Assessing the Impact of Climate Change on Methane Emissions from Rice Production Systems in Southern India
Abstract
1. Introduction
2. Materials and Methods
2.1. Field Experiments
2.2. Sample Collection and Analysis
2.3. Estimation of Methane Emissions
2.4. Model Description and Validation
2.5. Statistical Analyses
2.6. Climate Projection Data
2.7. Carbon Dioxide Concentrations
2.8. Climate Change Mitigation Studies
3. Results and Discussion
3.1. Effects of Cultivation Methods and Soil Amendments on Methane Emissions
3.2. Validation of the DNDC Model
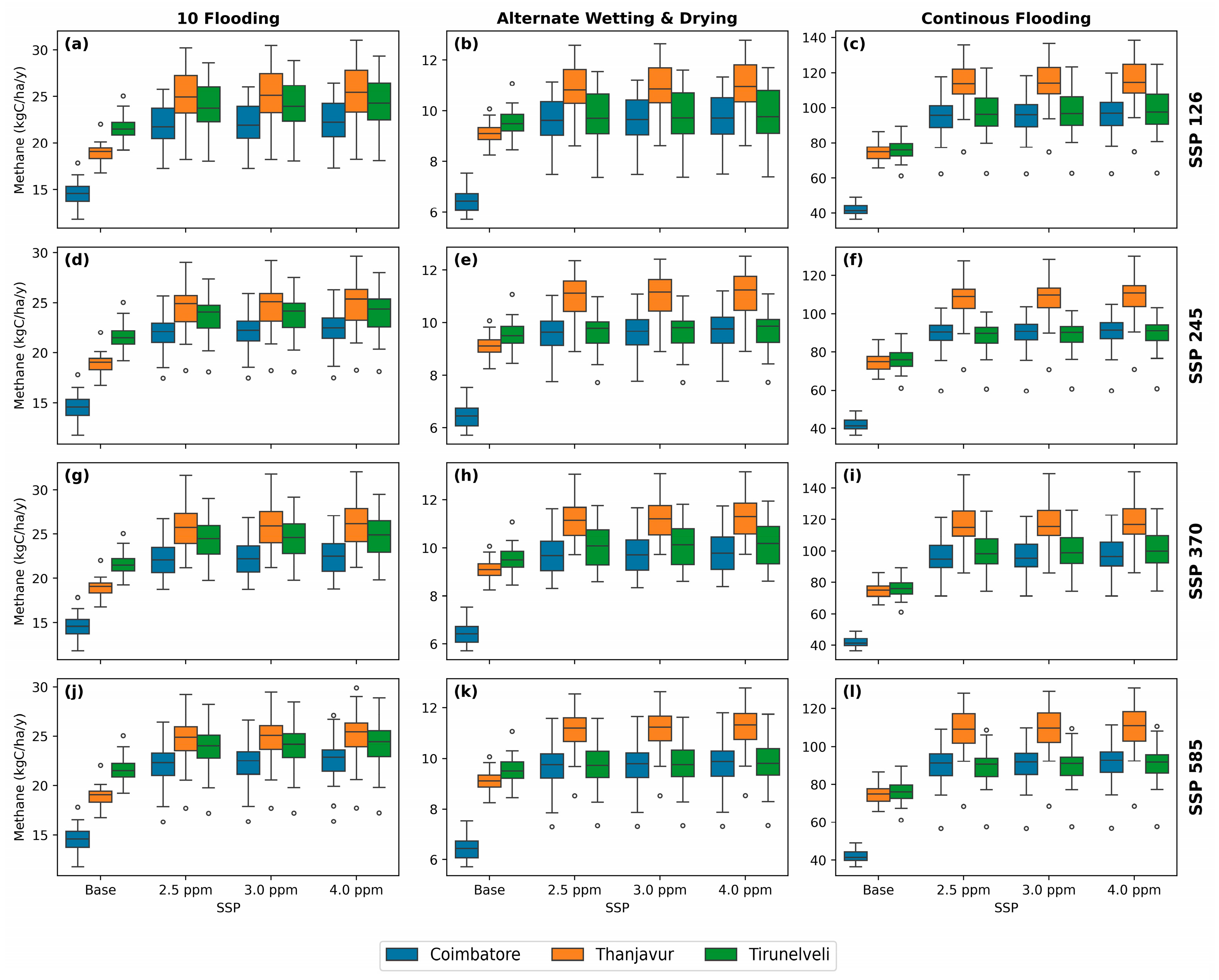
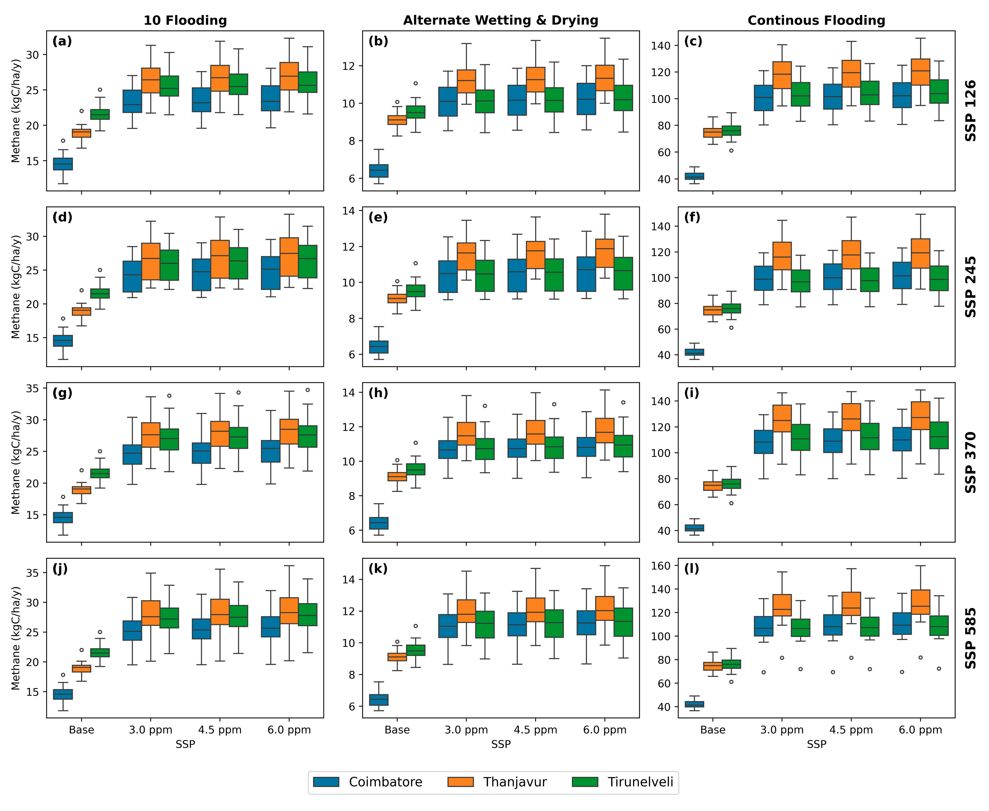
3.3. Climate Change Impact Analysis and Mitigation Strategies
4. Conclusions
5. Future Research and Development Opportunities
Supplementary Materials
Author Contributions
Funding
Disclaimer
Institutional Review Board Statement
Informed Consent Statement
Data Availability Statement
Acknowledgments
Conflicts of Interest
References
- Intergovernmental Panel on Climate Change (IPCC). Climate Change 2021—The Physical Science Basis: Working Group I Contribution to the Sixth Assessment Report of the Intergovernmental Panel on Climate Change; Cambridge University Press: Cambridge, UK, 2023. [Google Scholar] [CrossRef]
- Smith, P.; Reay, D.; Smith, J. Agricultural methane emissions and the potential formitigation. Philos. Trans. R. Soc. A 2021, 379, 20200451. [Google Scholar] [CrossRef] [PubMed]
- Nikolaisen, M.; Hillier, J.; Smith, P.; Nayak, D. Modelling CH4 emission from rice ecosystem: A comparison between existing empirical models. Front. Agron. 2023, 4, 1058649. [Google Scholar] [CrossRef]
