Lightning-Ignited Wildfires and Associated Meteorological Conditions in Western Siberia for 2016–2021
Abstract
1. Introduction
2. Materials and Methods
- -
- The identification of the fire center—point 1, i.e., the coordinates of the first hotspot recorded in time when clustering;
- -
- The identification of lightning discharge coordinates for the same time (days with fires);
- -
- The selection of cases when lightning discharge (first recorded in time—point 2) is located at a distance (D) of no more than 10 km (Dmax) from the fire (point 1, determined early). Thus, we calculated the distance between point 1 and point 2. The distances between the hotspot and lightning discharge were calculated using the “distance” function for the MATLAB programming environment (MATLAB and Statistics Toolbox Release 2016b, The MathWorks, Inc., Natick, MA, USA).
- (1)
- Atmospheric characteristics [24]: air temperature difference in the middle troposphere (∆T850-500) as a characteristic of atmospheric instability; dew point depression temperature (∆Td2m) as a characteristic of lower-tropospheric dryness; mid-tropospheric wind speeds at 500 hPa (zonal and meridional components (u500 and v500); geopotential at 500 hPa (z500) as a large-scale atmospheric pattern; and daily maximum air temperature (Tmax) and wind speed at 10 m (V) as near-surface instability and dryness.
- (2)
- Soil and fuel characteristics [27]: volumetric soil water layer at 0–7 cm (VSW); indices from the Canadian Forest Fire Weather Indices (CFFWIs), describing the moisture content of a thin surface floor layer (1.2 cm) and a top surface floor layer (7 cm), i.e., the Fine Fuel Moisture Code (FFMC) and the Duff Moisture Code (DMC), respectively.
3. Results
3.1. Spatio-Temporal Variability in the Number of Lightning-Ignited Wildfires
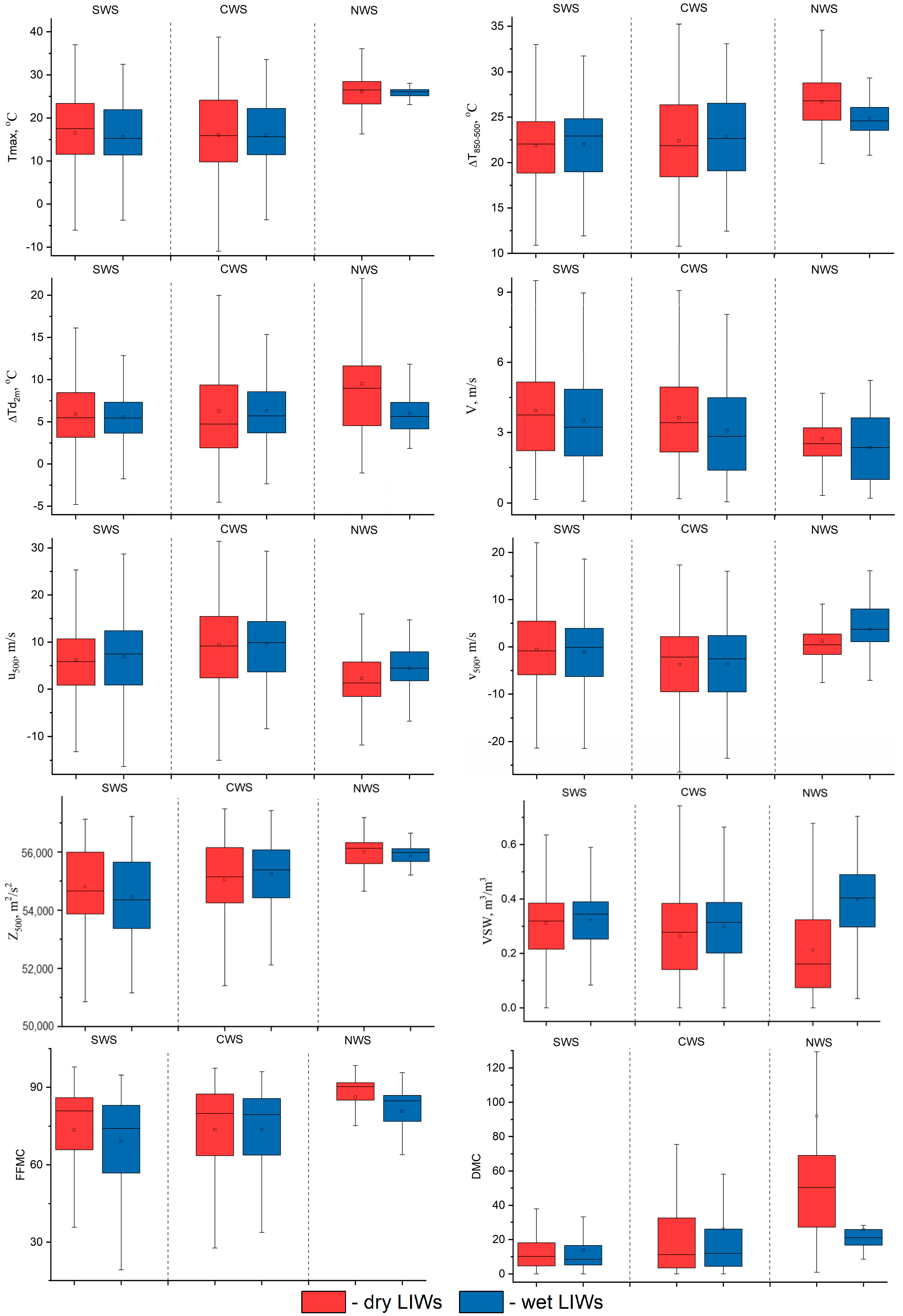
3.2. Meteorological Conditions Preceding Lightning-Ignited Wildfires
4. Discussion
5. Conclusions
Author Contributions
Funding
Institutional Review Board Statement
Informed Consent Statement
Data Availability Statement
Conflicts of Interest
References
