-day odd–even vehicle restriction policy implemented in Delhi [14]. During the implementation period, they observed a decrease in both PM2.5 and PM1.0, suggesting a positive impact on mitigating urban air pollution. Chen, Zan, and Jia (2022) found that such policies may have negative long-term effects, such as agglomeration and the emission-reduction paradox, and do not fundamentally solve traffic and environmental issues [15]. Third, such policies are effective in improving air quality only under certain conditions. Zhang et al. (2020) investigated the impact of Tianjin’s driving restriction policy, encompassing a policy in 2014 and a new policy in 2018, on air quality [16]. They found that Tianjin’s driving restriction policy had no significant impact locally but slightly improved Beijing’s air quality by reducing car emissions, whereas the new policy in 2018 had limited effects in both cities. Xu et al. (2023) examined the air quality changes in Spain and the United States during the COVID-19 period in response to traffic restrictions, revealing that there were no noticeable variations in air pollutants until the reduction in traffic volume was less than 40% [17]. Additionally, the policies failed to effectively improve air quality, and the reasons for their ineffectiveness were subsequently examined. Ye (2017) evaluated the effectiveness of the driving restriction policy in Lanzhou, revealing that it did not significantly improve air quality due to drivers adjusting their schedules, routes, and vehicle ownership to circumvent the rules [18]. Liu, Hong, and Liu (2016) found that a driving restriction policy alone is insufficient due to the impact of driving habits on policy acceptance and perceived behavioral control [19]. Guerra and Millard-Ball (2017) found that buying another vehicle was one measure that drivers took to avoid such policies [20]. Due to these measures, such as changing travel times, taking detours, and buying another vehicle, such policies are ineffective.
In terms of methods, many studies have compared air pollutant concentrations before and after policy implementation using various methods. The difference-in-differences (DID) method has been used in several empirical studies on TNRPs [8,11]. A key prerequisite for this approach is the parallel trend assumption, which requires that, in the absence of a policy intervention, the treatment and control groups exhibit similar trends. This is essential for the DID method to ensure that both groups have the same trend before the policy implementation. However, it is difficult to find a comparable control group in these studies to meet the parallel trend assumption. As a result, avoiding biased assessment results is impossible. In response to this issue, some studies employed the DID method based on propensity score matching (PSM-DID) [21]. The study used samples of 173 prefecture-level cities in China from 2006 to 2016 to examine the relationship between a policy and air quality. They found that the policy had significant positive impacts on air pollution in the eastern and central cities of China. The main issue with this method, however, was that it was impossible to separate the impact of the policy and those of other related policies on air quality. In response to this issue, some studies have employed a regression discontinuity (RD) design, a quasi-experimental causal inference method, to evaluate policy effects [12,16,22,23].
In summary, the effectiveness of TNRPs remains debatable due to several factors. These include the varying economic conditions and natural geographical features across different cities, which can influence how a policy is implemented and its outcomes. Additionally, inconsistencies in research methods and perspectives further complicate the evaluation of the success of such policies. As a result, there is no clear consensus on the impact of TNRPs, highlighting the need for more comprehensive and standardized research approaches to better understand their effectiveness.
2.2. Research Hypotheses
Motor vehicles are a major source of urban air pollution, emitting a wide variety of pollutants with significant impacts—notably, nitrogen oxides (NOx), volatile organic compounds (VOCs), and particulate matter (PM). These pollutants contribute to atmospheric chemical reactions, forming secondary pollutants, such as ozone and secondary particulate matter, and exacerbating air pollution issues. Studies indicate that motor vehicles emit more pollutants when in congested conditions [24,25]. Traffic restriction policies directly regulate vehicle use by setting specific time windows or geographic areas to limit vehicle movement. Wu et al. (2017) found that congestion charges in Beijing could reduce emissions of carbon monoxide and hydrocarbons by 60% to 70% and those of nitrogen oxides by 30% to 45% [26]. Such policies directly and effectively reduce vehicle emissions, immediately lowering pollutant levels and positively impacting overall atmospheric quality. Lanzhou has implemented specific traffic regulations aimed at reducing the number of vehicles on the roads each day and alleviating congestion during peak hours, which is intended to enhance air quality. Therefore, we propose Hypothesis 1.
H1:
In the short term, the impact of the implementation of the TNRP in Lanzhou on air quality is positive.
The effectiveness of traffic restriction policies largely depends on the extent and depth of implementation. From the perspectives of microeconomic theory and economic welfare, these policies often fail to achieve their anticipated long-term effects [13,16]. Studies have indicated that the long-term impact of traffic restrictions on air quality improvement may be offset by the rapid increase in the total number of vehicles and consumers’ behaviors of adaptation to these measures [27]. However, the sustained impact of such policies can be significantly undermined if not integrated with other environmental measures, such as enhancing fuel efficiency standards, promoting clean energy, and strengthening industrial emission monitoring. Hence, we propose Hypothesis 2.
H2:
In the long-term, the implementation of the TNRP in Lanzhou has no impact on air quality.
3. Policy Background in Lanzhou
Lanzhou, located in Gansu Province of northwest China, has long struggled with poor air quality. In terms of its geographical environment, Lanzhou is a typical valley-type city, and it is built from west to east along the Yellow River [28,29,30]. There is significant vehicular congestion as a response to geographic constraints, which aggravates urban air pollution. Lanzhou has a mid-temperate continental climate and is drier than most Chinese cities. Unlike many other cities in China, it has lower humidity and less precipitation. The spring season typically begins between 2 and 5 February and concludes around 5 to 7 May. During this time, the city often experiences harsh and dusty weather conditions. The maximum PM10 concentration reaches 1 mg/m3 during the worst hour, and the minimum visibility is less than 2 km. Due to the weak cold air activity in the winter and the necessity for heating, air pollution is worsened. Lanzhou is a significant industrial city in northwest China for the production of petrochemicals, biopharmaceuticals, and equipment. Heavy industrial facilities also emit many toxic gases that seriously pollute the air at the same time.
Vehicle emissions contribute significantly to Lanzhou’s air pollution. The number of vehicles has rapidly increased. To solve the problem of traffic congestion, on 18 September 2010, Lanzhou began implementing a TNRP. In response to national air pollution prevention and control actions in 2013, Lanzhou implemented the vehicle restriction policy as an important measure to reduce emissions from mobile sources. Since 2013, the focus of Lanzhou’s vehicle restriction policy has shifted from initially relieving traffic congestion to preventing air pollution. Until now, the policy has been modified several times. Table 1 summarizes the policy’s details. It shows the classification of the restrictions, duration, restricted area, restricted time, and restriction approach. The classification is based on the purpose of the restriction, which is divided into normalized atmospheric governance and special atmospheric governance. The TNRP is used to improve air quality as part of normalized atmospheric governance. Since 2020, the restricted zone has been adjusted to ensure travel convenience, reducing some restricted zones in the city’s eastern part. An O-ENRP is implemented during periods of heavy pollution and major events. In Table 1, the winter control periods primarily refer to atmospheric governance during periods of heavy pollution in winter. Major event periods primarily refer to major festivals and events held in Lanzhou each summer, such as the Lanzhou Investment and Trade Fair, the Lanzhou International Marathon, the Silk Road International Tourism Festival, and so on. After analyzing the traffic restriction policy in Lanzhou, we found that the policy discussed in this paper is more lenient compared to strict all-day measures. It is implemented only during peak traffic hours, aiming to achieve environmental benefits with minimal socioeconomic costs. Therefore, our study will focus on this policy to investigate its actual impact on air quality improvement while ensuring a certain level of travel freedom for the public.