- Liu, Y.; Ge, T.; van Groenigen, K.J.; Yang, Y.; Wang, P.; Cheng, K.; Zhu, Z.; Wang, J.; Li, Y.; Guggenberger, G.; et al. Rice paddy soils are a quantitatively important carbon store according to a global synthesis. Commun. Earth Environ. 2021, 2, 154. [Google Scholar] [CrossRef]
- Zhao, X.; Pu, C.; Ma, S.-T.; Liu, S.-L.; Xue, J.-F.; Wang, X.; Wang, Y.-Q.; Li, S.-S.; Lal, R.; Chen, F.; et al. Management-induced greenhouse gases emission mitigation in global rice production. Sci. Total Environ. 2019, 649, 1299–1306. [Google Scholar] [CrossRef]
- Linquist, B.; van Groenigen, K.J.; Adviento-Borbe, M.A.; Pittelkow, C.; van Kessel, C. An agronomic assessment of greenhouse gas emissions from major cereal crops. Glob. Chang. Biol. 2012, 18, 194–209. [Google Scholar] [CrossRef]
- Flessa, H.; Fischer, W. Plant-induced changes in the redox potentials of rice rhizospheres. Plant Soil 1992, 143, 55–60. [Google Scholar] [CrossRef]
- Mofijul Islam, S.M.; Gaihre, Y.K.; Islam, M.R.; Akter, M.; Mahmud, A.A.; Singh, U.; Sander, B.O. Effects of water management on greenhouse gas emissions from farmers’ rice fields in Bangladesh. Sci. Total Environ. 2020, 734, 139382. [Google Scholar] [CrossRef]
- Pathak, V.; Bijayini, J.; Sanjay, K. Qualitative research. Perspect. Clin. Res. 2013, 4, 192. [Google Scholar] [CrossRef]
- Ro, S. Potential of Organic Manures in Rainfed Lowland Rice-Based Production Systems on Sandy Soils of Cambodia. Ph.D. Thesis, Universitäts-und Landesbibliothek Bonn, Bonn, Germany, 2016; p. 115. Available online: https://bonndoc.ulb.uni-bonn.de/xmlui/bitstream/handle/20.500.11811/6605/4332.pdf?sequence=1&isAllowed=y (accessed on 22 August 2024).