- Hantson, S.; Arneth, A.; Harrison, S.P.; Kelley, D.I.; Prentice, I.C.; Rabin, S.S.; Archibald, S.; Mouillot, F.; Arnold, S.R.; Artaxo, P.; et al. The status and challenge of global fire modelling. Biogeosciences 2016, 13, 3359–3375. [Google Scholar] [CrossRef]
- Ponomarev, E.I.; Kharuk, V.I.; Ranson, K.J. Wildfires dynamics in Siberian larch forests. Forests 2016, 7, 125. [Google Scholar] [CrossRef]
- Bowman, D.M.; Balch, J.; Artaxo, P.; Bond, W.J.; Cochrane, M.A.; D’antonio, C.M.; DeFries, R.; Johnston, F.H.; Keeley, J.E.; Krawchuk, M.A.; et al. The human dimension of fire regimes on Earth. J. Biogeogr. 2011, 38, 2223–2236. [Google Scholar] [CrossRef]
- Podschwit, H.; Cullen, A. Patterns and trends in simultaneous wildfire activity in the United States from 1984 to 2015. Int. J. Wild. Fire 2020, 29, 1057–1071. [Google Scholar] [CrossRef]
- Veraverbeke, S.; Rogers, B.M.; Goulden, M.L.; Goulden, M.L.; Jandt, R.R.; Miller, C.E.; Wiggins, E.B.; Randerson, J.T. Lightning as a major driver of recent large fire years in North American boreal forests. Nat. Clim. Change 2017, 7, 529–534. [Google Scholar] [CrossRef]
- Chen, Y.; Romps, D.M.; Seeley, J.T.; Veraverbeke, S.; Riley, W.J.; Mekonnen, Z.A.; Randerson, J.T. Future increases in Arctic lightning and fire risk for permafrost carbon. Nat. Clim. Change 2021, 11, 404–410. [Google Scholar] [CrossRef]
- Kondratyev, K.Y.; Grigoryev, A.A. Forest fires as a component of natural ecodynamics. Atm. Ocean. Opt. 2004, 17, 245–255. [Google Scholar]
- Gorbatenko, V.P.; Volkova, M.A.; Nosyreva, O.V.; Zhuravlev, G.G.; Kuzhevskaia, I.V. Influence of climatic conditions on Western Siberian forest fires. In Predicting, Monitoring, and Assessing Forest Fire Dangers and Risks; IGI Global: Tomsk, Russia, 2020; pp. 269–293. [Google Scholar]
- Baranovskiy, N.V.; Krechetova, S.; Belikova, M.; Perelygin, A. WWLLN data cluster analysis methods for lightning-caused forest fires monitoring. Int. J. Electr. Comput. Eng. 2017, 6, 3112–3120. [Google Scholar]
- Yanko, I.P. Pirologicheskaya Ocenka Territorii Tomskoj Oblasti: Avtoreferat Dis. Kandidata Geograficheskih Nauk: 25.00.23/TGPU.–Tomsk, 2005; 20p. Available online: https://www.dissercat.com/content/pirologicheskaya-otsenka-territorii-tomskoi-oblasti (accessed on 13 December 2023).
