A Regional Aerosol Model for the Middle Urals Based on CALIPSO Measurements
Abstract
1. Introduction
2. Materials and Methods
2.1. AERONET Photometric Measurements
2.2. Air Trajectories Modelling
2.3. CALIPSO Satellite Data
2.4. Methodology of the Combination of AERONET with CALIPSO Data
3. Results and Discussion
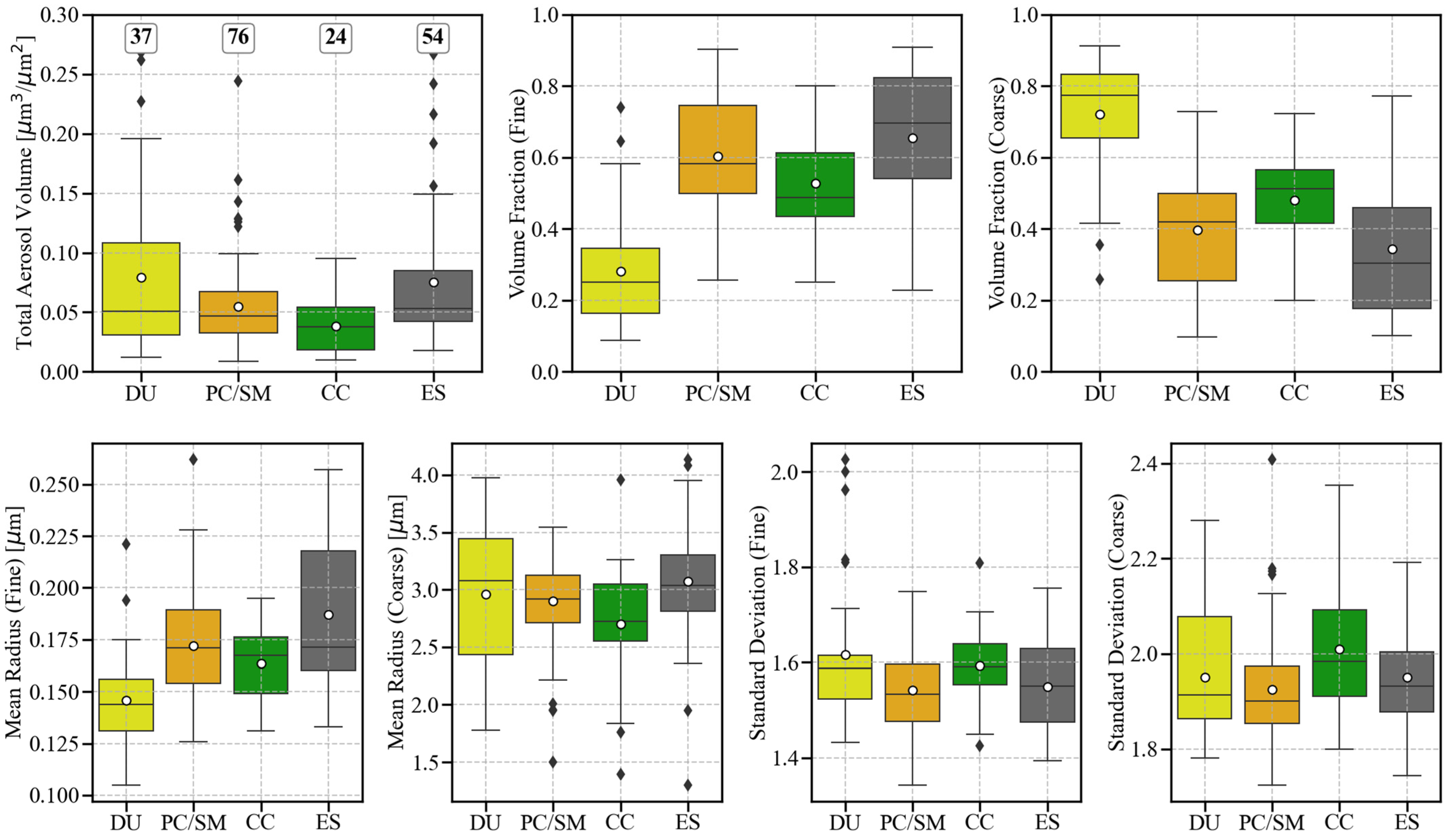
3.1. Aerosol Model for the Middle Urals
- -
- Clean air and tropospheric aerosol with a specific subtype are the first or second most common types of atmospheric objects;
- -
- AERONET measurement (along the entire atmospheric column) was able to match a specific type of atmospheric object at least 10 out of 20 altitudes;
- -
- The total proportion of heights compared with clean air and specific types of tropospheric aerosol is more than 75%.
