A Generalization of Building Clusters in an Urban Wind Field Simulated by CFD
Abstract
1. Introduction
2. Materials and Methods
2.1. Study Area
2.2. Generalization Scheme
2.3. CFD Simulation
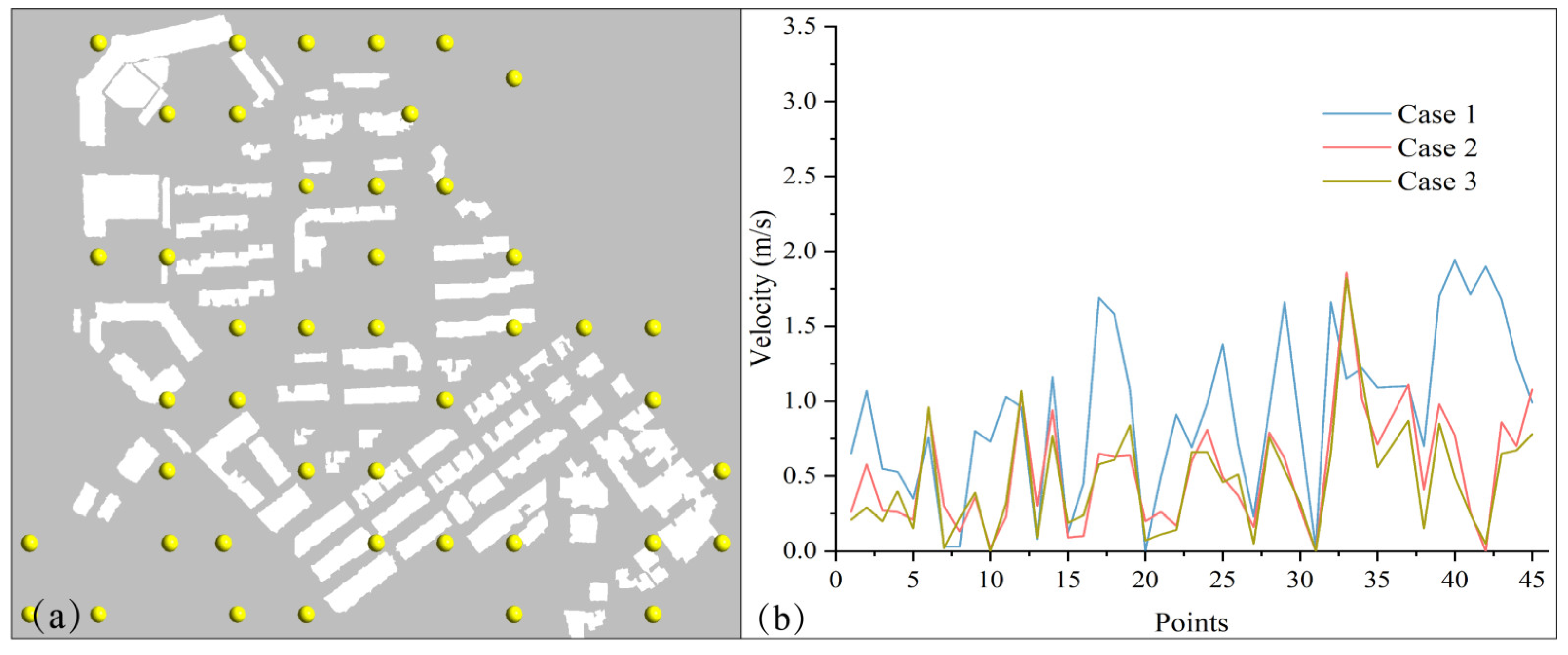
3. Results
3.1. Generalization Parameters
3.1.1. Vertical Generalization Parameters
3.1.2. Horizontal Generalization Parameters
3.1.3. Topological Generalization Parameters
3.2. Generalization Scheme Verification
3.2.1. Generalization Efficiency
3.2.2. Comparison of the Wind Environment
4. Conclusions and Discussion
- (1)
- The computing speed of the CFD simulation depended on the number of model grids and nodes. The computing speed was improved by generalizing the building clusters. However, the computational efficiency was not the highest for the largest generalization index. The generalization parameters must be selected based on specific conditions. Otherwise, an overgeneralization of the building groups may not accurately represent the wind environment and may produce new nodes that reduce the calculation efficiency.
- (2)
- We assessed three wind directions to select the CFD generalization parameters. The optimal generalization parameter values were 3 m in the vertical direction, 5 m in the horizontal direction, and 6 m for the building topology. The model was simplified, and the data volume was reduced after generalization. The calculation efficiency was 9% higher, and the accuracy was 2% lower after generalization, indicating that the proposed method is suitable for large-scale CFD simulations of urban wind environments.