Table 1.
Overview of the vehicle restriction policy in Lanzhou.
4. Data and Methods
4.1. Data
In this study, we estimated the effects of the TNRP on air quality using daily air pollutant concentrations in Lanzhou during the year 2020. Data on air quality were obtained from the China National Environmental Monitoring Center’s platform. Lanzhou has five air quality monitoring stations (Railway Design Institute, Institute of Biological Products, Lanlian Hotel, Staff Hospital, and Lanzhou University). Because the restricted zone only has two monitoring stations (Railway Design Institute and Biological Products Institute), we collected hourly air quality data at these locations, including data on the AQI, SO2, PM2.5, PM10, CO, and NO2. Due to fluctuations in time series values caused by seasonal and irregular variations, it is challenging to identify development trends. Therefore, we can use the moving average method to eliminate these influences and apply logarithmic transformation to all variables. To isolate the impact of the policy on air quality, the meteorological conditions need to be controlled for analysis [31,32,33]. To account for the meteorological conditions, we used five variables. These variables were wind speed, wind direction, relative humidity, temperature, and air pressure, and were acquired from the 2345 weather forecasting website (http://tianqi.2345.cn/, accessed on 1 March 2022). Table 2 presents all variables used in this study.
Table 2.
Variables, measures, and data sources.
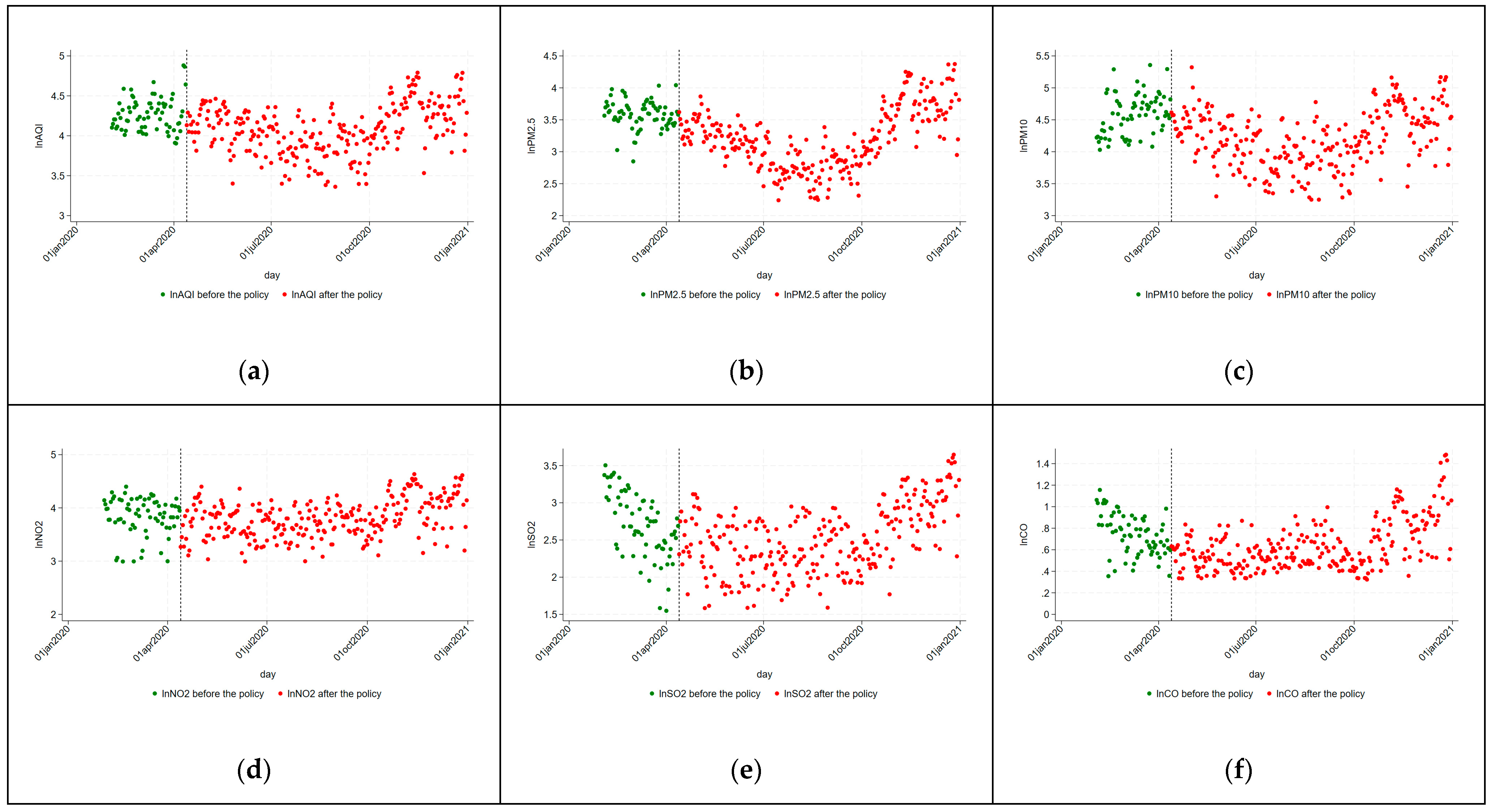
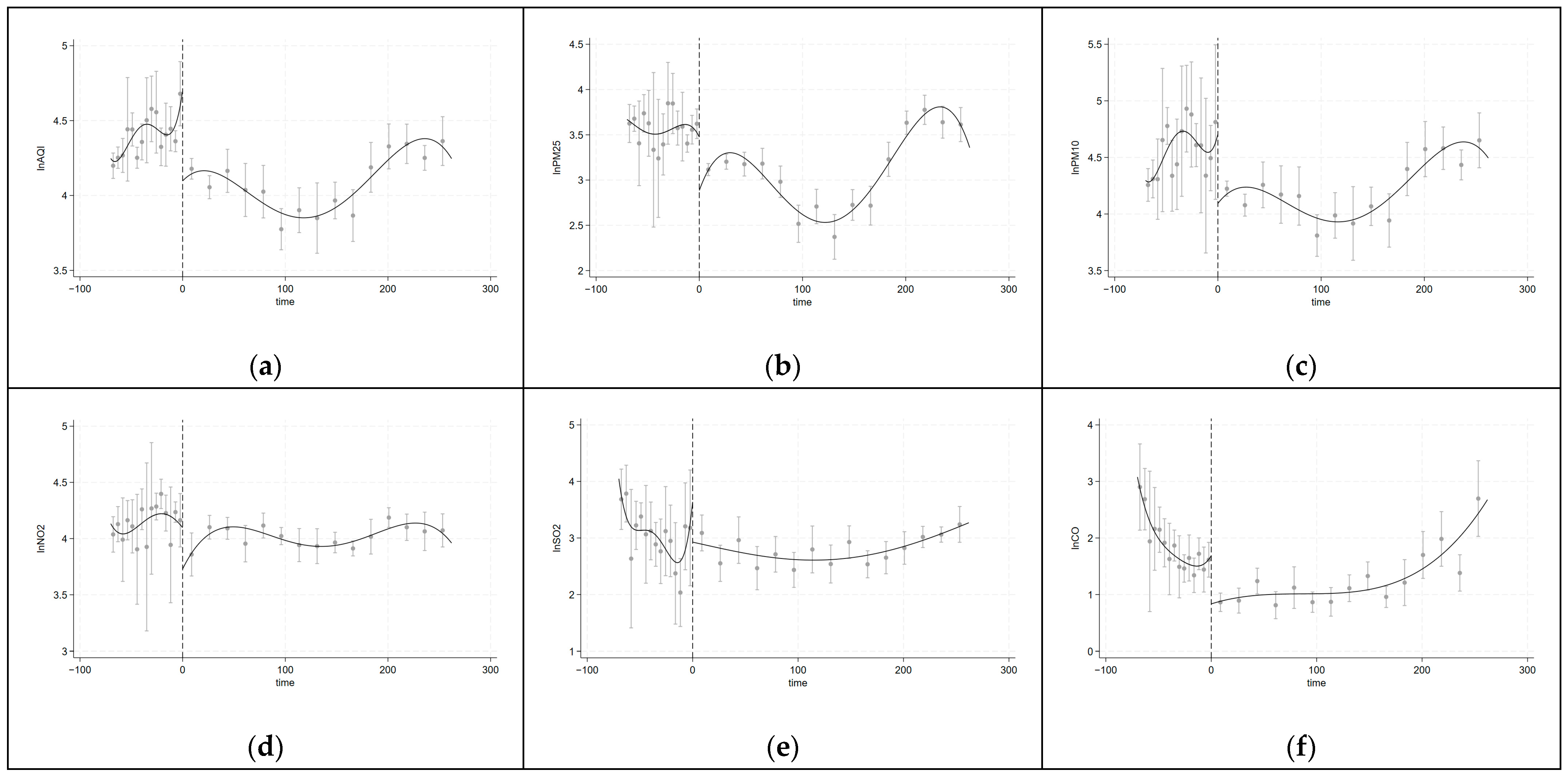