3.2. Reconstruction of the Vertical Profiles of the Aerosol Concentration
- CALIPSO data meets the quality criteria given in Section 2.3;
- The time gap between CALIPSO and AERONET measurements is less than 6 h;
- The CALIPSO profile is no more than 200 km away from the AERONET site;
- The CALIPSO profile contains data only on tropospheric aerosol and clean air (with no clouds and stratospheric aerosol).
4. Conclusions
Author Contributions
Funding
Institutional Review Board Statement
Informed Consent Statement
Data Availability Statement
Acknowledgments
Conflicts of Interest
References
- Zhang, B. The Effect of Aerosols to Climate Change and Society. J. Geosci. Environ. Prot. 2020, 8, 55–78. [Google Scholar] [CrossRef]
- Quaas, J.; Boucher, O.; Bellouin, N.; Kinne, S. Satellite-Based Estimate of the Direct and Indirect Aerosol Climate Forcing. J. Geophys. Res. Atmos. 2008, 113, D05204. [Google Scholar] [CrossRef]
- Seinfeld, J.H.; Pandis, S.N. Atmospheric Chemistry and Physics: From Air Pollution to Climate Change, 2nd ed.; Wiley-Interscience: New York, NY, USA, 2006. [Google Scholar]
- Fan, J.; Wang, Y.; Rosenfeld, D.; Liu, X. Review of Aerosol–Cloud Interactions: Mechanisms, Significance, and Challenges. J. Atmos. Sci. 2016, 73, 4221–4252. [Google Scholar] [CrossRef]
- Seinfeld, J.H.; Bretherton, C.; Carslaw, K.S.; Coe, H.; DeMott, P.J.; Dunlea, E.J.; Feingold, G.; Ghan, S.; Guenther, A.B.; Kahn, R.; et al. Improving Our Fundamental Understanding of the Role of Aerosol−cloud Interactions in the Climate System. Proc. Natl. Acad. Sci. USA 2016, 113, 5781–5790. [Google Scholar] [CrossRef] [PubMed]
- Williamson, S.N.; Menounos, B. The Influence of Forest Fire Aerosol and Air Temperature on Glacier Albedo, Western North America. Remote Sens Environ. 2021, 267, 112732. [Google Scholar] [CrossRef]
- Aoki, T.; Motoyoshi, H.; Kodama, Y.; Yasunari, T.J.; Sugiura, K.; Kobayashi, H. Atmospheric Aerosol Deposition on Snow Surfaces and Its Effect on Albedo. Sola 2006, 2, 13–16. [Google Scholar] [CrossRef]
- Kim, K.-H.; Kabir, E.; Kabir, S. A Review on the Human Health Impact of Airborne Particulate Matter. Environ. Int. 2015, 74, 136–143. [Google Scholar] [CrossRef]
- Pope, C.A.; Coleman, N.; Pond, Z.A.; Burnett, R.T. Fine Particulate Air Pollution and Human Mortality: 25+ Years of Cohort Studies. Environ. Res. 2020, 183, 108924. [Google Scholar] [CrossRef]
- Zhang, H.; Li, Z.; Liu, Y.; Xinag, P.; Cui, X.; Ye, H.; Hu, B.; Lou, L. Physical and Chemical Characteristics of PM2.5 and Its Toxicity to Human Bronchial Cells BEAS-2B in the Winter and Summer. J. Zhejiang Univ. Sci. B 2018, 19, 317–326. [Google Scholar] [CrossRef]
- Saju, J.A.; Bari, Q.H.; Mohiuddin, K.A.B.M.; Strezov, V. Measurement of Ambient Particulate Matter (PM1.0, PM2.5 and PM10) in Khulna City of Bangladesh and Their Implications for Human Health. Environ. Syst. Res. 2023, 12, 42. [Google Scholar] [CrossRef]
- Koelemeijer, R.B.A.; Homan, C.D.; Matthijsen, J. Comparison of Spatial and Temporal Variations of Aerosol Optical Thickness and Particulate Matter over Europe. Atmos. Environ. 2006, 40, 5304–5315. [Google Scholar] [CrossRef]