- Kharuk, V.I.; Dvinskaya, M.L.; Im, S.T.; Golyukov, A.S.; Smith, K.T. Wildfires in the Siberian Arctic. Fire 2022, 5, 106. [Google Scholar] [CrossRef]
- Colson, D. High level thunderstorms of July 31–August 1, 1959. Mon. Weather. Rev. 1960, 88, 279–285. [Google Scholar] [CrossRef]
- Hall, B.L. Precipitation associated with lightning ignited wildfires in Arizona and New Mexico. Int. J. Wildland Fire 2007, 16, 242–254. [Google Scholar] [CrossRef]
- Rorig, M.L.; Mckay, S.J.; Ferguson, S.A.; Werth, P. Model-generated predictions of dry thunderstorm potential. J. Appl. Meteorol. Climatol. 2007, 46, 605–614. [Google Scholar] [CrossRef]
- Popov, S.D.; Sinitsyn, V.V.; Tatarinov, V.V.; Karnyushkin, A.I.; Khaustov, V.V.; Sulimenko, V.A. Set of operational serifs coordinate of lightning discharges with “dry thunderstorm” in system engineering activities against landscape fires. Proc. Southwest State Univ. 2014, 4, 69–76. [Google Scholar]
- Dorofeev, V.V.; Kuznecov, I.E.; Stepanov, A.V.; Shcherbinin, V.A.; Levchenko, A.V. Modeli diagnoza i prognoza pozharoopasnoj situacii v rajonah lesnyh massivov, obuslovlennoj “Suhimi” grozami. Pozhar. Bezop. Probl. Persp. 2014, 1, 142–146. [Google Scholar]
- Rorig, M.L.; Ferguson, S.A. Characteristics of lightning and wildfire ignition in the Pacific Northwest. J. Appl. Meteorol. 1999, 38, 1565–1575. [Google Scholar] [CrossRef]
- Dowdy, A.J.; Mills, G.A. Characteristics of lightning-attributed fires in south-east Australia. Int. J. Wildland Fire 2012, 21, 521–524. [Google Scholar] [CrossRef]
- Dowdy, A.J. Climatology of thunderstorms, convective rainfall and dry lightning environments in Australia. Clim. Dyn. 2020, 54, 3041–3052. [Google Scholar] [CrossRef]
- Pérez-Invernón, F.J.; Huntrieser, H.; Soler, S.; Gordillo-Vázquez, F.J.; Pineda, N.; Navarro-González, J.; Reglero, V.; Montanyà, J.; van der Velde, O.; Koutsias, N. Lightning-ignited wildfires and long-continuing-current lightning in the Mediterranean Basin: Preferential meteorological conditions. Atmos. Chem. Phys. 2021, 21, 17529–17557. [Google Scholar] [CrossRef]
- Pineda, N.; Rodríguez, O. ERA5 Reanalysis of Environments Conducive to Lightning-Ignited Wildfires in Catalonia. Atmosphere 2023, 14, 936. [Google Scholar] [CrossRef]
- Drohan, J. Predicting Dry Lightning Risk Nationwide. JFSP Briefs 2012, 149, 1–6. [Google Scholar]
- Peterson, D.; Wang, J.; Ichoku, C.; Remer, L.A. Effects of lightning and other meteorological factors on fire activity in the North American boreal forest: Implications for fire weather forecasting. Atmos. Chem. Phys. 2010, 10, 6873–6888. [Google Scholar] [CrossRef]
- Kalashnikov, D.A.; Abatzoglou, J.T.; Nauslar, N.J.; Swain, D.L.; Touma, D.; Singh, D. Meteorological and geographical factors associated with dry lightning in central and northern. Calif. Environ. Res. 2022, 1, 025001. [Google Scholar] [CrossRef]
- Forkel, M.; Thonicke, K.; Beer, C.; Cramer, W.; Bartalev, S.; Schmullius, C. Extreme fire events are related to previous-year surface moisture conditions in permafrost-underlain larch forests of Siberia. Environ. Res. Lett. 2012, 7, 1–9. [Google Scholar] [CrossRef]
- Bartsch, A.; Balzter, H.; George, C. The influence of regional surface soil moisture anomalies on forest fires in Siberia observed from satellites. Environ. Res. Lett. 2009, 4, 1–9. [Google Scholar] [CrossRef]
- Kharyutkina, E.V.; Moraru, E.I. Spatial and Temporal Variability of Forest Floor Moisture Characteristics and Their Influence on Wildfires in Western Siberia over 2016–2021. Atmos. Ocean. Opt. 2023, 36, 169–175. [Google Scholar] [CrossRef]