In our analysis, we meticulously tracked the daily average air quality index (AQI) and monitored the concentrations of five key pollutants in Lanzhou over the designated period, as illustrated in Figure 1. Interestingly, we noted a consistent trend in the AQI, PM2.5, NO2, and CO levels, which exhibited minimal fluctuations before and after the enforcement of the restriction policy. However, there was a notable anomaly in the PM10 and SO2 levels, which experienced a transient surge post-implementation. Intriguingly, approximately 200 days following the policy’s initiation, we observed a concerning uptick in air pollution levels, which was potentially attributable to the onset of the winter heating season, thereby potentially counteracting the policy’s intended benefits.
Figure 1.
Average daily air quality index and concentrations of five pollutants in Lanzhou in the year 2020. The subfigures (a–f) represent the daily pollutant concentrations for AQI, PM2.5, PM10, NO2, SO2, and CO, with all indicators displayed on a logarithmic scale.
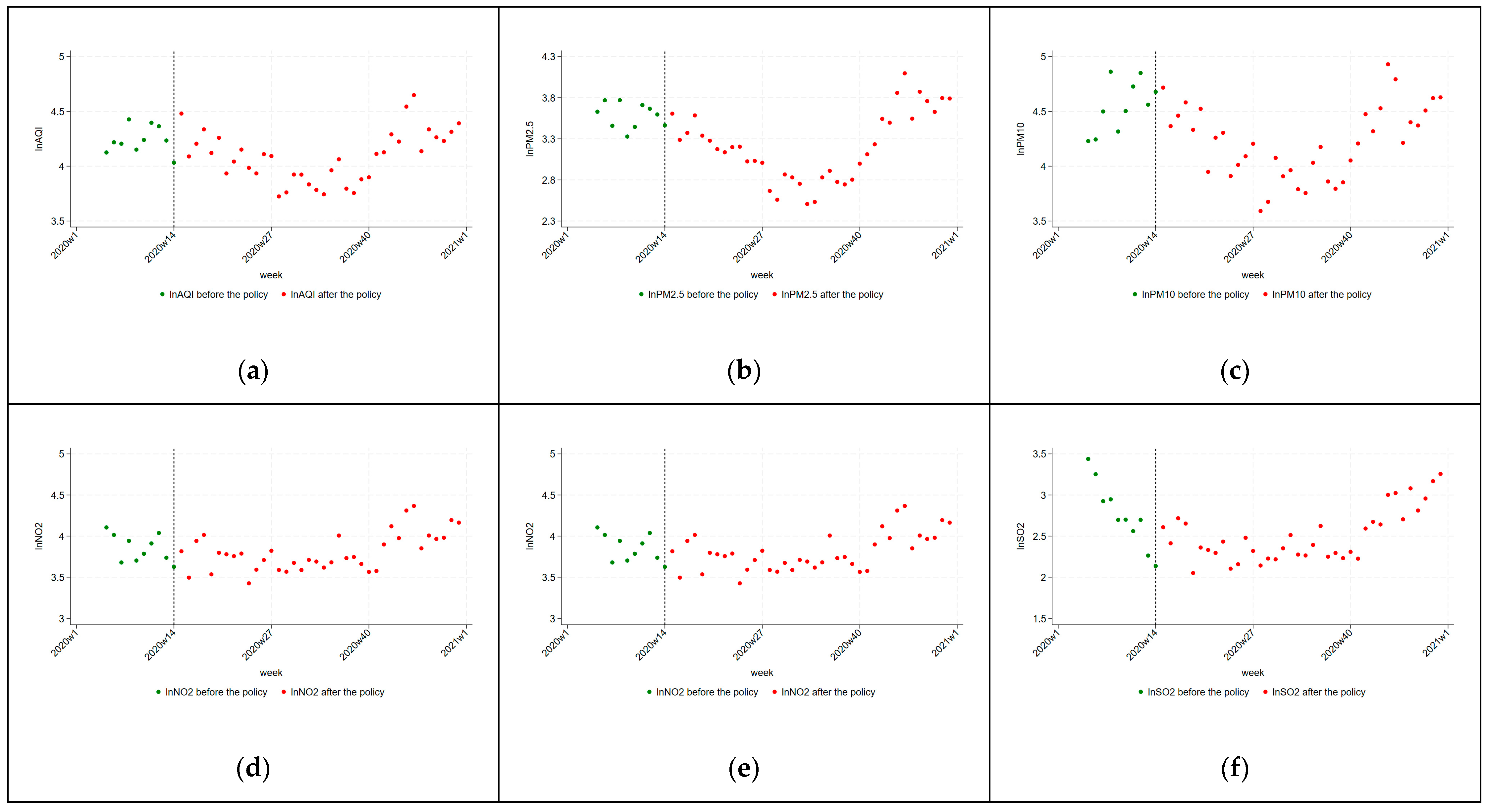
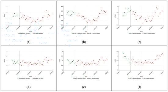
Expanding our analysis to a broader time frame, we delved into weekly data to scrutinize the pre- and post-implementation AQI and pollutant concentrations, as visualized in Figure 2. Impressively, we discerned a significant reduction in the AQI, PM2.5, NO2, and CO levels subsequent to the policy’s implementation. This decrease indicated that the restriction policy might have had a positive effect, although it might have taken some time to fully materialize. Nevertheless, while these initial findings offer valuable insights, they represent only a preliminary analysis. To ascertain the true efficacy of the restriction policy on air quality, a more comprehensive investigation incorporating multifaceted variables and statistical methodologies is imperative. Only through such rigorous scrutiny can we conclusively determine whether the observed air quality trends are indeed a direct consequence of the policy intervention or influenced by external factors.