- Ahmad, M.; Alam, K.; Tariq, S.; Anwar, S.; Nasir, J.; Mansha, M. Estimating Fine Particulate Concentration Using a Combined Approach of Linear Regression and Artificial Neural Network. Atmos. Environ. 2019, 219, 117050. [Google Scholar] [CrossRef]
- Luzhetskaya, A.P.; Nagovitsyna, E.S.; Omelkova, E.V.; Poddubny, V.A. Temporal Variability and Relationship between Surface Concentration of PM2.5 and Aerosol Optical Depth According to Measurements in the Middle Urals. Atmos. Ocean. Opt. 2022, 35, S133–S142. [Google Scholar] [CrossRef]
- Nordio, F.; Kloog, I.; Coull, B.A.; Chudnovsky, A.; Grillo, P.; Bertazzi, P.A.; Baccarelli, A.A.; Schwartz, J. Estimating Spatio-Temporal Resolved PM10 Aerosol Mass Concentrations Using MODIS Satellite Data and Land Use Regression over Lombardy, Italy. Atmos. Environ. 2013, 74, 227–236. [Google Scholar] [CrossRef]
- Fang, X.; Zou, B.; Liu, X.; Sternberg, T.; Zhai, L. Satellite-Based Ground PM2.5 Estimation Using Timely Structure Adaptive Modeling. Remote Sens. Environ. 2016, 186, 152–163. [Google Scholar] [CrossRef]
- Hu, X.; Waller, L.A.; Al-Hamdan, M.Z.; Crosson, W.L.; Estes, M.G.; Estes, S.M.; Quattrochi, D.A.; Sarnat, J.A.; Liu, Y. Estimating Ground-Level PM2.5 Concentrations in the Southeastern U.S. Using Geographically Weighted Regression. Environ. Res. 2013, 121, 1–10. [Google Scholar] [CrossRef] [PubMed]
- Nagovitsyna, E.S.; Poddubny, V.A.; Karasev, A.A.; Kabanov, D.M.; Sidorova, O.R.; Maslovsky, A.S. Assessment of the Spatial Structure of Black Carbon Concentrations in the Near-Surface Arctic Atmosphere. Atmosphere 2023, 14, 139. [Google Scholar] [CrossRef]
- Popovicheva, O.B.; Chichaeva, M.A.; Kobelev, V.O.; Kasimov, N.S. Black Carbon Seasonal Trends and Regional Sources on Bely Island (Arctic). Atmos. Ocean. Opt. 2023, 36, 176–184. [Google Scholar] [CrossRef]
- Shinozuka, Y.; Clarke, A.D.; Howell, S.G.; Kapustin, V.N.; McNaughton, C.S.; Zhou, J.; Anderson, B.E. Aircraft Profiles of Aerosol Microphysics and Optical Properties over North America: Aerosol Optical Depth and Its Association with PM2.5 and Water Uptake. J. Geophys. Res. 2007, 112, D12S20. [Google Scholar] [CrossRef]
- Panchenko, M.V.; Zhuravleva, T.B.; Terpugova, S.A.; Polkin, V.V.; Kozlov, V.S. An Empirical Model of Optical and Radiative Characteristics of the Tropospheric Aerosol over West Siberia in Summer. Atmos. Meas. Tech. 2012, 5, 1513–1527. [Google Scholar] [CrossRef]
- Mamali, D.; Marinou, E.; Sciare, J.; Pikridas, M.; Kokkalis, P.; Kottas, M.; Binietoglou, I.; Tsekeri, A.; Keleshis, C.; Engelmann, R.; et al. Vertical Profiles of Aerosol Mass Concentration Derived by Unmanned Airborne in Situ and Remote Sensing Instruments during Dust Events. Atmos. Meas. Tech. 2018, 11, 2897–2910. [Google Scholar] [CrossRef]
- Chiliński, M.T.; Markowicz, K.M.; Kubicki, M. UAS as a Support for Atmospheric Aerosols Research: Case Study. Pure Appl. Geophys. 2018, 175, 3325–3342. [Google Scholar] [CrossRef]
- Böckmann, C.; Mironova, I.; Müller, D.; Schneidenbach, L.; Nessler, R. Microphysical Aerosol Parameters from Multiwavelength Lidar. J. Opt. Soc. Am. A 2005, 22, 518. [Google Scholar] [CrossRef] [PubMed]