- (3)
- The average wind speed was higher after generalization because the heights and sizes of some buildings were changed by the generalization, and wind shadow areas occurred between some buildings. The wind shadow area was smaller after the buildings were merged in the generalization, and the wind flowed around the sides of the building, resulting in an increased wind speed on both sides.
Author Contributions
Funding
Institutional Review Board Statement
Informed Consent Statement
Data Availability Statement
Acknowledgments
Conflicts of Interest
References
- Du, S.; Zhang, X.; Jin, X.; Zhou, X.; Shi, X. A review of multi-scale modelling, assessment, and improvement methods of the urban thermal and wind environment. Build. Environ. 2022, 213, 108860. [Google Scholar] [CrossRef]
- Harlan, S.L.; Ruddell, D.M. Climate change and health in cities: Impacts of heat and air pollution and potential co-benefits from mitigation and adaptation. Curr. Opin. Environ. Sustain. 2011, 3, 126–134. [Google Scholar] [CrossRef]
- Shirzadi, M.; Mirzaei, P.A.; Naghashzadegan, M.; Tominaga, Y. Modelling enhancement of cross-ventilation in sheltered buildings using stochastic optimization. Int. J. Heat Mass Transf. 2018, 118, 758–772. [Google Scholar] [CrossRef]
- Du, Y.; Mak, C.M.; Li, Y. A multi-stage optimization of pedestrian level wind environment and thermal comfort with lift-up design in ideal urban canyons. Sustain. Cities Soc. 2019, 46, 101424. [Google Scholar] [CrossRef]
- Liu, X.; Huang, B.; Li, R.; Zhang, J.; Gou, Q.; Zhou, T.; Huang, Z. Wind environment assessment and planning of urban natural ventilation corridors using GIS: Shenzhen as a case study. Urban Clim. 2022, 42, 101091. [Google Scholar] [CrossRef]
- Back, Y.; Kumar, P.; Bach, P.M.; Rauch, W.; Kleidorfer, M. Integrating CFD-GIS modelling to refine urban heat and thermal comfort assessment. Sci. Total Environ. 2023, 858, 159729. [Google Scholar] [CrossRef]
- Li, Q.S.; Hu, S.Y. Monitoring of wind effects on a low-rise building during typhoon landfalls and comparison to wind tunnel test results: Wind effects on a low-rise building. Struct. Control Health Monit. 2014, 21, 1360–1386. [Google Scholar] [CrossRef]
- Hill, R.R.; Ahner, D.K.; Dillard, D.A.; Montgomery, D.C. Examining potential reductions in wind tunnel testing requirements. Qual. Reliab. Eng. Int. 2018, 34, 1363–1373. [Google Scholar] [CrossRef]
- Franke, J.; Hellsten, A.; Schlunzen, K.H.; Carissimo, B. The COST 732 Best Practice Guideline for CFD simulation of flows in the urban environment: A summary. Int. J. Environ. Pollut. 2011, 44, 419. [Google Scholar] [CrossRef]
- You, W.; Qin, M.; Ding, W. Improving building facade design using integrated simulation of daylighting, thermal performance and natural ventilation. Build. Simul. 2013, 6, 269–282. [Google Scholar] [CrossRef]
- Blocken, B. Computational Fluid Dynamics for urban physics: Importance, scales, possibilities, limitations and ten tips and tricks towards accurate and reliable simulations. Build. Environ. 2015, 91, 219–245. [Google Scholar] [CrossRef]
- Blocken, B.; Persoon, J. Pedestrian wind comfort around a large football stadium in an urban environment: CFD simulation, validation and application of the new Dutch wind nuisance standard. J. Wind. Eng. Ind. Aerodyn. 2009, 97, 255–270. [Google Scholar] [CrossRef]
- Kaseb, Z.; Hafezi, M.; Tahbaz, M.; Delfani, S. A framework for pedestrian-level wind conditions improvement in urban areas: CFD simulation and optimization. Build. Environ. 2020, 184, 107191. [Google Scholar] [CrossRef]
- Hnaien, N.; Hassen, W.; Kolsi, L.; Mesloub, A.; Alghaseb, M.A.; Elkhayat, K.; Abdelhafez, M.H.H. CFD Analysis of Wind Distribution around Buildings in Low-Density Urban Community. Mathematics 2022, 10, 1118. [Google Scholar] [CrossRef]
- Vita, G.; Woolf, D.; Avery-Hickmott, T.; Rowsell, R. A CFD-based framework to assess airborne infection risk in buildings. Build. Environ. 2023, 233, 110099. [Google Scholar] [CrossRef] [PubMed]
- Hågbo, T.-O.; Teigen Giljarhus, K.E. Sensitivity of Urban Morphology and the Number of CFD Simulated Wind Directions on Pedestrian Wind Comfort and Safety Assessments; Social Science Research Network (SSRN): Rochester, NY, USA, 2023. [Google Scholar]