Figure 2.
Average weekly air quality index and concentrations of five pollutants in Lanzhou in the year 2020. The subfigures (a–f) represent the weekly pollutant concentrations for AQI, PM2.5, PM10, NO2, SO2, and CO, with all indicators displayed on a logarithmic scale.
The descriptive statistics for the AQI and the five air pollutant concentrations are summarized in Table 3. The full sample was divided into two parts based on the date of policy implementation: pre-TNRP and post-TNRP periods. N denotes the sample size, which is the number of days included in the sample. The pre-TNRP period was 70 days long, and the post-TNRP period was 263 days long. Columns 1 and 2 show the mean and standard deviation of the entire sample. The pre-TNRP results are shown in columns 3 and 4. The post-TNRP results are shown in columns 5 and 6. The statistics showed that the AQI and pollutant concentrations were lower in the post-TNRP period than in the pre-TNRP period. These reductions implied that the TNRP may have led to reduced pollution emissions. However, these were only preliminary descriptive statistics that could not clearly identify the effects of the TNRP. We need to investigate whether these phenomena were caused by the TNRP or by other factors.
Table 3.
Descriptive statistics.
4.2. Method
The government implements vehicle restrictions primarily to reduce the number of cars on the road, aiming to alleviate traffic congestion and, in turn, improve air quality and protect public health. However, in our attempt to quantify the relationship between these restrictions and air quality improvements through statistical models, we faced challenges related to endogeneity. Specifically, driving restrictions are often adopted as an emergency response when air quality has already significantly deteriorated. This reactive policymaking renders the restrictions themselves an endogenous variable, meaning that their implementation is not entirely independent of other socioeconomic factors or environmental conditions.
To overcome this endogeneity issue and ensure an accurate assessment of the actual contribution of vehicle restrictions to air quality improvements, we chose to employ the RDiT method. The model was similar to a random experiment, with a clear causal inference and the most reliable results; it was able to consistently estimate the local average treatment effect (LATE) near the breakpoint. The decision to use RDiT was based on several key advantages. Firstly, unlike the DID method, the RDiT design generally requires flexible assumptions [30]. This method is suitable for evaluating complex interventions such as the TNRP and helps isolate policy effects from confounding factors. Secondly, in contrast to the regression discontinuity design, RDiT is better suited for analyzing time-series data, effectively leveraging the temporal characteristics of air pollutant data from Lanzhou to provide robust insights into policy impacts. Third, RDiT can be used to independently assess the impact of the TNRP while distinguishing its effects from those of parallel regulations, such as the Clean Air Action and sudden public health events.
This study employed the RDiT method to evaluate the effects of the TNRP in Lanzhou. The method included a time-based breakpoint, utilizing the policy implementation date as the reference point. If significant changes in air quality were observed near this breakpoint while other influencing factors remained stable, we could conclude that these changes were due to the policy, thus validating the variable. Conversely, if no significant changes occurred, the variable was deemed ineffective. Additionally, the polynomial represents time as a continuous variable, with all other variables also changing continuously. The uniform distribution of the time variable means that the frequency distribution remains constant, resulting in a relatively small sample size near the breakpoint, allowing the conclusion that RDiT differs from traditional RD methods. To assess policy effects, it is often necessary to extend the time frame to achieve a sufficient sample size, which may include observations further from the policy impact time, potentially introducing bias from other time-related factors. Therefore, we include relevant control variables in the time breakpoint regression model. Based on the principles of time breakpoint regression and referencing studies by Davis (2008), Zhang et al. (2020) and Cao et al. (2022) [7,16,34], Equation (1) is presented.
In this model, Yt represents the average hourly air pollution, including the AQI and pollutant concentrations (PM2.5, PM10, SO2, NO2, CO), which is replaced according to the study subject. t denotes time, while T is the cut-point marking the implementation of the restriction policy. Policyt is a dummy variable, taking a value of 0 before the policy (i.e., t < T) and 1 afterward (i.e., t ≥ T). Its regression coefficient γ indicates whether air quality metrics experienced significant changes during the policy implementation period. (t − T) measures the time interval from the cut-point, and (t − T)i represents its polynomial form. This approach is commonly used in relevant studies [35,36]. The superscript i denotes the polynomial order, which is selected based on the local variation trends of each pollutant [37]. The coefficient β reflects the impact of pollutants over time. The interaction term between Policyt and (t − T)i is used to examine changes in trends of the outcome variable on either side of the breakpoint, with its coefficient τ1 being a key focus, indicating the lasting effect of the restriction policy on air quality. In terms of this study, if γ is significantly negative, it indicates a substantial decline in the AQI during the policy period; a positive τ1 suggests that the policy accelerated improvements in air quality, while a negative τ1 implies that it slowed these changes. The coefficients α, β, and Φ in Equation (1) are not within the scope of this study. Additionally, X is a vector of control variables primarily related to meteorological factors, with all variables being log-transformed. εt represents the error term.
In order to estimate the parameters of Equation (1), the polynomial order k should be determined by using the Akaike information criterion (AIC). To establish the model order, we tested the first order, second order, third order, and fourth order. Finally, the minimum AIC value was used to decide the order of the model polynomial. Table 4 displays the outcomes. The third-order polynomial model was used for AQI, NO2, and SO2. The fourth-order polynomial model was used for PM2.5 and CO. The second-order polynomial model was used for PM10. Additionally, this study utilized the CCT method [38], which was named after its developers, Calonico, Cattaneo, and Titiunik, to identify the optimal bandwidth. This study identified the ideal bandwidth as being one month prior to and two months following the policy’s implementation. To evaluate the overall impact of the TNRP on air quality over the entire sample period, we utilized both global polynomial regression and local polynomial regression techniques.