- Engelmann, R.; Ansmann, A.; Ohneiser, K.; Griesche, H.; Radenz, M.; Hofer, J.; Althausen, D.; Dahlke, S.; Maturilli, M.; Veselovskii, I.; et al. Wildfire Smoke, Arctic Haze, and Aerosol Effects on Mixed-Phase and Cirrus Clouds over the North Pole Region during MOSAiC: An Introduction. Atmos. Chem. Phys. 2021, 21, 13397–13423. [Google Scholar] [CrossRef]
- Veselovskii, I.; Kolgotin, A.; Griaznov, V.; Müller, D.; Wandinger, U.; Whiteman, D.N. Inversion with Regularization for the Retrieval of Tropospheric Aerosol Parameters from Multiwavelength Lidar Sounding. Appl. Opt. 2002, 41, 3685. [Google Scholar] [CrossRef] [PubMed]
- Zhang, M.; Guo, S.; Wang, Y.; Chen, S.; Chen, J.; Chen, M.; Bilal, M. The Vertical Distributions of Aerosol Optical Characteristics Based on Lidar in Nanyang City from 2021 to 2022. Atmosphere 2023, 14, 894. [Google Scholar] [CrossRef]
- Peshev, Z.; Deleva, A.; Vulkova, L.; Dreischuh, T. Large-Scale Saharan Dust Episode in April 2019: Study of Desert Aerosol Loads over Sofia, Bulgaria, Using Remote Sensing, In Situ, and Modeling Resources. Atmosphere 2022, 13, 981. [Google Scholar] [CrossRef]
- Düsing, S.; Ansmann, A.; Baars, H.; Corbin, J.C.; Denjean, C.; Gysel-Beer, M.; Müller, T.; Poulain, L.; Siebert, H.; Spindler, G.; et al. Measurement Report: Comparison of Airborne, in Situ Measured, Lidar-Based, and Modeled Aerosol Optical Properties in the Central European Background—Identifying Sources of Deviations. Atmos. Chem. Phys. 2021, 21, 16745–16773. [Google Scholar] [CrossRef]
- Benavent-Oltra, J.A.; Casquero-Vera, J.A.; Román, R.; Lyamani, H.; Pérez-Ramírez, D.; Granados-Muñoz, M.J.; Herrera, M.; Cazorla, A.; Titos, G.; Ortiz-Amezcua, P.; et al. Overview of the SLOPE I and II Campaigns: Aerosol Properties Retrieved with Lidar and Sun–Sky Photometer Measurements. Atmos. Chem. Phys. 2021, 21, 9269–9287. [Google Scholar] [CrossRef]
- Zhang, H.; Wagner, F.; Saathoff, H.; Vogel, H.; Hoshyaripour, G.; Bachmann, V.; Förstner, J.; Leisner, T. Comparison of Scanning LiDAR with Other Remote Sensing Measurements and Transport Model Predictions for a Saharan Dust Case. Remote Sens. 2022, 14, 1693. [Google Scholar] [CrossRef]
- Ansmann, A.; Mamouri, R.-E.; Hofer, J.; Baars, H.; Althausen, D.; Abdullaev, S.F. Dust Mass, Cloud Condensation Nuclei, and Ice-Nucleating Particle Profiling with Polarization Lidar: Updated POLIPHON Conversion Factors from Global AERONET Analysis. Atmos. Meas. Tech. 2019, 12, 4849–4865. [Google Scholar] [CrossRef]
- Tsekeri, A.; Gialitaki, A.; Di Paolantonio, M.; Dionisi, D.; Liberti, G.L.; Fernandes, A.; Szkop, A.; Pietruczuk, A.; Pérez-Ramírez, D.; Granados Muñoz, M.J.; et al. Combined Sun-Photometer–Lidar Inversion: Lessons Learned during the Earlinet/Actris COVID-19 Campaign. Atmos. Meas. Tech. 2023, 16, 6025–6050. [Google Scholar] [CrossRef]
- Cao, Z.; Luan, K.; Zhou, P.; Shen, W.; Wang, Z.; Zhu, W.; Qiu, Z.; Wang, J. Evaluation and Comparison of Multi-Satellite Aerosol Optical Depth Products over East Asia Ocean. Toxics 2023, 11, 813. [Google Scholar] [CrossRef] [PubMed]
- Winker, D.M.; Pelon, J.; Coakley, J.A.; Ackerman, S.A.; Charlson, R.J.; Colarco, P.R.; Flamant, P.; Fu, Q.; Hoff, R.M.; Kittaka, C.; et al. The Calipso Mission. Bull. Am. Meteorol. Soc. 2010, 91, 1211–1230. [Google Scholar] [CrossRef]