- Korshunov, N.A. Features of fires from lightning in the Krasnoyarsk Angara region. Bull. Sib. State Technol. Univ. 2002, 2, 23. [Google Scholar]
- Vasiliev, M.S.; Boroyev, R.N. Remote method determining the formation of forest fires from thunderstorms on the example of Yakutia. Atmos. Phys. 2020, 11560, 115605O. [Google Scholar] [CrossRef]
- Masson-Delmotte, V.; Zhai, A.P.; Pirani, S.L.; Connors, C.; Péan, S.; Berger, N.; Caud, Y.; Chen, L.; Goldfarb, M.I.; Gomis, M.; et al. (Eds.) IPCC, 2021: Climate Change 2021: The Physical Science Basis. Contribution of Working Group I to the Sixth Assessment Report of the Intergovernmental Panel on Climate Change; Cambridge University Press: Cambridge, UK; New York, NY, USA, 2021; p. 2391. [Google Scholar] [CrossRef]
- Kharyutkina, E.V.; Loginov, S.V.; Moraru, E.I.; Pustovalov, K.N.; Martynova, Y.V. Dynamics of extreme climatic characteristics and trends of dangerous meteorological phenomena over the Territory of Western Siberia. Atmos. Ocean. Opt. 2022, 35, 394–401. [Google Scholar] [CrossRef]
- Kharyutkina, E.V.; Loginov, S.V.; Usova, E.I.; Martynova, Y.V.; Pustovalov, K.N. Tendencies in changes of climate extremality in Western Siberia at the end of the XX century and the beginning of the XXI century. Fund. Prikl. Klimatol. 2019, 2, 45–65. [Google Scholar] [CrossRef]
- Ivanov, V.A.; Ponomarev, E.I.; Ivanova, G.A.; Mal’kanova, A.V. Lightning and Forest Fires under Modern Climatic Conditions of Central Siberia. Russ. Meteorol. Hydrol. 2023, 48, 630–638. [Google Scholar] [CrossRef]
- Eliseev, A.V.; Mokhov, I.I.; Chernokulsky, A.V. The influence of lightning activity and anthropogenic factors on large-scale characteristics of natural fires. Izv. Atmos. Ocean. Phys. 2017, 53, 1–11. [Google Scholar] [CrossRef]
- Fire Information for Resource Management System. Available online: https://firms.modaps.eosdis.nasa.gov/ (accessed on 27 November 2023).
- IKI-Monitoring. Available online: http://ckp.geosmis.ru/ (accessed on 27 November 2023).
- World Wide Lightning Location Network. Available online: https://wwlln.net/ (accessed on 27 November 2023).
- Virts, K.S.; Wallace, J.M.; Hutchins, M.L.; Holzworth, R.H. Highlights of a new ground-based, hourly global lightning climatology. Bull. Am. Meteorol. Soc. 2013, 94, 1381–1391. [Google Scholar] [CrossRef]
- Kaplan, J.O.; Lau, K.H.K. The WGLC global gridded lightning climatology and time series. Earth Syst. Sci. Data 2021, 13, 3219–3237. [Google Scholar]
- Inchin, A.; Shpadi, Y.; Lozbin, A.; Shpadi, M.; Inchin, P. The initial results of spatial-temporal distribution research of the lightning discharges in Kazakhstan. Curr. World Environ. 2017, 12, 197–203. [Google Scholar] [CrossRef]
- Burgesseur, R.E. Assessment of theWorldWide Lightning Location Network (WWLLN) detection efficiency by comparison to the Lightning Imaging Sensor (LIS). Q. J. R. Meteorol. Soc. 2017, 143, 2809–2817. [Google Scholar] [CrossRef]
- Larjavaara, M.; Pennanen, J.; Tuomi, T.J. Lightning that ignites forest fires in Finland. Agric. For. Meteorol. 2005, 132, 171–180. [Google Scholar] [CrossRef]
- Kharyutkina, E.V.; Pustovalov, K.N.; Moraru, E.I.; Nechepurenko, O. Analysis of Spatio-Temporal Variability of Lightning Activity and Wildfires in Western Siberia during 2016–2021. Atmosphere 2022, 13, 669. [Google Scholar] [CrossRef]
- Dowdy, A.J.; Mills, G.A. Atmospheric States Associated with the Ignition of Lightning-Attributed Fires; Centre for Australian Weather and Climate Research: Melbourne, VIC, Australia, 2009; p. 35. [Google Scholar]
- The ERA5 Global Reanalysis. Available online: https://reanalyses.org/atmosphere/era5-references (accessed on 27 November 2023).