- Gauci, V.; Blake, S.; Stevenson, D.S.; Highwood, E.J. Halving of the northern wetland CH4 source by a large Icelandic volcanic eruption. J. Geophys. Res. Biogeosci. 2008, 113, G3. [Google Scholar] [CrossRef]
- Li, H.; Jianjun, Q.; Ligang, W.; Li, Y. Advance in a terrestrial biogeochemical model—DNDC model. Acta Ecol. Sin. 2011, 31, 91–96. [Google Scholar] [CrossRef]
- Wassmann, R.; Neueu, H.U.; Lantin, R.S.; Buendia, L.V.; Rennenberg, H. Characterization of methane emissions from rice fields in Asia. I. Comparison among field sites in five countries. Dev. Plant Soil Sci. 2000, 91, 1–12. [Google Scholar] [CrossRef]
- Rolston, D.E. Gas flux. In Methods of Soil Analysis: Part 1, Physical and Mineralogical Methods, 2nd ed.; Klute, A., Ed.; Soil Science Society of America and American Society of Agronomy: Madison, WI, USA, 1986; Volume 5, pp. 1103–1119. [Google Scholar] [CrossRef]
- Kabat, D. Black hole entropy and entropy of entanglement. Nucl. Phys. B 1995, 453, 281–299. [Google Scholar] [CrossRef]
- Singh, P.; Jain, S.K. Modelling of streamflow and its components for a large Himalayan basin with predominant snowmelt yields. Hydrol. Sci. J. 2003, 48, 257–276. [Google Scholar] [CrossRef]
- Mishra, V.; Bhatia, U.; Tiwari, A.D. Bias-corrected climate projections for South Asia from coupled model intercomparison project-6. Sci. Data 2020, 7, 338. [Google Scholar] [CrossRef]
- Zayed, B.A.; Okasha, A.M.; Bassiouni, S.M.; Marzoka, E.A. Effect of aerobic rice planting methods on methane emission, water fingerprint and rice productivity under different sources of organic fertilizer. Egypt J. Agric. Res. 2023, 101, 393–411. [Google Scholar] [CrossRef]
- Gu, X.; Weng, S.; Li, Y.; Zhou, X. Effects of water and fertilizer management practices on methane emissions from paddy soils: Synthesis and perspective. Int. J. Environ. Res. Public Health 2022, 19, 7324. [Google Scholar] [CrossRef]
- Mboyerwa, P.A.; Kibret, K.; Mtakwa, P.; Aschalew, A. Greenhouse gas emissions in irrigated paddy rice as influenced by crop management practices and nitrogen fertilization rates in eastern Tanzania. Front. Sustain. Food Syst. 2022, 6, 868479. [Google Scholar] [CrossRef]
- Boateng, K.K.; Obeng, G.Y.; Mensah, E. Agricultural greenhouse gases from Sub-Saharan Africa. In Greenhouse Gas Emissions. Energy, Environment, and Sustainability; Shurpali, N., Agarwal, A., Srivastava, V., Eds.; Springer: Singapore, 2019; pp. 73–85. [Google Scholar] [CrossRef]
- Yang, S.-S.; Chang, H.-L. Effect of green manure amendment and flooding on methane emission from paddy fields. Chemosphere Glob. Chang. Sci. 2001, 3, 41–49. [Google Scholar] [CrossRef]
- Datta, A.; Adhya, T.K. Effects of organic nitrification inhibitors on methane and nitrous oxide emission from tropical rice paddy. Atmos. Environ. 2014, 92, 533–545. [Google Scholar] [CrossRef]
- Jain, N.; Dubey, R.; Dubey, D.S.; Singh, J.; Khanna, M.; Pathak, H.; Bhatia, A. Mitigation of greenhouse gas emission with system of rice intensification in the Indo-Gangetic Plains. Paddy Water Environ. 2014, 12, 355–363. [Google Scholar] [CrossRef]
- Kim, G.-Y.; Lee, J.-S.; Ryu, J.-H. Mitigation of greenhouse gases by water management of SRI (System of Rice Intensification) in rice paddy fields. Korean J. Soil Sci. Fertil. 2012, 45, 1173–1178. [Google Scholar] [CrossRef]