Table 4.
The AIC values of the AQI and five pollutants in different orders.
Furthermore, we specifically examined the policy’s effect during peak traffic hours by calculating the impact on air quality during the peak hours in the morning and evening. This detailed analysis helped us understand not only the general effectiveness of the TNRP but also how it influenced air quality during times of high vehicular activity. This dual approach ensured a thorough assessment of the policy’s efficacy in improving air quality in Lanzhou.
5. Results
5.1. Overall Results
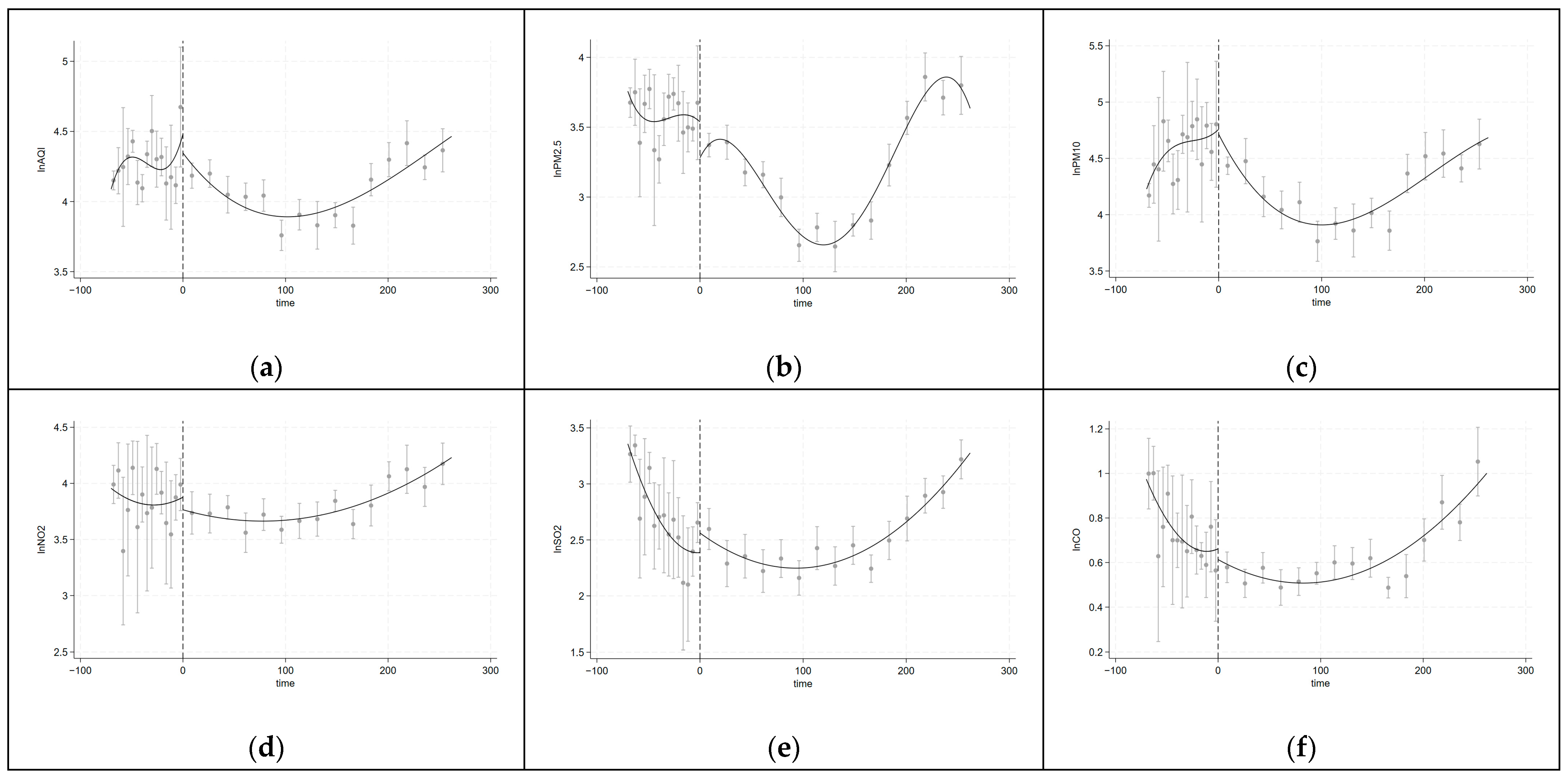
The overall the regression discontinuity for the TNRP’s effect on air pollutants was estimated. The adjusted daily AQI and the five pollutant concentrations (PM2.5, PM10, SO2, NO2, CO) were plotted against the covariate vectors in Equation (1). Seasonal influences were removed from these adjusted data, and the underlying and time-varying trends were revealed. The underlying time trend was adequately described by the k-order polynomial time trend. The fitted AQI, PM2.5, and PM10 lines were the time series of predicted values from a regression on the third-order polynomial time trend. The time trend represented by the k-order polynomial reflected the underlying time trend. The fitted AQI, NO2, and SO2 lines represent the time series of expected values from a regression on the second-order polynomial time trend. As shown in Figure 3, there was discontinuity before and after execution of the policy. The AQI dramatically decreased after the TNRP, and the concentrations of the other four pollutants, with the exception of SO2, also significantly decreased. This suggests that the policy had an impact on air quality.
Figure 3.
The overall results of the average daily pollution. Subfigures (a–f) illustrate the presence of breakpoints in AQI, PM2.5, PM10, NO2, SO2, and CO before and after policy implementation, with all indicators displayed on a logarithmic scale.
Table 5 presents the estimated coefficients β1 corresponding to the observed discontinuities. These coefficients reflected the overall effect of the TNRP on air quality, as determined with the global polynomial regression approach. The odd-numbered columns in the table controlled only for time fixed effects, while the even-numbered columns also included several control variables. With the exception of SO2, the coefficients in both columns indicated a significantly negative impact of the TNRP on the respective pollutants. Specifically, at a statistical significance level of 1%, this study revealed that the AQI decreased by 20.9%, PM2.5 decreased by 19.7%, PM10 decreased by 51%, NO2 decreased by 24.4%, and CO decreased by 9.8%. These results highlight the effectiveness of the TNRP in mitigating air pollution in Lanzhou, as evidenced by the significant decreases in various pollutants. The statistical significance of these findings indicated a high level of confidence in the observed improvements in air quality attributed to the implementation of the TNRP. This result confirms Hypothesis 1.
Table 5.
The overall effects of the TNRP on the AQI and concentrations of five air pollutants with the global polynomial.