- Von Storch, H.; Zwiers, F.W. Statistical Analysis in Climate Research; Cambridge University Press: Cambridge, UK, 2003; 484p. [Google Scholar]
- Worldview. Available online: https://worldview.earthdata.nasa.gov/ (accessed on 27 November 2023).
- Gorchakov, G.I.; Sitnov, S.A.; Karpov, A.V.; Gorchakova, I.A.; Gushchin, R.A.; Datsenko, O.I. Eurasian Large-Scale Hazes in Summer 2016. Izv. Atmos. Ocean. Phys. 2019, 55, 261–270. [Google Scholar] [CrossRef]
- Menezes, L.S.; de Oliveira, A.M.; Santos, F.L.M.; Russo, A.; de Souza, R.A.F.; Roque, F.O.; Libonati, R. Lightning patterns in the Pantanal: Untangling natural and anthropogenic-induced wildfires. Sci. Total Environ. 2022, 820, 153021. [Google Scholar] [CrossRef]
- Morales, C.A.; Neves, J.R.; Moimaz, E.A.; Camara, K.S. Sferics timing and ranging network–STARNET: 8 years of measurements in South America. In Proceedings of the International Conference on Atmospheric Electricity, Norman, OK, USA, 15–20 June 2014; pp. 15–20. [Google Scholar]
- Moris, J.V.; Conedera, M.; Nisi, L.; Bernardi, M.; Cesti, G.; Pezzatti, G.B. Lightning-caused fires in the Alps: Identifying the igniting strokes. Agric. For. Meteorol. 2020, 290, 107990. [Google Scholar] [CrossRef]
- Kozlov, V.I. Grozovaya aktivnost’ v YAkutii / V.I. Kozlov, V.A. Mullayarov; Ros. akad. nauk. Sib. otd-nie. In-t kosmofiz. issled. i aeronomii.-YAkutsk: YAF Izd-va SO RAN, 2004 (YAkut. fil. Izd-va SO RAN).-103 s.
- Duncan, B.W.; Adrian, F.W.; Stolen, E.D. Isolating the lightning ignition regime from a contemporary background fire regime in east-central Florida. USA Can. J. For. Res. 2010, 40, 286–297. [Google Scholar] [CrossRef]
- Müller, M.M.; Vacik, H.; Diendorfer, G.; Arpaci, A.; Formayer, H.; Gossow, H. Analysis of lightning-induced forest fires in Austria. Theor. Appl. Climatol. 2013, 111, 183–193. [Google Scholar] [CrossRef]
- Schultz, C.J.; Nauslar, N.J.; Wachter, J.B.; Hain, C.R.; Bell, J.R. Spatial, temporal and electrical characteristics of lightning in reported lightning-initiated wildfire events. Fire 2019, 2, 18. [Google Scholar] [CrossRef] [PubMed]
- Nauslar, N.J. A Forecast Procedure for Dry Thunderstorms; University of Nevada: Reno, NV, USA, 2010; p. 92. [Google Scholar]
- Nechepurenko, O.E.; Gorbatenko, V.P.; Konstantinova, D.A.; Sevastyanov, V.V. Instability indices and their thresholds for the forecast of thunderstorms over Siberia. Hydrometeorol. Res. Forecast. 2018, 2, 44–59. [Google Scholar]