- Kim, M.-H.; Omar, A.H.; Tackett, J.L.; Vaughan, M.A.; Winker, D.M.; Trepte, C.R.; Hu, Y.; Liu, Z.; Poole, L.R.; Pitts, M.C.; et al. The CALIPSO Version 4 Automated Aerosol Classification and Lidar Ratio Selection Algorithm. Atmos. Meas. Tech. 2018, 11, 6107–6135. [Google Scholar] [CrossRef] [PubMed]
- Omar, A.H.; Won, J.-G.; Winker, D.M.; Yoon, S.-C.; Dubovik, O.; McCormick, M.P. Development of Global Aerosol Models Using Cluster Analysis of Aerosol Robotic Network (AERONET) Measurements. J. Geophys. Res. 2005, 110, D10S14. [Google Scholar] [CrossRef]
- Omar, A.H.; Winker, D.M.; Vaughan, M.A.; Hu, Y.; Trepte, C.R.; Ferrare, R.A.; Lee, K.-P.; Hostetler, C.A.; Kittaka, C.; Rogers, R.R.; et al. The CALIPSO Automated Aerosol Classification and Lidar Ratio Selection Algorithm. J. Atmos. Ocean Technol. 2009, 26, 1994–2014. [Google Scholar] [CrossRef]
- Ma, X.; Huang, Z.; Qi, S.; Huang, J.; Zhang, S.; Dong, Q.; Wang, X. Ten-Year Global Particulate Mass Concentration Derived from Space-Borne CALIPSO Lidar Observations. Sci. Total Environ. 2020, 721, 137699. [Google Scholar] [CrossRef]
- Choudhury, G.; Tesche, M. Estimating Cloud Condensation Nuclei Concentrations from CALIPSO Lidar Measurements. Atmos. Meas. Tech. 2022, 15, 639–654. [Google Scholar] [CrossRef]
- Holben, B.N.; Eck, T.F.; Slutsker, I.; Tanré, D.; Buis, J.P.; Setzer, A.; Vermote, E.; Reagan, J.A.; Kaufman, Y.J.; Nakajima, T.; et al. AERONET—A Federated Instrument Network and Data Archive for Aerosol Characterization. Remote Sens. Environ. 1998, 66, 1–16. [Google Scholar] [CrossRef]
- Dubovik, O.; King, M.D. A Flexible Inversion Algorithm for Retrieval of Aerosol Optical Properties from Sun and Sky Radiance Measurements. J. Geophys. Res. Atmos. 2000, 105, 20673–20696. [Google Scholar] [CrossRef]
- Poddubnyi, V.A.; Luzhetskaya, A.P.; Markelov, Y.I.; Beresnev, S.A.; Gorda, S.Y.; Sakerin, S.M. Features of Optical Characteristics of Atmospheric Aerosol in the Middle Urals. Izv. Atmos. Ocean. Phys. 2013, 49, 285–293. [Google Scholar] [CrossRef][Green Version]
- Stein, A.F.; Draxler, R.R.; Rolph, G.D.; Stunder, B.J.B.; Cohen, M.D.; Ngan, F. NOAA’s HYSPLIT Atmospheric Transport and Dispersion Modeling System. Bull. Am. Meteorol. Soc. 2015, 96, 2059–2077. [Google Scholar] [CrossRef]
- Kleist, D.T.; Parrish, D.F.; Derber, J.C.; Treadon, R.; Wu, W.-S.; Lord, S. Introduction of the GSI into the NCEP Global Data Assimilation System. Weather Forecast 2009, 24, 1691–1705. [Google Scholar] [CrossRef]
- Winker, D.M.; Vaughan, M.A.; Omar, A.; Hu, Y.; Powell, K.A.; Liu, Z.; Hunt, W.H.; Young, S.A. Overview of the CALIPSO Mission and CALIOP Data Processing Algorithms. J. Atmos. Ocean Technol. 2009, 26, 2310–2323. [Google Scholar] [CrossRef]
- Tackett, J.L.; Winker, D.M.; Getzewich, B.J.; Vaughan, M.A.; Young, S.A.; Kar, J. CALIPSO Lidar Level 3 Aerosol Profile Product: Version 3 Algorithm Design. Atmos. Meas. Tech. 2018, 11, 4129–4152. [Google Scholar] [CrossRef] [PubMed]
- Choudhury, G.; Ansmann, A.; Tesche, M. Evaluation of Aerosol Number Concentrations from CALIPSO with ATom Airborne in Situ Measurements. Atmos. Chem. Phys. 2022, 22, 7143–7161. [Google Scholar] [CrossRef]