- Takebayashi, H.; Moriyama, M.; Miyake, K. Analysis on the relashionship between properties of urban block and wind path in the street canyon for the use of the wind as the climate resources. J. Environ. Eng. 2009, 74, 77–82. [Google Scholar] [CrossRef][Green Version]
- Chavez, M.; Hajra, B.; Stathopoulos, T.; Bahloul, A. Near-field pollutant dispersion in the built environment by CFD and wind tunnel simulations. J. Wind. Eng. Ind. Aerodyn. 2011, 99, 330–339. [Google Scholar] [CrossRef]
- Pourteimouri, P.; Campmans, G.H.P.; Wijnberg, K.M.; Hulscher, S.J.M.H. How wind direction and building spacing influences airflow patterns and sediment transport patterns around a row of beach buildings: A numerical study. Aeolian Res. 2023, 61, 100867. [Google Scholar] [CrossRef]
- Wijesooriya, K.; Mohotti, D.; Lee, C.-K.; Mendis, P. A technical review of computational fluid dynamics (CFD) applications on wind design of tall buildings and structures: Past, present and future. J. Build. Eng. 2023, 74, 106828. [Google Scholar] [CrossRef]
- Zheng, L.; Lu, W.; Wu, L.; Zhou, Q. A review of integration between BIM and CFD for building outdoor environment simulation. Build. Environ. 2023, 228, 109862. [Google Scholar] [CrossRef]
- Ricci, A.; Kalkman, I.; Blocken, B.; Burlando, M.; Freda, A.; Repetto, M.P. Local-scale forcing effects on wind flows in an urban environment: Impact of geometrical simplifications. J. Wind. Eng. Ind. Aerodyn. 2017, 170, 238–255. [Google Scholar] [CrossRef]
- Guo, H.; Zhou, Y.; Li, Y.; Zhang, Z.; Li, H. An Experiment-Based Simplified Method for the Model of Building Groups in CFD Simulation. Adv. Civ. Eng. 2021, 2021, 8811684. [Google Scholar] [CrossRef]
- Li, M.; Qiu, X.; Shen, J.; Xu, J.; Feng, B.; He, Y.; Shi, G.; Zhu, X. CFD Simulation of the Wind Field in Jinjiang City Using a Building Data Generalization Method. Atmosphere 2019, 10, 326. [Google Scholar] [CrossRef]
- Buchin, K.; Meulemans, W.; Renssen, A.V.; Speckmann, B. Area-Preserving Simplification and Schematization of Polygonal Subdivisions. ACM Trans. Spat. Algorithms Syst. 2016, 2, 1–36. [Google Scholar] [CrossRef]
- Liu, P.; Ai, T.; Deng, J. Simplification and Rectangularity of building polygon based on least squares adjustment theory in map generalization. In Proceedings of the Geoinformatics 2008 and Joint Conference on GIS and Built Environment: Geo-Simulation and Virtual GIS Environments, Guangzhou, China, 28–29 June 2008; Volume 714332. [Google Scholar]
- Wenhan, C.; Yi, L.; Jie, S.; Wenjing, L. Structure Recognition and Progressive Si mplification of the Concaves of Building Polygon Based on Constrained D-TIN. Geomat. Inf. Sci. Wuhan Univ. 2011, 36, 584–587. [Google Scholar]
- Wang, Z.; Müller, J.-C. Line Generalization Based on Analysis of Shape Characteristics. Cartogr. Geogr. Inf. Syst. 1998, 25, 3–15. [Google Scholar] [CrossRef]
- Tominaga, Y.; Mochida, A.; Yoshie, R.; Kataoka, H.; Nozu, T.; Yoshikawa, M.; Shirasawa, T. AIJ guidelines for practical applications of CFD to pedestrian wind environment around buildings. J. Wind. Eng. Ind. Aerodyn. 2008, 96, 1749–1761. [Google Scholar] [CrossRef]
- Blocken, B.; Stathopoulos, T.; Carmeliet, J. CFD simulation of the atmospheric boundary layer: Wall function problems. Atmos. Environ. 2007, 41, 238–252. [Google Scholar] [CrossRef]
- Jones, W.P.; Launder, B.E. The prediction of laminarization with a two-equation model of turbulence. Int. J. Heat Mass Transf. 1972, 15, 301–314. [Google Scholar] [CrossRef]
- Murakami, S.; Mochida, A. Three-Dimensional Numerical Simulation of Turbulent Flow Around Buildings using the k-e Turbulence Model. Build. Environ. 1989, 24, 51–64. [Google Scholar] [CrossRef]
- Jeong, S.J.; Andrews, M.J. Application of the k–e turbulence model to the high Reynolds number skimming flow field of an urban street canyon. Atmos. Environ. 2002, 36, 1137–1145. [Google Scholar] [CrossRef]
- GB 50009-2012; Load Code for the Design of Building Structures. Standardization Administration of China: Beijing, China, 2012.