- Wotton, B.M. Interpreting and using outputs from the Canadian Forest Fire Danger Rating System in research applications. Environ. Ecol. Stat. 2009, 16, 107–131. [Google Scholar] [CrossRef]
- Flannigan, M.D.; Logan, K.A.; Amiro, B.D.; Skinner, W.R.; Stocks, B.J. Future area burned in Canada. Clim. Change 2005, 72, 1–16. [Google Scholar] [CrossRef]
- Barbero, R.; Abatzoglou, J.T.; Kolden, C.A.; Hegewisch, K.C.; Larkin, N.K.; Podschwit, H. Multi–scalar influence of weather and climate on very large–fires in the Eastern United States. Int. J. Clim. 2019, 35, 2180–2186. [Google Scholar] [CrossRef]











| Precipitation Threshold | ||||
|---|---|---|---|---|
| 0.25 mm/Day | 2.5 mm/Day | |||
| Lag, Day | Dry LIWs | Wet LIWs | Dry LIWs | Wet LIWs |
| SWS | ||||
| 1 | 142 ± 19 | 256 ± 26 | 338 ± 29 | 60 ± 12 |
| 2 | 210 ± 23 | 212 ± 23 | 321 ± 29 | 101 ± 16 |
| 3 | 143 ± 19 | 172 ± 21 | 226 ± 24 | 89 ± 15 |
| 4 | 99 ± 16 | 177 ± 21 | 175 ± 21 | 101 ± 16 |
| 5 | 107 ± 17 | 122 ± 18 | 182 ± 22 | 47 ± 11 |
| 6 | 75 ± 14 | 146 ± 19 | 141 ± 19 | 80 ± 14 |
| Total LIWs | 1861 ± 69 | 1861 ± 69 | ||
| CWS | ||||
| 1 | 37 ± 10 | 46 ± 11 | 65 ± 13 | 18 ± 7 |
| 2 | 84 ± 15 | 74 ± 14 | 100 ± 16 | 58 ± 12 |
| 3 | 93 ± 15 | 70 ± 13 | 160 ± 20 | 3 ± 3 |
| 4 | 80 ± 14 | 73 ± 14 | 131 ± 18 | 22 ± 8 |
| 5 | 113 ± 17 | 81 ± 14 | 156 ± 20 | 38 ± 10 |
| 6 | 96 ± 16 | 62 ± 13 | 132 ± 18 | 26 ± 8 |
| Total LIWs | 909 ± 48 | 909 ± 48 | ||
| NWS | ||||
| 1 | 15 ± 6 | 6 ± 4 | 17 ± 7 | 5 ± 4 |
| 2 | 30 ± 9 | 15 ± 6 | 40 ± 10 | 5 ± 4 |
| 3 | 44 ± 11 | 24 ± 8 | 56 ± 12 | 12 ± 6 |
| 4 | 15 ± 6 | 26 ± 8 | 32 ± 9 | 9 ± 5 |
| 5 | 32 ± 9 | 13 ± 6 | 38 ± 10 | 7 ± 4 |
| 6 | 22 ± 8 | 8 ± 5 | 25 ± 8 | 4 ± 3 |
| Total LIWs | 250 ± 25 | 250 ± 25 | ||
| Lag, Day | Precipitation Threshold | |
|---|---|---|
| 0.25 mm/Day | 2.5 mm/Day | |
| SWS | ||
| 1 | 18 | 24 |
| 2 | 27 | 23 |
| 3 | 18 | 16 |
| 4 | 13 | 13 |
| 5 | 14 | 13 |
| 6 | 10 | 10 |
| Total Dry LIWs | 776 ± 45 | 1383 ± 60 |
| CWS | ||
| 1 | 7 | 9 |
| 2 | 17 | 13 |
| 3 | 18 | 22 |
| 4 | 16 | 18 |
| 5 | 22 | 21 |
| 6 | 19 | 18 |
| Total Dry LIWs | 503 ± 36 | 744 ± 44 |
| NWS | ||
| 1 | 9 | 8 |
| 2 | 19 | 19 |
| 3 | 28 | 27 |
| 4 | 9 | 15 |
| 5 | 20 | 18 |
| 6 | 14 | 12 |
| Total Dry LIWs | 158 ± 20 | 208 ± 23 |
| Regions | Day of Ignition | Lag (3 Days) | ||||
|---|---|---|---|---|---|---|
| Averages | 0.25 Quantile | 0.75 Quantile | Averages | 0.25 Quantile | 0.75 Quantile | |
| Tmax, °C | ||||||
| SWS | 15.2 | 10.6 | 22.8 | 16.1 | 11.6 | 23.4 |