- Remer, L.A.; Kaufman, Y.J. Dynamic Aerosol Model: Urban/Industrial Aerosol. J. Geophys. Res. Atmos. 1998, 103, 13859–13871. [Google Scholar] [CrossRef]
- Gasteiger, J.; Wiegner, M. MOPSMAP v1.0: A Versatile Tool for the Modeling of Aerosol Optical Properties. Geosci. Model Dev. 2018, 11, 2739–2762. [Google Scholar] [CrossRef]
- Dubovik, O.; Smirnov, A.; Holben, B.N.; King, M.D.; Kaufman, Y.J.; Eck, T.F.; Slutsker, I. Accuracy Assessments of Aerosol Optical Properties Retrieved from Aerosol Robotic Network (AERONET) Sun and Sky Radiance Measurements. J. Geophys. Res. Atmos. 2000, 105, 9791–9806. [Google Scholar] [CrossRef]
- Tesche, M.; Ansmann, A.; Müller, D.; Althausen, D.; Engelmann, R.; Freudenthaler, V.; Groß, S. Vertically Resolved Separation of Dust and Smoke over Cape Verde Using Multiwavelength Raman and Polarization Lidars during Saharan Mineral Dust Experiment 2008. J. Geophys. Res. 2009, 114, D13202. [Google Scholar] [CrossRef]








| Aerosol Type | Volume Fraction | Mean Radius | Standard Deviation | |||
|---|---|---|---|---|---|---|
| Fine | Coarse | Fine | Coarse | Fine | Coarse | |
| DU | 0.25 | 0.75 | 0.144 | 3.079 | 0.462 | 0.649 |
| PC/SM | 0.579 | 0.421 | 0.171 | 2.917 | 0.428 | 0.642 |
| CC | 0.488 | 0.512 | 0.168 | 2.722 | 0.464 | 0.685 |
| ES | 0.696 | 0.304 | 0.172 | 3.038 | 0.439 | 0.659 |
| Aerosol Type | MUrA Model | CAMel | ||
|---|---|---|---|---|
| DU | 0.638 | 33.019 | 0.764 | 52.199 |
| PC/SM | 0.320 | 20.478 | 0.372 | 26.816 |
| CC | 0.406 | 26.280 | 0.984 | 3.628 |
| ES | 0.189 | 14.914 | 0.397 | 25.757 |
Disclaimer/Publisher’s Note: The statements, opinions and data contained in all publications are solely those of the individual author(s) and contributor(s) and not of MDPI and/or the editor(s). MDPI and/or the editor(s) disclaim responsibility for any injury to people or property resulting from any ideas, methods, instructions or products referred to in the content. |
© 2023 by the authors. Licensee MDPI, Basel, Switzerland. This article is an open access article distributed under the terms and conditions of the Creative Commons Attribution (CC BY) license (https://creativecommons.org/licenses/by/4.0/).
Share and Cite
Nagovitsyna, E.S.; Dzholumbetov, S.K.; Karasev, A.A.; Poddubny, V.A. A Regional Aerosol Model for the Middle Urals Based on CALIPSO Measurements. Atmosphere 2024, 15, 48. https://doi.org/10.3390/atmos15010048
Nagovitsyna ES, Dzholumbetov SK, Karasev AA, Poddubny VA. A Regional Aerosol Model for the Middle Urals Based on CALIPSO Measurements. Atmosphere. 2024; 15(1):48. https://doi.org/10.3390/atmos15010048
Chicago/Turabian StyleNagovitsyna, Ekaterina S., Sergey K. Dzholumbetov, Alexander A. Karasev, and Vassily A. Poddubny. 2024. "A Regional Aerosol Model for the Middle Urals Based on CALIPSO Measurements" Atmosphere 15, no. 1: 48. https://doi.org/10.3390/atmos15010048
APA StyleNagovitsyna, E. S., Dzholumbetov, S. K., Karasev, A. A., & Poddubny, V. A. (2024). A Regional Aerosol Model for the Middle Urals Based on CALIPSO Measurements. Atmosphere, 15(1), 48. https://doi.org/10.3390/atmos15010048