- Schatzmann, M.; Olesen, H.; Franke, J. COST 732 Moedl Evaluation Case Studied: Approach and Results; COST Office: Brussels, Belgium, 2010. [Google Scholar]













| Global | Ground | Buildings | Total Grid Numbers | |
|---|---|---|---|---|
| Case 1 | 100 m | 40 m | 6 m | 671,477 |
| Case 2 | 80 m | 20 m | 6 m | 2,009,687 |
| Case 3 | 60 m | 8 m | 4 m | 4,888,991 |
| Height | 3 m | 6 m | 9 m | 12 m | 15 m | 18 m | 21 m | 24 m | 27 m | 30 m |
|---|---|---|---|---|---|---|---|---|---|---|
| NE | 0.9673 | 0.9457 | 0.9773 | 1.0155 | 1.0045 | 1.0221 | 1.0643 | 1.0822 | 1.1232 | 1.1615 |
| N | 0.9409 | 0.9394 | 0.9678 | 1.0147 | 1.0193 | 1.0671 | 1.1197 | 1.1762 | 1.2555 | 1.3109 |
| E | 0.9997 | 0.9717 | 0.9708 | 0.9876 | 0.9662 | 0.9942 | 1.0251 | 1.0579 | 1.1105 | 1.1452 |
| NE | N | E | Total | |
|---|---|---|---|---|
| h3 | 0.0215 | 0.0411 | 0.0161 | 0.0252 |
| ∆h6 | 0.0464 | 0.0857 | 0.0353 | 0.0539 |
| ∆h9 | 0.0681 | 0.1277 | 0.0530 | 0.0797 |
| Distance | NE1 | NE2 | ∆NE | N1 | N2 | ∆N | E1 | E2 | ∆E | ∆Total |
|---|---|---|---|---|---|---|---|---|---|---|
| 2.5 m | 1.1900 | 1.2042 | 0.0142 | 1.2232 | 1.2295 | 0.0063 | 1.1924 | 1.2018 | 0.0094 | 0.0111 |
| 5 m | 1.1815 | 1.2041 | 0.0226 | 1.2197 | 1.2267 | 0.0070 | 1.1895 | 1.1975 | 0.0079 | 0.0152 |
| 7.5 m | 1.1809 | 1.2055 | 0.0245 | 1.2179 | 1.2272 | 0.0093 | 1.1889 | 1.1975 | 0.0086 | 0.0168 |
| Number of Buildings | Model Data Size | Number of Grids | Number of Nodes | Calculation Time | |
|---|---|---|---|---|---|
| Before | 7003 | 272 MB | 30,190,746 | 5,359,711 | 11 h 26 min |
| After | 3356 | 199 MB | 29,898,895 | 5,299,814 | 10 h 25 min |
| FB | NMSE | R | |
|---|---|---|---|
| Meiling Street | 0.016393443 | 0.000393496 | 0.692922113 |
| Zone A | 0.007604563 | 0.000099242 | 0.816769689 |
| Zone B | 0.008097166 | 0.000099194 | 0.779068853 |
| Zone C | 0.021505376 | 0.000880851 | 0.93987057 |
| Zone D | 0.016260163 | 0.000393548 | 0.843616078 |
Disclaimer/Publisher’s Note: The statements, opinions and data contained in all publications are solely those of the individual author(s) and contributor(s) and not of MDPI and/or the editor(s). MDPI and/or the editor(s) disclaim responsibility for any injury to people or property resulting from any ideas, methods, instructions or products referred to in the content. |
© 2023 by the authors. Licensee MDPI, Basel, Switzerland. This article is an open access article distributed under the terms and conditions of the Creative Commons Attribution (CC BY) license (https://creativecommons.org/licenses/by/4.0/).
Share and Cite
Qiu, Y.; He, Y.; Li, M.; Zhu, X. A Generalization of Building Clusters in an Urban Wind Field Simulated by CFD. Atmosphere 2024, 15, 9. https://doi.org/10.3390/atmos15010009
Qiu Y, He Y, Li M, Zhu X. A Generalization of Building Clusters in an Urban Wind Field Simulated by CFD. Atmosphere. 2024; 15(1):9. https://doi.org/10.3390/atmos15010009
Chicago/Turabian StyleQiu, Yu, Yongjian He, Mengxi Li, and Xiaochen Zhu. 2024. "A Generalization of Building Clusters in an Urban Wind Field Simulated by CFD" Atmosphere 15, no. 1: 9. https://doi.org/10.3390/atmos15010009
APA StyleQiu, Y., He, Y., Li, M., & Zhu, X. (2024). A Generalization of Building Clusters in an Urban Wind Field Simulated by CFD. Atmosphere, 15(1), 9. https://doi.org/10.3390/atmos15010009