| CWS | 16.4 | 9.2 | 24.9 | 17.0 | 9.8 | 24.2 |
| NWS | 24.8 | 22.2 | 28.1 | 26.1 | 23.3 | 28.5 |
| ∆T850−500, °C | ||||||
| SWS | 21.9 | 18.9 | 23.8 | 21.8 | 18.9 | 24.5 |
| CWS | 22.8 | 18.8 | 26.1 | 22.9 | 18.4 | 26.4 |
| NWS | 25.9 | 23.2 | 28.4 | 26.7 | 24.7 | 28.8 |
| ∆Td2m, °C | ||||||
| SWS | 6.1 | 3.3 | 8.6 | 5.8 | 3.2 | 8.5 |
| CWS | 6.9 | 3.3 | 9.6 | 6.4 | 1.9 | 9.4 |
| NWS | 8.9 | 4.1 | 10.7 | 9.5 | 4.5 | 11.6 |
| V, m/s | ||||||
| SWS | 4.0 | 2.1 | 5.4 | 3.9 | 2.2 | 5.2 |
| CWS | 3.7 | 2.3 | 5.2 | 3.6 | 2.2 | 4.9 |
| NWS | 3.4 | 2.5 | 4.2 | 2.7 | 1.9 | 3.2 |
| u500, m/s | ||||||
| SWS | 5.4 | 0.1 | 10.4 | 6.6 | 0.8 | 10.7 |
| CWS | 7.3 | 1.1 | 14.5 | 8.6 | 2.4 | 15.5 |
| NWS | 2.6 | −3.8 | 8.5 | 2.3 | −1.6 | 5.8 |
| v500, m/s | ||||||
| SWS | −1.4 | −6.9 | 4.1 | −0.7 | −5.9 | 5.5 |
| CWS | −3.8 | −10.7 | 2.1 | −3.3 | −9.5 | 2.2 |
| NWS | −0.1 | −2.1 | 1.9 | 1.2 | −1.6 | 2.7 |
| Z500, 103 m2/s2 | ||||||
| SWS | 54.63 | 53.71 | 55.88 | 54.76 | 53.87 | 55.99 |
| CWS | 55.06 | 54.21 | 56.04 | 55.16 | 54.25 | 56.15 |
| NWS | 55.25 | 55.52 | 56.29 | 56.01 | 55.59 | 56.32 |
| VSW, m3/m3 | ||||||
| SWS | 0.30 | 0.2 | 0.4 | 0.31 | 0.2 | 0.4 |
| CWS | 0.24 | 0.1 | 0.4 | 0.25 | 0.1 | 0.4 |
| NWS | 0.20 | 0.1 | 0.3 | 0.21 | 0.1 | 0.3 |
| FFMC | ||||||
| SWS | 73.9 | 64.5 | 86.5 | 79.1 | 65.8 | 85.9 |
| CWS | 76.9 | 71.1 | 87.8 | 78.9 | 63.5 | 87.4 |
| NWS | 86.0 | 84.5 | 91.7 | 90.2 | 84.9 | 91.7 |
| DMC | ||||||
| SWS | 18.2 | 4.3 | 21.1 | 10.2 | 4.6 | 18.1 |
| CWS | 29.6 | 4.3 | 39.9 | 10.3 | 3.4 | 32.6 |
| NWS | 99.0 | 29.2 | 77.7 | 90.1 | 27.2 | 69.1 |
| Regions | Day of Ignition | Lag (3 Days) | ||||
|---|---|---|---|---|---|---|
| Averages | 0.25 Quantile | 0.75 Quantile | Averages | 0.25 Quantile | 0.75 Quantile | |
| Tmax, °C | ||||||
| SWS | 15.5 | 11.2 | 20.3 | 15.3 | 11.4 | 21.9 |
| CWS | 16.6 | 11.2 | 22.1 | 16.5 | 11.5 | 22.2 |
| NWS | 22.3 | 20.4 | 23.5 | 25.5 | 25.1 | 26.6 |
| ∆T850−500, °C | ||||||
| SWS | 22.3 | 18.8 | 24.8 | 22.1 | 18.9 | 24.8 |
| CWS | 23.2 | 20.5 | 26.1 | 23.0 | 19.1 | 26.6 |
| NWS | 23.5 | 22.7 | 24.2 | 24.9 | 23.5 | 26.1 |
| ∆Td2m, °C | ||||||
| SWS | 2.3 | 0.1 | 4.6 | 5.2 | 3.6 | 7.3 |
| CWS | 2.8 | 0.3 | 5.3 | 6.3 | 3.6 | 8.6 |
| NWS | 3.5 | 2.7 | 4.1 | 6.0 | 4.1 | 7.4 |
| V, m/s | ||||||
| SWS | 3.2 | 1.3 | 4.4 | 3.5 | 1.9 | 4.9 |
| CWS | 3.2 | 1.8 | 4.3 | 3.1 | 1.4 | 4.5 |
| NWS | 3.4 | 2.5 | 4.2 | 2.4 | 0.9 | 3.6 |
| u500, m/s | ||||||
| SWS | 8.9 | 1.7 | 15.5 | 7.1 | 0.9 | 12.4 |
| CWS | 11.7 | 7.9 | 17.8 | 9.0 | 3.6 | 14.4 |