- Antille, D.L. Evaluation of fertigation applied to furrow and overhead irrigated cotton grown in a Black Vertosol in Southern Queensland, Australia. Appl. Eng. Agric. 2018, 34, 197–211. [Google Scholar] [CrossRef]
- Corton, T.; Bajita, J.; Grospe, F.; Pamplona, R.; Asis, C.A., Jr.; Wassmann, R.; Lantin, R.; Buendia, L.V. Methane emission from irrigated and intensively managed rice fields in Central Luzon (Philippines). Nutr. Cycl. Agroecosystems 2000, 58, 37–53. [Google Scholar] [CrossRef]



| Treatment (Sub-Treatment) | CH4 (kg ha−1 season−1) | |
|---|---|---|
| Season | 2015–2016 | 2016–2017 |
| CM (urea) | 49.4 | 59.3 |
| CM (ammonium sulfate) | 43.8 | 51.8 |
| CM (urea + vermicompost) | 42.9 | 45.1 |
| CM (ammonium sulfate + vermicompost) | 36.9 | 42.3 |
| SRI (urea) | 6.9 | 12.8 |
| SRI (ammonium sulfate) | 4.9 | 10.1 |
| SRI (urea + vermicompost) | 3.7 | 7.2 |
| SRI (ammonium sulfate + vermicompost) | 2.2 | 4.8 |
| Statistical Estimate | CH4 Emissions (as kg C ha −1) |
|---|---|
| Residual Mean sSquare Error (RMSE) | 7.16 |
| Coefficient of residual mass (CRM) | 0.09 |
| D-Index | 0.99 |
| Model efficiency (EF) | 0.96 |
| Coefficient of determination (R2) | 0.92 |
Disclaimer/Publisher’s Note: The statements, opinions and data contained in all publications are solely those of the individual author(s) and contributor(s) and not of MDPI and/or the editor(s). MDPI and/or the editor(s) disclaim responsibility for any injury to people or property resulting from any ideas, methods, instructions or products referred to in the content. |
© 2024 by the authors. Licensee MDPI, Basel, Switzerland. This article is an open access article distributed under the terms and conditions of the Creative Commons Attribution (CC BY) license (https://creativecommons.org/licenses/by/4.0/).
Share and Cite
Kovilpillai, B.; Jothi, G.J.; Antille, D.L.; Chidambaram, P.P.; Karunaratne, S.; Bhatia, A.; Shanmugam, M.K.; Rose, M.; Kandasamy, S.; Selvaraj, S.; et al. Assessing the Impact of Climate Change on Methane Emissions from Rice Production Systems in Southern India. Atmosphere 2024, 15, 1270. https://doi.org/10.3390/atmos15111270
Kovilpillai B, Jothi GJ, Antille DL, Chidambaram PP, Karunaratne S, Bhatia A, Shanmugam MK, Rose M, Kandasamy S, Selvaraj S, et al. Assessing the Impact of Climate Change on Methane Emissions from Rice Production Systems in Southern India. Atmosphere. 2024; 15(11):1270. https://doi.org/10.3390/atmos15111270
Chicago/Turabian StyleKovilpillai, Boomiraj, Gayathri Jawahar Jothi, Diogenes L. Antille, Prabu P. Chidambaram, Senani Karunaratne, Arti Bhatia, Mohan Kumar Shanmugam, Musie Rose, Senthilraja Kandasamy, Selvakumar Selvaraj, and et al. 2024. "Assessing the Impact of Climate Change on Methane Emissions from Rice Production Systems in Southern India" Atmosphere 15, no. 11: 1270. https://doi.org/10.3390/atmos15111270
APA StyleKovilpillai, B., Jothi, G. J., Antille, D. L., Chidambaram, P. P., Karunaratne, S., Bhatia, A., Shanmugam, M. K., Rose, M., Kandasamy, S., Selvaraj, S., Mainuddin, M., Chandrasekeran, G., Ramasamy, S. P., & Vellingiri, G. (2024). Assessing the Impact of Climate Change on Methane Emissions from Rice Production Systems in Southern India. Atmosphere, 15(11), 1270. https://doi.org/10.3390/atmos15111270