Furthermore, due to the small sample size in our study, we used local polynomial regression to analyze the “boundary problem” and obtain relatively accurate parameter estimates. The local polynomial regression was estimated with data restricted to a narrow range of dates. We used bandwidths of 90 days before and after the treatment date. The outcome was similar to that of the global polynomial. We used the triangular kernel density function to analyze the effect of the TNRP. Imbens and Lemieux (2008) pointed out that a triangular kernel density function is relatively simple, and the result is similar to that of other kernel density functions [39]. Table 6 shows that the effects of the TNRP on AQI and concentrations of the five pollutants were all negative, but the reduction in SO2 was not statistically significant. At 1% significance, the AQI dropped by 69.1%, PM10 dropped by 34.7%, and NO2 dropped by 69%. At 5% significance, PM2.5 dropped by 25.1%. At 10% significance, CO dropped by 20.8%.
Table 6.
The overall effects of the TNRP on the AQI and concentrations of five air pollutants with the local polynomial.
5.2. Time Interval Results
To examine the duration of the restrictions’ effects, this study analyzed their impacts during the following periods after implementation: within 1 week, from 1 week to 1 month, from 1 month to 2 months, from 2 months to 3 months, from 3 months to 4 months, from 4 months to 5 months, from 5 months to 6 months, from 6 months to 7 months, and after 7 months. The results are presented in Table 7. As shown, the restriction policy significantly reduced the AQI and other pollutant concentrations within 6 months, except for SO2. However, after 6 months, the results were not significant and even showed adverse effects. This may have been due to the increased air pollutant concentrations in northern cities during winter when heating is required, thus diminishing the policy’s effectiveness. This suggests that the TNRP is time-sensitive. Increased air pollution during the winter months can lessen the effect of the TNRP on air quality. This result confirms Hypothesis 2.
Table 7.
Phased impact of the TNRP on the AQI and concentrations of five air pollutants.
5.3. Robustness Test and Validity Analysis
5.3.1. Robustness Test
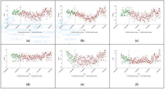
We further performed a pseudo-cut-point test to test the robustness of the previous results. The placebo cut-point in the pseudo-cut-point test was chosen at a different point from the actual cut-point. If the regression outcome of the placebo cut-point was not significant, this suggested that the real cut-point was authentic. We conducted cut-point placebo tests for the AQI, PM2.5, PM10, NO2, and CO to confirm the reliability of the findings. We used the 20%, 40%, 60%, and 80% sample quantiles on either side of the true cut-point as the cut-points for the placebo. Figure 4 illustrates that none of the regression coefficients for the four-placebo cut-points were significant when compared with the actual cut-point result. Since there was no influence from the policy at these locations, the outcome of the genuine cut-point was accurate.
Figure 4.
Pseudo-cut-point test results. Subfigures (a–e) present the regression results for AQI, PM2.5, PM10, NO2 and CO, utilizing the actual breakpoint along with the 20%, 40%, 60%, and 80% sample quantiles as placebo breakpoints. All indicators displayed on a logarithmic scale.
5.3.2. Validity Test
According to Abadie, Diamond, and Hainmueller (2015), each city in the control group will produce a weight to simulate the treatment group during the synthesis process [40]. A city with a high weight matches up to the treatment group. Lanzhou was the subject of this study’s treatment group. To simulate Lanzhou, we wished to generate a synthetic counterfactual case using the control group. Before the policy was implemented, we wanted the synthetic control group’s curve to be fitted to Lanzhou’s curve. Following the policy’s implementation, the distinction between the real Lanzhou and the synthetic Lanzhou showed the impact of the policy. If there was no obvious distinction between them, the implementation of the policy had no obvious impact.
Based on the analytical framework of the synthetic control method, the control groups were weighted to produce a new treatment group. We analyzed the AQI, PM2.5, PM10, NO2, and CO. Table 8 displays the control group’s weight. This demonstrated that Yan’an in Shanxi Province accounted for a considerable part of the total city weight for all pollutants. Other cities in Gansu province had large weight distributions.
Table 8.
Synthesized cities and weights of the five pollutants.
Table 9 presents the results of the mean square prediction error (MSPE) analysis, which served as a measure of the accuracy of the synthetic policy simulation. The MSPE values for four pollutant concentrations, along with the MSPE of the air quality index (AQI), were all found to be less than 0.01. This indicated that the predicted outcomes of the synthetic policy simulation were highly favorable. These findings provide strong evidence that the synthetic policy simulation yielded reliable and desirable outcomes. The results indicated that if the proposed policy was to be implemented, it would effectively lead to significant improvements in pollutant levels and, ultimately, enhance the overall air quality in the area studied.
Table 9.
MSPE of the AQI and four pollutants.
The figures on the left side of Figure 5 show the differences in the AQI and four pollutant concentrations between the synthetic and real Lanzhou. The results of the real Lanzhou are shown by the solid lines. The outcomes of the synthetic Lanzhou are represented by dashed lines. The time that the policy was put into place is indicated by the vertical dashed line. This suggested that the outcome of the synthetic policy simulation was preferable. The solid lines for the four pollutant concentrations and the AQI were all located below the dotted lines after the vertical dashed line. We can draw the conclusion that the TNRP had a significant impact. After October, though, the policy’s effect steadily vanished. Possible causes include northern winter heating.
Figure 5.
The AQI and four pollutants in the “real Lanzhou” and “synthetic Lanzhou”. Subfigures (a–e) illustrate the differences between the actual values of AQI, PM2.5, PM10, NO2 and CO, and the synthesized values from other cities.
The figures on the right side of Figure 5 show the difference in the AQI and four pollutant concentrations between the real Lanzhou and synthetic Lanzhou. This is more intuitive for the demonstration of the effect of the TNRP on air quality. The solid lines show the difference between the real and synthetic Lanzhou. This difference is often referred to as the gap. Between January and May, the gaps for all pollutants varied between −0.010 and 0.015. The gaps were negative after the implementation of the policy. This implied that there was an impact on policy. The gaps, however, turned around after October. This suggested that after October, the policy’s impact gradually vanished.
5.4. Further Exploration: Results for Different Peak Hours
The restricted time in this regulation was split into morning peak hour (07:30–09:00) and evening peak hour (17:00–21:30). As a result, we further examined this policy’s impact during various peak times. Table 10 presents the regression results for the evening peak hour. Table 11 presents the regression results for the morning peak hour. Some observations are worth paying attention to. First, when compared, the assessments of the morning and evening peak hours produced identical results. There was a discontinuity in the different peak hours before and after policy implementation. This suggested that policies have an impact on the quality of the air. Additionally, it demonstrated the stability of the policy’s effect. Second, the impact of the policy was greater in the evening peak hour than in the morning peak hour. It is possible that the air pollution was lower at night than during the day because there was generally less traffic. Third, when comparing the results of the global and local polynomial regressions, the results of the local polynomial regression were all higher than the results of the global polynomial regression.
Table 10.
The effects of the TNRP on the AQI and concentrations of five air pollutants at the evening peak hour.
Table 11.
The effects of the TNRP on the AQI and concentrations of five air pollutants at the morning peak hour.