| NWS | −0.7 | −6.6 | 4.3 | 4.4 | 1.8 | 7.9 |
| v500, m/s | ||||||
| SWS | 3.5 | −1.8 | 8.1 | −1.2 | −6.3 | 3.9 |
| CWS | 0.6 | −5.3 | 6.1 | −3.6 | −9.6 | 2.4 |
| NWS | 2.5 | −3.6 | 8.6 | 3.7 | 1.1 | 8.1 |
| Z500, 103 m2/s2 | ||||||
| SWS | 54.33 | 53.67 | 55.18 | 54.44 | 53.37 | 55.65 |
| CWS | 55.06 | 54.39 | 55.81 | 55.25 | 54.42 | 56.07 |
| NWS | 55.07 | 54.72 | 55.36 | 55.86 | 55.67 | 56.11 |
| VSW, m3/m3 | ||||||
| SWS | 0.35 | 0.3 | 0.4 | 0.32 | 0.3 | 0.4 |
| CWS | 0.34 | 0.3 | 0.4 | 0.31 | 0.2 | 0.4 |
| NWS | 0.46 | 0.4 | 0.6 | 0.38 | 0.3 | 0.5 |
| FFMC | ||||||
| SWS | 61.4 | 43.1 | 79.9 | 74.9 | 56.8 | 83.1 |
| CWS | 61.9 | 46.5 | 79.9 | 78.7 | 63.7 | 85.6 |
| NWS | 58.8 | 42.8 | 74.6 | 85.4 | 76.8 | 86.9 |
| DMC | ||||||
| SWS | 11.9 | 3.7 | 16.9 | 10.2 | 5.1 | 16.5 |
| CWS | 21.0 | 2.9 | 22.3 | 10.3 | 4.3 | 26.1 |
| NWS | 16.3 | 7.9 | 17.5 | 21.2 | 16.6 | 25.9 |
Disclaimer/Publisher’s Note: The statements, opinions and data contained in all publications are solely those of the individual author(s) and contributor(s) and not of MDPI and/or the editor(s). MDPI and/or the editor(s) disclaim responsibility for any injury to people or property resulting from any ideas, methods, instructions or products referred to in the content. |
© 2024 by the authors. Licensee MDPI, Basel, Switzerland. This article is an open access article distributed under the terms and conditions of the Creative Commons Attribution (CC BY) license (https://creativecommons.org/licenses/by/4.0/).
Share and Cite
Kharyutkina, E.; Moraru, E.; Pustovalov, K.; Loginov, S. Lightning-Ignited Wildfires and Associated Meteorological Conditions in Western Siberia for 2016–2021. Atmosphere 2024, 15, 106. https://doi.org/10.3390/atmos15010106
Kharyutkina E, Moraru E, Pustovalov K, Loginov S. Lightning-Ignited Wildfires and Associated Meteorological Conditions in Western Siberia for 2016–2021. Atmosphere. 2024; 15(1):106. https://doi.org/10.3390/atmos15010106
Chicago/Turabian StyleKharyutkina, Elena, Evgeniia Moraru, Konstantin Pustovalov, and Sergey Loginov. 2024. "Lightning-Ignited Wildfires and Associated Meteorological Conditions in Western Siberia for 2016–2021" Atmosphere 15, no. 1: 106. https://doi.org/10.3390/atmos15010106
APA StyleKharyutkina, E., Moraru, E., Pustovalov, K., & Loginov, S. (2024). Lightning-Ignited Wildfires and Associated Meteorological Conditions in Western Siberia for 2016–2021. Atmosphere, 15(1), 106. https://doi.org/10.3390/atmos15010106