In Figure 6 and Figure 7, the estimation of the regression discontinuity for the influence of the TNRP on the AQI and five pollutants’ concentrations is presented. The fitted lines of the AQI and five pollutants’ concentrations during the morning peak hour are displayed in Figure 6. The fitted lines of the AQI and five pollutants’ concentrations during the evening peak hour are displayed in Figure 7.
Figure 6.
The effects of the TNRP on the AQI and concentrations of five air pollutants at the evening peak hour. Subfigures (a–f) illustrate the presence of breakpoints in AQI, PM2.5, PM10, NO2, SO2 and CO before and after policy implementation at the evening peak hour, with all indicators displayed on a logarithmic scale.
Figure 7.
The effects of the TNRP on the AQI and concentrations of five air pollutants at the morning peak hour. Subfigures (a–f) illustrate the presence of breakpoints in AQI, PM2.5, PM10, NO2, SO2 and CO before and after policy implementation at the morning peak hour, with all indicators displayed on a logarithmic scale.
6. Conclusions
This study compared the air quality index (AQI) and concentrations of five major air pollutants in Lanzhou, China, before and after the implementation of the TNRP to assess its impact on air quality. Following the TNRP, significant reductions were observed in AQI, PM2.5, PM10, NO2, and CO, confirming the policy’s short-term effectiveness. We also examined the policy’s effects during morning and evening peak hours, finding similar results, with more pronounced effects during the evening peak. However, it should be noted that the effect of the TNRP gradually fades in winter, making its influence on air quality difficult to sustain for an extended period of time.
The following policy recommendations can be made based on these empirical findings. First, the TNRP has undergone numerous modifications since Lanzhou first implemented it in 2010. The updated TNRP from 2020 is the most relaxed policy. As a result of its convenience with regard to travel and its effect, it should be maintained. Second, a more sustainable environmental governance framework is required. Certain psychological variables and irrational attitudes affect the means of transportation. However, as an administrative regulation, the TNRP has little long-term impact on people’s transportation modes. This study, along with previous research, suggests that a more sustainable environmental governance framework is required. On the one hand, the public transportation infrastructure needs to be improved. There are more than 120 bus lines and 2 BRT express bus lines in Lanzhou, and they connect most of the city’s four districts. During rush hour, however, there is still much traffic congestion. As a result, the use of shared bicycles should be encouraged. On the other hand, it is important to promote the use of new-energy vehicles. The number of new-energy vehicles in Lanzhou was only 15,000 at the end of 2021, making up 1.53% of all vehicles, despite the implementation of several promotional regulations in this area. As a result, in order to encourage the use of new-energy vehicles, a new energy vehicle infrastructure should be built to ensure user convenience. We expect that the current analysis will be useful in improving future adjustments to the TNRP. Furthermore, this study is intended to contribute to the empirical literature on conducting environmental policy evaluations using quasi-experimental and causal evidence.
Author Contributions
Conceptualization, data curation, formal analysis, methodology, software, validation, writing—original draft, writing—review and editing, X.G.; Data curation, visualization, Y.S.; Funding acquisition, project administration, supervision, H.H. All authors have read and agreed to the published version of the manuscript.
Funding
This study was supported by the National Social Science Fund of China (Grant No. 20XTJ005), the Central Government Funds for Guiding Local Science and Technology Development of China (Grant No. YDZX20216200001876), and the Science and Technology Program of Gansu Province in China (“Excellent Doctorate Program”, Grant No. 23JRRA1190).
Institutional Review Board Statement
Not applicable.
Informed Consent Statement
Not applicable.
Data Availability Statement
The datasets are available from the corresponding author upon reasonable request. The data are not publicly available due to privacy.
Conflicts of Interest
The authors declare no conflict of interest.
References
- Fenger, J. Urban air quality. Atmos. Environ. 1999, 33, 4877–4900. [Google Scholar] [CrossRef]
- Slade, M.; Leese, M.; Ruggeri, M.; Kuipers, E.; Tansella, M.; Thornicroft, G. Does meeting needs improve quality of life? Psychother. Psychosom. 2004, 73, 183–189. [Google Scholar] [CrossRef] [PubMed]
- Li, Y.; Shao, L.; Wang, W.; Zhang, M.; Feng, X.; Li, W.; Zhang, D. Airborne fiber particles: Types, size and concentration observed in Beijing. Sci. Total Environ. 2020, 705, 135967. [Google Scholar] [CrossRef] [PubMed]
- He, G.; Fan, M.; Zhou, M. The effect of air pollution on mortality in China: Evidence from the 2008 Beijing Olympic Games. J. Environ. Econ. Manag. 2016, 79, 18–39. [Google Scholar] [CrossRef]
- Zhang, W.; Lawell, C.Y.C.L.; Umanskaya, V.I. The effects of license plate-based driving restrictions on air quality: Theory and empirical evidence. J. Environ. Econ. Manag. 2017, 82, 181–220. [Google Scholar] [CrossRef]
- Troncoso, R.; De Grange, L.; Cifuentes, L.A. Effects of environmental alerts and pre-emergencies on pollutant concentrations in Santiago, Chile. Atmos. Environ. 2012, 61, 550–557. [Google Scholar] [CrossRef]
- Davis, L.W. The effect of driving restrictions on air quality in Mexico City. J. Political Econ. 2008, 116, 38–81. [Google Scholar] [CrossRef]
- Viard, V.B.; Fu, S. The effect of Beijing’s driving restrictions on pollution and economic activity. J. Public Econ. 2015, 125, 98–115. [Google Scholar] [CrossRef]
- Han, Q.; Liu, Y.; Lu, Z. Temporary driving restrictions, air pollution, and contemporaneous health: Evidence from China. Reg. Sci. Urban Econ. 2020, 84, 103572. [Google Scholar] [CrossRef]
- Chen, Y.; Jin, G.Z.; Kumar, N.; Shi, G. The promise of Beijing: Evaluating the impact of the 2008 Olympic Games on air quality. J. Environ. Econ. Manag. 2013, 66, 424–443. [Google Scholar] [CrossRef]
- Chen, Z.; Hao, X.; Zhang, X.; Chen, F. Have traffic restrictions improved air quality? A shock from COVID-19. J. Clean. Prod. 2021, 279, 123622. [Google Scholar] [CrossRef] [PubMed]
- Lu, K.F.; Wang, H.W.; Li, X.B.; Peng, Z.R.; He, H.D.; Wang, Z.P. Assessing the effects of non-local traffic restriction policy on urban air quality. Transp. Policy 2022, 115, 62–74. [Google Scholar] [CrossRef]
- Huang, H.; Fu, D.; Qi, W. Effect of driving restrictions on air quality in Lanzhou, China: Analysis integrated with internet data source. J. Clean. Prod. 2017, 142, 1013–1020. [Google Scholar] [CrossRef]
- Mishra, R.K.; Pandey, A.; Pandey, G.; Kumar, A. The effect of odd-even driving scheme on PM2. 5 and PM1. 0 emission. Transp. Res. Part D Transp. Environ. 2019, 67, 541–552. [Google Scholar] [CrossRef]
- Chen, Z.; Zan, Z.; Jia, S. Effect of urban traffic-restriction policy on improving air quality based on system dynamics and a non-homogeneous discrete grey model. Clean Technol. Environ. Policy 2022, 24, 2365–2384. [Google Scholar] [CrossRef]
- Zhang, M.; Shan, C.; Wang, W.; Pang, J.; Guo, S. Do driving restrictions improve air quality: Take Beijing-Tianjin for example? Sci. Total Environ. 2020, 712, 136408. [Google Scholar] [CrossRef]
- Xu, S.-Q.; He, H.-D.; Yang, M.-K.; Wu, C.-L.; Zhu, X.-H.; Peng, Z.-R.; Sasaki, Y.; Doi, K. To what extent the traffic restriction policies can improve its air quality? An inspiration from COVID-19. Stoch. Environ. Res. Risk Assess. 2023, 37, 1479–1495. [Google Scholar] [CrossRef]
- Ye, J. Better safe than sorry? Evidence from Lanzhou’s driving restriction policy. China Econ. Rev. 2017, 45, 1–21. [Google Scholar] [CrossRef]
- Liu, Y.; Hong, Z.; Liu, Y. Do driving restriction policies effectively motivate commuters to use public transportation? Energy Policy 2016, 90, 253–261. [Google Scholar] [CrossRef]
- Guerra, E.; Millard-Ball, A. Getting around a license-plate ban: Behavioral responses to Mexico City’s driving restriction. Transp. Res. Part D Transp. Environ. 2017, 55, 113–126. [Google Scholar] [CrossRef]
- Chen, Z.; Zhang, X.; Chen, F. Have driving restrictions reduced air pollution: Evidence from prefecture-level cities of China. Environ. Sci. Pollut. Res. 2021, 28, 3106–3120. [Google Scholar] [CrossRef] [PubMed]
- Yi, L.; Kang, Z.R.; Yang, L.; Musa, M.; Wang, F. Do driving restriction policies effectively alleviate smog pollution in China? Environ. Sci. Pollut. Res. 2022, 29, 11405–11417. [Google Scholar] [CrossRef]
- Salas, C. Evaluating Public Policies with High Frequency Data: Evidence for Driving Restrictions in Mexico City Revisited; Pontificia Universidad Católica de Chile, Instituto de Economía, Oficina de Publicaciones: Santiago, Chile, 2010. [Google Scholar]
- Shi, K.; Di, B.; Zhang, K.; Feng, C.; Svirchev, L. Detrended cross-correlation analysis of urban traffic congestion and NO2 concentrations in Chengdu. Transp. Res. Part D Transp. Environ. 2018, 61, 165–173. [Google Scholar] [CrossRef]
- Choudhary, A.; Gokhale, S. Urban real-world driving traffic emissions during interruption and congestion. Transp. Res. Part D Transp. Environ. 2016, 43, 59–70. [Google Scholar] [CrossRef]
- Wu, K.; Chen, Y.; Ma, J.; Bai, S.; Tang, X. Traffic and emissions impact of congestion charging in the central Beijing urban area: A simulation analysis. Transp. Res. Part D Transp. Environ. 2017, 51, 203–215. [Google Scholar] [CrossRef]
- Wang, L.; Xu, J.; Qin, P. Will a driving restriction policy reduce car trips?—The case study of Beijing, China. Transp. Res. Part A Policy Pract. 2014, 67, 279–290. [Google Scholar] [CrossRef]
- Zhang, L.; Chen, C.; Li, S.; Zhang, F. Air pollution and potential control schemes in Lanzhou. Res. Env. Sci. 2000, 13, 18–21. [Google Scholar]
- Yin, Z.; Wang, H. Seasonal prediction of winter haze days in the north central North China Plain. Atmos. Chem. Phys. 2016, 16, 14843–14852. [Google Scholar] [CrossRef]
- Yang, Y.; Liao, H.; Lou, S. Increase in winter haze over eastern China in recent decades: Roles of variations in meteorological parameters and anthropogenic emissions. J. Geophys. Res. Atmos. 2016, 121, 13–050. [Google Scholar] [CrossRef]
- Grange, S.K.; Carslaw, D.C. Using meteorological normalisation to detect interventions in air quality time series. Sci. Total Environ. 2019, 653, 578–588. [Google Scholar] [CrossRef]
- He, X.; Jiang, S. Effects of vehicle purchase restrictions on urban air quality: Empirical study on cities in China. Energy Policy 2021, 148, 112001. [Google Scholar] [CrossRef]
- Tan, X.; Han, L.; Zhang, X.; Zhou, W.; Li, W.; Qian, Y. A review of current air quality indexes and improvements under the multi-contaminant air pollution exposure. J. Environ. Manag. 2021, 279, 111681. [Google Scholar] [CrossRef] [PubMed]
- Cao, Z.; Wang, L.; Zhang, Y. Environmental Effects of City–County Mergers in China: Strengthening Governance or Aggravating Pollution? Sustainability 2022, 14, 5522. [Google Scholar] [CrossRef]
- De Grange, L.; Troncoso, R. Impacts of vehicle restrictions on urban transport flows: The case of Santiago, Chile. Transp. Policy 2011, 18, 862–869. [Google Scholar] [CrossRef]
- Ramos, R.; Cantillo, V.; Arellana, J.; Sarmiento, I. From restricting the use of cars by license plate numbers to congestion charging: Analysis for Medellin, Colombia. Transp. Policy 2017, 60, 119–130. [Google Scholar] [CrossRef]
- Gelman, A.; Imbens, G. Why High-Order Polynomials Should Not Be Used in Regression Discontinuity Designs. J. Bus. Econ. Stat. 2019, 37, 447–456. [Google Scholar] [CrossRef]
- Calonico, S.; Cattaneo, M.D.; Titiunik, R. Robust Nonparametric Confidence Intervals for Regression-Discontinuity Designs. Econometrica 2014, 82, 2295–2326. [Google Scholar] [CrossRef]
- Imbens, G.W.; Lemieux, T. Regression discontinuity designs: A guide to practice. J. Econom. 2008, 142, 615–635. [Google Scholar] [CrossRef]
- Abadie, A.; Diamond, A.; Hainmueller, J. Comparative politics and the synthetic control method. Am. J. Political Sci. 2015, 59, 495–510. [Google Scholar] [CrossRef]
Disclaimer/Publisher’s Note: The statements, opinions and data contained in all publications are solely those of the individual author(s) and contributor(s) and not of MDPI and/or the editor(s). MDPI and/or the editor(s) disclaim responsibility for any injury to people or property resulting from any ideas, methods, instructions or products referred to in the content. |
© 2024 by the authors. Licensee MDPI, Basel, Switzerland. This article is an open access article distributed under the terms and conditions of the Creative Commons Attribution (CC BY) license (https://creativecommons.org/licenses/by/4.0/).






